An Optical Image Encryption Method Using Hopfield Neural Network
Abstract
:1. Introduction
2. Related Chaotic System and Public Key Cryptosystem
2.1. Fuzzy Single Neuronal Dynamical System
2.2. Hopfield Chaotic Neural Network
2.3. Public Key Cryptosystem
- Two large prime numbers (i.e., and ) are generated randomly, and .
- The key and Euler function are calculated as Equations (7) and (8):
- An integer number is generated as one of public keys obeyed Equations (9) and (10):where, denotes the great common divisor.
- Then, is calculated as Equation (11) as private key:where denotes the modulo operation.
3. Algorithm Description
3.1. Encryption Steps
3.2. Image Decryption
4. Experimental Results and Security Analysis
4.1. Experimental Results
4.2. Security Analysis
4.2.1. Key Space Analysis
4.2.2. Sensitivity Analysis
4.2.3. Correlation Analysis
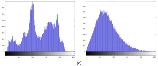
4.2.4. Histogram Analysis
4.2.5. Binary Image Test
4.2.6. Noise Attack
4.2.7. Comparative Analysis
5. Conclusions
Author Contributions
Funding
Institutional Review Board Statement
Informed Consent Statement
Data Availability Statement
Acknowledgments
Conflicts of Interest
References
- Alfalou, A.; Brosseau, C. Optical image compression and encryption methods. Adv. Opt. Photonics 2009, 1, 589–636. [Google Scholar] [CrossRef]
- Shi, Y.; Li, T.; Wang, Y.; Gao, Q.; Zhang, S.; Li, H. Optical image encryption via ptychography. Opt. Lett. 2013, 38, 1425–1427. [Google Scholar] [CrossRef] [PubMed]
- Gong, L.; Deng, C.; Pan, S.; Zhou, N. Image compression-encryption algorithms by combining hyper-chaotic system with discrete fractional random transform. Opt. Laser Technol. 2018, 103, 48–58. [Google Scholar] [CrossRef]
- Yao, L.; Yuan, C.; Qiang, J.; Feng, S.; Nie, S. An asymmetric color image encryption method by using deduced gyrator transform. Opt. Lasers Eng. 2017, 89, 72–79. [Google Scholar] [CrossRef]
- Liansheng, S.; Xiao, Z.; Chongtian, H.; Ailing, T.; Asundi, A.K. Silhouette-free interference-based multiple-image encryption using cascaded fractional Fourier transforms. Opt. Lasers Eng. 2019, 113, 29–37. [Google Scholar] [CrossRef]
- Unnikrishnan, G.; Joseph, J.; Singh, K. Optical encryption by double-random phase encoding in the fractional Fourier domain. Opt. Lett. 2000, 25, 887–889. [Google Scholar] [CrossRef]
- Lima, J.B.; Novaes, L. Image encryption based on the fractional Fourier transform over finite fields. Signal Process. 2014, 94, 521–530. [Google Scholar] [CrossRef]
- Zhao, T.; Ran, Q.; Yuan, L.; Chi, Y.; Ma, J. Security of image encryption scheme based on multi-parameter fractional Fourier transform. Opt. Commun. 2016, 376, 47–51. [Google Scholar] [CrossRef]
- Situ, G.; Zhang, J. Double random-phase encoding in the Fresnel domain. Opt. Lett. 2004, 29, 1584–1586. [Google Scholar] [CrossRef]
- Xu, H.; Xu, W.; Wang, S.; Wu, S. Asymmetric optical cryptosystem based on modulus decomposition in Fresnel domain. Opt. Commun. 2017, 402, 302–310. [Google Scholar] [CrossRef]
- Rodrigo, J.A.; Alieva, T.; Calvo, M.L. Applications of gyrator transform for image processing. Opt. Commun. 2007, 278, 279–284. [Google Scholar] [CrossRef]
- Hengzheng, W.; Xiang, P.; Peng, Z. Chosen-plaintext attack on double phase encoding encryption technique. Acta Opt. Sin. 2007, 27, 824. [Google Scholar]
- Mehra, I.; Nishchal, N.K. Optical asymmetric image encryption using gyrator wavelet transform. Opt. Commun. 2015, 354, 344–352. [Google Scholar] [CrossRef]
