A Theoretical Comparative Study of Vapor-Compression Refrigeration Cycle using Al2O3 Nanoparticle with Low-GWP Refrigerants
Abstract
1. Introduction
2. Methodology
2.1. Nanorefrigerant Model
2.2. Energy Model
2.3. Exergy Model
2.4. Performance Evaluation
3. Model Validation
4. Results and Discussion
4.1. Comparative Study under Typical Operating Conditions
4.2. Performance Analysis under Variable Operating Conditions
4.2.1. Evaporator Temperature
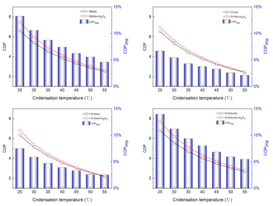
4.2.2. Condenser Temperature
4.2.3. Nanoparticle Mass Fraction
4.3. Optimization Analysis
5. Conclusions
- (1)
- Compared with the pure refrigerants R600a, R134a, R1234yf, and R1233zd (E), the compressor work per unit mass with 0.1% Al2O3 nanoparticles is decreased by 2.96%, 2.80%, 2.89%, and 6.13%, respectively; and the corresponding COP is increased by 6.36%, 3.10%, 3.32%, and 6.92%, respectively. The performance of the nanorefrigerant cycle is enhanced by improving the heat transfer efficiency and lowering the compressor power consumption;
- (2)
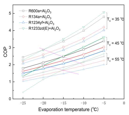
- The COPs and exergy efficiencies of R600a and R1233zd(E) are higher than that of R134a, while R1234yf is the lowest. R1233zd(E) + Al2O3 has the highest COP, followed by the R600a + Al2O3, R134a + Al2O3, and R1234yf + Al2O3 under the evaporation temperature ranges from −10 °C to 20 °C, the condensation temperature varies from 25 °C to 55 °C;
- (3)
- Highest COP of 4.28 is obtained for R1233zd(E) + 0.3% Al2O3 at a condensation temperature of 45 °C and evaporation temperature of 0 °C. With a mass fraction of 0.3% Al2O3 nanoparticles, the COP of R1233zd(E) + Al2O3 is 7.0% higher than that of R600a + Al2O3, it is 20.90% higher than that of R134a + Al2O3, and it is 28.92% higher than that of R1234yf + Al2O3;
- (4)
- The exergy efficiency increases linearly with the amount of Al2O3 nanoparticles added. The maximum exergy efficiency is 38.46% for R1233zd(E) + 0.3% Al2O3, and the minimum exergy efficiency is 27.06% for pure R1234yf;
- (5)
- As the decreases and the increases, the COP of R600a + 0.3% Al2O3 may outperform R1233zd(E) + 0.3% Al2O3. Especially at of 20 °C and of 55 °C, the order of the COP is R600a + Al2O3, R134a + Al2O3, R1234yf + Al2O3, and R1233zd(E) + Al2O3, reaching 1.56, 1.41, 1.26, and 1.14, respectively.
