Geometric Variational Inference
Abstract
:1. Introduction
Mathematical Setup
2. Geometric Properties of Posterior Distributions
2.1. Coordinate Transformation
2.2. Basic Properties
3. Posterior Approximation
3.1. Direct Approximation
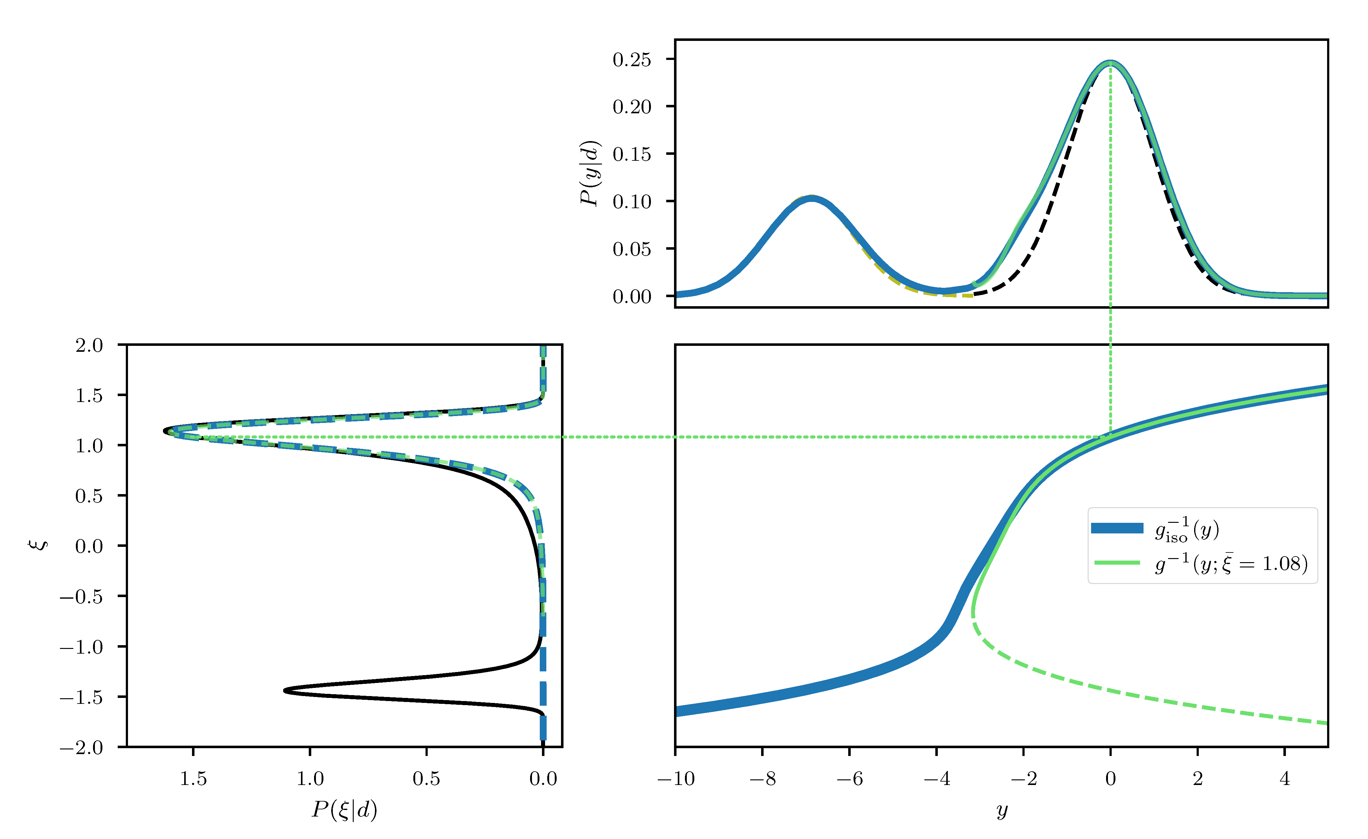
3.1.1. Numerical Approximation to Sampling
| Algorithm 1: Approximate posterior samples using inverse transformation |
![]() |
3.1.2. Properties
3.2. Geometric Variational Inference (geoVI)
| Algorithm 2: Geometric Variational Inference (geoVI) |
![]() |
3.2.1. Numerical Sampling within geoVI
3.2.2. MGVI as a First Order Approximation
3.3. Examples
4. Applications
4.1. Gaussian Processes with Unknown Power Spectra
4.2. Log-Normal Process with Noise Estimation
4.3. Separation of Diffuse Emission from Point Sources
5. Further Properties and Challenges
5.1. Evidence Lower Bound (ELBO)
5.2. RMHMC with Metric Approximation
5.3. Pathological Cases
6. Summary and Outlook
Author Contributions
Funding
Data Availability Statement
Acknowledgments
Conflicts of Interest
Abbreviations
| VI | Variational Inference |
| MCMC | Markov-Chain Monte-Carlo |
| geoVI | geometric Variational Inference |
| VB | Variational Bayes’ |
| RMHMC | Riemannian manifold Hamilton Monte-Carlo |
| HMC | Hamilton (Hybrid) Monte-Carlo |
| MGVI | Metric Gaussian Variational Inference |
| NIFTy | Numerical Information Field Theory |
| KL | Kullback–Leibler divergence |
| MVP | matrix vector product |
| MAP | Maximum a posterior |
| DFT | Discrete Fourier transform |
| FFT | Fast Fourier transform |
| ELBO | Evidence lower bound |
Appendix A. Likelihood Transformations
| Name | Metric | Trafo. | |
| Normal | |||
| Poisson | |||
| Inv. Gamma | |||
| Student-T | |||
| Bernoulli |
Multiple Likelihoods
Appendix B. Correlated Field Model
References
- Geyer, C.J. Practical markov chain monte carlo. Stat. Sci. 1992, 7, 473–483. [Google Scholar] [CrossRef]
- Brooks, S.; Gelman, A.; Jones, G.; Meng, X.L. Handbook of Markov Chain Monte Carlo; CRC Press: Boca Raton, FL, USA, 2011. [Google Scholar]
- Marjoram, P.; Molitor, J.; Plagnol, V.; Tavaré, S. Markov chain Monte Carlo without likelihoods. Proc. Natl. Acad. Sci. USA 2003, 100, 15324–15328. [Google Scholar] [CrossRef] [Green Version]
- Blei, D.M.; Kucukelbir, A.; McAuliffe, J.D. Variational inference: A review for statisticians. J. Am. Stat. Assoc. 2017, 112, 859–877. [Google Scholar] [CrossRef] [Green Version]
- Hoffman, M.D.; Blei, D.M.; Wang, C.; Paisley, J. Stochastic variational inference. J. Mach. Learn. Res. 2013, 14, 1303–1347. [Google Scholar]
