Ant Colony System Optimization for Spatiotemporal Modelling of Combined EEG and MEG Data
Abstract
1. Introduction
- Relaxing the assumption of independent mixture allocation variables and modeling mixture allocations using the Potts model, which allows for spatial dependence in allocations.
- Formulate the model for combined MEG and EEG data for joint source localization.
Related Works
2. Methods
2.1. Model
2.2. Ant Colony System
| Algorithm 1 Iterated Conditional Modes (ICM) Algorithm. |
|
| Algorithm 2 Ant Colony System (ACS)-ICM Algorithm. |
|
3. Simulation Studies
3.1. Proposed Approach
3.2. Simulation Results
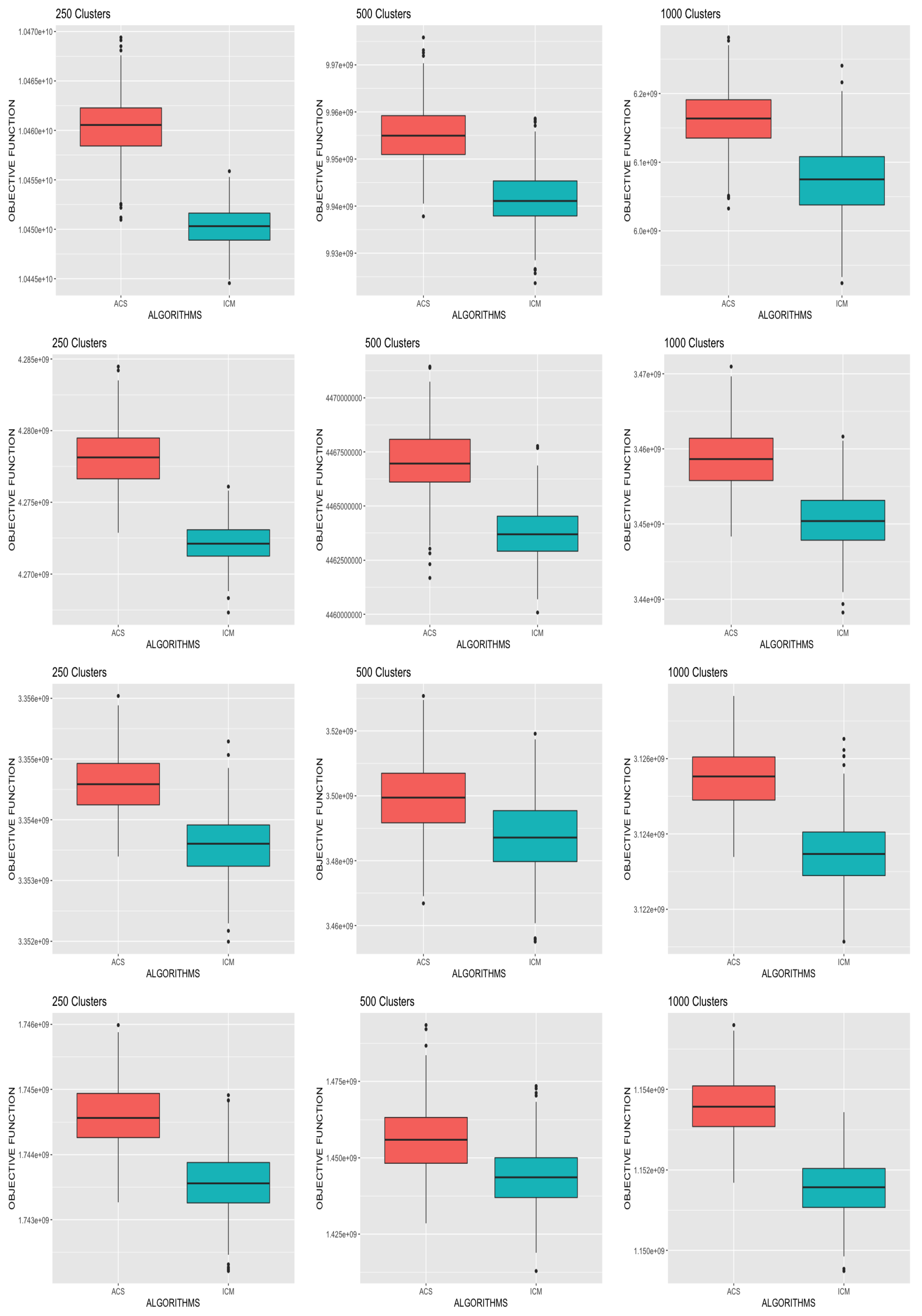
3.2.1. Evaluation of Neural Source Estimation
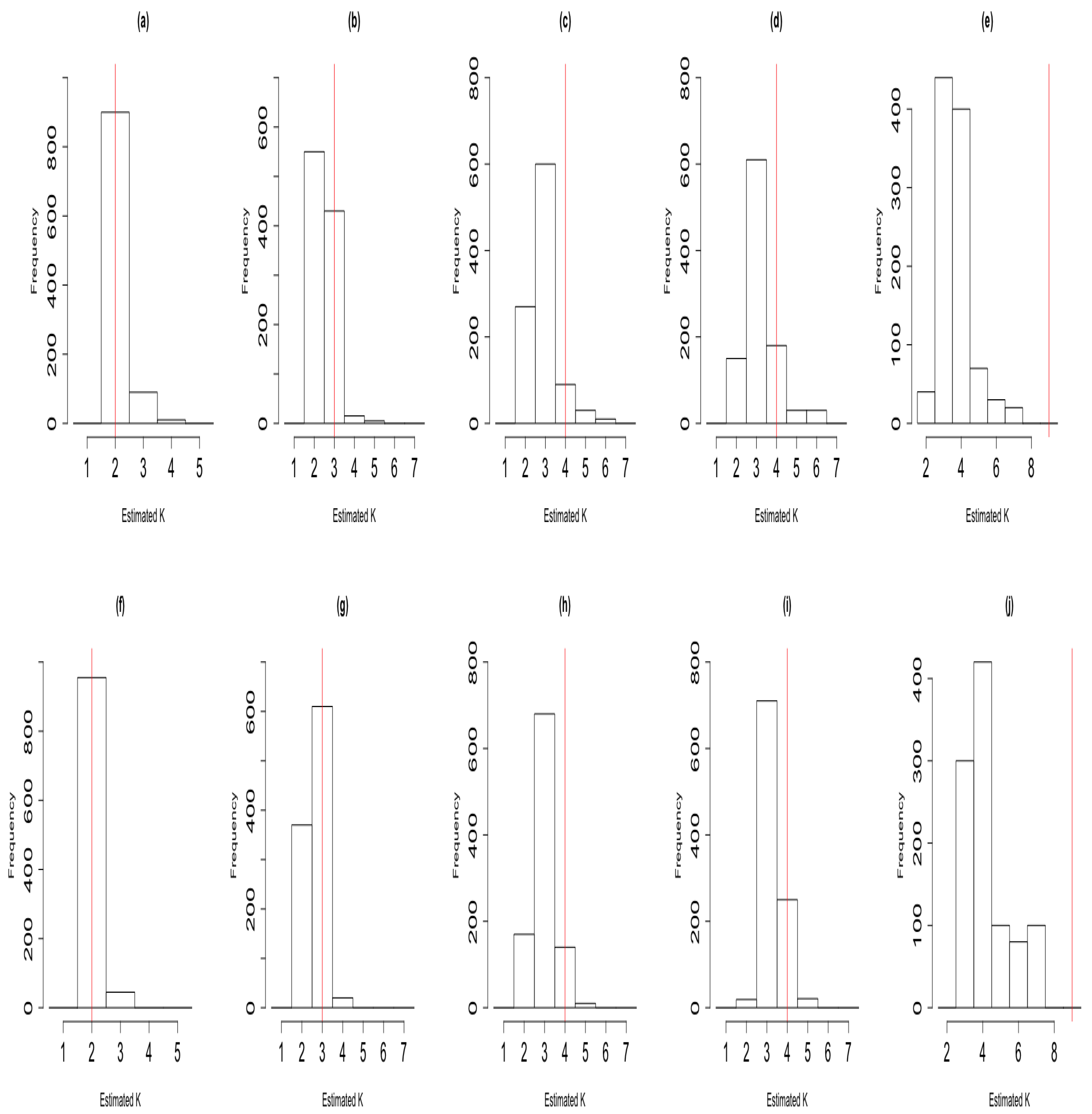
3.2.2. Evaluation of Mixture Component Estimation
- Two latent states with Gaussian source activity in the active regions depicted in Appendix A, Figure A1, panel (a).
