Non-Hermitian Generalization of Rényi Entropy
Abstract
1. Introduction
2. -Rényi Entropy
2.1. Shannon Entropy and Classic Rényi Entropy
2.2. Von Neumann Entropy and Quantum Rényi Entropy
2.3. The Non-Hermitian Generalization of Von Neumann Entropy
3. Our NH Quantum -Rényi Entropy
3.1. NH Rényi Definition
3.2. Typical Cases of Our NH Quantum -Rényi Entropy with Fixed
- (i)
- NH von Nuemann entropy ()
- (ii)
- NH max-entropy ()
- (iii)
- NH min-entropy ()
- (iv)
- NH max-entropy ()
- (v)
- NH collision entropy ()
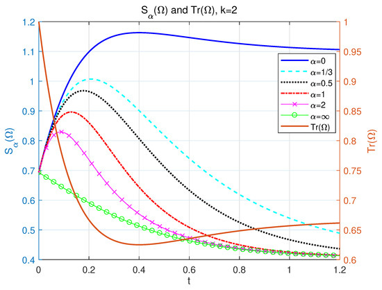
4. Illustration of the Necessity of Our Generalized NH Quantum Rényi Entropy
4.1. A Two-Level Tunneling Model with Non-Hermitian Detuning and Decreasing NH Entropy
4.2. A Two-Level Tunneling Model with Non-Hermitian Detuning () and Asymptotically Constant NH Entropy
4.3. A Two-Level Tunneling Model with Non-Hermitian Detuning () and Increasing NH Entropy
5. Discussion and Conclusions
Author Contributions
Funding
Conflicts of Interest
Appendix A. Our NH α-Rényi Entropy When α = 0 and ∞
Appendix A.1. Max-Entropy (α = 0)
Appendix A.2. Min-Entropy (α = ∞)
Appendix B. Prove the Threshold of Our NH α-Rényi Entropy in ‘Gauge’ Shift
References
- Greven, A.; Keller, G.; Warnecke, G. Entropy; Princeton University Press: Princeton, NJ, USA, 2014; Volume 47. [Google Scholar]
- Wehrl, A. General properties of entropy. Rev. Mod. Phys. 1978, 50, 221. [Google Scholar] [CrossRef]
- Von Neumann, J. Mathematische Grundlagen der Quantenmechanik, 1st ed.; Springer: Berlin/Heidelberg, Germany, 1932. [Google Scholar]
- Von Neumann, J. Mathematische Grundlagen der Quantenmechanik (English Translation); Princeton University Press: Princeton, NJ, USA, 1955. [Google Scholar]
- Shannon, C.E. A Mathematical Theory of Communication. Bell Syst. Tech. J. 1948, 27, 379–423. [Google Scholar] [CrossRef]
- Kullback, S.; Leibler, R.A. On information and sufficiency. Ann. Math. Stat. 1951, 22, 79–86. [Google Scholar] [CrossRef]
- Rényi, A. On Measures of Information and Entropy. Proc. Symp. Math. Stat. Probab. 1961, 10, 547–561. [Google Scholar]
- Tomamichel, M. A Framework for Non-Asymptotic Quantum Information Theory. arXiv 2012, arXiv:1203.2142. [Google Scholar]
- Hartley, R.V.L. Transmission of information. Bell Syst. Tech. J. 1928, 7, 535–563. [Google Scholar] [CrossRef]
- Renner, R. Security of Quantum Key Distribution. Ph.D. Thesis, Swiss Federal Institute of Technology Zurich, Zürich, Switzerland, 2005. [Google Scholar]
- Furrer, F.; Aberg, J.; Renner, R. Min- and Max-Entropy in Infinite Dimensions. Commun. Math. Phys. 2011, 360, 165–186. [Google Scholar] [CrossRef]
- König, R.; Renner, R.; Schaffner, C. The Operational Meaning of Min- and Max-Entropy. IEEE Trans. Inf. Theory 2009, 55, 4337–4347. [Google Scholar] [CrossRef]
- Bosyk, G.M.; Portesi, M.; Plastino, A. Collision Entropy and Optimal Uncertainty. Phys. Rev. A 2012, 85, 012108. [Google Scholar] [CrossRef]
- Beigi, S.; Gohari, A. Quantum Achievability Proof via Collision Relative Entropy. IEEE Trans. Inf. Theory 2014, 60, 7980–7986. [Google Scholar] [CrossRef]
