Next Article in Journal
Universal and Non-Universal Features in the Random Shear Model
Next Article in Special Issue
The Consensus Problem in Polities of Agents with Dissimilar Cognitive Architectures
Previous Article in Journal
Security Analysis of DBTRU Cryptosystem
Previous Article in Special Issue
Two-Dimensional EspEn: A New Approach to Analyze Image Texture by Irregularity
 
 
Font Type:
Arial Georgia Verdana
Font Size:
Aa Aa Aa
Line Spacing:
Column Width:
Background:
Article

Estimation of Radial Basis Function Network Centers via Information Forces

Technology Center, Universidade Federal do Piauí, Teresina 64049-550, PI, Brazil
*
Author to whom correspondence should be addressed.
Entropy 2022, 24(10), 1347; https://doi.org/10.3390/e24101347
Submission received: 16 July 2022 / Revised: 26 August 2022 / Accepted: 30 August 2022 / Published: 23 September 2022
(This article belongs to the Special Issue Information Theoretic Measures and Their Applications II)

Abstract

:
The determination of The Radial Basis Function Network centers is an open problem. This work determines the cluster centers by a proposed gradient algorithm, using the information forces acting on each data point. These centers are applied to a Radial Basis Function Network for data classification. A threshold is established based on Information Potential to classify the outliers. The proposed algorithms are analysed based on databases considering the number of clusters, overlap of clusters, noise, and unbalance of cluster sizes. Combined, the threshold, and the centers determined by information forces, show good results in comparison to a similar Network with a k-means clustering algorithm.

1. Introduction

Broomhead and Lowe in 1988 [1] presented the Radial Basis Function Network (RBFN) concept. It is a universal approximator [2,3]. Usually, the training of an RBFN is done in two stages: initially, the centers c j and the variance σ j of the basis functions are determined, then, the network weights w i j . The performance of the RBF Network depends on estimation of these parameters. This work focuses on determining the RBF centers.
Clustering techniques can be used to determine the RBF centers. These techniques find the cluster centers that reflect the distribution of the data points [4]. The most common is the k-means algorithm [5]. Other clustering techniques have been developed for RBF center identification. Examples include self-constructing clustering algorithm [6], nearest neighbor-based clustering [7] and quantum clustering [8]. Besides clustering methods, there are other techniques to estimate the RBF centers such as recursive orthogonal least squares [9] and metaheuristic optimisation [10,11].
This work proposes two algorithms that are developed mainly based on two concepts of Information Theory: the Information Potential (IP) and Information Force (IF). Those concepts describe, respectively, the amount of agglomeration and the direction where this agglomeration increases to [12]. These concepts are used in some clustering techniques, such as the one developed by Jenssen et al. [13].
The main algorithm finds the cluster centroids by a gradient ascent technique using Information Forces, and these centers are applied to an RBFN in classification problems. The second one uses the concept of Information Potential to reduce the number of outliers on noise data, and increases the performance of the RBFN. These algorithms constitute the contributions of this work.
The algorithms are tested on datasets with gradual increase in difficulty. The difficulty factors analysed are the number of clusters, overlap of clusters, noise, and unbalance of cluster sizes. The results are compared with a similar RBFN with centers estimated via k-means algorithm.
This article was organised as follows: In Section 2, the RBFN is illustrated; In Section 3, the concepts of Information Potential and Force are described, also the algorithm to estimate the RBFN centers is presented. In Section 4, the algorithm to reduce the outliers is described; In Section 5, the Data is presented and the experiment is described; In Section 6, the algorithm parameters are analysed, and the results are displayed and discussed. The conclusions are presented in Section 7.

2. Radial Basis Function Network

The RBFN is the function presented in the equation:
C l a s s i = f ( p ) = w 0 + j = 1 K w i j φ j ( p )
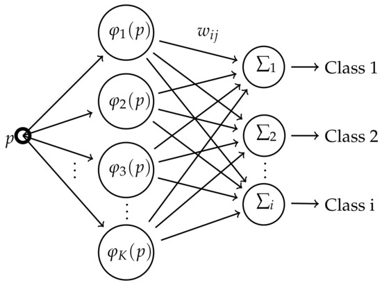
This Network is shown in Figure 1:
The RBF network is composed by an input layer p, a hidden layer, and an output layer which provide the classification. When an input datapoint p is fed into a node, the distance is calculated from a center c j , transformed by a Radial Basis Function φ j ( · ) and multiplied by a weighting value w i j [14]. All the values produced in the K nodes are summed for each class, and the point p is classified where this sum is maximum.
The methods to obtain those parameters influence the classification performance. In this work, the centers are estimated via IF and, for comparison, the k-means algorithm [15,16,17]. The weights w i j are determined by pseudoinverse matrix and a Gaussian Function are chosen for RBF:
φ j ( p ) = exp ( | | p c j | | 2 2 · σ 2 )
The variance is estimated by the equation proposed by Haykin [5]:
σ = d m a x 2 · K
In which d m a x is the maximum distance between the cluster centers and K is the number of nodes. The variance is equal for all nodes.