- Three latent states with Gaussian source activity in the active regions depicted in Appendix A, Figure A1, panel (c).
- Four latent states with Gaussian source activity in the active regions depicted in Appendix A, Figure A1, panel (e).
- Four latent states with Gaussian and sinusoidal source activity in the active regions depicted in Appendix A, Figure A1, panel (g).
- Nine latent states with Gaussian source activity in the active regions depicted in Appendix A, Figure A2, panel (a).
4. Application to Scrambled Face Perception MEG/EEG Data
Residual Diagnostics for the Scrambled Faces MEG and EEG Data
5. Discussion and Conclusions
5.1. Numerical Results
5.2. Limitations of the Proposed Approach
5.3. Prospects for Future Research
Author Contributions
Funding
Institutional Review Board Statement
Informed Consent Statement
Data Availability Statement
Acknowledgments
Conflicts of Interest
Appendix A


| K = 2 | K = 3 | K = 4 | K = 9 | ||
|---|---|---|---|---|---|
| Algorithm | Clusters | Ave. Corr. | Ave. Corr. | Ave. Corr. | Ave. Corr. |
| ICM | 250 | 0.60 | 0.63 | 0.62 | 0.54 |
| ACS-ICM | 250 | 0.64 | 0.67 | 0.63 | 0.59 |
| ICM | 500 | 0.53 | 0.55 | 0.49 | 0.44 |
| ACS-ICM | 500 | 0.56 | 0.61 | 0.53 | 0.46 |
| ICM | 1000 | 0.41 | 0.43 | 0.40 | 0.37 |
| ACS-ICM | 1000 | 0.46 | 0.47 | 0.45 | 0.43 |


| Active Region | Inactive Region | ||||||
|---|---|---|---|---|---|---|---|
| Algorithm | Clusters | TMSE | (Bias) | Variance | TMSE | (Bias) | Variance |
| ICM | 250 | 92 | 36 | 56 | 141 | 65 | 76 |
| ACS-ICM | 250 | 83 | 32 | 51 | 127 | 61 | 66 |
| ICM | 500 | 196 | 91 | 105 | 211 | 103 | 108 |
| ACS-ICM | 500 | 183 | 87 | 96 | 191 | 93 | 98 |
| ICM | 1000 | 271 | 147 | 124 | 285 | 127 | 158 |
| ACS-ICM | 1000 | 263 | 144 | 119 | 274 | 125 | 149 |
| K = 3 | |||||||
| ICM | 250 | 490 | 237 | 253 | 523 | 255 | 268 |
| ACS-ICM | 250 | 465 | 219 | 246 | 497 | 244 | 253 |
| ICM | 500 | 1203 | 582 | 621 | 705 | 345 | 360 |
| ACS-ICM | 500 | 904 | 434 | 470 | 593 | 282 | 311 |
| ICM | 1000 | 1657 | 817 | 840 | 674 | 321 | 353 |
| ACS-ICM | 1000 | 1051 | 379 | 672 | 601 | 289 | 312 |
| K = 4 | |||||||
| ICM | 250 | 776 | 378 | 396 | 674 | 289 | 385 |
| ACS-ICM | 250 | 681 | 336 | 345 | 614 | 248 | 366 |
| ICM | 500 | 1404 | 651 | 753 | 804 | 387 | 417 |
| ACS-ICM | 500 | 1152 | 555 | 597 | 781 | 375 | 406 |
| ICM | 1000 | 2493 | 1100 | 1393 | 796 | 359 | 437 |
| ACS-ICM | 1000 | 1763 | 797 | 966 | 774 | 346 | 428 |
| K = 9 | |||||||
| ICM | 250 | 2100 | 918 | 1182 | 1541 | 727 | 814 |
| ACS-ICM | 250 | 1446 | 709 | 737 | 1303 | 632 | 671 |
| ICM | 500 | 2515 | 1246 | 1269 | 1260 | 618 | 642 |
| ACS-ICM | 500 | 2142 | 1104 | 1038 | 1046 | 492 | 554 |
| ICM | 1000 | 3561 | 1720 | 1839 | 1549 | 740 | 809 |
| ACS-ICM | 1000 | 2714 | 1281 | 1433 | 1415 | 688 | 727 |

Appendix B



References
