Self-Assembled Structures of Colloidal Dimers and Disks on a Spherical Surface
Abstract
1. Introduction
2. Model and Method
3. Results
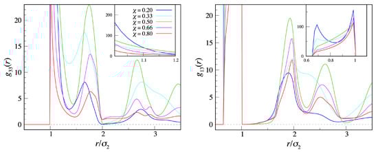
3.1. Same Size of Dimers and Disks
3.2. Increasing Disk Size
4. Conclusions
Author Contributions
Funding
Data Availability Statement
Acknowledgments
Conflicts of Interest
References
- Babic, F. Suspensions of Colloidal Particles and Aggregates; Springer: Berlin/Heidelberg, Germany, 2016. [Google Scholar]
- Weitz, D.A.; Oliveria, M. Fractal Structures Formed by Kinetic Aggregation of Aqueous Gold Colloids. Phys. Rev. Lett. 1984, 52, 1433–1436. [Google Scholar] [CrossRef]
- Lin, M.Y.; Lindsay, H.M.; Weitz, D.A.; Ball, R.C.; Klein, R.; Meakin, P. Universality in colloid aggregation. Nature 1989, 339, 360–362. [Google Scholar] [CrossRef]
- Lin, M.Y.; Lindsay, H.M.; Weitz, D.A.; Klein, R.; Ball, R.C.; Meakin, P. Universal diffusion-limited colloid aggregation. J. Phys. Condens. Matter 1990, 2, 3093–3113. [Google Scholar] [CrossRef]
- Gonzalez, A.E.; Martinez-Lopez, F.; Moncho-Jord, A.; Hidalgo-Alvarez, R. Simulations of colloidal aggregation with short- and medium-range interactions. Phys. A 2004, 333, 257–268. [Google Scholar] [CrossRef]
- Xu, Z.; Wang, L.; Fang, F.; Fu, Y.; Yin, Z. A Review on Colloidal Self-Assembly and their Applications. Curr. Nanosci. 2016, 12, 725–746. [Google Scholar] [CrossRef]
- Yang, Y.; Pei, H.; Chen, G.; Webb, K.T.; Martinez-Miranda, L.J.; Lloyd, I.K.; Lu, Z.; Liu, K.; Nie, Z. Phase behaviors of colloidal analogs of bent-core liquid crystals. Sci. Adv. 2018, 4, eaas8829. [Google Scholar] [CrossRef]
- Hagan, M.F.; Grason, G.M. Equilibrium mechanisms of self-limiting assembly. arXiv 2007, arXiv:2007.01927. [Google Scholar]
- Prestipino, S.; Gazzillo, D.; Munaò, G.; Costa, D. Complex Self-Assembly from Simple Interaction Rules in Model Colloidal Mixtures. J. Phys. Chem. B 2019, 123, 9272–9280. [Google Scholar] [CrossRef]
- Boles, M.A.; Engel, M.; Talapin, D.V. Self-Assembly of Colloidal Nanocrystals: From Intricate Structures to Functional Materials. Chem. Rev. 2016, 116, 11220–11289. [Google Scholar] [CrossRef]
- Thapar, V.; Hanrath, T.; Escobedo, F.A. Entropic self-assembly of freely rotating polyhedral particles confined to a flat interface. Soft Matter 2015, 11, 1481–1491. [Google Scholar] [CrossRef]
- Ramsden, W. Separation of solids in the surface-layers of solutions and suspensions. Proc. R. Soc. London 1904, 72, 156–164. [Google Scholar]
- Pickering, S.U. Emulsions. J. Chem. Soc. Trans. 1907, 91, 2001–2021. [Google Scholar] [CrossRef]
- Evans, D.F.; Wennerström, H. The Colloidal Domain: Where Physics, Chemistry, Biology, and Technology Meet, 2nd ed.; Wiley-VCH: Hoboken, NJ, USA, 1999. [Google Scholar]
- Morrison, I.D.; Ross, S. Colloidal Dispersions: Suspensions, Emulsions, and Foams; Wiley-Interscience: Hoboken, NJ, USA, 2002. [Google Scholar]
- Pieranski, P. Two-Dimensional Interfacial Colloidal Crystals. Phys. Rev. Lett. 1980, 45, 569–572. [Google Scholar] [CrossRef]
- Hurd, A.; Schaefer, D.W. Diffusion-Limited Aggregation in Two Dimensions. Phys. Rev. Lett. 1985, 54, 1043–1046. [Google Scholar] [CrossRef] [PubMed]
- Onoda, G.Y. Direct observation of two-dimensional, dynamic clustering and ordering with colloids. Phys. Rev. Lett. 1985, 55, 226–229. [Google Scholar] [CrossRef]
- Ruan, W.D.; Lu, Z.C.; Ji, N.; Wang, C.X.; Zhao, B.; Zhang, J.H. Facile Fabrication of Large Area Polystyrene Colloidal Crystal Monolayer via Surfactant-free Langmuir-Blodgett Technique. Chem. Res. Chin. Univ. 2007, 23, 712–714. [Google Scholar] [CrossRef]
- Retsch, M.; Zhou, Z.; Rivera, S.; Kappl, M.; Zhao, X.S.; Jonas, U.; Li, Q. Fabrication of Large-Area, Transferable Colloidal Monolayers Utilizing Self-Assembly at the Air/Water Interface. Macromol. Chem. Phys. 2009, 210, 230–241. [Google Scholar] [CrossRef]
- Bowick, M.J.; Giomi, L. Two-dimensional matter: Order, curvature and defects. Adv. Phys. 2009, 58, 449–563. [Google Scholar] [CrossRef]