3. RBF Centers Estimation via IF Gradient Algorithm

3.1. Information Forces

Considering x i R m , i = 1 , 2 , , n a set of samples belonging to a random variable X R m , a Parzen Window [18] can be associated with a Gaussian kernel, directly estimating the Probability Density Function (PDF) of the data. This function can be described by:
f ^ x ( x ) = 1 n i = 1 n G ( x x i , h 2 )
where G is the Gaussian Kernel and h is the kernel bandwidth. There are several ways to estimate the ideal bandwidth h [19]. In PDF’s that are near to the Normal distribution the Rule-of-Thumb [20] is the most practical and simple one:
h = 1.06 · min { σ ^ , I Q R 1.34 } n 1 5
where n is the number of data points, σ ^ is the estimated standard deviation of the dataset, and I Q R = Q 3 Q 1 is the interquartile range. Q 1 and Q 3 are, respectively, the first and third quartile.
The Renyi entropy equation of order two [21] is given by
H R 2 ( X ) = log [ X f x 2 ( x ) d x ]
Applying the Parzen Window:
X f x 2 ( x ) d x = [ 1 n i = 1 n G ( x x i , h 2 ) ] 2 d x = 1 n 2 i = 1 n j = 1 n G ( x x i , h 2 ) G ( x x j , h 2 ) d x = 1 n 2 i = 1 n j = 1 n G ( x i x j , 2 · h 2 )
That means:
H R 2 ( X ) = log [ 1 n 2 i = 1 n j = 1 n G ( x i x j , 2 h 2 ) ]
The argument of the natural logarithm above is the Information Potential over all the dataset, in an analogy with the potential energy of physical particles [22].
P ( { x } ) = 1 n 2 i = 1 n j = 1 n G ( x i x j , 2 h 2 )
The IP over a single point x i in the dataset is the sum of interactions of this point across all the dataset.
P ( { x i } ) = 1 n 2 j = 1 n G ( x i x j , 2 h 2 )
The IP indicates the amount of agglomeration around the point. Its derivative is the Information Force acting in point x i [13].
F i f = ( x i x j ) P ( { x i } ) = 1 N 2 · h 2 j = 1 n G ( x i x j , 2 h 2 ) · ( x i x j )

3.2. Gradient Algorithm

The IF points in the direction where the amount of agglomeration increases. Then, a center candidate c i can approximate the central cluster by successive interaction of the equation:
c i ( s + 1 ) = c i ( s ) + η F i f
This candidate c i could erroneously converge to a local maximum, similar to other algorithms based on Gradient Descent/Ascent. Two approaches via Information Theory could minimise this error. The first one is reducing the number of local maximum by smoothing the IP distribution over [13]. The ideal h (Equation (5)) is multiplied by a parameter κ which smooths or under-smooths the PDF’s distribution over.
Another solution is to variate the learning rate η over the data space. The magnitude of the IF is bigger in the border of the cluster and decreases as the candidate c approximates to the central cluster and the force vectors are balanced out. Then,
η = α · e | | F if | |
Outliers also hinder the IF gradient algorithm. Candidates with small Information Potential behave like outliers. Then, they are removed for the center estimation. The detailed description of the IF Gradient Algorithm is illustrated in Algorithm 1.
Algorithm 1 Estimation of RBFN centers via IF
     Input
  •
X t r a i n         % Data to train the RBFN;
  •
α         % Learning rate constant;
  •
n _ c e n t e r         % Number of initial candidates;
  •
δ         % Threshold of Information Potential;
  •
β         % Minimum distance between candidates;
  •
m a x _ e p o c h s         % Maximum epochs;
  •
γ         % Constant of convergence;
     Output
  •
C c l u s t e r         % Cluster centers.
1: procedure IF_algorithm( X t r a i n , α , n _ c e n t e r , δ , β , m a x _ e p o c h s , γ )
2:
3:     % P i f ( · ) calculates the information potential.
4:     % F i f ( · ) calculates the information force.
5:     for  i 1 : n _ c e n t e r  do          % Raffle the candidates
6:         C c a n d ( i ) = r a n d o m ( X t r a i n ) ;
7:         if  P i f ( C c a n d ( i ) ) < δ  then
8:            Eliminate C c a n d ( i ) ;
9:         end if
10:     end for
11:
12:      s = 0 ;
13:     while ( s < m a x _ e p o c h s ) and (not all C c a n d i d a t e are eliminated or converged) do
14:         % Eliminate points to close each other
15:         for i and j 1 : n _ c e n t e r  do
16:            if  | | ( C c a n d ( i ) C c a n d ( j ) ) | | < β  then
17:                Eliminate C c a n d ( i )
18:            end if
19:         end for
20:
21:         for  i 1 : n _ c e n t e r  do             ▹ Update the center candidate.
22:             C c a n d ( i , s + 1 ) = C c a n d ( i , s ) + α e | | F i f ( i , s ) | | F i f ( i , s )
23:            if  | e | | F i f ( i , s + 1 ) | | e | | F i f ( i , s ) | | | < γ  then
24:                 C c a n d ( i )  converge!
25:            end if
26:         end for
27:          s = s + 1
28:     end while
29:      C c l u s t e r = C c a n d that converge.
30: return  C c l u s t e r
31:
32: end procedure
Initially, a set of center candidates c is raffled between the dataset. This set is sufficiently big to ensure that at least one point is raffled on each cluster. Some candidates could be too close. In this case, one of the points is eliminated. Many candidates tend to converge to a single central cluster. On each interaction, if two candidates are too close to each other, one of them is eliminated.
The points raffled with small IP constitute another problem. Far from the central cluster, the greatest information force is exerted by the point initially picked. In this way, the center candidate c i is stuck to the starting point. To avoid that, the IP is calculated in the initial epoch over the candidates. If it is below a threshold, the center candidate is eliminated.
The interactions over a specific center candidate stop when the difference is reached:
| exp ( | F if | ) ( s + 1 ) exp ( | F if | ) ( s ) | < γ
where γ is a small value described in parameters section. When a center candidate nears a cluster center, the forces tend to equilibrium and the left-hand side of inequality (14) tends to zero.
The algorithm completely stops when all the candidates’ centers converge or are eliminated. If they do not converge, it stops when it reaches the maximum number of epochs.