- Holevo, A.S.; Shirokov, M.E. Mutual and Coherent Information for Infinite-dimensional Quantum Channels. Probl. Inf. Transm. 2010, 46, 201–218. [Google Scholar] [CrossRef]
- Zhang, L. Conditional Mutual Information and Commutator. Int. J. Theor. Phys. 2013, 52, 2112–2117. [Google Scholar] [CrossRef]
- Yang, Y.Y.; Li, L.; Ye, L.; Wang, D. Quantum correlation and entropic uncertainty in a quantum-dot system. Chin. Phys. B 2022, 31, 100301. [Google Scholar] [CrossRef]
- Bebiano, A.; Da Providência, J.; Da Providência, J.P. Rényi’s Quantum Thermodynamical Inequalities. Electron. J. Linear Algebra 2018, 33, 63–73. [Google Scholar] [CrossRef]
- Renner, R.; König, R. Universally Composable Privacy Amplification against Quantum Adversaries. Proc. TCC 2005, 3378, 407–435. [Google Scholar]
- Gamow, G. Quantum Theory of the Atomic Nucleus. Z. Phys. 1928, 51, 204. [Google Scholar] [CrossRef]
- Breit, G.; Wigner, E. Capture of Slow Neutrons. Phys. Rev. 1936, 49, 519. [Google Scholar] [CrossRef]
- Ho, Y.K. The method of complex coordinate rotation and its applications to atomic collision processes. Phys. Rep. 1983, 99, 1–68. [Google Scholar] [CrossRef]
- Moiseyev, N. Quantum theory of resonances: Calculating energies, widths and cross-sections by complex scaling. Phys. Rep. 1998, 302, 212–293. [Google Scholar] [CrossRef]
- Aguilar, J.; Combes, J.M. A class of analytic perturbations for one-body Schrödinger Hamiltonians. Commun. Math. Phys. 1971, 22, 269–279. [Google Scholar] [CrossRef]
- Balslev, E.; Combes, J.M. Spectral properties of many-body Schrödinger operators with dilatation-analytic interactions. Commun. Math. Phys. 1971, 22, 280–294. [Google Scholar] [CrossRef]
- Hadwick, J.; Gamow, G. Artificial Disintegration by α-Particles. Nature 1930, 126, 54–55. [Google Scholar] [CrossRef]
- Takayuki, M.; Yuma, K.; Hiroshi, M.; Kiyoshi, K. Recent development of complex scaling method for many-body resonances and continua in light nuclei. Prog. Part. Nucl. Phys. 2014, 79, 1–56. [Google Scholar]
- Manfredi, G.; Feix, M.R. Entropy and Wigner functions. Phys. Rev. E 2000, 62, 4. [Google Scholar] [CrossRef] [PubMed]
- Moiseyev, N. Non-Hermitian Quantum Mechanics; Cambridge University Press: Cambridge, UK, 2011. [Google Scholar]
- Bender, C.M.; Boettcher, S. Real spectra in non-HermitianHamiltonians having PT symmetry. Phys. Rev. Lett. 1998, 80, 5243–5246. [Google Scholar] [CrossRef]
- Bender, C.M.; Boettcher, S.; Meisinger, P.N. PT-symmetric quantum mechanics. J. Math. Phys. 1999, 40, 2201–2229. [Google Scholar] [CrossRef]
- Bender, C.M.; Brody, D.C.; Jones, H.F. Complex extension of quantum mechanics. Phys. Rev. Lett. 2002, 89, 270401. [Google Scholar] [CrossRef]
- Bender, C.M.; Brody, D.C.; Jones, H.F. Must a Hamiltonian be Hermitian? Am. J. Phys. 2003, 71, 1095–1102. [Google Scholar] [CrossRef]
- Weigert, S. Completeness and orthonormality in PT-symmetric quantum mechanics. Phys. Rev. A 2003, 68, 062111. [Google Scholar] [CrossRef]
- Japaridze, G.S. Space of state vectors in PT-symmetric quantum mechanics. J. Phys. A Math. Gen. 2002, 35, 1709–1718. [Google Scholar] [CrossRef]
