Exact Solution of a Time-Dependent Quantum Harmonic Oscillator with Two Frequency Jumps via the Lewis–Riesenfeld Dynamical Invariant Method
Abstract
1. Introduction
2. Analytical Method
2.1. The Wave Function of the Harmonic Oscillator via Lewis–Riesenfeld Method
2.2. Squeeze Parameters, Quantum Fluctuations, Mean Number of Excitations, and Transition Probability
3. Oscillator with Two Frequency Jumps
3.1. Solution and General Behavior of the Parameter
3.1.1. Interval
3.1.2. Interval
3.1.3. General Behavior
3.2. Squeeze Parameters
3.2.1. Parameter
3.2.2. Parameter
3.3. Quantum Fluctuations
3.4. Mean Energy
3.5. Mean Number of Excitations
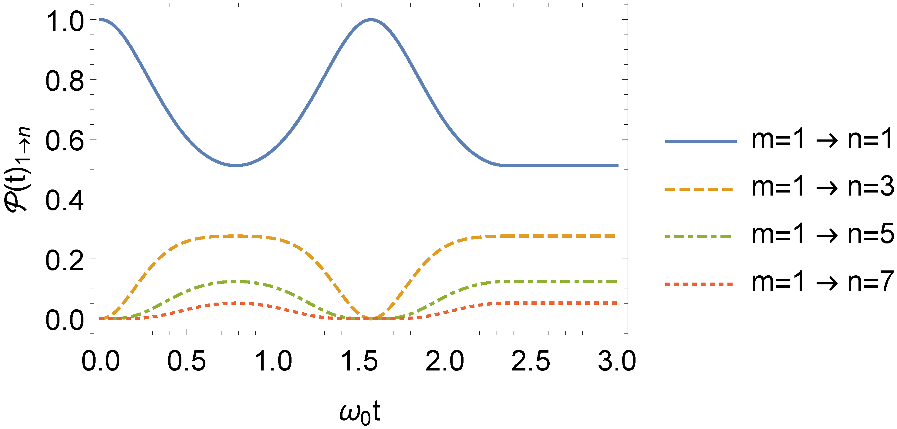
3.6. Transition Probability
4. Final Remarks
Author Contributions
Funding
Institutional Review Board Statement
Informed Consent Statement
Data Availability Statement
Acknowledgments
Conflicts of Interest
References
- Husimi, K. Miscellanea in Elementary Quantum Mechanics, II. Prog. Theor. Phys. 1953, 9, 381–402. [Google Scholar] [CrossRef]
- Lewis, H.R. Classical and Quantum Systems with Time-Dependent Harmonic-Oscillator-Type Hamiltonians. Phys. Rev. Lett. 1967, 18, 510–512. [Google Scholar] [CrossRef]
- Lewis, H.R. Class of Exact Invariants for Classical and Quantum Time-Dependent Harmonic Oscillators. J. Math. Phys. 1968, 9, 1976–1986. [Google Scholar] [CrossRef]
- Lewis, H.R.; Riesenfeld, W.B. An Exact Quantum Theory of the Time-Dependent Harmonic Oscillator and of a Charged Particle in a Time-Dependent Electromagnetic Field. J. Math. Phys. 1969, 10, 1458–1473. [Google Scholar] [CrossRef]
- Pedrosa, I.A. Exact wave functions of a harmonic oscillator with time-dependent mass and frequency. Phys. Rev. A 1997, 55, 3219–3221. [Google Scholar] [CrossRef]
- Ciftja, O. A simple derivation of the exact wavefunction of a harmonic oscillator with time-dependent mass and frequency. J. Phys. A. Math. Gen. 1999, 32, 6385–6389. [Google Scholar] [CrossRef]
- Guasti, M.F.; Moya-Cessa, H. Solution of the Schrödinger equation for time-dependent 1D harmonic oscillators using the orthogonal functions invariant. J. Phys. A. Math. Gen. 2003, 36, 2069–2076. [Google Scholar] [CrossRef]
- Pedrosa, I.A.; Rosas, A. Electromagnetic Field Quantization in Time-Dependent Linear Media. Phys. Rev. Lett. 2009, 103, 010402. [Google Scholar] [CrossRef]
- Pedrosa, I.A. Quantum electromagnetic waves in nonstationary linear media. Phys. Rev. A 2011, 83, 032108. [Google Scholar] [CrossRef]
- Dodonov, V.; Man’ko, V.; Polynkin, P. Geometrical squeezed states of a charged particle in a time-dependent magnetic field. Phys. Lett. A 1994, 188, 232–238. [Google Scholar] [CrossRef]
- Xu, X.-W.; Ren, T.-Q.; Liu, S.-D. Analytic solution for one-dimensional quantum oscillator with a variable frequency. Acta Phys. Sin. 1999, 8, 641–645. [Google Scholar] [CrossRef]
- Aguiar, V.; Guedes, I. Entropy and information of a spinless charged particle in time-varying magnetic fields. J. Math. Phys. 2016, 57, 092103. [Google Scholar] [CrossRef]
- Dodonov, V.V.; Horovits, M.B. Squeezing of Relative and Center-of-Orbit Coordinates of a Charged Particle by Step-Wise Variations of a Uniform Magnetic Field with an Arbitrary Linear Vector Potential. J. Russ. Laser Res. 2018, 39, 389–400. [Google Scholar] [CrossRef]