- Rezende, D.; Mohamed, S. Variational inference with normalizing flows. In Proceedings of the International Conference on Machine Learning, PMLR, Lille, France, 6–11 July 2015; pp. 1530–1538. [Google Scholar]
- Kucukelbir, A.; Tran, D.; Ranganath, R.; Gelman, A.; Blei, D.M. Automatic differentiation variational inference. J. Mach. Learn. Res. 2017, 18, 430–474. [Google Scholar]
- Kingma, D.P.; Welling, M. Auto-encoding variational bayes. arXiv 2013, arXiv:1312.6114. [Google Scholar]
- Fox, C.W.; Roberts, S.J. A tutorial on variational Bayesian inference. Artif. Intell. Rev. 2012, 38, 85–95. [Google Scholar] [CrossRef]
- Šmídl, V.; Quinn, A. The Variational Bayes Method in Signal Processing; Springer Science & Business Media: Berlin/Heidelberg, Germany, 2006. [Google Scholar]
- Girolami, M.; Calderhead, B. Riemann manifold Langevin and Hamiltonian Monte Carlo methods. J. R. Stat. Soc. Ser. B Stat. Methodol. 2011, 73, 123–214. [Google Scholar] [CrossRef]
- Duane, S.; Kennedy, A.D.; Pendleton, B.J.; Roweth, D. Hybrid monte carlo. Phys. Lett. B 1987, 195, 216–222. [Google Scholar] [CrossRef]
- Betancourt, M. A conceptual introduction to Hamiltonian Monte Carlo. arXiv 2017, arXiv:1701.02434. [Google Scholar]
- Saha, A.; Bharath, K.; Kurtek, S. A Geometric Variational Approach to Bayesian Inference. J. Am. Stat. Assoc. 2020, 115, 822–835. [Google Scholar] [CrossRef] [PubMed] [Green Version]
- Knollmüller, J.; Enßlin, T.A. Metric gaussian variational inference. arXiv 2019, arXiv:1901.11033. [Google Scholar]
- Arras, P.; Baltac, M.; Ensslin, T.A.; Frank, P.; Hutschenreuter, S.; Knollmueller, J.; Leike, R.; Newrzella, M.N.; Platz, L.; Reinecke, M.; et al. Nifty5: Numerical information field theory v5. Astrophys. Source Code Libr. 2019, ascl-1903.008. [Google Scholar]
- Bogachev, V.I.; Kolesnikov, A.V.; Medvedev, K.V. Triangular transformations of measures. Sb. Math. 2005, 196, 309. [Google Scholar] [CrossRef] [Green Version]
- Fisher, R.A. Theory of Statistical Estimation; Cambridge University Press: Cambridge, UK, 1925; Volume 22, pp. 700–725. [Google Scholar]
- Rao, C.R. Information and the accuracy attainable in the estimation of statistical parameters. In Breakthroughs in Statistics; Springer: Berlin, Germany, 1992; pp. 235–247. [Google Scholar]
- Amari, S.; Nagaoka, H. Methods of Information Geometry; Translations of Mathematical Monographs; American Mathematical Society: Providence, RI, USA, 2000. [Google Scholar]
