Entropy Production Analysis of a Vertical Mixed-Flow Pump Device with Different Guide Vane Meridians
Abstract
:1. Introduction
2. Numerical Simulation
2.1. Three-Dimensional Model
2.2. Mesh Generation
2.3. Mesh Independence Analysis
2.4. Control Equations and Boundary Conditions
2.5. Entropy Production Theory
3. Verification of Simulation
4. Results and Discussion
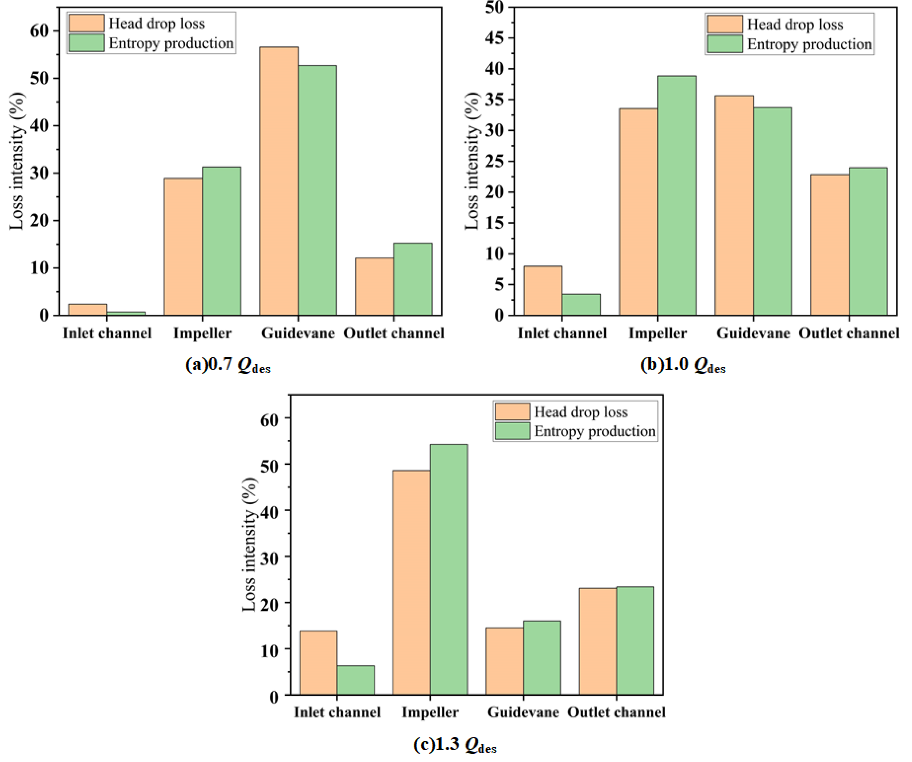
4.1. Comparison between Hydraulic Loss and Entropy Production
4.2. External Characteristics of Mixed-Flow Pump Devices with Different Guide Vane Meridians
4.3. Entropy Production of Mixed-Flow Pump Devices with Different Guide Vane Meridians
4.4. Spread of Local Entropy Production in the Guide Vane
4.5. Spread of Local Entropy Production in the Guide Vane–Outlet Channel Interface
4.6. Spread of Local Entropy Production in Outlet Channel
5. Conclusions
- (1)
- With the decrease of Dgvo, the head and efficiency of the mixed-flow pump device increased at 0.7 Qdes. When Dgvo decreased from 350 mm to 275 mm, the head and efficiency increased by 2.78% and 3.05%, respectively. At 1.3 Qdes, when D decreased from 350 mm to 275 mm, the head and efficiency increased by 4.49% and 3.71%, respectively. Under 1.0 Qdes, the head and efficiency were higher when Dgvo was in the range of 300–350 mm. Total entropy production showed an opposite trend to the head and efficiency. The entropy production of the inlet channel and impeller did not change much, but that of the guide vane and outlet channel showed significant changes.
- (2)
- At 0.7 Qdes and 1.0 Qdes, the entropy production of the guide vane increased with the increase of Dgvo, which was mainly brought about by the flow separation and backflow. At 1.3 Qdes, with the increase of Dgvo, the flow rate of fluid in the guide vane decreased, resulting in a slight decrease in the entropy production of the guide vane.
- (3)
- The entropy production at the interface between the guide vane and outflow channel increased with the increase of Dgvo. At 0.7 Qdes and 1.0 Qdes, a high entropy production area was located at the middle partial shroud of the interface, while at 1.3 Qdes, it was located at the middle partial hub. The reason for the increase was the flow separation.