- Brown, L.S. Quantum motion in a Paul trap. Phys. Rev. Lett. 1991, 66, 527–529. [Google Scholar] [CrossRef]
- Agarwal, G.S.; Kumar, S.A. Exact quantum-statistical dynamics of an oscillator with time-dependent frequency and generation of nonclassical states. Phys. Rev. Lett. 1991, 67, 3665–3668. [Google Scholar] [CrossRef]
- Mihalcea, B.M. A quantum parametric oscillator in a radiofrequency trap. Phys. Scr. 2009, T135, 014006. [Google Scholar] [CrossRef]
- Aguiar, V.; Nascimento, J.; Guedes, I. Exact wave functions and uncertainties for a spinless charged particle in a time-dependent Penning trap. Int. J. Mass Spectrom. 2016, 409, 21–28. [Google Scholar] [CrossRef]
- Menicucci, N.C.; Milburn, G.J. Single trapped ion as a time-dependent harmonic oscillator. Phys. Rev. A 2007, 76, 052105. [Google Scholar] [CrossRef]
- Pedrosa, I.A. On the Quantization of the London Superconductor. Braz. J. Phys. 2021, 51, 401–405. [Google Scholar] [CrossRef]
- Choi, J.R. Interpreting quantum states of electromagnetic field in time-dependent linear media. Phys. Rev. A 2010, 82, 055803. [Google Scholar] [CrossRef]
- Salamon, P.; Hoffmann, K.H.; Rezek, Y.; Kosloff, R. Maximum work in minimum time from a conservative quantum system. Phys. Chem. Chem. Phys. 2009, 11, 1027–1032. [Google Scholar] [CrossRef] [PubMed]
- Schaff, J.F.; Song, X.L.; Vignolo, P.; Labeyrie, G. Fast optimal transition between two equilibrium states. Phys. Rev. A 2010, 82, 033430. [Google Scholar] [CrossRef]
- Chen, X.; Ruschhaupt, A.; Schmidt, S.; del Campo, A.; Guéry-Odelin, D.; Muga, J.G. Fast Optimal Frictionless Atom Cooling in Harmonic Traps: Shortcut to Adiabaticity. Phys. Rev. Lett. 2010, 104, 063002. [Google Scholar] [CrossRef]
- Stefanatos, D.; Ruths, J.; Li, J.S. Frictionless atom cooling in harmonic traps: A time-optimal approach. Phys. Rev. A 2010, 82, 063422. [Google Scholar] [CrossRef]
- Dupays, L.; Spierings, D.C.; Steinberg, A.M.; del Campo, A. Delta-kick cooling, time-optimal control of scale-invariant dynamics, and shortcuts to adiabaticity assisted by kicks. Phys. Rev. Res. 2021, 3, 033261. [Google Scholar] [CrossRef]
- Martínez-Tibaduiza, D.; Pires, L.; Farina, C. Time-dependent quantum harmonic oscillator: A continuous route from adiabatic to sudden changes. J. Phys. B At. Mol. Opt. Phys. 2021, 54, 205401. [Google Scholar] [CrossRef]
- Landim, R.R.; Guedes, I. Wave functions for a Dirac particle in a time-dependent potential. Phys. Rev. A 2000, 61, 054101. [Google Scholar] [CrossRef]
- Gao, X.C.; Fu, J.; Li, X.H.; Gao, J. Invariant formulation and exact solutions for the relativistic charged Klein-Gordon field in a time-dependent spatially homogeneous electric field. Phys. Rev. A 1998, 57, 753–761. [Google Scholar] [CrossRef]
- Dodonov, V.V.; Klimov, A.B. Generation and detection of photons in a cavity with a resonantly oscillating boundary. Phys. Rev. A 1996, 53, 2664–2682. [Google Scholar] [CrossRef]
- Dodonov, V.; Klimov, A.; Man’ko, V. Generation of squeezed states in a resonator with a moving wall. Phys. Lett. A 1990, 149, 225–228. [Google Scholar] [CrossRef]
- Pedrosa, I.A.; Guedes, I. Exact quantum states of an inverted pendulum under time-dependent gravitation. Int. J. Mod. Phys. A 2004, 19, 4165–4172. [Google Scholar] [CrossRef]
- Carvalho, A.M.d.M.; Furtado, C.; Pedrosa, I.A. Scalar fields and exact invariants in a Friedmann-Robertson-Walker spacetime. Phys. Rev. D 2004, 70, 123523. [Google Scholar] [CrossRef]
