Kinetic Theory and Memory Effects of Homogeneous Inelastic Granular Gases under Nonlinear Drag
Abstract
1. Introduction
2. The Model
2.1. Enskog–Fokker–Planck Equation
2.2. Dynamics
3. Approximate Schemes
3.1. Maxwellian Approximation
3.2. First Sonine Approximation
3.2.1. Steady-State Values
3.2.2. Special Limits
Absence of Drag
Homogeneous Cooling State
Linear Drag Force
Collisionless Gas
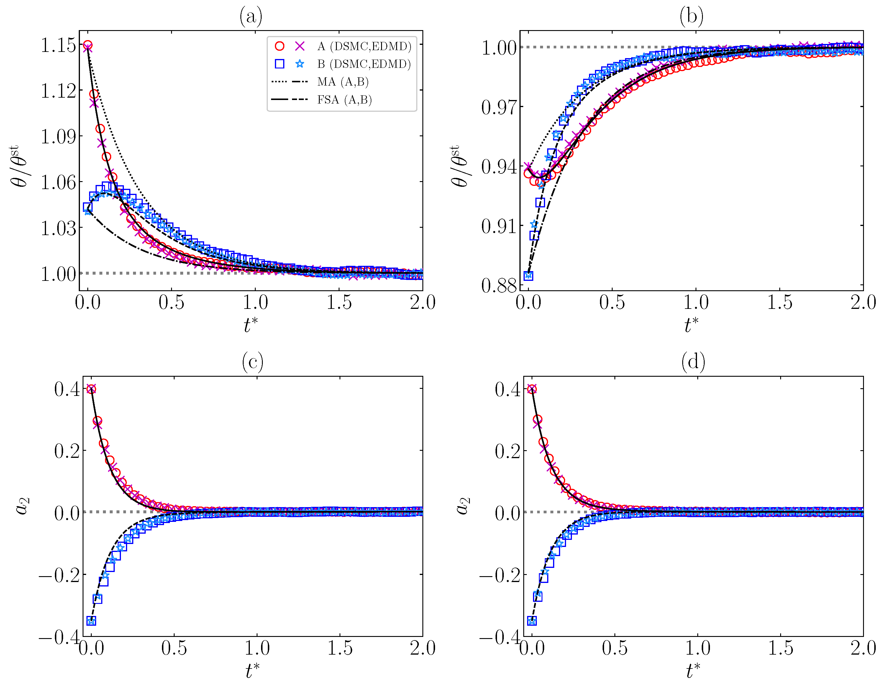
4. Comparison with Computer Simulations
4.1. Memory Effects
4.1.1. Mpemba Effect
4.1.2. Kovacs Effect
5. Conclusions
Author Contributions
Funding
Institutional Review Board Statement
Data Availability Statement
Acknowledgments
Conflicts of Interest
Abbreviations
| DME | Direct Mpemba effect |
| DSMC | Direct simulation Monte Carlo |
| EDMD | Event-driven molecular dynamics |
| EFPE | Enskog–Fokker–Planck equation |
| FSA | First Sonine approximation |
| IHS | Inelastic hard spheres |
| IME | Inverse Mpemba effect |
| MA | Maxwellian approximation |
| VDF | Velocity distribution function |
Appendix A. Simulation Details
Appendix A.1. Direct Simulation Monte Carlo
Appendix A.2. Event-Driven Molecular Dynamics
References
- Tatsumi, S.; Murayama, Y.; Hayakawa, H.; Sano, M. Experimental study on the kinetics of granular gases under microgravity. J. Fluid Mech. 2009, 641, 521–539. [Google Scholar] [CrossRef]
- Yu, P.; Schröter, M.; Sperl, M. Velocity Distribution of a Homogeneously Cooling Granular Gas. Phys. Rev. Lett. 2020, 124, 208007. [Google Scholar] [CrossRef] [PubMed]
- Pouliquen, O.; Nicolas, M.; Weidman, P.D. Crystallization of non-Brownian Spheres under Horizontal Shaking. Phys. Rev. Lett. 1997, 79, 3640–3643. [Google Scholar] [CrossRef]
- Tennakoon, S.G.K.; Behringer, R.P. Vertical and Horizontal Vibration of Granular Materials: Coulomb Friction and a Novel Switching State. Phys. Rev. Lett. 1998, 81, 794–797. [Google Scholar] [CrossRef]
- Metcalfe, G.; Tennakoon, S.G.K.; Kondic, L.; Schaeffer, D.G.; Behringer, R.P. Granular friction, Coulomb failure, and the fluid-solid transition for horizontally shaken granular materials. Phys. Rev. E 2002, 65, 031302. [Google Scholar] [CrossRef]
- Huan, C.; Yang, X.; Candela, D.; Mair, R.W.; Walsworth, R.L. NMR experiments on a three-dimensional vibrofluidized granular medium. Phys. Rev. E 2004, 69, 041302. [Google Scholar] [CrossRef]
- Schröter, M.; Goldman, D.I.; Swinney, H.L. Stationary state volume fluctuations in a granular medium. Phys. Rev. E 2005, 71, 030301. [Google Scholar] [CrossRef]
- Abate, A.R.; Durian, D.J. Approach to jamming in an air-fluidized granular bed. Phys. Rev. E 2006, 74, 031308. [Google Scholar] [CrossRef]
- Eshuis, P.; van der Meer, D.; Alam, M.; van Gerner, H.J.; van der Weele, K.; Lohse, D. Onset of Convection in Strongly Shaken Granular Matter. Phys. Rev. Lett. 2010, 104, 038001. [Google Scholar] [CrossRef]
- Michael, B.; Simon, M.; Gustavo, C.; Eric, F. Wave spectroscopy in a driven granular material. Proc. R. Soc. A 2022, 476, 20220014. [Google Scholar] [CrossRef]
- van Noije, T.P.C.; Ernst, M.H. Velocity distributions in homogeneous granular fluids: The free and the heated case. Granul. Matter 1998, 1, 57–64. [Google Scholar] [CrossRef]
- Montanero, J.M.; Santos, A. Computer simulation of uniformly heated granular fluids. Granul. Matter 2000, 2, 53–64. [Google Scholar] [CrossRef]