Author Contributions
Funding
Institutional Review Board Statement
Informed Consent Statement
Data Availability Statement
Conflicts of Interest
Nomenclature
| Symbols | |
| c | Specific heat, |
| E | Exergy rate, kW |
| Specific enthalpy, | |
| k | Thermal conductivity, |
| Mass flow rate, | |
| P | Pressure, kPa |
| Q | Thermal capacity, kW |
| Specific entropy, | |
| T | temperature, K or °C |
| W | Power, kW |
| Greek | |
| Efficiency | |
| Dynamic viscosity, Pa | |
| Density, | |
| Volume fraction | |
| Mass fraction | |
| Abbreviations | |
| COP | Coefficient of performance |
| GWP | Global Warming Potential |
| HCs | Hydrocarbons |
| HCFOs | Hydrochlorofluoroolefins |
| HFCs | Hydrofluorocarbons |
| HFOs | Hydrofluoroolefins |
| NP | Nanoparticle |
| NR | Nanorefrigerant |
| ODP | Ozone Depletion Potential |
| RI | Relative irreversibility |
| VCRC | Vapor-compression refrigeration cycle |
| Subscripts | |
| 1, 2, 3.. | State point |
| con | Condenser |
| comp | Compressor |
| des | destruction |
| eva | Evaporator |
| exp | Expansion valve |
| imp | Improvement of energy efficiency |
| is | Isentropic process |
| NR | Nanorefrigerant |
| R | Refrigerant |
References
- Aized, T.; Rashid, M.; Riaz, F.; Hamza, A.; Nabi, H.Z.; Sultan, M.; Ashraf, W.M.; Krzywanski, J. Energy and Exergy Analysis of Vapor Compression Refrigeration System with Low-GWP Refrigerants. Energies 2022, 15, 7246. [Google Scholar] [CrossRef]
- Li, S.; Lu, J.; Li, W.; Zhang, Y.; Huang, S.; Tian, L.; Lv, Y.; Hu, Y.; Zeng, Y. Thermodynamic analyses of a novel ejector enhanced dual-temperature air source heat pump cycle with self-defrosting. Appl. Therm. Eng. 2022, 215, 118944. [Google Scholar] [CrossRef]
- Li, S.; Lu, J.; Yan, J.; Hu, Y. Performance analysis of auxiliary entrainment ejector used in multi-evaporator refrigeration system. Therm. Sci. Eng. Prog. 2022, 32, 101307. [Google Scholar] [CrossRef]
- Ghanbarpour, M.; Mota-Babiloni, A.; Badran, B.E.; Khodabandeh, R. Energy, Exergy, and Environmental (3E) Analysis of Hydrocarbons as Low GWP Alternatives to R134a in Vapor Compression Refrigeration Configurations. Appl. Sci. 2021, 11, 6226. [Google Scholar] [CrossRef]
- Li, S.; Lu, J.; Li, W.; Huang, S.; Tian, L. Comparative performance of ternary azeotropic mixtures as substitutes for R134a in dual-temperature air source heat pump combined ejector. Therm. Sci. Eng. Prog. 2022, 37, 101577. [Google Scholar] [CrossRef]
- Xing, M.; Zhang, H.; Zhang, C. An update review on performance enhancement of refrigeration systems using nano-fluids. J. Therm. Sci. 2022, 31, 1236–1251. [Google Scholar] [CrossRef]
- Yang, D.; Sun, B.; Li, H.; Fan, X. Experimental study on the heat transfer and flow characteristics of nanorefrigerants inside a corrugated tube. Int. J. Refrig. 2015, 56, 213–223. [Google Scholar] [CrossRef]
- Zawawi, N.N.M.; Azmi, W.H.; Redhwan, A.A.M.; Sharif, M.Z.; Samykano, M. Experimental investigation on thermo-physical properties of metal oxide composite nanolubricants. Int. J. Refrig. 2018, 89, 11–21. [Google Scholar] [CrossRef]
- Jaffri, A.J.; Dondapati, R.S.; Bhat, M.W.; Vyas, G. Investigation on Thermo-Physical Properties of Mixed Nano-Refrigerant with CuO based nanoparticles. Mater. Today Proc. 2018, 5, 27795–27800. [Google Scholar] [CrossRef]