- Chowdhury, R.A.; Zerouali, Y.; Hedrich, T.; Heers, M.; Kobayashi, E.; Lina, J.M.; Grova, C. MEG–EEG information fusion and electromagnetic source imaging: From theory to clinical application in epilepsy. Brain Topogr. 2015, 28, 785–812. [Google Scholar] [CrossRef]
- Zhang, X.; Lei, X.; Wu, T.; Jiang, T. A review of EEG and MEG for brainnetome research. Cogn. Neurodyn. 2014, 8, 87–98. [Google Scholar] [CrossRef]
- Baillet, S.; Mosher, J.C.; Leahy, R.M. Electromagnetic brain mapping. IEEE Signal Process. Mag. 2001, 18, 14–30. [Google Scholar] [CrossRef]
- Sorrentino, A.; Piana, M. Inverse Modeling for MEG/EEG data. In Mathematical and Theoretical Neuroscience; Springer: Berlin/Heidelberg, Germany, 2017; pp. 239–253. [Google Scholar]
- Giraldo-Suarez, E.; Martínez-Vargas, J.D.; Castellanos-Dominguez, G. Reconstruction of neural activity from EEG data using dynamic spatiotemporal constraints. Int. J. Neural Syst. 2016, 26, 1650026. [Google Scholar] [CrossRef]
- Long, C.J.; Purdon, P.L.; Temereanca, S.; Desai, N.U.; Hämäläinen, M.S.; Brown, E.N. State-space solutions to the dynamic magnetoencephalography inverse problem using high performance computing. Ann. Appl. Stat. 2011, 5, 1207. [Google Scholar] [CrossRef]
- Rytsar, R.; Pun, T. EEG source reconstruction using global optimization approaches: Genetic algorithms versus simulated annealing. Int. J. Tomogr. Simul. 2010, 14, 83–94. [Google Scholar]
- Wipf, D.; Nagarajan, S. A unified Bayesian framework for MEG/EEG source imaging. NeuroImage 2009, 44, 947–966. [Google Scholar] [CrossRef] [PubMed]
- Henson, R.N.; Mouchlianitis, E.; Friston, K.J. MEG and EEG data fusion: Simultaneous localisation of face-evoked responses. Neuroimage 2009, 47, 581–589. [Google Scholar] [CrossRef] [PubMed]
- Friston, K.; Harrison, L.; Daunizeau, J.; Kiebel, S.; Phillips, C.; Trujillo-Barreto, N.; Henson, R.; Flandin, G.; Mattout, J. Multiple sparse priors for the M/EEG inverse problem. NeuroImage 2008, 39, 1104–1120. [Google Scholar] [CrossRef] [PubMed]
- Daunizeau, J.; Friston, K.J. A mesostate-space model for EEG and MEG. NeuroImage 2007, 38, 67–81. [Google Scholar] [CrossRef]
- Olier, I.; Trujillo-Barreto, N.J.; El-Deredy, W. A switching multi-scale dynamical network model of EEG/MEG. Neuroimage 2013, 83, 262–287. [Google Scholar] [CrossRef] [PubMed]
- Song, Y.; Nathoo, F.; Babul, A. A Potts-mixture spatiotemporal joint model for combined magnetoencephalography and electroencephalography data. Can. J. Stat. 2019, 47, 688–711. [Google Scholar] [CrossRef]
- Dorigo, M.; Gambardella, L.M. Ant colony system: A cooperative learning approach to the traveling salesman problem. IEEE Trans. Evol. Comput. 1997, 1, 53–66. [Google Scholar] [CrossRef]
- İnkaya, T.; Kayalıgil, S.; Özdemirel, N.E. Ant colony optimization based clustering methodology. Appl. Soft Comput. 2015, 28, 301–311. [Google Scholar] [CrossRef]