4. Outlier Reduction

The RBFN has difficulties in identifying the outliers. A mechanism of outlier detection improves the RBFN results. This can be done by observing the IP on each point, because outliers have small information potential.
A threshold δ can be established with the training data. Then, this threshold can be applied to the test data and most outliers can be identified. The detailed description of this mechanism is in Algorithm 2 below.
The threshold δ is estimated using the IP values of the outliers. Some points in the clusters also have small IP and could be erroneously classified as outliers. The constant θ (<1) is established to avoid this problem.
Algorithm 2 Outlier Detection
     Input
  •
X t r a i n         % Data to train the RBFN;
  •
X t e s t         % Data to test the RBFN;
  •
n _ o u t l i e r         % n° of outliers in training data;
  •
θ         % Constant of outlier reduction;
     Output
  •
C O u t l i e r         % Set of outliers.
1: procedure Outlier_detection( X t r a i n , X t e s t , n _ o u t l i e r , θ )
2:
3:     for  i 1 : s i z e ( X t r a i n )  do
4:          p o t t r e i ( i ) = P i f ( X t r a i n ( i ) )         % The IP.
5:     end for
6:
7:      p o t t r e i = s o r t ( p o t t r e i , a s c e n d )         % Sort in ascend order.
8:      δ = p o t t r e i ( θ · n _ o u t l i e r )         % The threshold.
9:
10:     for  i 1 : s i z e ( X t e s t )  do
11:         if  P i f ( X t e s t ( i ) ) δ  then
12:             X t e s t ( i ) C O u t l i e r
13:         end if
14:     end for
15: return  C O u t l i e r
16:
17: end procedure