- Greenwood, E. Time-dependent particle production and particle number in cosmological de Sitter space. Int. J. Mod. Phys. D 2015, 24, 1550031. [Google Scholar] [CrossRef]
- Janszky, J.; Yushin, Y. Squeezing via frequency jump. Opt. Commun. 1986, 59, 151–154. [Google Scholar] [CrossRef]
- Janszky, J.; Adam, P. Strong squeezing by repeated frequency jumps. Phys. Rev. A 1992, 46, 6091–6092. [Google Scholar] [CrossRef] [PubMed]
- Kiss, T.; Janszky, J.; Adam, P. Time evolution of harmonic oscillators with time-dependent parameters: A step-function approximation. Phys. Rev. A 1994, 49, 4935–4942. [Google Scholar] [CrossRef] [PubMed]
- Moya-Cessa, H.; Fernández Guasti, M. Coherent states for the time dependent harmonic oscillator: The step function. Phys. Lett. A 2003, 311, 1–5. [Google Scholar] [CrossRef][Green Version]
- Stefanatos, D. Minimum-Time Transitions between Thermal and Fixed Average Energy States of the Quantum Parametric Oscillator. SIAM J. Control Optim. 2017, 55, 1429–1451. [Google Scholar] [CrossRef]
- Stefanatos, D. Minimum-Time Transitions Between Thermal Equilibrium States of the Quantum Parametric Oscillator. IEEE Trans. Automat. Contr. 2017, 62, 4290–4297. [Google Scholar] [CrossRef]
- Tibaduiza, D.M.; Pires, L.; Szilard, D.; Zarro, C.A.D.; Farina, C.; Rego, A.L.C. A Time-Dependent Harmonic Oscillator with Two Frequency Jumps: An Exact Algebraic Solution. Braz. J. Phys. 2020, 50, 634–646. [Google Scholar] [CrossRef]
- Tibaduiza, D.M.; Pires, L.; Rego, A.L.C.; Szilard, D.; Zarro, C.; Farina, C. Efficient algebraic solution for a time-dependent quantum harmonic oscillator. Phys. Scr. 2020, 95, 105102. [Google Scholar] [CrossRef]
- Pedrosa, I.A.; Serra, G.P.; Guedes, I. Wave functions of a time-dependent harmonic oscillator with and without a singular perturbation. Phys. Rev. A 1997, 56, 4300–4303. [Google Scholar] [CrossRef]
- Xin, M.; Leong, W.S.; Chen, Z.; Wang, Y.; Lan, S.Y. Rapid Quantum Squeezing by Jumping the Harmonic Oscillator Frequency. Phys. Rev. Lett. 2021, 127, 183602. [Google Scholar] [CrossRef] [PubMed]
- Wolf, F.; Shi, C.; Heip, J.C.; Gessner, M.; Pezzè, L.; Smerzi, A.; Schulte, M.; Hammerer, K.; Schmidt, P.O. Motional Fock states for quantum-enhanced amplitude and phase measurements with trapped ions. Nat. Commun. 2019, 10, 2929. [Google Scholar] [CrossRef]
- Choi, J.R. The dependency on the squeezing parameter for the uncertainty relation in the squeezed states of the time-dependent oscillator. Int. J. Mod. Phys. B 2004, 18, 2307–2324. [Google Scholar] [CrossRef]
- Sakurai, J.J.; Napolitano, J. Modern Quantum Mechanics, 3rd ed.; Cambridge University Press: Cambridge, UK, 2020; pp. 83–88. [Google Scholar]
- Griffiths, D.J. Introduction to Quantum Mechanics, 3rd ed.; Cambridge University Press: Cambridge, UK, 2018; pp. 39–55. [Google Scholar]
- Cohen-Tannoudji, C.; Diu, B.; Laloe, F. Quantum Mechanics, Volume 1: Basic Concepts, Tools, and Applications, 2nd ed.; Wiley-VCH: Weinheim, Germany, 2019; pp. 502–521. [Google Scholar]
- Prykarpatskyy, Y. Steen–Ermakov–Pinney Equation and Integrable Nonlinear Deformation of the One-Dimensional Dirac Equation. J. Math. Sci. 2018, 231, 820–826. [Google Scholar] [CrossRef]