- Alawi, O.A.; Sidik, N.A.C. Influence of particle concentration and temperature on the thermophysical properties of CuO/R134a nanorefrigerant. Int. Commun. Heat Mass Transf. 2014, 58, 79–84. [Google Scholar] [CrossRef]
- Senthilkumar, A.; Anderson, A.; Praveen, R. Prospective of nanolubricants and nano refrigerants on energy saving in vapour compression refrigeration system—A review. Mater. Today Proc. 2020, 33, 886–889. [Google Scholar] [CrossRef]
- Yıldız, G.; Ağbulut, Ü.; Gürel, A.E. A review of stability, thermophysical properties and impact of using nanofluids on the performance of refrigeration systems. Int. J. Refrig. 2021, 129, 342–364. [Google Scholar] [CrossRef]
- Sai Pinni, K.; Katarkar, A.S.; Bhaumik, S. A review on the heat transfer characteristics of nanomaterials suspended with refrigerants in refrigeration systems. Mater. Today Proc. 2021, 44, 1331–1335. [Google Scholar] [CrossRef]
- Praveen Bharathwaj, R.; Javeed, S.; Raju, J.J.; Padmanathan, P.; Satheesh, A. A critical review on nanorefrigerants: Boiling, condensation and tribological properties. Int. J. Refrig. 2021, 128, 139–152. [Google Scholar]
- Bilen, K.; Dağidir, K.; Arcaklioğlu, E. The effect of nanorefrigerants on performance of the vapor compression refrigeration system: A comprehensive review. Energy Sources Part A Recovery Util. Environ. Eff. 2022, 44, 3178–3204. [Google Scholar] [CrossRef]
- Li, W.; Li, Y.; Shi, W.; Lu, J. Energy and exergy study on indirect evaporative cooler used in exhaust air heat recovery. Energy 2021, 235, 121319. [Google Scholar] [CrossRef]
- Liu, B.; Guo, X.; Xi, X.; Sun, J.; Zhang, B.; Yang, Z. Thermodynamic analyses of ejector refrigeration cycle with zeotropic mixture. Energy 2023, 263, 125989. [Google Scholar] [CrossRef]
- Carroll, P.; Chesser, M.; Lyons, P. Air Source Heat Pumps field studies: A systematic literature review. Renew. Sustain. Energy Rev. 2020, 134, 110275. [Google Scholar] [CrossRef]
- Bi, S.; Guo, K.; Liu, Z.; Wu, J. Performance of a domestic refrigerator using TiO2-R600a nano-refrigerant as working fluid. Energy Convers. Manag. 2011, 52, 733–737. [Google Scholar] [CrossRef]
- Javadi, F.S.; Saidur, R. Energetic, economic and environmental impacts of using nanorefrigerant in domestic refrigerators in Malaysia. Energy Convers. Manag. 2013, 73, 335–359. [Google Scholar] [CrossRef]
- Singh, K.; Lal, K. An investigation into the performance of a nanorefrigerant (R134a+Al2O3) based refrigeration system. Int. J. Res. Mech. Eng. Technol. 2014, 4, 158–162. [Google Scholar]
- Mahbubul, I.M.; Saadah, A.; Saidur, R.; Khairul, M.A.; Kamyar, A. Thermal performance analysis of Al2O3/R-134a nanorefrigerant. Int. J. Heat Mass Transf. 2015, 85, 1034–1040. [Google Scholar] [CrossRef]
- Qasim, S.M.; Maathe, A.T.; Hisham, S. Enhancement on the performance of refrigeration system using the nano-refrigerant. J. Energy Power Eng. 2017, 11, 237–243. [Google Scholar]
- Sharif, M.Z.; Azmi, W.H.; Redhwan, A.A.M.; Mamat, R.; Yusof, T.M. Performance analysis of SiO2/PAG nanolubricant in automotive air conditioning system. Int. J. Refrig. 2017, 75, 204–216. [Google Scholar] [CrossRef]
- Ande, R.; Koppala, R.S.; Hadi, M. Experimental investigation on VCR system using nano-refrigerant for COP enhancement. Chem. Eng. Trans. 2018, 71, 967–972. [Google Scholar]