- Prestipino, S.; Giaquinta, P.V. Ground state of weakly repulsive soft-core bosons on a sphere. Phys. Rev. A 2019, 99, 063619. [Google Scholar] [CrossRef]
- Tononi, A.; Cinti, F.; Salasnich, L. Quantum Bubbles in Microgravity. Phys. Rev. Lett. 2020, 125, 010402. [Google Scholar] [CrossRef]
- Sacanna, S.; Kegel, W.K.; Philipse, A.P. Thermodynamically Stable Pickering Emulsions. Phys. Rev. Lett. 2007, 98, 158301. [Google Scholar] [CrossRef] [PubMed]
- Joshi, D.; Bargteil, D.; Caciagl, A. Kinetic control of the coverage of oil droplets by DNA-functionalized colloids. Sci. Adv. 2016, 2, e1600881. [Google Scholar] [CrossRef] [PubMed]
- Velev, O.D.; Furusawa, K.; Nagayama, K. Assembly of Latex Particles by Using Emulsion Droplets as Templates. 1. Microstructured Hollow Spheres. Langmuir 1996, 12, 2374–2384. [Google Scholar] [CrossRef]
- Dinsmore, A.D.; Hsu, M.; Nikolaides, M.G.; Marquez, M.; Bausch, A.R.; Weitz, D.A. Colloidosomes: Selectively Permeable Capsules Composed of Colloidal Particles. Science 2002, 298, 1006–1009. [Google Scholar] [CrossRef] [PubMed]
- Munaò, G.; Costa, D.; Prestipino, S.; Caccamo, C. Encapsulation of spherical nanoparticles by colloidal dimers. Phys. Chem. Chem. Phys. 2016, 18, 24922–24930. [Google Scholar] [CrossRef] [PubMed]
- Bott, M.C.; Brader, J.M. Phase separation on the sphere: Patchy particles and self-assembly. Phys. Rev. E 2016, 94, 012603. [Google Scholar] [CrossRef] [PubMed]
- Prestipino, S.; Munaò, G.; Costa, D.; Caccamo, C. Self-assembly in a model colloidal mixture of dimers and spherical particles. J. Chem. Phys. 2017, 146, 084902. [Google Scholar] [CrossRef] [PubMed]
- Prestipino, S.; Munaò, G.; Costa, D.; Pellicane, G.; Caccamo, C. Two-dimensional mixture of amphiphilic dimers and spheres: Self-assembly behaviour. J. Chem. Phys. 2017, 147, 144902. [Google Scholar] [CrossRef] [PubMed]
- Munaò, G.; Costa, D.; Prestipino, S.; Caccamo, C. Aggregation of colloidal spheres mediated by Janus dimers: A Monte Carlo study. Colloids Surf. A 2017, 532, 397–404. [Google Scholar] [CrossRef]
- Krauth, W. Statistical Mechanics: Algorithms and Computations; Oxford University Press: Oxford, UK, 2006. [Google Scholar]
- Fiumara, G.; Pandaram, O.D.; Pellicane, G.; Saija, F. Theoretical and computer simulation study of phase coexistence of nonadditive hard-disk mixtures. J. Chem. Phys. 2014, 141, 214508. [Google Scholar]
- Pȩkalski, J.; Ciach, A. Orientational ordering of lamellar structures on closed surfaces. J. Chem. Phys. 2018, 148, 174902. [Google Scholar] [CrossRef] [PubMed]
- Gomez, L.R.; Garcia, N.A.; Vitelli, V.; Lorenzana, J.; Vega, D.A. Phase nucleation in curved space. Nat. Commun. 2015, 6, 6856. [Google Scholar] [CrossRef] [PubMed]
- Prestipino, S.; Ferrario, M.; Giaquinta, P.V. Statistical geometry of hard particles on a sphere: Analysis of defects at high density. Phys. A 1993, 201, 649–665. [Google Scholar]







Publisher’s Note: MDPI stays neutral with regard to jurisdictional claims in published maps and institutional affiliations. |
© 2021 by the authors. Licensee MDPI, Basel, Switzerland. This article is an open access article distributed under the terms and conditions of the Creative Commons Attribution (CC BY) license (https://creativecommons.org/licenses/by/4.0/).
Share and Cite
Dlamini, N.; Prestipino, S.; Pellicane, G. Self-Assembled Structures of Colloidal Dimers and Disks on a Spherical Surface. Entropy 2021, 23, 585. https://doi.org/10.3390/e23050585
Dlamini N, Prestipino S, Pellicane G. Self-Assembled Structures of Colloidal Dimers and Disks on a Spherical Surface. Entropy. 2021; 23(5):585. https://doi.org/10.3390/e23050585
Chicago/Turabian StyleDlamini, Nkosinathi, Santi Prestipino, and Giuseppe Pellicane. 2021. "Self-Assembled Structures of Colloidal Dimers and Disks on a Spherical Surface" Entropy 23, no. 5: 585. https://doi.org/10.3390/e23050585
APA StyleDlamini, N., Prestipino, S., & Pellicane, G. (2021). Self-Assembled Structures of Colloidal Dimers and Disks on a Spherical Surface. Entropy, 23(5), 585. https://doi.org/10.3390/e23050585