- Pinney, E. The nonlinear differential equation y″ + p(x)y + cy−3 = 0. Proc. Am. Math. Soc. 1950, 1, 681. [Google Scholar] [CrossRef]
- de Lima, A.L.; Rosas, A.; Pedrosa, I. Quantum dynamics of a particle trapped by oscillating fields. J. Mod. Opt. 2009, 56, 75–80. [Google Scholar] [CrossRef]
- Cariñena, J.F.; de Lucas, J. Applications of Lie systems in dissipative Milne-Pinney equations. Int. J. Geom. Methods Mod. Phys. 2009, 06, 683–699. [Google Scholar] [CrossRef]
- Weber, H.J.; Arfken, G.B. Essential Mathematical Methods for Physicists, 6th ed.; Academic Press: San Diego, CA, USA, 2003; pp. 638–642. [Google Scholar]
- Pedrosa, I.A. Comment on “Coherent states for the time-dependent harmonic oscillator”. Phys. Rev. D 1987, 36, 1279–1280. [Google Scholar] [CrossRef]
- Daneshmand, R.; Tavassoly, M.K. Dynamics of Nonclassicality of Time- and Conductivity-Dependent Squeezed States and Excited Even/Odd Coherent States. Commun. Theor. Phys. 2017, 67, 365–376. [Google Scholar] [CrossRef]
- Guerry, C.C.; Knight, P.L. Introductory Quantum Optics, 1st ed.; Cambridge University Press: Cambridge, UK, 2005; pp. 150–165. [Google Scholar]
- Kim, M.S.; de Oliveira, F.A.M.; Knight, P.L. Properties of squeezed number states and squeezed thermal states. Phys. Rev. A 1989, 40, 2494–2503. [Google Scholar] [CrossRef] [PubMed]
- Marian, P. Higher-order squeezing and photon statistics for squeezed thermal states. Phys. Rev. A 1992, 45, 2044–2051. [Google Scholar] [CrossRef]
- Moeckel, M.; Kehrein, S. Real-time evolution for weak interaction quenches in quantum systems. Ann. Phys. (N. Y). 2009, 324, 2146–2178. [Google Scholar] [CrossRef]
- Kim, M.; de Oliveira, F.; Knight, P. Photon number distributions for squeezed number states and squeezed thermal states. Opt. Commun. 1989, 72, 99–103. [Google Scholar] [CrossRef]
- Popov, V.; Perelomov, A. Parametric Excitation of a Quantum Oscillator. Sov. J. Exp. Theor. Phys. 1969, 30, 1375–1390. [Google Scholar]












Publisher’s Note: MDPI stays neutral with regard to jurisdictional claims in published maps and institutional affiliations. |
© 2022 by the authors. Licensee MDPI, Basel, Switzerland. This article is an open access article distributed under the terms and conditions of the Creative Commons Attribution (CC BY) license (https://creativecommons.org/licenses/by/4.0/).
Share and Cite
Coelho, S.S.; Queiroz, L.; Alves, D.T. Exact Solution of a Time-Dependent Quantum Harmonic Oscillator with Two Frequency Jumps via the Lewis–Riesenfeld Dynamical Invariant Method. Entropy 2022, 24, 1851. https://doi.org/10.3390/e24121851
Coelho SS, Queiroz L, Alves DT. Exact Solution of a Time-Dependent Quantum Harmonic Oscillator with Two Frequency Jumps via the Lewis–Riesenfeld Dynamical Invariant Method. Entropy. 2022; 24(12):1851. https://doi.org/10.3390/e24121851
Chicago/Turabian StyleCoelho, Stanley S., Lucas Queiroz, and Danilo T. Alves. 2022. "Exact Solution of a Time-Dependent Quantum Harmonic Oscillator with Two Frequency Jumps via the Lewis–Riesenfeld Dynamical Invariant Method" Entropy 24, no. 12: 1851. https://doi.org/10.3390/e24121851
APA StyleCoelho, S. S., Queiroz, L., & Alves, D. T. (2022). Exact Solution of a Time-Dependent Quantum Harmonic Oscillator with Two Frequency Jumps via the Lewis–Riesenfeld Dynamical Invariant Method. Entropy, 24(12), 1851. https://doi.org/10.3390/e24121851