- Dhamneya, A.K.; Rajput, S.P.S.; Singh, A. Comparative performance analysis of ice plant test rig with TiO2-R134a nano refrigerant and evaporative cooled condenser. Case Stud. Therm. Eng. 2018, 11, 55–61. [Google Scholar] [CrossRef]
- Alawi, O.A.; Salih, J.M.; Mallah, A.R. Thermo-physical properties effectiveness on the coefficient of performance of Al2O3/R141b nano-refrigerant. Int. Commun. Heat Mass Transf. 2019, 103, 54–61. [Google Scholar] [CrossRef]
- Sarrafzadeh Javadi, F.; Saidur, R. Thermodynamic and energy efficiency analysis of a domestic refrigerator using Al2O3 nano-refrigerant. Sustainability 2021, 13, 5659. [Google Scholar] [CrossRef]
- Bellos, E.; Tzivanidis, C. Performance analysis and optimization of an absorption chiller driven by nanofluid based solar flat plate collector. J. Clean. Prod. 2018, 174, 256–272. [Google Scholar] [CrossRef]
- Edin Hamrahi, S.; Goudarzi, K.; Yaghoubi, M. Experimental study of the performance of a continues solar adsorption chiller using Nano-activated carbon/methanol as working pair. Sol. Energy 2018, 173, 920–927. [Google Scholar] [CrossRef]
- Tashtoush, B.M.; Al-Nimr, M.d.A.; Khasawneh, M.A. Investigation of the use of nano-refrigerants to enhance the performance of an ejector refrigeration system. Appl. Energy 2017, 206, 1446–1463. [Google Scholar] [CrossRef]
- Azmi, W.H.; Sharif, M.Z.; Yusof, T.M.; Mamat, R.; Redhwan, A.A.M. Potential of nanorefrigerant and nanolubricant on energy saving in refrigeration system—A review. Renew. Sustain. Energy Rev. 2017, 69, 415–428. [Google Scholar] [CrossRef]
- Sharif, M.Z.; Azmi, W.H.; Mamat, R.; Shaiful, A.I.M. Mechanism for improvement in refrigeration system performance by using nanorefrigerants and nanolubricants—A review. Int. Commun. Heat Mass Transf. 2018, 92, 56–63. [Google Scholar] [CrossRef]
- Bhattad, A.; Sarkar, J.; Ghosh, P. Improving the performance of refrigeration systems by using nanofluids: A comprehensive review. Renew. Sustain. Energy Rev. 2018, 82, 3656–3669. [Google Scholar] [CrossRef]
- Jiang, W.; Song, J.; Jia, T.; Yang, L.; Li, S.; Li, Y.; Du, K. A comprehensive review on the pre-research of nanofluids in absorption refrigeration systems. Energy Rep. 2022, 8, 3437–3464. [Google Scholar] [CrossRef]
- Aktemur, C.; Tekin Öztürk, İ. Thermodynamic performance enhancement of booster assisted ejector expansion refrigeration systems with R1270/CuO nano-refrigerant. Energy Convers. Manag. 2022, 253, 115191. [Google Scholar] [CrossRef]
- Aktas, M.; Dalkilic, A.S.; Celen, A.; Cebi, A.; Mahian, O.; Wongwises, S. A theoretical comparative study on nanorefrigerant performance in a single-stage vapor-compression refrigeration cycle. Adv. Mech. Eng. 2015, 7, 138725. [Google Scholar] [CrossRef]
- Vuppaladadiyam, A.K.; Antunes, E.; Vuppaladadiyam, S.S.V.; Baig, Z.T.; Subiantoro, A.; Lei, G.; Leu, S.Y.; Sarmah, A.K.; Duan, H. Progress in the development and use of refrigerants and unintended environmental consequences. Sci. Total Environ. 2022, 823, 153670. [Google Scholar] [CrossRef] [PubMed]
- Mwesigye, A.; Kiamari, A.; Dworkin, S.B. Energetic optimization and exergetic performance investigation of an ejector refrigeration system using HCFO-1233zd(E) as a refrigerant. Int. J. Refrig. 2020, 112, 155–171. [Google Scholar] [CrossRef]
- Zarei, A.; Elahi, S.; Pahangeh, H. Design and analysis of a novel solar compression-ejector cooling system with eco-friendly refrigerants using hybrid photovoltaic thermal (PVT) collector. Therm. Sci. Eng. Prog. 2022, 32, 101311. [Google Scholar] [CrossRef]