- Mostafazadeh, A. Pseudo-Hermiticity versus PT symmetry: The necessary condition for the reality of the spectrum of a non-Hermitian Hamiltonian. J. Math. Phys. 2002, 43, 205–214. [Google Scholar] [CrossRef]
- Mostafazadeh, A. Pseudo-Hermiticity versus PT symmetry: II. A complete characterization of non-Hermitian Hamiltonians with a real spectrum. J. Math. Phys. 2002, 43, 2814. [Google Scholar] [CrossRef]
- Mostafazadeh, A. Pseudo-Hermiticity versus PT-symmetry: III. Equivalence of pseudo-Hermiticity and the presence of antilinear symmetries. J. Math. Phys. 2002, 43, 3944–3951. [Google Scholar] [CrossRef]
- Mostafazadeh, A. Pseudo-supersymmetric quantum mechanics and isospectral pseudo-Hermitian Hamiltonians. Nucl. Phys. B 2002, 640, 419. [Google Scholar] [CrossRef]
- Mostafazadeh, A. Pseudo-Hermiticity for a class of nondiagonalizable Hamiltonians. J. Math. Phys. 2002, 43, 6343. [Google Scholar] [CrossRef]
- Mostafazadeh, A. Pseudo-Hermiticity and generalized PT- and CPT-symmetries. J. Math. Phys. 2003, 44, 974. [Google Scholar] [CrossRef]
- Mostafazadeh, A. Pseudo-unitary operators and pseudo-unitary quantum dynamics. J. Math. Phys. 2004, 45, 932. [Google Scholar] [CrossRef]
- Zheng, C. Quantum simulation of pseudo-Hermitian-φ-symmetric two-level systems. Entropy 2022, 24, 867. [Google Scholar] [CrossRef]
- Ding, L.; Shi, K.; Zhang, Q.; Shen, D.; Zhang, X.; Zhang, W. Experimental determination of PT-symmetric exceptional points in a single trapped ion. Phys. Rev. Lett. 2021, 126, 083604. [Google Scholar] [CrossRef]
- Zheng, C. Quantum simulation of τ-anti-pseudo-Hermitian two-level systems. Chin. Phys. B 2022, 31, 100301. [Google Scholar] [CrossRef]
- Ohlsson, T.; Zhou, S. Density-matrix formalism for PT-symmetric non-Hermitian Hamiltonians with the Lindblad equation. Phys. Rev. A 2021, 103, 022218. [Google Scholar] [CrossRef]
- Breuer, H.-P.; Petruccione, F. The Theory of Open Quantum Systems, 10th ed.; Oxford University Press: Oxford, UK, 2002. [Google Scholar]
- Barreiro, J.T.; Müller, M.; Schindler, P.; Nigg, D.; Monz, T.; Chwalla, M.; Hennrich, M.; Roos, C.F.; Zoller, P.; Blatt, R. An Open-system Quantum Simulator with Trapped Ions. Nature 2011, 470, 486–491. [Google Scholar] [CrossRef] [PubMed]
- Hu, Z.; Xia, R.; Kais, S. A Quantum Algorithm for Evolving Open Quantum Dynamics on Quantum Computing Devices. Sci. Rep. 2020, 10, 3301. [Google Scholar] [CrossRef] [PubMed]
- Del Re, L.; Rost, B.; Kemper, A.F.; Freericks, J.K. Driven-Dissipative Quantum Mechanics on a Lattice: Simulating a Fermionic Reservoir on a Quantum Computer. Phys. Rev. B 2020, 102, 125112. [Google Scholar] [CrossRef]
- Viyuela, O.; Rivas, A.; Gasparinetti, S.; Wallraff, A.; Filipp, S.; Martin-Delgado, M.A. Observation of Topological Uhlmann Phases with Superconducting Qubits. NJP Quantum Inf. 2018, 4, 10. [Google Scholar] [CrossRef]
- Zheng, C. Universal Quantum Simulation of Single-Qubit Nonunitary Operators using Duality Quantum Algorithm. Sci. Rep. 2021, 11, 3960. [Google Scholar] [CrossRef]