- (4)
- When Dgvo decreased from 350 mm to 275 mm, the entropy production changed little at 0.7 Qdes, but it soared at 1.0 Qdes and 1.3 Qdes due to excessive flow velocity. When Dgvo increased from 350 mm to 425 mm, under 0.7 Qdes and 1.0 Qdes, because of the expansion of the channel section, the flow separation intensified and the entropy production increased, but the entropy production decreased slightly at 1.3 Qdes.
Author Contributions
Funding
Institutional Review Board Statement
Informed Consent Statement
Data Availability Statement
Conflicts of Interest
Nomenclature
| Dgvo | guide vane outlet diameter (mm) |
| Qdes | design flow rate (L/s) |
| L | length of guide vane blades (mm) |
| Z | number of blades |
| EQ | uncertainty of flow measurement (%) |
| EH | uncertainty of head measurement (%) |
| EM | uncertainty of torque speed measurement (%) |
| EN | uncertainty of rotating speed measurement (%) |
| ES | uncertainty of the test bench (%) |
| ER | uncertainty of efficiency measurement (%) |
| n | rotation speed of the impeller (r/min) |
| averaged velocity (m·s−1) | |
| fluctuating velocity (m·s−1) | |
| entropy production rate (W·K−1·m−3) | |
| T | temperature (K) |
| k | turbulent eddy dissipation |
| entropy production (W·K−1) | |
| Greek symbols | |
| fluid viscosity (kg·m−1·s−1) | |
| α | inlet angle of guide vane blades (°) |
| β | outlet angle of guide vane blades (°) |
| φ | warp angle of guide vane blades (°) |
References
- Kim, S.; Kim, Y.I.; Kim, J.Y.; Choi, Y.S.O. Design optimization for mixed-flow pump impeller by improved suction performance and efficiency with variables of specific speeds. J. Mech. Sci. Technol. 2020, 34, 2377–2389. [Google Scholar] [CrossRef]
- Zhang, W.W.; Zhu, B.S.; Yu, Z.Y.; Yang, C. Numerical study of pressure fluctuation in the whole flow passage of a low specific speed mixed-flow pump. Adv. Mech. Eng. 2017, 9, 1687814017707651. [Google Scholar] [CrossRef]
- Li, W.; Li, E.D.; Ji, L.L.; Zhou, L.; Shi, W.D.; Zhu, Y. Mechanism and propagation characteristics of rotating stall in a mixed-flow pump. Renew. Energy 2020, 153, 74–92. [Google Scholar] [CrossRef]
- Ye, W.X.; Ikuta, A.; Chen, Y.N.; Miyagawa, K.; Luo, X.W. Investigation on the effect of forward skew angle blade on the hump characteristic in a mixed flow pump using modified partially averaged Navier-Stokes model. Renew. Energy 2021, 170, 118–132. [Google Scholar] [CrossRef]
- Huang, R.F.; Qiu, R.D.; Wang, Y.W.; Luo, X.W.; Zhang, W. Space-time frequency spectra analyses of the unsteady cavitating vortical flows inside a mixed-flow pump. Ocean. Eng. 2021, 238, 109758. [Google Scholar] [CrossRef]
- Trivedi, M.; Nirmalkar, N.; Gupta, A.K.; Chhabra, R.P. Effect of non-newtonian fluid behavior on forced convection from a cluster of four circular cylinders in a duct, Part I: Power-law fluids. Heat Transfer Eng. 2021, 43, 1–26. [Google Scholar] [CrossRef]
- Trivedi, M.; Nirmalkar, N.; Gupta, A.K.; Chhabra, R.P. Effect of non-newtonian fluid behavior on forced convection from a cluster of four circular cylinders in a duct, part II: Bingham plastic fluids. Heat Transfer Eng. 2021, 43, 27–48. [Google Scholar] [CrossRef]
- Liu, Y.B.; Tan, L. Tip clearance on pressure fluctuation intensity and vortex characteristic of a mixed flow pump as turbine at pump mode. Renew. Energy 2018, 129, 606–615. [Google Scholar] [CrossRef]
- Han, Y.D.; Tan, L. Dynamic mode decomposition and reconstruction of tip leakage vortex in a mixed flow pump as turbine at pump mode. Renew. Energy 2020, 155, 725–734. [Google Scholar] [CrossRef]