- Cencov, N.N. Statistical Decision Rules and Optimal Inference; Number 53; American Mathematical Society: Providence, RI, USA, 2000. [Google Scholar]
- Betancourt, M. A general metric for Riemannian manifold Hamiltonian Monte Carlo. In Proceedings of the International Conference on Geometric Science of Information, Paris, France, 28–30 August 2013; Springer: Berlin, Germany, 2013; pp. 327–334. [Google Scholar]
- Nocedal, J.; Wright, S.J. Numerical Optimization, 2nd ed.; Springer: New York, NY, USA, 2006; p. 168. [Google Scholar]
- Hestenes, M.R.; Stiefel, E. Methods of Conjugate Gradients for Solving Linear Systems; NBS: Washington, DC, USA, 1952; Volume 49. [Google Scholar]
- Hutchinson, M.F. A stochastic estimator of the trace of the influence matrix for Laplacian smoothing splines. Commun. Stat. Simul. Comput. 1989, 18, 1059–1076. [Google Scholar] [CrossRef]
- Han, I.; Malioutov, D.; Shin, J. Large-scale log-determinant computation through stochastic Chebyshev expansions. In Proceedings of the International Conference on Machine Learning, PMLR, Lille, France, 6–11 July 2015; pp. 908–917. [Google Scholar]
- Ubaru, S.; Chen, J.; Saad, Y. Fast estimation of tr(f(a)) via stochastic lanczos quadrature. SIAM J. Matrix Anal. Appl. 2017, 38, 1075–1099. [Google Scholar] [CrossRef]
- Fitzsimons, J.; Granziol, D.; Cutajar, K.; Osborne, M.; Filippone, M.; Roberts, S. Entropic trace estimates for log determinants. In Joint European Conference on Machine Learning and Knowledge Discovery in Databases; Springer: Berlin, Germany, 2017; pp. 323–338. [Google Scholar]
- Hutschenreuter, S.; Anderson, C.S.; Betti, S.; Bower, G.C.; Brown, J.A.; Brüggen, M.; Carretti, E.; Clarke, T.; Clegg, A.; Costa, A.; et al. The Galactic Faraday rotation sky 2020. arXiv 2021, arXiv:2102.01709. [Google Scholar]
- Welling, C.; Frank, P.; Enßlin, T.; Nelles, A. Reconstructing non-repeating radio pulses with Information Field Theory. J. Cosmol. Astropart. Phys. 2021, 2021, 071. [Google Scholar] [CrossRef]
- Arras, P.; Bester, H.L.; Perley, R.A.; Leike, R.; Smirnov, O.; Westermann, R.; Enßlin, T.A. Comparison of classical and Bayesian imaging in radio interferometry-Cygnus A with CLEAN and resolve. Astron. Astrophys. 2021, 646, A84. [Google Scholar] [CrossRef]
- Arras, P.; Frank, P.; Haim, P.; Knollmüller, J.; Leike, R.; Reinecke, M.; Enßlin, T. The variable shadow of M87. arXiv 2020, arXiv:2002.05218. [Google Scholar]
- Leike, R.H.; Glatzle, M.; Enßlin, T.A. Resolving nearby dust clouds. Astron. Astrophys. 2020, 639, A138. [Google Scholar] [CrossRef]