- Yu, M.; Wang, C.; Wang, L.; Zhao, H. Optimization Design and Performance Evaluation of R1234yf Ejectors for Ejector-Based Refrigeration Systems. Entropy 2022, 24, 1632. [Google Scholar] [CrossRef] [PubMed]
- Chen, X.; Liang, K.; Li, Z.; Zhao, Y.; Xu, J.; Jiang, H. Experimental assessment of alternative low global warming potential refrigerants for automotive air conditioners application. Case Stud. Therm. Eng. 2020, 22, 100800. [Google Scholar] [CrossRef]
- Zhang, Y.; Xu, X. Predicting the thermal conductivity enhancement of nanofluids using computational intelligence. Phys. Lett. A 2020, 384, 126500. [Google Scholar] [CrossRef]
- Kosmadakis, G.; Neofytou, P. Investigating the effect of nanorefrigerants on a heat pump performance and cost-effectiveness. Therm. Sci. Eng. Prog. 2019, 13, 100371. [Google Scholar] [CrossRef]
- Maïga, S.E.B.; Palm, S.J.; Nguyen, C.T.; Roy, G.; Galanis, N. Heat transfer enhancement by using nanofluids in forced convection flows. Int. J. Heat Fluid Flow 2005, 26, 530–546. [Google Scholar] [CrossRef]
- Hamilton, R.L.; Crosser, O.K. Thermal conductivity of heterogeneous two-component systems. J. Ind. Eng. Chem. 1962, 1, 187–191. [Google Scholar] [CrossRef]
- Deriszadeh, A.; de Monte, F. On heat transfer performance of cooling systems using nanofluid for electric motor applications. Entropy 2020, 22, 99. [Google Scholar] [CrossRef] [PubMed]
- Kosmadakis, G.; Neofytou, P. Investigating the performance and cost effects of nanorefrigerants in a low-temperature ORC unit for waste heat recovery. Energy 2020, 204, 117966. [Google Scholar] [CrossRef]
- Tang, Y.; Yuan, J.; Liu, Z.; Feng, Q.; Gong, X.; Lu, L.; Chua, K.L. Study on evolution laws of two-phase choking flow and entrainment performance of steam ejector oriented towards MED-TVC desalination system. Energy 2022, 242, 122967. [Google Scholar] [CrossRef]
- Che Hussin, M.H.; Sowi, S.A.A.; Mahadi, M.A.S.; Sanuddin, A.; Mohd Khalil, A.N.; Abdul Rahim, Y. Experimental Performance of R134a/SiO2 in Refrigeration System for Domestic Use. J. Adv. Res. Fluid Mech. Therm. Sci. 2022, 95, 145–163. [Google Scholar] [CrossRef]
- Akhayere, E.; Adebayo, V.; Adedeji, M.; Abid, M.; Kavaz, D.; Dagbasi, M. Investigating the effects of nanorefrigerants in a cascaded vapor compression refrigeration cycle. Int. J. Energy Environ. Eng. 2022, 1–12. [Google Scholar] [CrossRef]










| Authors | Remarks |
|---|---|
| Senthilkumar et al. (2020) [11] | Study the consequences of nanolubricants and nanorefrigerants and summarizes the methods to increase the heat transfer, enhancing the coefficient of performance and reduction in power consumption. |
| Yıldız et al. (2021) [12] | Summarize the preparation of nanofluids, the variation of thermophysical properties, the stability of nanofluids, impacts on the system performances of nanofluid usage, limitations, and challenges of nanoparticle usage, particularly in refrigeration systems. |
| Pinni et al. (2021) [13] | Study the thermal performance, improvement potentials, technical applications, and future challenges of various nanorefrigerants at different nanoparticle concentrations. |