- Schlimgen, A.W.; Head-Marsden, K.; Sager, L.M.; Narang, P.; Mazziotti, D.A. Quantum Simulation of Open Quantum Systems Using a Unitary Decomposition of Operators. Phys. Rev. Lett. 2021, 127, 270503. [Google Scholar] [CrossRef]
- Del Re, L.; Rost, B.; Foss-Feig, M.; Kemper, A.F.; Freericks, J.K. Robust Measurements of N-Point Correlation Functions of Driven-Dissipative Quantum Systems on a Digital Quantum Computer. arXiv 2022, arXiv:2204.12400. [Google Scholar]
- Ding, P.Z.; Yi, W. Two-body exceptional points in open dissipative systems. Chin. Phys. B 2022, 31, 010309. [Google Scholar] [CrossRef]
- Zheng, C. Duality Quantum Simulation of A Generalized Anti-PT-symmetric Two-level System. EPL (Europhys. Lett.) 2019, 126, 30005. [Google Scholar] [CrossRef]
- Wen, J.; Qin, G.; Zheng, C.; Wei, S.; Kong, X.; Xin, T.; Long, G.L. Observation of Information Flow in the Anti-PT-symmetric System with Nuclear Spins. NPJ Quantum Inf. 2020, 6, 28. [Google Scholar] [CrossRef]
- Zheng, C.; Tian, J.; Li, D.L.; Wen, J.; Wei, S.; Li, Y.S. Efficient quantum simulation of an anti-P-pseudo-Hermitian two-level system. Entropy 2020, 22, 812. [Google Scholar] [CrossRef] [PubMed]
- Zheng, C. Quantum simulation of PT-arbitrary-phase–symmetric systems. Europhys. Lett. 2021, 136, 30002. [Google Scholar] [CrossRef]
- Zheng, C.; Hao, L.; Long, G.L. Observation of a Fast Evolution in a Parity-Time-Symmetric System. Philos. Trans. R. Soc. A Math. Phys. Eng. Sci. 2013, 371, 20120053. [Google Scholar] [CrossRef] [PubMed]
- Zheng, C. Duality Quantum Simulation of a General Parity-Time-Symmetric Two-level System. EPL (Europhys. Lett.) 2018, 123, 40002. [Google Scholar] [CrossRef]
- Wen, J.; Zheng, C.; Kong, X.; Wei, S.; Xin, T.; Long, G.L. Experimental Demonstration of a Digital Quantum Simulation of a General PT-symmetric System. Phys. Rev. A 2019, 99, 062122. [Google Scholar] [CrossRef]
- Gao, W.-C.; Zheng, C.; Liu, L.; Wang, T.-J.; Wang, C. Experimental simulation of the parity-time symmetric dynamics using photonic qubits. Opt. Exp. 2021, 29, 517–526. [Google Scholar] [CrossRef]
- Wen, J.; Zheng, C.; Ye, Z.; Xin, T.; Long, G.L. Stable states with nonzero entropy under broken PT-symmetry. Phys. Rev. Res. 2021, 3, 013256. [Google Scholar] [CrossRef]
- Wang, H.; Wei, S.; Zheng, C.; Kong, X.; Wen, J.; Nie, X.; Li, J.; Lu, D.; Xin, T. Experimental simulation of the four-dimensional Yang-Baxter equation on a spin quantum simulator. Phys. Rev. A 2020, 102, 01261. [Google Scholar] [CrossRef]
- Zhang, S.; Jin, L.; Song, Z. Topology of a parity-time symmetric non-Hermitian rhombic lattice. Chin. Phys. B 2022, 31, 010312. [Google Scholar] [CrossRef]
- Hu, Z.; Jin, L.; Zeng, Z.-Y.; Tang, J.; Luo, X.-B. Quasi-parity-time symmetric dynamics in periodically driven two-level non-Hermitian system. Acta Phys. Sin. 2022, 71, 074207. [Google Scholar] [CrossRef]
- Jin, L. Unitary Scattering Protected by Pseudo-Hermiticity. Chin. Phys. Lett. 2022, 39, 037302. [Google Scholar] [CrossRef]
