Robustness of Interdependent Networks with Weak Dependency Based on Bond Percolation
Abstract
1. Introduction
2. The Model of Interdependent Networks with Weak Dependency
3. Developing the Framework for Analyzing the Robustness in Interdependent Networks with Weak Dependency
3.1. Bond Percolation in Interdependent Networks with Weak Dependency
- p is the fraction of links remaining in network A after the initial failure.
- is the probability that the end node of the remaining links leads to the GCC of network A.
- is the probability that the dependency nodes of the surviving nodes in network A of network B belong to the GCC of network B.
3.2. Applying the Framework to Interdependent ER Networks
3.3. Applying the Framework to Interdependent SF Networks
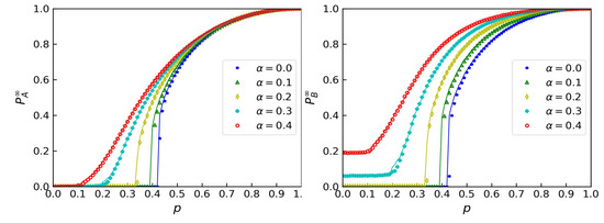
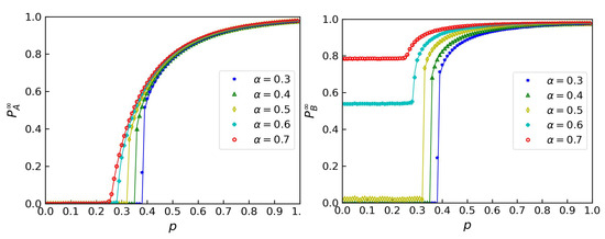
4. The Crossover Points of Phase Transitions
4.1. The Percolation Thresholds
4.2. The Crossover Points
5. Conclusion
Author Contributions
Funding
Institutional Review Board Statement
Informed Consent Statement
Data Availability Statement
Acknowledgments
Conflicts of Interest
References
- Cohen, R.; Erez, K.; Ben-Avraham, D.; Havlin, S. Resilience of the internet to random breakdowns. Phys. Rev. Lett. 2000, 85, 4626. [Google Scholar] [CrossRef] [PubMed]
- Du, W.B.; Zhou, X.L.; Lordan, O.; Wang, Z.; Zhao, C.; Zhu, Y.B. Analysis of the Chinese Airline Network as multi-layer networks. Transp. Res. Part Logist. Transp. Rev. 2016, 89, 108–116. [Google Scholar] [CrossRef]
- Fotouhi, H.; Moryadee, S.; Miller-Hooks, E. Quantifying the resilience of an urban traffic-electric power coupled system. Reliab. Eng. Syst. Saf. 2017, 163, 79–94. [Google Scholar] [CrossRef]
- Barabási, A.L.; Albert, R. Emergence of scaling in random networks. Science 1999, 286, 509–512. [Google Scholar] [CrossRef]
- Jeong, H.; Tombor, B.; Albert, R.; Oltvai, Z.N.; Barabási, A.L. The large-scale organization of metabolic networks. Nature 2000, 407, 651–654. [Google Scholar] [CrossRef]
- Albert, R.; Barabási, A.L. Statistical mechanics of complex networks. Rev. Mod. Phys. 2002, 74, 47. [Google Scholar] [CrossRef]
- Albert, R.; Jeong, H.; Barabási, A.L. Error and attack tolerance of complex networks. Nature 2000, 406, 378–382. [Google Scholar] [CrossRef]
- Moreno, Y.; Gómez, J.; Pacheco, A. Instability of scale-free networks under node-breaking avalanches. Europhys. Lett. 2002, 58, 630. [Google Scholar] [CrossRef]
- Baxter, G.; Dorogovtsev, S.; Goltsev, A.; Mendes, J. Avalanche collapse of interdependent networks. Phys. Rev. Lett. 2012, 109, 248701. [Google Scholar] [CrossRef]
- Buldyrev, S.V.; Parshani, R.; Paul, G.; Stanley, H.E.; Havlin, S. Catastrophic cascade of failures in interdependent networks. Nature 2010, 464, 1025–1028. [Google Scholar] [CrossRef]
- Fan, J.; Meng, J.; Ashkenazy, Y.; Havlin, S.; Schellnhuber, H.J. Network analysis reveals strongly localized impacts of El Niño. Proc. Natl. Acad. Sci. USA 2017, 114, 7543–7548. [Google Scholar] [CrossRef] [PubMed]
- Bianconi, G. Multilayer Networks: Structure and Function; Oxford University Press: Oxford, UK, 2018. [Google Scholar]