- Parpinelli, R.S.; Lopes, H.S.; Freitas, A.A. Data mining with an ant colony optimization algorithm. IEEE Trans. Evol. Comput. 2002, 6, 321–332. [Google Scholar] [CrossRef]
- Sharma, S.; Buddhiraju, K.M. Spatial–spectral ant colony optimization for hyperspectral image classification. Int. J. Remote Sens. 2018, 39, 2702–2717. [Google Scholar] [CrossRef]
- Opoku, E.A.; Ahmed, S.E.; Nelson, T.; Nathoo, F.S. Parameter and Mixture Component Estimation in Spatial Hidden Markov Models: A Comparative Analysis of Computational Methods. In International Conference on Management Science and Engineering Management; Springer: Berlin/Heidelberg, Germany, 2020; pp. 340–355. [Google Scholar]
- Ouadfel, S.; Batouche, M. Ant colony system with local search for Markov random field image segmentation. In Proceedings of the 2003 International Conference on Image Processing (Cat. No. 03CH37429), Barcelona, Spain, 14–17 September 2003; Volume 1, pp. 1–133. [Google Scholar]
- Shweta, K.; Singh, A. An effect and analysis of parameter on ant colony optimization for solving travelling salesman problem. Int. J. Comput. Sci. Mob. Comput 2013, 2, 222–229. [Google Scholar]
- Guan, B.; Zhao, Y.; Li, Y. An Ant Colony Optimization Based on Information Entropy for Constraint Satisfaction Problems. Entropy 2019, 21, 766. [Google Scholar] [CrossRef]
- Lecaignard, F.; Bertrand, O.; Caclin, A.; Mattout, J. Empirical Bayes evaluation of fused EEG-MEG source reconstruction: Application to auditory mismatch evoked responses. NeuroImage 2021, 226, 117468. [Google Scholar] [CrossRef]
- Kuznetsova, A.; Nurislamova, Y.; Ossadtchi, A. Modified covariance beamformer for solving MEG inverse problem in the environment with correlated sources. NeuroImage 2021, 228, 117677. [Google Scholar] [CrossRef]
- Samuelsson, J.G.; Peled, N.; Mamashli, F.; Ahveninen, J.; Hämäläinen, M.S. Spatial fidelity of MEG/EEG source estimates: A general evaluation approach. Neuroimage 2021, 224, 117430. [Google Scholar] [CrossRef]
- Cai, C.; Sekihara, K.; Nagarajan, S.S. Hierarchical multiscale Bayesian algorithm for robust MEG/EEG source reconstruction. NeuroImage 2018, 183, 698–715. [Google Scholar] [CrossRef]
- Hindriks, R. A methodological framework for inverse-modeling of propagating cortical activity using MEG/EEG. NeuroImage 2020, 223, 117345. [Google Scholar] [CrossRef]
- Janati, H.; Bazeille, T.; Thirion, B.; Cuturi, M.; Gramfort, A. Multi-subject MEG/EEG source imaging with sparse multi-task regression. NeuroImage 2020, 220, 116847. [Google Scholar] [CrossRef]
- Grova, C.; Aiguabella, M.; Zelmann, R.; Lina, J.M.; Hall, J.A.; Kobayashi, E. Intracranial EEG potentials estimated from MEG sources: A new approach to correlate MEG and iEEG data in epilepsy. Hum. Brain Mapp. 2016, 37, 1661–1683. [Google Scholar] [CrossRef] [PubMed]