5. Data and Experiment

The k-means and the IF algorithm have random initialisation and the results oscillate depending on the set of initial points. Then, the algorithm is tested over different simulations and the average performance is collected. Experimentally, it was considered that one hundred simulations for each configuration is enough.
The algorithms are tested on synthetic and non-synthetic data. Each set is divided into three subsets: train, validation, and test, in a ratio respectively of 70%/15%/15%. The performance of each RBFN configuration is measured by the percentage of correctly classified points on the test set.
Synthetic data with known ground truth can lead to a best analysis of the algorithms in clustering research because the characteristics of the data can be controlled [23]. The performance of the algorithm is studied in synthetic datasets with a gradual increase of:
  • Number of clusters;
  • Cluster overlap;
  • Unbalance in cluster size;
  • Noise data.
The data come from the Clustering basic benchmark [23]. The characteristics of the data are presented in Table 1.
The noise dataset is generated by the addition of independent and identically distributed random points to the first S dataset. The data distribution of the datasets presented in Table 1 are shown in Figure 2.
All synthetic datasets are two-dimensional, and the points are normalised in the interval ( 0 , 1 ) for each dimension. Each sequence of dataset has an ascendant level of complexity in relation to the principal characteristic. The clusters are Gaussian distributions, some of them are skewed. Also, small datasets are artificially generated via the Multidimensional Dataset Generator for Clustering (MDCGen) [27] to analyse the parameters of the Algorithm 1.
The Clustering basic benchmark also supplies the ground truth centroids for each synthetic dataset. The IF algorithm and the k-means also are evaluated on the capacity to correctly locate the estimated centroids. This evaluation is done by calculating the average distance from the estimated cluster centers and their near ground truth centroids. This measure of performance, the Average Distance to the Truth Centroid (ADTC), is presented on the equation:
A D T C = { 1 n i = 1 n min i , j | c g t i c e s t j | if n m 1 n j = 1 n min i , j | c g t i c e s t j | + 1 m n j = 1 m n min j , i | c e s t j c g t i | with j j if n < m
where c e s t and c g t are, respectively, the estimated and the ground truth centroids, with n and m as their respective number of elements. Different from the k-means, IF algorithm does not have the number centroids as parameter and can mistake the real number of clusters and their centroids. The Equation (15) also penalises when the estimated number of centroids is different from the number of clusters.
Non-synthetic datasets are also important to evaluate the algorithm performance on real problems. The Iris Dataset [28,29] is used to analyze the algorithms. This database is one of the best known to be found in the pattern recognition literature.

6. Parameters and Results

6.1. Parameters

6.1.1. Learning Rate Constant

Figure 3 shows the effect of the Learning rate constant α on Algorithm 1.
If the constant α is too small, some centers candidates erroneously converge to local maxima. If α is too big, the candidates oscillate around the central cluster and the algorithm loses accuracy. If α is very big, the algorithm does not converge before reaching the maximum epochs. Experimentally, a good value for α is ten times the standard deviation of the clusters.

6.1.2. Minimum Distance between Centers Candidates

Figure 4 shows the constant β effects on Algorithm 1.
If this distance is too small, just a few points are eliminated on each epoch and the algorithm demands more computational effort. If β is too big, a center candidate in one cluster could eliminate good center candidates in other clusters. Experimentally, a good value for β is 10% of the standard deviation of the clusters.

6.1.3. Constant of Convergence

Figure 5 shows the constant γ effects on Algorithm 1.
The precision increases when the constant γ diminishes, although the algorithm takes more epochs to converge, requiring more computational effort. If γ is too big, the center candidates stop before the forces balance out, far from the actual central cluster. Experimentally, γ = 10 6 is an appropriate value.

6.1.4. IP Threshold

Figure 6 shows the threshold δ effects on the Algorithm 1. The potential is calculated at each point. The threshold is tested as the 1st, 5th, 10th and 50th percentile from the IP distribution of the points.
Some center candidates are raffled on points with small IP. These candidates are stuck close to the origin, not converging to the actual cluster centers. If the threshold δ is too small, these center candidates are not eliminated by the algorithm. In the other side, if δ is too big, it eliminates good center candidates in clusters with small IP.

6.1.5. Smoothie Parameter

Figure 7 shows the parameter κ effects on Algorithm 1.
If κ is small, the candidates converge to local maxima inside the clusters but far from the actual center. If κ is big, points too far from the central cluster exert too much influence in the IF vectors, confusing the gradient algorithm.

6.1.6. Constant of Outlier Reduction

Table 2 shows, in dataset S1 with 10% of noise, the performance of the RBFN associated with Algorithm 2 and percentage of the points correctly classified as outliers using different values of the parameter θ .
As described in Section 2, some points inside the cluster but far from the actual center have small IP. The parameter θ partially avoids that the outlier reduction algorithm misclassifies these points. The value of θ depends on the concentration level of points in the clusters.

6.2. Results

6.2.1. Number of Clusters

The RBFN centers are estimated by information forces (Algorithm 1) and by k-means algorithm for comparison. The A datasets are used to analyse the effects of the number of clusters in the performance of the algorithms. The κ parameter from the IF algorithm is kept around 0.2 in order to under-smooth the data distribution, and, consequently, the algorithm can better differentiate the clusters. The Figure 8 show the centers location estimated for each method on each A dataset.
The k-means algorithm presents difficulties in correctly estimating the centroids, as it can be observed in Figure 8. The information forces point to one center on each cluster, closer to their centroids. The Table 3 shows the average distance between the estimated centers and their near ground truth centroids for the simulations:
The ADTC measure for the IF algorithm is smaller than for the K-means. This indicate that the centers estimated by the IF algorithm are nearer from the ground truth centroids than the estimated ones by the k-means. The ADTC values presented in Table 3 are the average over the repeated simulations. The distribution of the ADTC values are presented in the Figure 9:
In the A datasets, the ADTC values from the IF algorithm are distributed in a small interval. This distribution is smaller than the correspondent k-means. This indicates that the IF algorithm has a better capacity in converge to the correct centroids. The estimated centers are applied to the RBFN. The percentage of correctly classified points are presented in Table 4.
The results of the RBFN with centers estimated via Information Forces are similar to the analogue RBFN with centers estimated via k-means. However, the IF algorithm can handle the increasing number of clusters and better locate the RBF center, which supplies more stable results.