- Han, Y.D.; Tan, L. Influence of rotating speed on tip leakage vortex in a mixed flow pump as turbine at pump mode. Renew. Energy 2020, 162, 144–150. [Google Scholar] [CrossRef]
- Li, W.; Ji, L.L.; Li, E.D.; Shi, W.D.; Agarwal, R.; Zhou, L. Numerical investigation of energy loss mechanism of mixed-flow pump under stall condition. Renew. Energy 2021, 167, 740–760. [Google Scholar] [CrossRef]
- Ye, W.X.; Chen, G.; Ikuta, A.; Hachinota, S.; Miyagawa, K. Investigation on the impeller-diffuser interaction on the unstable flow in a mixed-flow pump using a modified partially averaged Navier-Stokes model. Ocean. Eng. 2021, 238, 109756. [Google Scholar] [CrossRef]
- Zhang, H.; Shi, W.D.; Chen, B.; Zhang, Q.H. Experimental study of flow field in interference area between impeller and guide vane of axial flow pump. J. Hydrodyn. 2014, 26, 894–901. [Google Scholar] [CrossRef]
- Plutecki, W.; Szulc, P.; Plutecki, J. The influence of the vane diffuser head losses curve on the external characteristic of high specific speed pumps. J. Petral. Sci. Eng. 2018, 162, 394–406. [Google Scholar] [CrossRef]
- Qian, Z.D.; Wang, F.; Guo, Z.W.; Lu, J. Performance evaluation of an axial-flow pump with adjustable guide vanes in turbine mode. Renew. Energy 2016, 99, 1146–1152. [Google Scholar] [CrossRef]
- Fu, L.L.; Zhan, W.P.; Shi, L.J.; Zhang, Y.J.; Huang, X.J. Number Matching Analysis of Impeller and Guide Vane in a Mixed-flow Pump. China Water Wastewater 2020, 36, 51–56. [Google Scholar]
- Li, W.; Shi, W.D.; Xu, Y.D.; Zhou, L.; Zou, P.P. Effects of guide vane thickness on pressure pulsation of mixed-flow pump in pumped-storage power station. J. Vibroeng. 2013, 15, 1177–1185. [Google Scholar]
- Zhang, W.P.; Tang, F.P.; Zhou, S.Y.; Shi, L.J.; Xia, Y. Influence of impeller and guide vane hub size on hydraulic performance of mixed-flow pump. In Proceedings of the 29th IAHR Symposium on Hydraulic Machinery and Systems, Kyoto, Japan, 16–21 September 2018. [Google Scholar]
- Zhu, D.; Tao, R.; Xiao, R.F.; Yang, W.; Liu, W.C.; Wang, F.J. Optimization design of hydraulic performance in vaned mixed-flow pump. Proc. Inst. Mech. Eng. Part A J. Power Energy 2020, 234, 934–946. [Google Scholar] [CrossRef]
- Zheng, Y.H.; Gu, Z.C.; Li, Y.J.; Zhu, X.Y.; Meng, F.; Wang, M.C. Entropy production analysis for energy dissipation of a vertical mixed-flow pump device under asymmetric inflow conditions. Proc. Inst. Mech. Eng. Part C J. Mech. Eng. Sci. 2022, 236, 09544062221105171. [Google Scholar] [CrossRef]
- Pei, J.; Meng, F.; Li, Y.J.; Yuan, S.Q.; Chen, J. Effects of distance between impeller and guide vane on losses in a low head pump by entropy production analysis. Adv. Mech. Eng. 2016, 8, 1687814016679568. [Google Scholar] [CrossRef]
- Kock, F.; Herwig, H. Local entropy production in turbulent shear flows: A high-Reynolds number model with wall functions. Int. J. Heat Mass. Tran. 2004, 47, 2205–2215. [Google Scholar] [CrossRef]
- Herwig, H.; Kock, F. Direct and indirect methods of calculating entropy generation rates in turbulent convective heat transfer problems. Heat Mass. Transfer. 2007, 43, 207–215. [Google Scholar] [CrossRef]
- Zhang, H.Y.; Meng, F.; Cao, L.; Li, Y.J.; Wang, X.K. The Influence of a Pumping Chamber on Hydraulic Losses in a Mixed-Flow Pump. Processes 2022, 10, 407. [Google Scholar] [CrossRef]
- Ji, L.L.; Li, W.; Shi, W.D.; Chang, H.; Yang, Z.Y. Energy characteristics of mixed-flow pump under different tip clearances based on entropy production analysis. Energy 2020, 199, 117447. [Google Scholar] [CrossRef]
