Application of a Gas-Kinetic BGK Scheme in Thermal Protection System Analysis for Hypersonic Vehicles
Abstract
1. Introduction
2. BGK Model for the Governing Equations
3. Gas-Kinetic BGK Scheme
3.1. Solution of the BGK Equation
3.2. Evaluation of Numerical Fluxes
3.3. Update of Flow Variables
3.4. Code Validation
4. Numerical Results and Discussions
4.1. Thermal Protection System by Using Spike
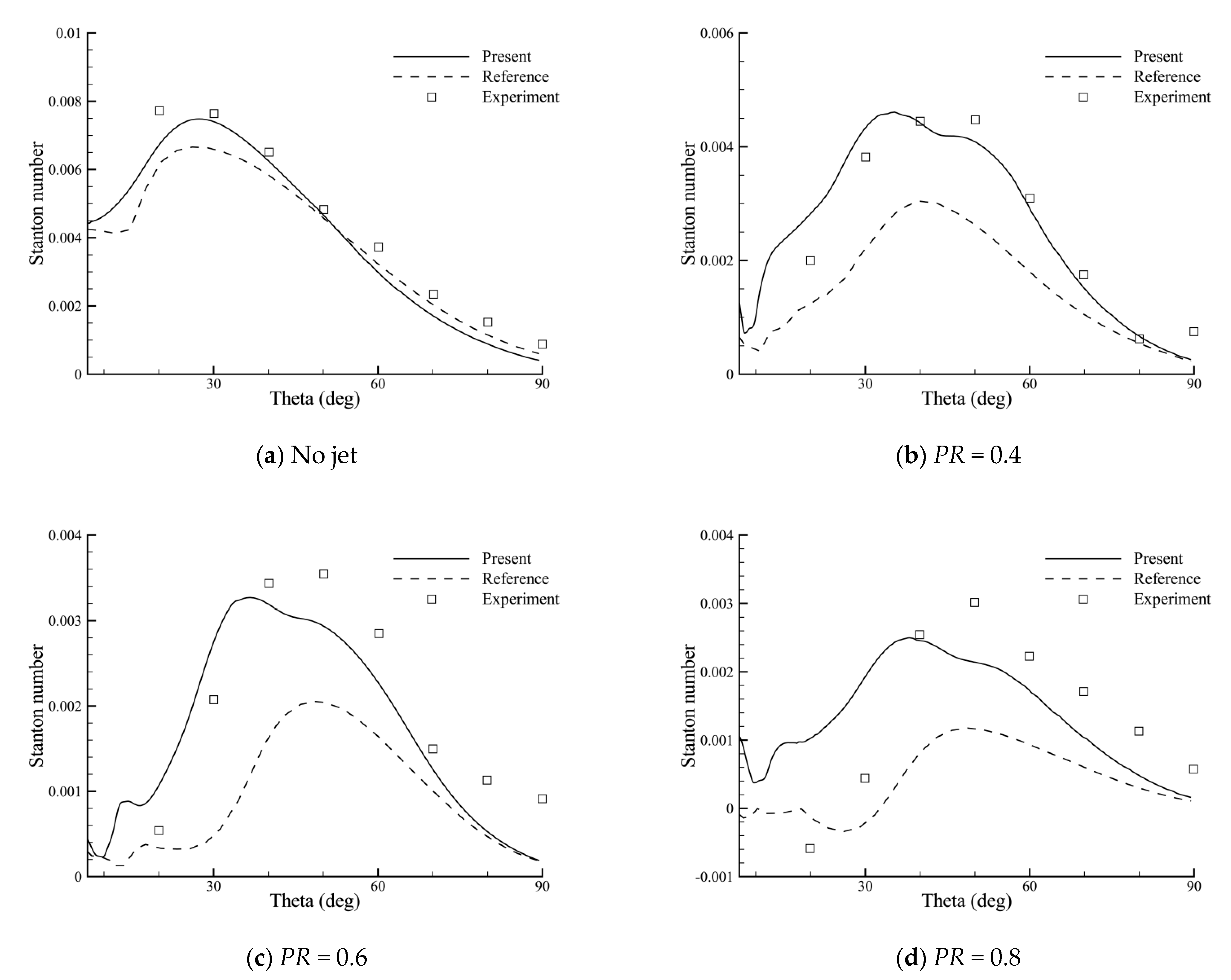
4.2. Thermal Protection System by Using Opposing Jet
5. Conclusions
Author Contributions
Funding
Conflicts of Interest
References
- Bertin, J.J.; Cummings, R.M. Critical hypersonic aerothermodynamic phenomena. Annu. Rev. Fluid Mech. 2005, 38, 129–157. [Google Scholar] [CrossRef]
- Kubota, H.; Uchida, S. Thermal Protection System with Use of Porous Media for a Hypersonic Reentry Vehicle. J. Porous Media 1999, 2, 71–85. [Google Scholar] [CrossRef]
- Aso, S.; Miyamoto, Y.; Kurotaki, T.; Isomura, Y.; Kurosaki, R.; Katayama, M.; Aso, S.; Miyamoto, Y.; Kurotaki, T.; Isomura, Y.; et al. Experimental and computational study on reduction of aerodynamic heating load by film cooling in hypersonic flows. In Proceedings of the 35th Aerospace Sciences Meeting and Exhibit, Reno, NV, USA, 6–9 January 1997; American Institute of Aeronautics and Astronautics: Reston, VA, USA, 1997. [Google Scholar] [CrossRef]
- Warren, C.H.E. An experimental investigation of the effect of ejecting a coolant gas at the nose of a bluff body. J. Fluid Mech. 2006, 8, 400–417. [Google Scholar] [CrossRef]
- Motoyama, N.; Mihara, K.; Miyajima, R.; Watanuki, T.; Kubota, H. Thermal protection and drag reduction with use of spike in hypersonic flow. In Proceedings of the 10th AIAA/NAL-NASDA-ISAS International Space Planes and Hypersonic Systems and Technologies Conference, Kyoto, Japan, 24–27 April 2001; American Institute of Aeronautics and Astronautics: Reston, VA, USA, 2001. [Google Scholar] [CrossRef]
- Takaki, R. Numerical Simulation of Heating Rate Reduction by Directed Energy Air Spike. Jpn. Soc. Aeronaut. Space Sci. 2003, 50, 123. [Google Scholar] [CrossRef]