- Zhang, H.; Peng, M.; Xu, X.-W.; Jing, H. Anti-PT-symmetric Kerr gyroscope. Chin. Phys. B 2022, 31, 014215. [Google Scholar] [CrossRef]
- Sergi, A.; Zloshchastiev, K.G. Non-Hermitian quantum dynamics of a two-level system and models of dissipative environments. Int. J. Mod. Phys. B 2013, 27, 1345053. [Google Scholar] [CrossRef]
- Sergi, A.; Zloshchastiev, K.G. Time correlation functions for non-Hermitian quantum systems. Phys. Rev. A 2015, 91, 062108. [Google Scholar] [CrossRef]
- Sergi, A. Embedding quantum systems with a non-conserved probability in classical environments. Theor. Chem. Acc. 2015, 134, 79. [Google Scholar] [CrossRef]
- Sergi, A.; Zloshchastiev, K.G. Quantum Entropy of Systems described by non-Hermitian Hamiltonians. J. Math. Phys. 2016, 3, 033102. [Google Scholar] [CrossRef]
- Sergi, A.; Giaquinta, P.V. Linear Quantum Entropy and Non-Hermitian Hamiltonians. Entropy 2016, 18, 451. [Google Scholar] [CrossRef]
- Seshadreesan, K.P.; Lami, L.; Wilde, M.M. Renyi relative entropies of quantum Gaussian states. Commun. Math. Phys. 2018, 59, 072204. [Google Scholar] [CrossRef]
- Li, Y.; Tan, V.Y.F.; Tomamichel, M. Optimal Adaptive Strategies for Sequential Quantum Hypothesis Testing. J. Phys. A-Math. Theor. 2018, 51, 444002. [Google Scholar]
- Qi, H.; Wang, Q.; Wilde, M.M. Applications of position-based coding to classical communication over quantum channels. In Proceedings of the IEEE Information Theory Workshop (ITW), Kaohsiung, Taiwan, 6–10 November 2017. [Google Scholar]
- Hiai, F.; Mosonyi, M.; Hayashi, M. Quantum hypothesis testing with group symmetry. J. Math. Phys. 2009, 50, 103304. [Google Scholar] [CrossRef]
- Müller-Lennert, M.; Dupuis, F.; Szehr, O.; Fehr, S.; Tomamichel, M. On quantum Rényi entropies: A new generalization and some properties. J. Math. Phys. 2013, 54, 122203. [Google Scholar] [CrossRef]
- Renner, R.; Wolf, S. Smooth Rényi Entropy and Applications. In Proceedings of the International Symposium on Information Theory, Chicago, IL, USA, 27 June–2 July 2004. [Google Scholar]
- Renner, R.; Wolf, S. Simple and Tight Bounds for Information Reconciliation and Privacy Amplication. Proc. Asiacrypt 2005, 3788, 199. [Google Scholar]




Publisher’s Note: MDPI stays neutral with regard to jurisdictional claims in published maps and institutional affiliations. |
© 2022 by the authors. Licensee MDPI, Basel, Switzerland. This article is an open access article distributed under the terms and conditions of the Creative Commons Attribution (CC BY) license (https://creativecommons.org/licenses/by/4.0/).
Share and Cite
Li, D.; Zheng, C. Non-Hermitian Generalization of Rényi Entropy. Entropy 2022, 24, 1563. https://doi.org/10.3390/e24111563
Li D, Zheng C. Non-Hermitian Generalization of Rényi Entropy. Entropy. 2022; 24(11):1563. https://doi.org/10.3390/e24111563
Chicago/Turabian StyleLi, Daili, and Chao Zheng. 2022. "Non-Hermitian Generalization of Rényi Entropy" Entropy 24, no. 11: 1563. https://doi.org/10.3390/e24111563
APA StyleLi, D., & Zheng, C. (2022). Non-Hermitian Generalization of Rényi Entropy. Entropy, 24(11), 1563. https://doi.org/10.3390/e24111563