6.2.2. Cluster Overlap

The S datasets are used to analyse the effects of the overlap between the clusters in the performance of the algorithms. The Figure 10 shows the centers’ estimated location for each method on each S dataset.
Similar to the A dataset, the k-means also has difficulties in correctly locate the centroids and the IF algorithm better estimate them. The Table 5 shows the ADTC measure for the S dataset.
The IF algorithm can better handle the cluster overlap and locate the centroids closer to the ground truth. The κ parameter must also under-smooth the data distribution for the algorithm better differentiate the clusters. The distribution of the ADTC values are presented on the Figure 11:
The ADTC values for the IF algorithm stay in a smaller interval which indicates a better convergence. The percentage of correctly classified points by the RBFN are presented in Table 6.
Analogue to the dataset A, the IF algorithm gives similar results to the k-means’ in the classification of the out-of-sample data. However, the RBF centers estimated by IF algorithm are better located, which gives more robust results.

6.2.3. Unbalance in Cluster Size

Clustering algorithms with random initialization have difficulties to handle datasets where the clusters have big differences in number of points. The probability to sort the right amount of points on each cluster tend to diminish when the unbalancing in the number of points in the clusters tend to increase. The k-means algorithm has this weakness [23].
The IF algorithm also has random initialization, and, consequentially, has difficulties in unbalance clusters. Figure 12 shows the estimated cluster centers by the IF algorithm on the Unbalance dataset.
The IF algorithm incorrectly identifies the points of the less dense clusters as outliers. However, the centroids of denser areas are correctly estimated. In this way, the algorithm can be used with other strategies to identify the denser areas and better estimate the centroids of less dense clusters.

6.2.4. Noise Data

The Figure 13 shows the distribution of the ADTC values for the noise data:
The ADTC values for the IF algorithm are smaller and located at a small interval than the correspondent k-means. This indicates that the IF algorithm better estimates the centroids with a better convergence. The information forces exerted by the random noise points have the tendency to balance out and does not disturb the IF algorithm. Even with the increase of random noise in the data, the ADTC values stay very similar.
The Table 7 shows the performance of the RBFN on noise data. The centers are estimated via k-means and the IF algorithm, with and without the noise reduction by the Algorithm 2.
The IF gradient algorithm without outlier reduction has a reasonable performance on this dataset. There is an improvement when the outlier reduction is used alongside the RBFN with centers estimated by IF. This improvement leads the IF gradient algorithm to outperform the k-means.

6.2.5. Iris Dataset

The Iris Data is a four dimension non-synthetic dataset. It is formed by three classes, each one referring to a type of iris plant. One of the clusters is linearly separable from the other two, however, the other two are not linearly separable from each other. The Figure 14 shows the centers location estimated via IF.
The clusters in the Iris data are skewed and not radial. The IF algorithm estimate the centers following the level of agglomeration in the data. Then, there is the tendency in the Iris Data to estimate more than one center per cluster, and locate them far from the geometrical center. With the IF algorithm, the RBFN has a accuracy of 90.87%, against 89.74% from a similar neural network operating with the k-means.

6.2.6. Discussion and Future Works

The proposed algorithm constitutes a tool that, in comparison with k-means, has a good ability to identify cluster centroids in datasets, centroids which are used as centers of RBF network. The IF algorithm can handle the increase in the number of clusters and cluster overlap. On Noise Data, the outlier reduction improves the RBFN results. The algorithm demonstrates some difficulties on the Unbalance dataset, however, the results may still lead to solutions for handle this characteristic on data.
The preliminary results show good accuracy of the RBFN configured with the IF algorithm. Other studies may analyze the performance of the proposed methods on more complex databases. Further on, it may analyze how the RBFN behaves with the IF gradient algorithm alongside other methods to determine the basis function variance and the network weights.
The ability of the IF algorithm to estimate the cluster centroids may also improve clustering algorithms. Future works may use the IF algorithm ability to search cluster centroids as an initialization technique for clustering algorithms, replacing the random initialization present in some clustering techniques such as the k-means itself. Also, the IF algorithm may be used in association with density based clustering techniques to find denser areas in the data.

7. Conclusions

This proposed method to assign the RBFN centers presents satisfactory preliminary results in comparison to the traditional k-means algorithm. Also, the outlier reduction based on information potential improves the results on noise data. It is noteworthy that the proposed method accuracy depends on the correct adjustment of some parameters, but this also happens in other methods.