- Usui, H.; Matsumoto, H.; Yamashita, F.; Yamane, M.; Takenaka, S. Computer experiments on Radio Blackout of a Reentry Vehicle. In Proceedings of the 6th Spacecraft Charging Technology, Middlesex County, MA, USA, 2–6 November 1998; pp. 107–110. [Google Scholar]
- Keenan, J.; Candler, G. Simulation of ablation in Earth atmospheric entry. In Proceedings of the 28th Thermophysics Conference, Orlando, FL, USA, 6–9 July 1993; American Institute of Aeronautics and Astronautics: Reston, VA, USA, 1993. [Google Scholar] [CrossRef]
- Sziroczak, D.; Smith, H. A review of design issues specific to hypersonic flight vehicles. Prog. Aerosp. Sci. 2016, 84, 1–28. [Google Scholar] [CrossRef]
- Blazek, J.Z. Computational Fluid Dynamics: Principles and Applications, 3rd ed.; Elsevier: Amsterdam, The Netherlands, 2015. [Google Scholar] [CrossRef]
- Toro, E.F. Riemann Solvers and Numerical Methods for Fluid Dynamics: A Practical Introduction; Springer Science & Business Media: Berlin, Germany, 2013. [Google Scholar]
- Liou, M.-S. A sequel to AUSM, Part II: AUSM+-up for all speeds. J. Comput. Phys. 2006, 214, 137–170. [Google Scholar] [CrossRef]
- Xu, K. Gas-kinetic schemes for unsteady compressible flow simulations. Lect. Ser. Van Kareman Inst. Fluid Dyn. 1998, 3, 153–155. [Google Scholar]
- Xu, K.; Martinelli, L.; Jameson, A. Gas-Kinetic Finite Volume Methods, Flux-Vector Splitting, and Artificial Diffusion. J. Comput. Phys. 1995, 120, 48–65. [Google Scholar] [CrossRef]
- Xu, K. A Gas-Kinetic BGK Scheme for the Navier–Stokes Equations and Its Connection with Artificial Dissipation and Godunov Method. J. Comput. Phys. 2001, 171, 289–335. [Google Scholar] [CrossRef]
- Xu, K.; Mao, M.L.; Tang, L. A multidimensional gas-kinetic BGK scheme for hypersonic viscous flow. J. Comput. Phys. 2005, 203, 405–421. [Google Scholar] [CrossRef]
- Li, Q.B.; Fu, S.; Xu, K. Application of Gas-Kinetic Scheme with Kinetic Boundary Conditions in Hypersonic Flow. AIAA J. 2005, 43, 2170–2176. [Google Scholar] [CrossRef][Green Version]