| Praveen et al. (2021) [14] | An evolutionary timeline of nanorefrigerants and energy savings on compressor work by the addition of nanolubricants is discussed. Presents the dispersion techniques, stability, properties of boiling and condensation, migration phenomenon of nanoparticles, and various novel techniques to improve the performance of refrigeration systems. |
| Bilen et al. (2022) [15] | The effect of nanorefrigerants on the vapor compression refrigeration system performance is presented. The use of nanorefrigerants in vapor compression refrigeration systems improves the coefficient of performance up to 43.93% and 56.32% in the theoretical and experimental studies, respectively. |
| Authors | Nanorefrigerant | Fraction | Evaluation |
|---|---|---|---|
| Bi et al. (2011) [19] | R600a with TiO2 | 0.1 & 0.5 | The energy consumption of R600a + TiO2 is reduced by 9.6%. |
| Javadi et al. (2013) [20] | R134a with TiO2 and Al2O3 | 0.06 and 0.1 wt.% | Energy saving of 25% using 0.1% TiO2 nanoparticle. |
| Singh and Lal (2014) [21] | R134a with Al2O3 | 0.5 wt.% | The improvement in COP is maximum (7.2 to 8.5%). When Al2O3 nanoparticles are increased to 1 wt.%, COP has been found to be lower than that of pure R134a. |
| Mahbubul et al. (2015) [22] | R134a with Al2O3 | 5 vol.% | COP is 3.2% higher than pure R134a. |
| Mahdi et al. (2017) [23] | R134a with Al2O3 | 0.01 & 0.02 vol.% | The coefficient of heat transfer is enhanced by 0.54% and 1.1%, and COP is improved by 3.33% and 12%, respectively. |
| Sharif et al. (2017) [24] | R134a with SiO2 | 0–0.7 vol.% | Maximum and average COP enhancements are 24% and 10.5% with the addition of nanoparticles, respectively. The optimum volumetric fraction of nanoparticles is 0.05%. |
| Ande et al. (2018) [25] | R134a with CuO | 1.6 wt.% | COP increased by 16.66%, and energy consumption decreased by 13.79%. |
| Dhamneya et al. (2018) [26] | R134a with TiO2 | 0.2 & 0.6 | COP increased by 34.39% and 55.14%, respectively. |
| Alawi et al. (2019) [27] | R141b with Al2O3 | 1–4 vol.% | COP is increased by 15.13% in comparison to pure R141b. |
| Javadi et al. (2021) [28] | R134a with Al2O3 | 0.1 wt.% | The electricity consumption is 2.69% lower than that of the base fluid. |
| Refrigerant | Molecular Weight | Critical Temperature (°C) | Critical Pressure (MPa) | Boiling Point (°C) | Safety Group | ODP | GWP | Class |
|---|---|---|---|---|---|---|---|---|
| R600a | 58.1 | 134.7 | 3.629 | −11.75 | A3 | 0 | 4 | HC |
| R134a | 102.0 | 101.1 | 4.06 | −26.07 | A1 | 0 | 1430 | HFC |
| R1234yf | 114.4 | 94.7 | 3.38 | −29.49 | A2L | 0 | 4 | HFO |
| R1233zd(E) | 130.5 | 166.4 | 3.62 | 18.26 | A1 | <0.0004 | 4 | HCFO |
| Nanoparticle | Thermal Conductivity | Density | Specific Heat | Particle Size (nm) | Average Price | Percentage Distribution |
|---|---|---|---|---|---|---|
| Cu | 396.5 | 8958 | 0.239 | 50 | 0.60 | 3.16% |
| Al2O3 | 38.7 | 3970 | 0.765 | 48 | 0.69 | 36.84% |
| CuO | 33.0 | 6315 | 0.530 | 77 | 0.41 | 12.63% |
| ZnO | 27.2 | 5630 | 0.494 | 30–50 | 0.60 | 3.16% |
| TiO2 | 8.4 | 3900 | 0.692 | 28 | 0.94 | 16.84% |
| SiO2 | 1.38 | 2400 | 0.968 | 55–75 | 0.41 | 9.47% |
| Nanorefrigerants Property | Correlation | Reference |
|---|---|---|
| Density () | Bhattad (2018) [34] | |
| Specific enthalpy () | Kosmadakis et al. (2019) [44] | |
| Specific heat () | Mahbubul et al. (2015 [22]) | |
| Dynamic viscosity () | Maïga (2005) [45] | |
| Thermal conductivity () | Hamilton and Crosser (1962) [46] |