Author Contributions

Conceptualization: E.S.J. and A.F.; Software: E.S.J.; Writing—original draft: E.S.J. and A.F.; Writing—review & editing: R.R. and W.S. All authors have read and agreed to the published version of the manuscript.

Funding

This research received no external funding.

Institutional Review Board Statement

Not applicable.

Informed Consent Statement

Not applicable.

Data Availability Statement

The algorithms developed in this work were implemented in Matlab software and they are available at https://www.mathworks.com/matlabcentral/fileexchange/115065-if_algorithm (accessed on 8 September 2022).

Conflicts of Interest

The authors declare no conflict of interest.

Abbreviations

The following abbreviations are used in this manuscript:
ADTCAverage Distance to the Truth Centroid
IFInformation Force
IPInformation Potential
MDPIMultidisciplinary Digital Publishing Institute
PDFProbability Density Function
RBFRadial Basis Function
RBFNRadial Basis Function Network
List of variables
cCentroids/RBF centers
c e s t estimated centroids
c g t ground truth centroids
d m a x Maximum distance between the cluster centers
fFunction
F i f Information Force
GGaussian Kernel
hKernel bandwidth
HEntropy
I Q R Interquartile range
KNeural network nodes
nNumber of samples
pDatapoint
P ( · ) Information Potential
Q 1 First quartile
Q 3 Third quartile
sEpoch
wWeights
xSample
XSet of samples
α Learning rate constant
β Minimum distance between candidates
γ Constant of convergence
δ Threshold of Information Potential
η Learning rate
θ Constant of outlier reduction
κ Smoothie parameter
σ ^ Estimated standard deviation
σ 2 Variance/RBF width
φ Radial Basis Function