- Tan, S.; Li, Q.; Xiao, Z.; Fu, S. Gas kinetic scheme for turbulence simulation. Aerosp. Sci. Technol. 2018, 78, 214–227. [Google Scholar] [CrossRef]
- Li, Q.; Fu, S. Application of Gas-Kinetic BGK Scheme in Three-Dimensional Flow. In Proceedings of the 49th AIAA Aerospace Sciences Meeting including the New Horizons Forum and Aerospace Exposition, Orlando, FL, USA, 4–7 January 2011; American Institute of Aeronautics and Astronautics: Reston, VA, USA, 2011. [Google Scholar] [CrossRef]
- Li, Z.-H.; Zhang, H.-X. Gas-kinetic numerical studies of three-dimensional complex flows on spacecraft re-entry. J. Comput. Phys. 2009, 228, 1116–1138. [Google Scholar] [CrossRef]
- Yang, L.M.; Shu, C.; Wu, J. A three-dimensional explicit sphere function-based gas-kinetic flux solver for simulation of inviscid compressible flows. J. Comput. Phys. 2015, 295, 322–339. [Google Scholar] [CrossRef]
- Liu, Y.Y.; Yang, L.M.; Shu, C.; Zhang, H.W. Three-dimensional high-order least square-based finite difference-finite volume method on unstructured grids. Phys. Fluids 2020, 32, 123604. [Google Scholar] [CrossRef]
- Zhou, D.; Lu, Z.L.; Guo, T.Q.; Chen, G.P. A loosely-coupled gas-kinetic bgk scheme for conjugate heat transfer in hypersonic flows. Int. J. Heat Mass Transf. 2019, 147, 119016. [Google Scholar] [CrossRef]
- Spalart, P.; Allmaras, S. A one-equation turbulence model for aerodynamic flows. In Proceedings of the 30th Aerospace Sciences Meeting and Exhibit, Reno, NV, USA, 6–9 January 1992; American Institute of Aeronautics and Astronautics: Reston, VA, USA, 1992. [Google Scholar] [CrossRef]
- Zhou, D.; Lu, Z.L.; Guo, T.Q. Improvement of Computational Efficiency of Circular Function-based Gas Kinetic Scheme by Using Jacobian-free Newton-Krylov Method. Comput. Fluids 2018, 161, 121–135. [Google Scholar] [CrossRef]
- Wieting, A.R. Experimental Study of Shock Wave Interference Heating on a Cylindrical Leading Edge. NASA TM-100484. 1987. Available online: https://ntrs.nasa.gov/citations/19870017721 (accessed on 12 August 2022).