- Wu, G.-C.; Baleanu, D. Discrete fractional logistic map and its chaos. Nonlinear Dyn. 2014, 75, 283–287. [Google Scholar] [CrossRef]
- Wang, Y.; Liu, Z.; Ma, J.; He, H. A pseudorandom number generator based on piecewise logistic map. Nonlinear Dyn. 2016, 83, 2373–2391. [Google Scholar] [CrossRef]
- Hopfield, J.J. Neural networks and physical systems with emergent collective computational abilities. Proc. Natl. Acad. Sci. USA 1982, 79, 2554–2558. [Google Scholar] [CrossRef] [PubMed] [Green Version]
- Yang, J.; Wang, L.; Wang, Y.; Guo, T. A novel memristive Hopfield neural network with application in associative memory. Neurocomputing 2017, 227, 142–148. [Google Scholar] [CrossRef]
- Lázaro, O.; Girma, D. A Hopfield neural-network-based dynamic channel allocation with handoff channel reservation control. IEEE Trans. Veh. Technol. 2000, 49, 1578–1587. [Google Scholar] [CrossRef]
- Yang, X.-S.; Yuan, Q. Chaos and transient chaos in simple Hopfield neural networks. Neurocomputing 2005, 69, 232–241. [Google Scholar] [CrossRef]
- Njitacke, Z.; Kengne, J. Complex dynamics of a 4D Hopfield neural networks (HNNs) with a nonlinear synaptic weight: Coexistence of multiple attractors and remerging Feigenbaum trees. AEU-Int. J. Electron. Commun. 2018, 93, 242–252. [Google Scholar] [CrossRef]
- Rech, P.C. Chaos and hyperchaos in a Hopfield neural network. Neurocomputing 2011, 74, 3361–3364. [Google Scholar] [CrossRef]
- Li, J.; Liu, F.; Guan, Z.-H.; Li, T. A new chaotic Hopfield neural network and its synthesis via parameter switchings. Neurocomputing 2013, 117, 33–39. [Google Scholar] [CrossRef]
- Zheng, P.; Tang, W.; Zhang, J. Some novel double-scroll chaotic attractors in Hopfield networks. Neurocomputing 2010, 73, 2280–2285. [Google Scholar] [CrossRef]
- Bigdeli, N.; Farid, Y.; Afshar, K. A robust hybrid method for image encryption based on Hopfield neural network. Comput. Electr. Eng. 2012, 38, 356–369. [Google Scholar] [CrossRef]
- Liu, Z.-H.; Zeng, G.-R.; Xie, F.-S. Chaotic image encryption algorithm based on discrete Hopfield network. Comput. Eng. 2012, 38, 112–115. [Google Scholar]
- Wang, X.-Y.; Li, Z.-M. A color image encryption algorithm based on Hopfield chaotic neural network. Opt. Lasers Eng. 2019, 115, 107–118. [Google Scholar] [CrossRef]
- Liu, L.; Zhang, L.; Jiang, D.; Guan, Y.; Zhang, Z. A simultaneous scrambling and diffusion color image encryption algorithm based on Hopfield chaotic neural network. IEEE Access 2019, 7, 185796–185810. [Google Scholar] [CrossRef]
- Chai, X.; Zheng, X.; Gan, Z.; Han, D.; Chen, Y. An image encryption algorithm based on chaotic system and compressive sensing. Signal Process. 2018, 148, 124–144. [Google Scholar] [CrossRef]
- Zhou, N.; Zhang, A.; Wu, J.; Pei, D.; Yang, Y. Novel hybrid image compression–encryption algorithm based on compressive sensing. Optik 2014, 125, 5075–5080. [Google Scholar] [CrossRef]
- Chai, X.; Fu, X.; Gan, Z.; Lu, Y.; Chen, Y. A color image cryptosystem based on dynamic DNA encryption and chaos. Signal Process. 2019, 155, 44–62. [Google Scholar] [CrossRef]
- Wang, X.; Liu, C. A novel and effective image encryption algorithm based on chaos and DNA encoding. Multimed. Tools Appl. 2017, 76, 6229–6245. [Google Scholar] [CrossRef]
- Zhou, N.; Pan, S.; Cheng, S.; Zhou, Z. Image compression–encryption scheme based on hyper-chaotic system and 2D compressive sensing. Opt. Laser Technol. 2016, 82, 121–133. [Google Scholar] [CrossRef]