References

  1. Broomhead, D.S.; Lowe, D. Radial Basis Functions, Multi-Variable Functional Interpolation and Adaptive Networks; Technical report; Royal Signals and Radar Establishment Malvern: Malvern, UK, 1988. [Google Scholar]
  2. Park, J.; Sandberg, I.W. Universal approximation using radial-basis-function networks. Neural Comput. 1991, 3, 246–257. [Google Scholar] [CrossRef] [PubMed]
  3. Poggio, T.; Girosi, F. Networks for approximation and learning. Proc. IEEE 1990, 78, 1481–1497. [Google Scholar] [CrossRef]
  4. Bishop, C.M. Neural Networks for Pattern Recognition; Oxford University Press: Oxford, UK, 1995. [Google Scholar]
  5. Haykin, S. Neural Networks and Learning Machines; Prentice Hall: Hoboken, NJ, USA, 2009. [Google Scholar]
  6. He, Z.R.; Lin, Y.T.; Wu, C.Y.; You, Y.J.; Lee, S.J. Pattern Classification Based on RBF Networks with Self-Constructing Clustering and Hybrid Learning. Appl. Sci. 2020, 10, 5886. [Google Scholar] [CrossRef]
  7. Zheng, D.; Jung, W.; Kim, S. RBFNN Design Based on Modified Nearest Neighbor Clustering Algorithm for Path Tracking Control. Sensors 2021, 21, 8349. [Google Scholar] [CrossRef] [PubMed]
  8. Cui, Y.; Shi, J.; Wang, Z. Lazy Quantum clustering induced radial basis function networks (LQC-RBFN) with effective centers selection and radii determination. Neurocomputing 2016, 175, 797–807. [Google Scholar] [CrossRef]
  9. Huang, D.S.; Zhao, W.B. Determining the centers of radial basis probabilistic neural networks by recursive orthogonal least square algorithms. Appl. Math. Comput. 2005, 162, 461–473. [Google Scholar] [CrossRef]
  10. Rezaei, F.; Jafari, S.; Hemmati-Sarapardeh, A.; Mohammadi, A.H. Modeling of gas viscosity at high pressure-high temperature conditions: Integrating radial basis function neural network with evolutionary algorithms. J. Pet. Sci. Eng. 2022, 208, 109328. [Google Scholar] [CrossRef]
  11. Liu, Y.; Zhao, M. An obsolescence forecasting method based on improved radial basis function neural network. Ain Shams Eng. J. 2022, 13, 101775. [Google Scholar] [CrossRef]
  12. Principe, J.C. Information Theoretic Learning: Renyi’s Entropy and Kernel Perspectives; Springer: New York, NY, USA, 2010. [Google Scholar] [CrossRef]
  13. Jenssen, R.; Erdogmus, D.; Hild, K.E.; Principe, J.C.; Eltoft, T. Information force clustering using directed trees. In Proceedings of the International Workshop on Energy Minimization Methods in Computer Vision and Pattern Recognition, Lisbon, Portugal, 7–9 July 2003; pp. 68–82. [Google Scholar]
  14. Wedding II, D.K.; Cios, K.J. Time series forecasting by combining RBF networks, certainty factors, and the Box-Jenkins model. Neurocomputing 1996, 10, 149–168. [Google Scholar] [CrossRef]
  15. Forgy, E.W. Cluster analysis of multivariate data: Efficiency versus interpretability of classifications. Biometrics 1965, 21, 768–769. [Google Scholar]
  16. MacQueen, J. Some methods for classification and analysis of multivariate observations. In Proceedings of the Fifth Berkeley Symposium on Mathematical Statistics and Probability, Oakland, CA, USA, 1 January 1967; Volume 1, pp. 281–297. [Google Scholar]
  17. Lloyd, S. Least squares quantization in PCM. IEEE Trans. Inf. Theory 1982, 28, 129–137. [Google Scholar] [CrossRef]
  18. Parzen, E. On estimation of a probability density function and mode. Ann. Math. Stat. 1962, 33, 1065–1076. [Google Scholar] [CrossRef]
  19. Gramacki, A. Nonparametric Kernel Density Estimation and Its Computational Aspects; Springer: Cham, Switzerland, 2017. [Google Scholar]
  20. Silverman, B. Density Estimation for Statistics and Data Analysis; Chapman & Hall/CRC Monographs on Statistics & Applied Probability; Taylor & Francis: Abingdon, UK, 1986. [Google Scholar]
  21. Rényi, A. Selected Papers of Alfréd Rényi: 1948–1956; Akadémiai Kiadó: Budapest, Hungary, 1976; Volume 1. [Google Scholar]
  22. Xu, D.; Principe, J.C.; Fisher, J.; Wu, H.C. A novel measure for independent component analysis (ICA). In Proceedings of the 1998 IEEE International Conference on Acoustics, Speech and Signal Processing, Seattle, WA, USA, 12–15 May 1998; Volume 2, pp. 1161–1164. [Google Scholar] [CrossRef]
  23. Fränti, P.; Sieranoja, S. K-means properties on six clustering benchmark datasets. Appl. Intell. 2018, 48, 4743–4759. [Google Scholar] [CrossRef]
  24. Fränti, P.; Virmajoki, O. Iterative shrinking method for clustering problems. Pattern Recognit. 2006, 39, 761–765. [Google Scholar] [CrossRef]
  25. Kärkkäinen, I.; Fränti, P. Dynamic Local Search Algorithm for the Clustering Problem; Technical Report A-2002-6; Department of Computer Science, University of Joensuu: Joensuu, Finland, 2002. [Google Scholar]
  26. Rezaei, M.; Fränti, P. Set-matching methods for external cluster validity. IEEE Trans. Knowl. Data Eng. 2016, 28, 2173–2186. [Google Scholar] [CrossRef]
  27. Iglesias, F.; Zseby, T.; Ferreira, D.; Zimek, A. MDCGen: Multidimensional dataset generator for clustering. J. Classif. 2019, 36, 599–618. [Google Scholar] [CrossRef]
  28. Fisher, R.A. The use of multiple measurements in taxonomic problems. Ann. Eugen. 1936, 7, 179–188. [Google Scholar] [CrossRef]
  29. Anderson, E. The species problem in Iris. Ann. Mo. Bot. Gard. 1936, 23, 457–509. [Google Scholar] [CrossRef]
Figure 1. Structure of Radial Basis Function Network.
Figure 1. Structure of Radial Basis Function Network.