- Bianconi, G. Large deviation theory of percolation on multiplex networks. J. Stat. Mech. Theory Exp. 2019, 2019, 023405. [Google Scholar] [CrossRef]
- Gao, J.; Buldyrev, S.V.; Stanley, H.E.; Havlin, S. Networks formed from interdependent networks. Nat. Phys. 2012, 8, 40–48. [Google Scholar] [CrossRef]
- Gao, J.; Li, D.; Havlin, S. From a single network to a network of networks. Natl. Sci. Rev. 2014, 1, 346–356. [Google Scholar] [CrossRef]
- Havlin, S.; Stanley, H.E.; Bashan, A.; Gao, J.; Kenett, D.Y. Percolation of interdependent network of networks. Chaos Solitons Fractals 2015, 72, 4–19. [Google Scholar] [CrossRef]
- Li, M.; Liu, R.R.; Lü, L.; Hu, M.B.; Xu, S.; Zhang, Y.C. Percolation on complex networks: Theory and application. Phys. Rep. 2021, 907, 1–68. [Google Scholar] [CrossRef]
- Panzieri, S.; Setola, R. Failures propagation in critical interdependent infrastructures. Int. J. Model. Identif. Control 2008, 3, 69–78. [Google Scholar] [CrossRef]
- Zhou, D.; Bashan, A.; Cohen, R.; Berezin, Y.; Shnerb, N.; Havlin, S. Simultaneous first-and second-order percolation transitions in interdependent networks. Phys. Rev. E 2014, 90, 012803. [Google Scholar] [CrossRef]
- Callaway, D.S.; Newman, M.E.; Strogatz, S.H.; Watts, D.J. Network robustness and fragility: Percolation on random graphs. Phys. Rev. Lett. 2000, 85, 5468. [Google Scholar] [CrossRef]
- Huang, X.; Gao, J.; Buldyrev, S.V.; Havlin, S.; Stanley, H.E. Robustness of interdependent networks under targeted attack. Phys. Rev. E 2011, 83, 065101. [Google Scholar] [CrossRef]
- Di Muro, M.A.; La Rocca, C.E.; Stanley, H.E.; Havlin, S.; Braunstein, L.A. Recovery of interdependent networks. Sci. Rep. 2016, 6, 1–11. [Google Scholar] [CrossRef] [PubMed]
- Parshani, R.; Buldyrev, S.V.; Havlin, S. Interdependent networks: Reducing the coupling strength leads to a change from a first to second order percolation transition. Phys. Rev. Lett. 2010, 105, 048701. [Google Scholar] [CrossRef]
- Liu, X.; Stanley, H.E.; Gao, J. Breakdown of interdependent directed networks. Proc. Natl. Acad. Sci. USA 2016, 113, 1138–1143. [Google Scholar] [CrossRef] [PubMed]
- Liu, X.; Pan, L.; Stanley, H.E.; Gao, J. Multiple phase transitions in networks of directed networks. Phys. Rev. E 2019, 99, 012312. [Google Scholar] [CrossRef]
- Huang, X.; Shao, S.; Wang, H.; Buldyrev, S.V.; Stanley, H.E.; Havlin, S. The robustness of interdependent clustered networks. Europhys. Lett. 2013, 101, 18002. [Google Scholar] [CrossRef]
- Shao, S.; Huang, X.; Stanley, H.E.; Havlin, S. Robustness of a partially interdependent network formed of clustered networks. Phys. Rev. E 2014, 89, 032812. [Google Scholar] [CrossRef] [PubMed]
- Shao, J.; Buldyrev, S.V.; Havlin, S.; Stanley, H.E. Cascade of failures in coupled network systems with multiple support-dependence relations. Phys. Rev. E 2011, 83, 036116. [Google Scholar] [CrossRef]
- Vaknin, D.; Danziger, M.M.; Havlin, S. Spreading of localized attacks in spatial multiplex networks. New J. Phys. 2017, 19, 073037. [Google Scholar] [CrossRef]
- Parshani, R.; Rozenblat, C.; Ietri, D.; Ducruet, C.; Havlin, S. Inter-similarity between coupled networks. Europhys. Lett. 2011, 92, 68002. [Google Scholar] [CrossRef]