- Ravichandran, D.; Praveenkumar, P.; Rayappan, J.B.B.; Amirtharajan, R. DNA chaos blend to secure medical privacy. IEEE Trans. Nanobiosci. 2017, 16, 850–858. [Google Scholar] [CrossRef] [PubMed]
- Belazi, A.; Abd El-Latif, A.A. A simple yet efficient S-box method based on chaotic sine map. Optik 2017, 130, 1438–1444. [Google Scholar] [CrossRef]
- Ye, G.; Huang, X. An efficient symmetric image encryption algorithm based on an intertwining logistic map. Neurocomputing 2017, 251, 45–53. [Google Scholar] [CrossRef]
- Li, C.; Xie, T.; Liu, Q.; Cheng, G. Cryptanalyzing image encryption using chaotic logistic map. Nonlinear Dyn. 2014, 78, 1545–1551. [Google Scholar] [CrossRef] [Green Version]
- Li, C.; Feng, B.; Li, S.; Kurths, J.; Chen, G. Dynamic analysis of digital chaotic maps via state-mapping networks. IEEE Trans. Circuits Syst. I Regul. Pap. 2019, 66, 2322–2335. [Google Scholar] [CrossRef] [Green Version]
- Xu, X.; Chen, S. Single neuronal dynamical system in self-feedbacked Hopfield networks and its application in image encryption. Entropy 2021, 23, 456. [Google Scholar] [CrossRef]
- Valandar, M.Y.; Ayubi, P.; Barani, M.J. A new transform domain steganography based on modified logistic chaotic map for color images. J. Inf. Secur. Appl. 2017, 34, 142–151. [Google Scholar] [CrossRef]
- Nieto, J.J.; Otero-Espinar, M.V.; Rodríguez-López, R. Dynamics of the fuzzy logistic family. Discret. Contin. Dyn. Syst.-B 2010, 14, 699. [Google Scholar]
- Molaeezadeh, S.F.; Moradi, M.H. Bifurcating fuzzy sets: Theory and application. Neurocomputing 2013, 118, 268–278. [Google Scholar] [CrossRef]
- Moysis, L.; Volos, C.; Jafari, S.; Munoz-Pacheco, J.M.; Kengne, J.; Rajagopal, K.; Stouboulos, I. Modification of the logistic map using fuzzy numbers with application to pseudorandom number generation and image encryption. Entropy 2020, 22, 474. [Google Scholar] [CrossRef] [PubMed] [Green Version]
- Zimmermann, H.J. Fuzzy Set Theory—And Its Applications; Springer Science & Business Media: Berlin/Heidelberg, Germany, 2011. [Google Scholar]
- Chakraverty, S.; Sahoo, D.M.; Mahato, N.R. Concepts of Soft Computing: Fuzzy and ANN with Programming; Springer: Berlin/Heidelberg, Germany, 2019. [Google Scholar]
- Rivest, R.L.; Shamir, A.; Adleman, L. A method for obtaining digital signatures and public-key cryptosystems. Commun. ACM 1978, 21, 120–126. [Google Scholar] [CrossRef]
- François, M.; Grosges, T.; Barchiesi, D.; Erra, R. Pseudo-random number generator based on mixing of three chaotic maps. Commun. Nonlinear Sci. Numer. Simul. 2014, 19, 887–895. [Google Scholar] [CrossRef]
- François, M.; Grosges, T.; Barchiesi, D.; Erra, R. A new image encryption scheme based on a chaotic function. Signal Process. Image Commun. 2012, 27, 249–259. [Google Scholar] [CrossRef]
- Behnia, S.; Akhshani, A.; Mahmodi, H.; Akhavan, A. A novel algorithm for image encryption based on mixture of chaotic maps. Chaos Solitons Fractals 2008, 35, 408–419. [Google Scholar] [CrossRef]
- Ahmad, J.; Khan, M.A.; Hwang, S.O.; Khan, J.S. A compression sensing and noise-tolerant image encryption scheme based on chaotic maps and orthogonal matrices. Neural Comput. Appl. 2017, 28, 953–967. [Google Scholar] [CrossRef]
- Liu, Y.; Jiang, Z.; Xu, X.; Zhang, F.; Xu, J. Optical image encryption algorithm based on hyper-chaos and public-key cryptography. Opt. Laser Technol. 2020, 127, 106171. [Google Scholar] [CrossRef]