- Garzó, V.; Chamorro, M.G.; Vega Reyes, F. Transport properties for driven granular fluids in situations close to homogeneous steady states. Phys. Rev. E 2013, 87, 032201, Erratum in Phys. Rev. E 2013, 87, 059906. [Google Scholar] [CrossRef]
- Vega Reyes, F.; Santos, A. Steady state in a gas of inelastic rough spheres heated by a uniform stochastic force. Phys. Fluids 2015, 27, 113301. [Google Scholar] [CrossRef]
- Brey, J.J.; Buzón, V.; Maynar, P.; García de Soria, M.I. Hydrodynamics for a model of a confined quasi-two-dimensional granular gas. Phys. Rev. E 2015, 91, 052201. [Google Scholar] [CrossRef]
- Garzó, V.; Brito, R.; Soto, R. Enskog kinetic theory for a model of a confined quasi-two-dimensional granular fluid. Phys. Rev. E 2018, 98, 052904. [Google Scholar] [CrossRef]
- Santos, A.; Montanero, J.M. The second and third Sonine coefficients of a freely cooling granular gas revisited. Granul. Matter 2009, 11, 157–168. [Google Scholar] [CrossRef]
- Garzó, V. Granular Gaseous Flows. A Kinetic Theory Approach to Granular Gaseous Flows; Springer Nature: Cham, Switzerland, 2019. [Google Scholar]
- Megías, A.; Santos, A. Driven and undriven states of multicomponent granular gases of inelastic and rough hard disks or spheres. Granul. Matter 2019, 21, 49. [Google Scholar] [CrossRef]
- Gómez González, R.; Garzó, V. Kinetic theory of granular particles immersed in a molecular gas. J. Fluid Mech. 2022, 943, A9. [Google Scholar] [CrossRef]
- Santos, A.; Prados, A. Mpemba effect in molecular gases under nonlinear drag. Phys. Fluids 2020, 32, 072010. [Google Scholar] [CrossRef]
- Patrón, A.; Sánchez-Rey, B.; Prados, A. Strong nonexponential relaxation and memory effects in a fluid with nonlinear drag. Phys. Rev. E 2021, 104, 064127. [Google Scholar] [CrossRef] [PubMed]
- Megías, A.; Santos, A.; Prados, A. Thermal versus entropic Mpemba effect in molecular gases with nonlinear drag. Phys. Rev. E 2022, 105, 054140. [Google Scholar] [CrossRef] [PubMed]
- Ferrari, L. Particles dispersed in a dilute gas: Limits of validity of the Langevin equation. Chem. Phys. 2007, 336, 27–35. [Google Scholar] [CrossRef]
- Ferrari, L. Particles dispersed in a dilute gas. II. From the Langevin equation to a more general kinetic approach. Chem. Phys. 2014, 428, 144–155. [Google Scholar] [CrossRef]
- Hohmann, M.; Kindermann, F.; Lausch, T.; Mayer, D.; Schmidt, F.; Lutz, E.; Widera, A. Individual Tracer Atoms in an Ultracold Dilute Gas. Phys. Rev. Lett. 2017, 118, 263401. [Google Scholar] [CrossRef]
- Brilliantov, N.; Pöschel, T. Deviation from Maxwell distribution in granular gases with constant restitution coefficient. Phys. Rev. E 2000, 61, 2809–2812. [Google Scholar] [CrossRef]
- Brilliantov, N.V.; Pöschel, T. Kinetic Theory of Granular Gases; Oxford University Press: Oxford, UK, 2004. [Google Scholar]
- Vega Reyes, F.; Santos, A.; Kremer, G.M. Role of roughness on the hydrodynamic homogeneous base state of inelastic spheres. Phys. Rev. E 2014, 89, 020202(R). [Google Scholar] [CrossRef]
- Megías, A.; Santos, A. Kullback–Leibler divergence of a freely cooling granular gas. Entropy 2020, 22, 1308. [Google Scholar] [CrossRef]
- Chamorro, M.G.; Vega Reyes, F.; Garzó, V. Homogeneous states in granular fluids driven by thermostats. AIP Conf. Proc. 2012, 1501, 1024–1030. [Google Scholar] [CrossRef]
- Chamorro, M.G.; Vega Reyes, F.; Garzó, V. Homogeneous steady states in a granular fluid driven by a stochastic bath with friction. J. Stat. Mech. 2013, P07013. [Google Scholar] [CrossRef]