- Pellegrino, G.; Hedrich, T.; Chowdhury, R.; Hall, J.A.; Lina, J.M.; Dubeau, F.; Kobayashi, E.; Grova, C. Source localization of the seizure onset zone from ictal EEG/MEG data. Hum. Brain Mapp. 2016, 37, 2528–2546. [Google Scholar] [CrossRef]
- Pellegrino, G.; Hedrich, T.; Chowdhury, R.A.; Hall, J.A.; Dubeau, F.; Lina, J.M.; Kobayashi, E.; Grova, C. Clinical yield of magnetoencephalography distributed source imaging in epilepsy: A comparison with equivalent current dipole method. Hum. Brain Mapp. 2018, 39, 218–231. [Google Scholar] [CrossRef] [PubMed]
- Pellegrino, G.; Hedrich, T.; Porras-Bettancourt, M.; Lina, J.M.; Aydin, Ü.; Hall, J.; Grova, C.; Kobayashi, E. Accuracy and spatial properties of distributed magnetic source imaging techniques in the investigation of focal epilepsy patients. Hum. Brain Mapp. 2020, 41, 3019–3033. [Google Scholar] [CrossRef] [PubMed]
- Chowdhury, R.A.; Pellegrino, G.; Aydin, Ü.; Lina, J.M.; Dubeau, F.; Kobayashi, E.; Grova, C. Reproducibility of EEG-MEG fusion source analysis of interictal spikes: Relevance in presurgical evaluation of epilepsy. Hum. Brain Mapp. 2018, 39, 880–901. [Google Scholar] [CrossRef]
- Sarvas, J. Basic mathematical and electromagnetic concepts of the biomagnetic inverse problem. Phys. Med. Biol. 1987, 32, 11. [Google Scholar] [CrossRef] [PubMed]
- Reimann, M.; Doerner, K.; Hartl, R.F. D-ants: Savings based ants divide and conquer the vehicle routing problem. Comput. Oper. Res. 2004, 31, 563–591. [Google Scholar] [CrossRef]
- Shmygelska, A.; Hoos, H.H. An ant colony optimisation algorithm for the 2D and 3D hydrophobic polar protein folding problem. BMC Bioinform. 2005, 6, 30. [Google Scholar] [CrossRef]
- Singer, S.; Nelder, J. Nelder-mead algorithm. Scholarpedia 2009, 4, 2928. [Google Scholar] [CrossRef]
- Gutjahr, W.J. A graph-based ant system and its convergence. Future Gener. Comput. Syst. 2000, 16, 873–888. [Google Scholar] [CrossRef]
- Gutjahr, W.J. ACO algorithms with guaranteed convergence to the optimal solution. Inf. Process. Lett. 2002, 82, 145–153. [Google Scholar] [CrossRef]
- Henson, R.; Mattout, J.; Phillips, C.; Friston, K.J. Selecting forward models for MEG source-reconstruction using model-evidence. Neuroimage 2009, 46, 168–176. [Google Scholar] [CrossRef]
- Henson, R.N.; Mattout, J.; Singh, K.D.; Barnes, G.R.; Hillebrand, A.; Friston, K. Population-level inferences for distributed MEG source localization under multiple constraints: Application to face-evoked fields. Neuroimage 2007, 38, 422–438. [Google Scholar] [CrossRef] [PubMed]
- Brett, M.; Penny, W.; Kiebel, S. Introduction to random field theory. Hum. Brain Funct. 2003, 2. [Google Scholar] [CrossRef]