- Cao, J.; Pei, J.; Gu, Y.D.; Wang, W.J.; Yuan, S.Q. Flow losses analysis in a mixed flow pump with annular volute by entropy production evaluation. In Proceedings of the 29th IAHR Symposium on Hydraulic Machinery and Systems, Kyoto, Japan, 16–21 September 2018. [Google Scholar]
- Meng, F.; Li, Y.J. Energy Characteristics of a Bidirectional Axial-Flow Pump with Two Impeller Airfoils Based on Entropy Production Analysis. Entropy 2022, 24, 962. [Google Scholar] [CrossRef]
- Jeong, J.; Hussain, F. On the identification of a vortex. J. Fluid Mech. 1995, 285, 69–94. [Google Scholar] [CrossRef]
- Mariotti, A.; Galletti, C.; Brunazzi, E.; Salvetti, M.V. Steady flow regimes and mixing performance in arrow-shaped micro-mixers. Phys. Rev. Fluids 2019, 4, 034201. [Google Scholar] [CrossRef]
- Ji, L.L.; Li, W.; Shi, W.D.; Tian, F.; Agarwal, R. Effect of blade thickness on rotating stall of mixed-flow pump using entropy generation analysis. Energy 2021, 236, 121381. [Google Scholar] [CrossRef]

















| Parameters | Value |
|---|---|
| Number of guide vane blades Z2 | 7 |
| Inlet angle α | |
| Inlet angle of section A-A α1 (°) | 55 |
| Inlet angle of section B-B α2 (°) | 44 |
| Inlet angle of section C-C α3 (°) | 35 |
| Outlet angle β | |
| Outlet angle of section A-A β1 (°) | 90 |
| Outlet angle of section B-B β2 (°) | 90 |
| Outlet angle of section C-C β3 (°) | 90 |
| Wrap angle φ | |
| Wrap angle of section A-A φ1 (°) | 21.2 |
| Wrap angle of section B-B φ2 (°) | 33.6 |
| Wrap angle of section C-C φ3 (°) | 55.3 |
| Length of guide vane blades | |
| Length of guide vane at section A-A LA (mm) | 229 |
| Length of guide vane at section B-B LB (mm) | 205 |
| Length of guide vane at section C-C LC (mm) | 180 |
| Grid Number/× 106 | Head/m | Efficiency/% |
|---|---|---|
| 2.06 | 8.002 | 81.12 |
| 3.52 | 8.097 | 81.48 |
| 4.98 | 8.085 | 81.34 |
| 6.57 | 8.105 | 81.27 |
| 8.54 | 8.102 | 81.39 |
| Boundary Conditions | Boundary Type |
|---|---|
| Inlet of pump device | Mass flow rate |
| Outlet of pump device | Opening |
| Solid wall | No-slip |
| Interface on both sides of the impeller | |
| Transient state | Transient rotor-stator |
| Steady state | Frozen rotor |
Publisher’s Note: MDPI stays neutral with regard to jurisdictional claims in published maps and institutional affiliations. |
© 2022 by the authors. Licensee MDPI, Basel, Switzerland. This article is an open access article distributed under the terms and conditions of the Creative Commons Attribution (CC BY) license (https://creativecommons.org/licenses/by/4.0/).
Share and Cite
Li, Y.; Zhong, Y.; Meng, F.; Zheng, Y.; Sun, D. Entropy Production Analysis of a Vertical Mixed-Flow Pump Device with Different Guide Vane Meridians. Entropy 2022, 24, 1370. https://doi.org/10.3390/e24101370
Li Y, Zhong Y, Meng F, Zheng Y, Sun D. Entropy Production Analysis of a Vertical Mixed-Flow Pump Device with Different Guide Vane Meridians. Entropy. 2022; 24(10):1370. https://doi.org/10.3390/e24101370
Chicago/Turabian StyleLi, Yanjun, Yi Zhong, Fan Meng, Yunhao Zheng, and Danghang Sun. 2022. "Entropy Production Analysis of a Vertical Mixed-Flow Pump Device with Different Guide Vane Meridians" Entropy 24, no. 10: 1370. https://doi.org/10.3390/e24101370
APA StyleLi, Y., Zhong, Y., Meng, F., Zheng, Y., & Sun, D. (2022). Entropy Production Analysis of a Vertical Mixed-Flow Pump Device with Different Guide Vane Meridians. Entropy, 24(10), 1370. https://doi.org/10.3390/e24101370