- Goldshtein, A.; Shapiro, M. Mechanics of collisional motion of granular materials. Part 1. General hydrodynamic equations. J. Fluid Mech. 1995, 282, 75–114. [Google Scholar] [CrossRef]
- Brilliantov, N.; Pöschel, T. Breakdown of the Sonine expansion for the velocity distribution of granular gases. Europhys. Lett. 2006, 74, 424–430, Erratum in Europhys. Lett. 2006, 75, 188. [Google Scholar] [CrossRef]
- Metropolis, N.; Rosenbluth, A.W.; Rosenbluth, M.N.; Teller, A.H.; Teller, E. Equation of State Calculations by Fast Computing Machines. J. Chem. Phys. 1953, 21, 1087–1092. [Google Scholar] [CrossRef]
- Bird, G.A. Molecular Gas Dynamics and the Direct Simulation of Gas Flows; Clarendon: Oxford, UK, 1994. [Google Scholar]
- Bird, G.A. The DSMC Method; CreateSpace Independent Publishing Platform: Scotts Valley, CA, USA, 2013. [Google Scholar]
- Mpemba, E.B.; Osborne, D.G. Cool? Phys. Educ. 1969, 4, 172–175. [Google Scholar] [CrossRef]
- Burridge, H.C.; Linden, P.F. Questioning the Mpemba effect: Hot water does not cool more quickly than cold. Sci. Rep. 2016, 6, 37665. [Google Scholar] [CrossRef]
- Lu, Z.; Raz, O. Nonequilibrium thermodynamics of the Markovian Mpemba effect and its inverse. Proc. Natl. Acad. Sci. USA 2017, 114, 5083–5088. [Google Scholar] [CrossRef]
- Lasanta, A.; Vega Reyes, F.; Prados, A.; Santos, A. When the Hotter Cools More Quickly: Mpemba Effect in Granular Fluids. Phys. Rev. Lett. 2017, 119, 148001. [Google Scholar] [CrossRef]
- Bechhoefer, J.; Kumar, A.; Chétrite, R. A fresh understanding of the Mpemba effect. Nat. Rev. Phys. 2021, 3, 534–535. [Google Scholar] [CrossRef]
- Gómez González, R.; Khalil, N.; Garzó, V. Mpemba-like effect in driven binary mixtures. Phys. Fluids 2021, 33, 053301. [Google Scholar] [CrossRef]
- Kovacs, A.J. Transition vitreuse dans les polymères amorphes. Etude phénoménologique. Fortschr. Hochpolym.-Forsch. 1963, 3, 394–507. [Google Scholar] [CrossRef]
- Kovacs, A.J.; Aklonis, J.J.; Hutchinson, J.M.; Ramos, A.R. Isobaric volume and enthalpy recovery of glasses. II. A transparent multiparameter theory. J. Polym. Sci. Polym. Phys. Ed. 1979, 17, 1097–1162. [Google Scholar] [CrossRef]
- Scala, A. Event-driven Langevin simulations of hard spheres. Phys. Rev. E 2012, 86, 026709. [Google Scholar] [CrossRef] [PubMed]







Publisher’s Note: MDPI stays neutral with regard to jurisdictional claims in published maps and institutional affiliations. |
© 2022 by the authors. Licensee MDPI, Basel, Switzerland. This article is an open access article distributed under the terms and conditions of the Creative Commons Attribution (CC BY) license (https://creativecommons.org/licenses/by/4.0/).
Share and Cite
Megías, A.; Santos, A. Kinetic Theory and Memory Effects of Homogeneous Inelastic Granular Gases under Nonlinear Drag. Entropy 2022, 24, 1436. https://doi.org/10.3390/e24101436
Megías A, Santos A. Kinetic Theory and Memory Effects of Homogeneous Inelastic Granular Gases under Nonlinear Drag. Entropy. 2022; 24(10):1436. https://doi.org/10.3390/e24101436
Chicago/Turabian StyleMegías, Alberto, and Andrés Santos. 2022. "Kinetic Theory and Memory Effects of Homogeneous Inelastic Granular Gases under Nonlinear Drag" Entropy 24, no. 10: 1436. https://doi.org/10.3390/e24101436
APA StyleMegías, A., & Santos, A. (2022). Kinetic Theory and Memory Effects of Homogeneous Inelastic Granular Gases under Nonlinear Drag. Entropy, 24(10), 1436. https://doi.org/10.3390/e24101436