- Vehtari, A.; Gelman, A.; Sivula, T.; Jylänki, P.; Tran, D.; Sahai, S.; Blomstedt, P.; Cunningham, J.P.; Schiminovich, D.; Robert, C.P. Expectation Propagation as a Way of Life: A Framework for Bayesian Inference on Partitioned Data. J. Mach. Learn. Res. 2020, 21, 1–53. [Google Scholar]













| Active Region | Inactive Region | ||||||
|---|---|---|---|---|---|---|---|
| Algorithm | Clusters | TMSE (%) | (Bias) | Variance | TMSE (%) | (Bias) | Variance |
| % | % | % | % | % | % | ||
| K = 2 | |||||||
| ICM→ACS-ICM | 250 | 9.78 | 11.11 | 8.93 | 9.93 | 6.15 | 13.16 |
| ICM→ACS-ICM | 500 | 6.63 | 4.39 | 8.57 | 9.48 | 9.71 | 9.26 |
| ICM→ACS-ICM | 1000 | 2.95 | 2.04 | 4.03 | 3.86 | 1.57 | 5.70 |
| ICM→ACS-ICM | 250 | 5.10 | 7.80 | 2.76 | 4.97 | 4.31 | 5.60 |
| ICM→ACS-ICM | 500 | 24.85 | 25.42 | 24.31 | 15.89 | 18.26 | 13.61 |
| ICM→ACS-ICM | 1000 | 36.57 | 53.61 | 20 | 10.83 | 10 | 11.61 |
| ICM→ACS-ICM | 250 | 12.24 | 11.11 | 12.88 | 8.90 | 14.19 | 4.94 |
| ICM→ACS-ICM | 500 | 17.94 | 14.75 | 20.71 | 2.86 | 3.10 | 2.64 |
| ICM→ACS-ICM | 1000 | 29.28 | 30.30 | 30.65 | 2.76 | 3.62 | 2.06 |
| ICM→ACS-ICM | 250 | 31.14 | 22.77 | 27.65 | 15.44 | 13.07 | 17.58 |
| ICM→ACS-ICM | 500 | 14.83 | 11.40 | 18.20 | 17.0 | 20.39 | 13.71 |
| ICM→ACS-ICM | 1000 | 23.79 | 25.52 | 22.08 | 8.65 | 7.03 | 10.14 |
| Algorithm | ||||||||
| The case where the true signals were well-separated | ||||||||
| ICM | 0.11 | 0.13 | 0.06 | 0.42 | 0.20 | 0.44 | −2.54 | 6.19 |
| ACS-ICM | 0.04 | 0.06 | 0.02 | 0.38 | 0.10 | 0.31 | −2.01 | 4.46 |
| The case where the true signals were less well-separated | ||||||||
| ICM | 0.11 | 0.13 | 0.525 | 0.58 | −1.02 | 1.63 | −4.83 | 16.12 |
| ACS-ICM | 0.05 | 0.07 | 0.35 | 0.41 | −1.00 | 1.31 | −3.68 | 10.47 |
Publisher’s Note: MDPI stays neutral with regard to jurisdictional claims in published maps and institutional affiliations. |
© 2021 by the authors. Licensee MDPI, Basel, Switzerland. This article is an open access article distributed under the terms and conditions of the Creative Commons Attribution (CC BY) license (http://creativecommons.org/licenses/by/4.0/).
Share and Cite
Opoku, E.A.; Ahmed, S.E.; Song, Y.; Nathoo, F.S. Ant Colony System Optimization for Spatiotemporal Modelling of Combined EEG and MEG Data. Entropy 2021, 23, 329. https://doi.org/10.3390/e23030329
Opoku EA, Ahmed SE, Song Y, Nathoo FS. Ant Colony System Optimization for Spatiotemporal Modelling of Combined EEG and MEG Data. Entropy. 2021; 23(3):329. https://doi.org/10.3390/e23030329
Chicago/Turabian StyleOpoku, Eugene A., Syed Ejaz Ahmed, Yin Song, and Farouk S. Nathoo. 2021. "Ant Colony System Optimization for Spatiotemporal Modelling of Combined EEG and MEG Data" Entropy 23, no. 3: 329. https://doi.org/10.3390/e23030329
APA StyleOpoku, E. A., Ahmed, S. E., Song, Y., & Nathoo, F. S. (2021). Ant Colony System Optimization for Spatiotemporal Modelling of Combined EEG and MEG Data. Entropy, 23(3), 329. https://doi.org/10.3390/e23030329