- Alawida, M.; Samsudin, A.; Teh, J.S.; Alkhawaldeh, R.S. A new hybrid digital chaotic system with applications in image encryption. Signal Process. 2019, 160, 45–58. [Google Scholar] [CrossRef]
- Lakshmi, C.; Thenmozhi, K.; Rayappan, J.B.B.; Amirtharajan, R. Hopfield attractor-trusted neural network: An attack-resistant image encryption. Neural Comput. Appl. 2020, 32, 11477–11489. [Google Scholar] [CrossRef]
- Shahriyar, T.; Fathi, M.H.; Sekhavat, Y.A. An image encryption scheme based on elliptic curve pseudo random and advanced encryption system. Signal Process. 2017, 141, 217–227. [Google Scholar]


















| Images | Correlation Coefficient | |||
|---|---|---|---|---|
| Horizontal | Vertical | Diagonal | ||
| Lena () | Plain image | 0.9850 | 0.9719 | 0.9593 |
| Cipher image (our scheme) | −0.0005 | −0.0033 | −0.0009 | |
| Cipher image [49] | 0.9407 | −0.0273 | −0.0140 | |
| Cipher image [50] | −0.0097 | 0.0032 | −0.0051 | |
| Cipher image [51] | −0.0084 | −0.0017 | −0.0019 | |
| Cipher image [52] | −0.0023 | 0.0028 | −0.0030 | |
| Cameraman () | Plain image | 0.9592 | 0.9340 | 0.9089 |
| Cipher image (our scheme) | −0.0004 | −0.0003 | 0.0030 | |
| Cipher image [49] | 0.9176 | −0.0175 | −0.0312 | |
| Cipher image [50] | −0.0186 | 0.0053 | 0.0095 | |
| Cipher image [51] | 0.0208 | 0.0009 | 0.0021 | |
| Cipher image [52] | 0.0005 | −0.0034 | 0.0008 | |
| Peppers () | Plain image | 0.9651 | 0.9759 | 0.9457 |
| Cipher image (our scheme) | −0.0007 | −0.0009 | 0.0041 | |
| Cipher image [49] | 0.9235 | −0.0304 | −0.0240 | |
| Cipher image [50] | −0.0247 | −0.0129 | −0.0031 | |
| Cipher image [51] | −0.0131 | 0.0024 | 0.0002 | |
| Cipher image [52] | −0.0027 | 0.0010 | −0.0069 | |
| Baboon () | Plain image | 0.8003 | 0.8763 | 0.7627 |
| Cipher image (our scheme) | 0.0015 | −0.0030 | 0.0007 | |
| Cipher image [49] | 0.9323 | −0.0482 | −0.0306 | |
| Cipher image [50] | −0.0155 | −0.0251 | 0.0013 | |
| Cipher image [51] | 0.0026 | −0.0015 | 0.0014 | |
| Cipher image [52] | −0.0060 | −0.0064 | −0.0050 | |
| Images | Correlation Coefficient | |||
|---|---|---|---|---|
| Horizontal | Vertical | Diagonal | ||
| Black () | Cipher image | 0.0035 | −0.0017 | 0.0022 |
| Cameraman () | Cipher image | −0.0033 | 0.0007 | 0.0040 |
| Peppers () | Cipher image | −0.0050 | 0.0010 | −0.0030 |
Publisher’s Note: MDPI stays neutral with regard to jurisdictional claims in published maps and institutional affiliations. |
© 2022 by the authors. Licensee MDPI, Basel, Switzerland. This article is an open access article distributed under the terms and conditions of the Creative Commons Attribution (CC BY) license (https://creativecommons.org/licenses/by/4.0/).
Share and Cite
Xu, X.; Chen, S. An Optical Image Encryption Method Using Hopfield Neural Network. Entropy 2022, 24, 521. https://doi.org/10.3390/e24040521
Xu X, Chen S. An Optical Image Encryption Method Using Hopfield Neural Network. Entropy. 2022; 24(4):521. https://doi.org/10.3390/e24040521
Chicago/Turabian StyleXu, Xitong, and Shengbo Chen. 2022. "An Optical Image Encryption Method Using Hopfield Neural Network" Entropy 24, no. 4: 521. https://doi.org/10.3390/e24040521
APA StyleXu, X., & Chen, S. (2022). An Optical Image Encryption Method Using Hopfield Neural Network. Entropy, 24(4), 521. https://doi.org/10.3390/e24040521