Entropy 24 01347 g001
Figure 2. Synthetic dataset distributions.
Figure 2. Synthetic dataset distributions.
Entropy 24 01347 g002
Figure 3. Learning rate constant. The black dots represent the estimated cluster centers. The red lines represent the trajectory of the eliminated candidates. The blue lines represent the converged ones.
Figure 3. Learning rate constant. The black dots represent the estimated cluster centers. The red lines represent the trajectory of the eliminated candidates. The blue lines represent the converged ones.
Entropy 24 01347 g003
Figure 4. Minimum distance between centers candidates.
Figure 4. Minimum distance between centers candidates.
Entropy 24 01347 g004
Figure 5. Constant of convergence.
Figure 5. Constant of convergence.
Entropy 24 01347 g005
Figure 6. IP threshold.
Figure 6. IP threshold.
Entropy 24 01347 g006
Figure 7. Smoothie parameter.
Figure 7. Smoothie parameter.
Entropy 24 01347 g007
Figure 8. Estimated cluster centers in dataset A. The black dots represent the estimated cluster centers.
Figure 8. Estimated cluster centers in dataset A. The black dots represent the estimated cluster centers.
Entropy 24 01347 g008
Figure 9. Distribution of the ADTC values in dataset A over the simulations.
Figure 9. Distribution of the ADTC values in dataset A over the simulations.
Entropy 24 01347 g009
Figure 10. Estimated cluster centers in dataset S.
Figure 10. Estimated cluster centers in dataset S.
Entropy 24 01347 g010
Figure 11. Distribution of the ADTC values in dataset S over the simulations.
Figure 11. Distribution of the ADTC values in dataset S over the simulations.
Entropy 24 01347 g011
Figure 12. Estimated cluster centers in the Unbalance dataset.
Figure 12. Estimated cluster centers in the Unbalance dataset.
Entropy 24 01347 g012
Figure 13. Distribution of the ADTC values in the noise dataset over the simulations. The abscissa refers to the percentage of random noise added to the S1 dataset.
Figure 13. Distribution of the ADTC values in the noise dataset over the simulations. The abscissa refers to the percentage of random noise added to the S1 dataset.
Entropy 24 01347 g013
Figure 14. Estimated cluster centers in the Iris dataset via IF.
Figure 14. Estimated cluster centers in the Iris dataset via IF.
Entropy 24 01347 g014
Table 1. Datasets characteristics.
Table 1. Datasets characteristics.
DatasetVaryingSize#ClustersPer Cluster%OutliersSource
SOverlap5000153330[24]
ANumber of clusters3000–750020;30;501500[25]
UnbalanceBalance in cluster size65008100–20000[26]
NoiseOutliers5250–5750151505%;10%;15%Authors 1
1 The S dataset with random noise.
Table 2. Accuracy of the RBFN associated with the outlier reduction for different θ values.
Table 2. Accuracy of the RBFN associated with the outlier reduction for different θ values.
θ Points Correctly ClassifiedOutliers Correctly Classified
0.593.69%39.34%
0.7594.06%54.10%
193.21%63.93%
Table 3. Average Distance to the Truth Centroid for the A dataset.
Table 3. Average Distance to the Truth Centroid for the A dataset.
DatasetInformation Forcesk-Means
A10.005930.01396
A20.0040530.01107
A30.0039180.008813
Table 4. Percentage of Accuracy in out-of-sample data for the A dataset.
Table 4. Percentage of Accuracy in out-of-sample data for the A dataset.
DatasetInformation Forcesk-Means
A195.69%95.95%
A297.47%97.49%
A397.54%97.55%
Table 5. Average Distance to the Truth Centroid for the S dataset.
Table 5. Average Distance to the Truth Centroid for the S dataset.
DatasetInformation Forcesk-Means
S10.0022390.01359
S20.0034870.01629
S30.012750.01872
S40.0092760.02091
Table 6. Percentage of Accuracy in out-of-sample data for the S dataset.
Table 6. Percentage of Accuracy in out-of-sample data for the S dataset.
DatasetInformation Forcesk-Means
S198.81%98.87%
S295.73%95.65%
S384.87%84.81%
S480.10%79.93%
Table 7. Percentage of Accuracy in out-of-sample data for the S dataset.
Table 7. Percentage of Accuracy in out-of-sample data for the S dataset.
DatasetInformation Forces with Outlier ReductionInformation Forces without Outlier Reductionk-Means
S1 with 5% of noise95.05%94.32%94.40%
S1 with 10% of noise91.95%90.36%90.50%
S1 with 15% of noise90.68%86.82%87.06%
Publisher’s Note: MDPI stays neutral with regard to jurisdictional claims in published maps and institutional affiliations.

Share and Cite

MDPI and ACS Style

Sousa Júnior, E.; Freitas, A.; Rabelo, R.; Santos, W. Estimation of Radial Basis Function Network Centers via Information Forces. Entropy 2022, 24, 1347. https://doi.org/10.3390/e24101347

AMA Style

Sousa Júnior E, Freitas A, Rabelo R, Santos W. Estimation of Radial Basis Function Network Centers via Information Forces. Entropy. 2022; 24(10):1347. https://doi.org/10.3390/e24101347

Chicago/Turabian Style

Sousa Júnior, Edilson, Antônio Freitas, Ricardo Rabelo, and Welflen Santos. 2022. "Estimation of Radial Basis Function Network Centers via Information Forces" Entropy 24, no. 10: 1347. https://doi.org/10.3390/e24101347

APA Style

Sousa Júnior, E., Freitas, A., Rabelo, R., & Santos, W. (2022). Estimation of Radial Basis Function Network Centers via Information Forces. Entropy, 24(10), 1347. https://doi.org/10.3390/e24101347

Note that from the first issue of 2016, this journal uses article numbers instead of page numbers. See further details here.

Article Metrics

Back to TopTop