- Zhang, S.; Chen, F.; Liu, H. Time-Adaptive, Loosely Coupled Strategy for Conjugate Heat Transfer Problems in Hypersonic Flows. J. Thermophys. Heat Transf. 2014, 28, 635–646. [Google Scholar] [CrossRef]
- Dechaumphai, P.; Wieting, A.R.; Thornton, E.A. Flow-thermal-structural study of aerodynamically heated leading edges. J. Spacecr. Rocket. 1989, 26, 201–209. [Google Scholar] [CrossRef]
- Guo, S.; Xu, J.; Qin, Q.; Gu, R. Fluid–Thermal Interaction Investigation of Spiked Blunt Bodies at Hypersonic Flight Condition. J. Spacecr. Rocket. 2016, 53, 629–643. [Google Scholar] [CrossRef]
- Hayes, W.D.; Probstein, R.F.; Probstein, R.R. Hypersonic Inviscid Flow; Courier Corporation: Chelmsford, MA, USA, 2004. [Google Scholar]
- Lees, L. Laminar Heat Transfer Over Blunt-Nosed Bodies at Hypersonic Flight Speeds. J. Jet Propuls. 1956, 26, 259–269. [Google Scholar] [CrossRef]
- Zhu, L.; Tian, X.; Li, W.; Yan, M.; Tang, X.; Huang, M. Nonablative Dual-Jet Strategy for Drag and Heat Reduction of Hypersonic Blunt Vehicles. J. Aerosp. Eng. 2021, 34, 04021052. [Google Scholar] [CrossRef]
- Wang, Z.-Y.; Fang, S.-Z.; Guo, J.; Ni, Z.-J.; Xu, Y. Research on drag reduction and heat prevention performance of spike with the channel concept for hypersonic blunt body. In Proceedings of the 2022 International Symposium on Aerospace Engineering and Systems, Toronto, ON, Canada, 6–8 July 2022; p. 012004. [Google Scholar]
- Hayashi, K.; Aso, S. Effect of Pressure Ratio on Aerodynamic Heating Reduction due to Opposing Jet. In Proceedings of the 36th AIAA Thermophysics Conference, Orlando, FL, USA, 23–26 June 2003; American Institute of Aeronautics and Astronautics: Reston, VA, USA, 2003. [Google Scholar] [CrossRef]
- Hayashi, K.; Aso, S.; Tani, Y. Numerical Study of Thermal Protection System by Opposing Jet. In Proceedings of the 43rd AIAA Aerospace Sciences Meeting and Exhibit, Reno, NE, USA, 10–13 January 2005; American Institute of Aeronautics and Astronautics: Reston, VA, USA, 2005. [Google Scholar] [CrossRef]













Publisher’s Note: MDPI stays neutral with regard to jurisdictional claims in published maps and institutional affiliations. |
© 2022 by the authors. Licensee MDPI, Basel, Switzerland. This article is an open access article distributed under the terms and conditions of the Creative Commons Attribution (CC BY) license (https://creativecommons.org/licenses/by/4.0/).
Share and Cite
Zhou, D.; Du, B.; Guo, T.; Li, Q.; Lu, Z. Application of a Gas-Kinetic BGK Scheme in Thermal Protection System Analysis for Hypersonic Vehicles. Entropy 2022, 24, 1325. https://doi.org/10.3390/e24101325
Zhou D, Du B, Guo T, Li Q, Lu Z. Application of a Gas-Kinetic BGK Scheme in Thermal Protection System Analysis for Hypersonic Vehicles. Entropy. 2022; 24(10):1325. https://doi.org/10.3390/e24101325
Chicago/Turabian StyleZhou, Di, Bingchen Du, Tongqing Guo, Qiaozhong Li, and Zhiliang Lu. 2022. "Application of a Gas-Kinetic BGK Scheme in Thermal Protection System Analysis for Hypersonic Vehicles" Entropy 24, no. 10: 1325. https://doi.org/10.3390/e24101325
APA StyleZhou, D., Du, B., Guo, T., Li, Q., & Lu, Z. (2022). Application of a Gas-Kinetic BGK Scheme in Thermal Protection System Analysis for Hypersonic Vehicles. Entropy, 24(10), 1325. https://doi.org/10.3390/e24101325