- Min, B.; Do Yi, S.; Lee, K.M.; Goh, K.I. Network robustness of multiplex networks with interlayer degree correlations. Phys. Rev. E 2014, 89, 042811. [Google Scholar] [CrossRef]
- Valdez, L.D.; Macri, P.A.; Stanley, H.E.; Braunstein, L.A. Triple point in correlated interdependent networks. Phys. Rev. E 2013, 88, 050803. [Google Scholar] [CrossRef] [PubMed]
- Liu, R.R.; Li, M.; Jia, C.X. Cascading failures in coupled networks: The critical role of node-coupling strength across networks. Sci. Rep. 2016, 6, 1–6. [Google Scholar] [CrossRef] [PubMed]
- Hackett, A.; Cellai, D.; Gómez, S.; Arenas, A.; Gleeson, J.P. Bond percolation on multiplex networks. Phys. Rev. X 2016, 6, 021002. [Google Scholar] [CrossRef]
- Feng, L.; Monterola, C.P.; Hu, Y. The simplified self-consistent probabilities method for percolation and its application to interdependent networks. New J. Phys. 2015, 17, 063025. [Google Scholar] [CrossRef]
- Gao, Y.; Chen, S.; Zhou, J.; Stanley, H.; Gao, J. Percolation of edge-coupled interdependent networks. Phys. Stat. Mech. Its Appl. 2021, 580, 126136. [Google Scholar] [CrossRef]
- Chen, S.; Gao, Y.; Liu, X.; Gao, J.; Havlin, S. Robustness of interdependent networks based on bond percolation. Europhys. Lett. 2020, 130, 38003. [Google Scholar] [CrossRef]
- Reis, S.D.; Hu, Y.; Babino, A.; Andrade, J.S., Jr.; Canals, S.; Sigman, M.; Makse, H.A. Avoiding catastrophic failure in correlated networks of networks. Nat. Phys. 2014, 10, 762–767. [Google Scholar] [CrossRef]
- Son, S.; Bizhani, G.; Christensen, C.; Grassberger, P.; Paczuski, M. Percolation theory on interdependent networks based on epidemic spreading. EPL (Europhys. Lett.) 2012, 97, 16006. [Google Scholar] [CrossRef]





| ER Networks | SF Networks | |||||
|---|---|---|---|---|---|---|
| 〈k〉 = 4 | 〈k〉 = 6 | 〈k〉 = 8 | kmin = 2 | kmin = 3 | kmin = 4 | |
| bond percolation | 0.6182 | 0.5076 | 0.4246 | 0.2978 | 0.2777 | 0.2471 |
| site percolation | 0.5737 | 0.4721 | 0.4056 | 0.2913 | 0.2536 | 0.2228 |
Publisher’s Note: MDPI stays neutral with regard to jurisdictional claims in published maps and institutional affiliations. |
© 2022 by the authors. Licensee MDPI, Basel, Switzerland. This article is an open access article distributed under the terms and conditions of the Creative Commons Attribution (CC BY) license (https://creativecommons.org/licenses/by/4.0/).
Share and Cite
Qiang, Y.; Liu, X.; Pan, L. Robustness of Interdependent Networks with Weak Dependency Based on Bond Percolation. Entropy 2022, 24, 1801. https://doi.org/10.3390/e24121801
Qiang Y, Liu X, Pan L. Robustness of Interdependent Networks with Weak Dependency Based on Bond Percolation. Entropy. 2022; 24(12):1801. https://doi.org/10.3390/e24121801
Chicago/Turabian StyleQiang, Yingjie, Xueming Liu, and Linqiang Pan. 2022. "Robustness of Interdependent Networks with Weak Dependency Based on Bond Percolation" Entropy 24, no. 12: 1801. https://doi.org/10.3390/e24121801
APA StyleQiang, Y., Liu, X., & Pan, L. (2022). Robustness of Interdependent Networks with Weak Dependency Based on Bond Percolation. Entropy, 24(12), 1801. https://doi.org/10.3390/e24121801