- Arras, P.; Frank, P.; Leike, R.; Westermann, R.; Enßlin, T.A. Unified radio interferometric calibration and imaging with joint uncertainty quantification. Astron. Astrophys. 2019, 627, A134. [Google Scholar] [CrossRef]
- Hutschenreuter, S.; Enßlin, T.A. The Galactic Faraday depth sky revisited. Astron. Astrophys. 2020, 633, A150. [Google Scholar] [CrossRef]
- Wiener, N. Extrapolation, Interpolation, and Smoothing of Stationary Time Series, with Engineering Applications; Stationary Time Series; Technology Press of the Massachusetts Institute of Technology: Cambridge, MA, USA, 1950; Number ix; 163p. [Google Scholar]
- Lassas, M.; Saksman, E.; Siltanen, S. Discretization-invariant Bayesian inversion and Besov space priors. Inverse Probl. Imaging 2009, 3, 87. [Google Scholar] [CrossRef]
- Frank, P.; Leike, R.; Enßlin, T.A. Field Dynamics Inference for Local and Causal Interactions. Ann. Phys. 2021, 533, 2000486. [Google Scholar] [CrossRef]
- Bertin, E.; Arnouts, S. SExtractor: Software for source extraction. Astron. Astrophys. Suppl. Ser. 1996, 117, 393–404. [Google Scholar] [CrossRef]


















| Name | Description | Prior Distribution |
|---|---|---|
| offset std. | Prior standard deviation of the overall offset of s from zero | Log-normal |
| fluctuations | Prior amplitude of the variation of s around its offset | Log-normal |
| slope | Exponent of the power law related to | Normal |
| flexibility | Amplitude of deviations from the power-law on log-log-scale | Log-normal |
| asperity | Smoothness of the deviations as a function of | Log-normal |
Publisher’s Note: MDPI stays neutral with regard to jurisdictional claims in published maps and institutional affiliations. |
© 2021 by the authors. Licensee MDPI, Basel, Switzerland. This article is an open access article distributed under the terms and conditions of the Creative Commons Attribution (CC BY) license (https://creativecommons.org/licenses/by/4.0/).
Share and Cite
Frank, P.; Leike, R.; Enßlin, T.A. Geometric Variational Inference. Entropy 2021, 23, 853. https://doi.org/10.3390/e23070853
Frank P, Leike R, Enßlin TA. Geometric Variational Inference. Entropy. 2021; 23(7):853. https://doi.org/10.3390/e23070853
Chicago/Turabian StyleFrank, Philipp, Reimar Leike, and Torsten A. Enßlin. 2021. "Geometric Variational Inference" Entropy 23, no. 7: 853. https://doi.org/10.3390/e23070853
APA StyleFrank, P., Leike, R., & Enßlin, T. A. (2021). Geometric Variational Inference. Entropy, 23(7), 853. https://doi.org/10.3390/e23070853