| Component | Thermodynamic Balance Equation |
|---|---|
| Compressor | |
| Condenser | |
| Expansion valve | |
| Evaporator |
| Component | Exergy Destruction | Exergy Efficiency |
|---|---|---|
| Compressor | ||
| Condenser | ||
| Expansion valve | ||
| Evaporator |
| COP | ||||||
|---|---|---|---|---|---|---|
| Hussin et al. [50] | Model | Hussin et al. [50] | Model | Hussin et al. [50] | Model | |
| R134a | 394 | 394.37 | 258 | 259.40 | 3.24 | 3.20 |
| R134a + 0.1%SiO2 | 393 | 394.48 | 249 | 259.21 | 3.43 | 3.49 |
| R134a + 0.3%SiO2 | 395 | 394.52 | 250 | 258.83 | 3.72 | 3.66 |
| R134a + 0.5%SiO2 | 395 | 394.55 | 243 | 258.45 | 4.00 | 3.85 |
| Average deviation | 0.06% | 3.63% | −1.21% | |||
| Parameters | R600a-Al2O3 | R134a-Al2O3 | R1234yf-Al2O3 | R1233zd(E)-Al2O3 | ||||
|---|---|---|---|---|---|---|---|---|
| 0 | 0.1% | 0 | 0.1% | 0 | 0.1% | 0 | 0.1% | |
| (°C) | 0 | 0.03 | 0 | 0.028 | 0 | 0.03 | 0 | 0.024 |
| (°C) | 52.22 | 50.04 | 61.63. | 60.48 | 50.99 | 50.10 | 58.14 | 55.14 |
| (°C) | 45 | 44.67 | 45 | 44.82 | 45 | 44.83 | 45 | 44.67 |
| (kPa) | 157.96 | 159.12 | 292.80 | 293.11 | 315.82 | 316.15 | 48.11 | 48.16 |
| (kPa) | 604.45 | 599.39 | 1159.92 | 1154.46 | 1153.83 | 1148.90 | 252.14 | 249.62 |
| () | 554.34 | 554.38 | 396.60 | 398.62 | 363.29 | 363.31 | 435.17 | 435.19 |
| () | 628.58 | 624.48 | 440.36 | 439.20 | 396.84 | 395.89 | 478.07 | 475.45 |
| () | 309.07 | 308.22 | 263.94 | 263.67 | 262.30 | 262.04 | 286.20 | 285.79 |
| 0 | 0.0001 | 0 | 0.0004 | 0 | 0.0004 | 0 | 0.0001 | |
| 0 | 0.0132 | 0 | 0.0284 | 0 | 0.0255 | 0 | 0.0306 | |
| () | 4.26 | 4.26 | 14.43 | 14.44 | 17.65 | 17.66 | 2.84 | 2.84 |
| () | 524.37 | 524.83 | 1125.05 | 1125.86 | 1012.65 | 1013.40 | 1212.77 | 1213.62 |
| () | 245.26 | 246.16 | 134.66 | 134.95 | 100.99 | 101.27 | 148.97 | 149.39 |
| () | 1044.08 | 1048.92 | 1942.91 | 1949.08 | 1782.17 | 1788.90 | 422.52 | 424.15 |
| () | 72.24 | 70.10 | 41.75 | 40.58 | 33.55 | 32.58 | 42.90 | 40.27 |
| COP | 3.30 | 3.51 | 3.23 | 3.33 | 3.01 | 3.11 | 3.47 | 3.71 |
| 29.69% | 31.56% | 28.99% | 29.89% | 27.06% | 27.93% | 31.21% | 33.35% | |
Publisher’s Note: MDPI stays neutral with regard to jurisdictional claims in published maps and institutional affiliations. |
© 2022 by the authors. Licensee MDPI, Basel, Switzerland. This article is an open access article distributed under the terms and conditions of the Creative Commons Attribution (CC BY) license (https://creativecommons.org/licenses/by/4.0/).
Share and Cite
Li, S.; Lu, J. A Theoretical Comparative Study of Vapor-Compression Refrigeration Cycle using Al2O3 Nanoparticle with Low-GWP Refrigerants. Entropy 2022, 24, 1820. https://doi.org/10.3390/e24121820
Li S, Lu J. A Theoretical Comparative Study of Vapor-Compression Refrigeration Cycle using Al2O3 Nanoparticle with Low-GWP Refrigerants. Entropy. 2022; 24(12):1820. https://doi.org/10.3390/e24121820
Chicago/Turabian StyleLi, Shengyu, and Jun Lu. 2022. "A Theoretical Comparative Study of Vapor-Compression Refrigeration Cycle using Al2O3 Nanoparticle with Low-GWP Refrigerants" Entropy 24, no. 12: 1820. https://doi.org/10.3390/e24121820
APA StyleLi, S., & Lu, J. (2022). A Theoretical Comparative Study of Vapor-Compression Refrigeration Cycle using Al2O3 Nanoparticle with Low-GWP Refrigerants. Entropy, 24(12), 1820. https://doi.org/10.3390/e24121820

