Information-Theoretic Features of Many Fermion Systems: An Exploration Based on Exactly Solvable Models
Abstract
1. Introduction
2. Lipkin Model
3. Hamiltonian Matrices
4. Listing the Main Information-Theoretic Thermal Quantifiers
Complexity Associated Quantum Quantifiers
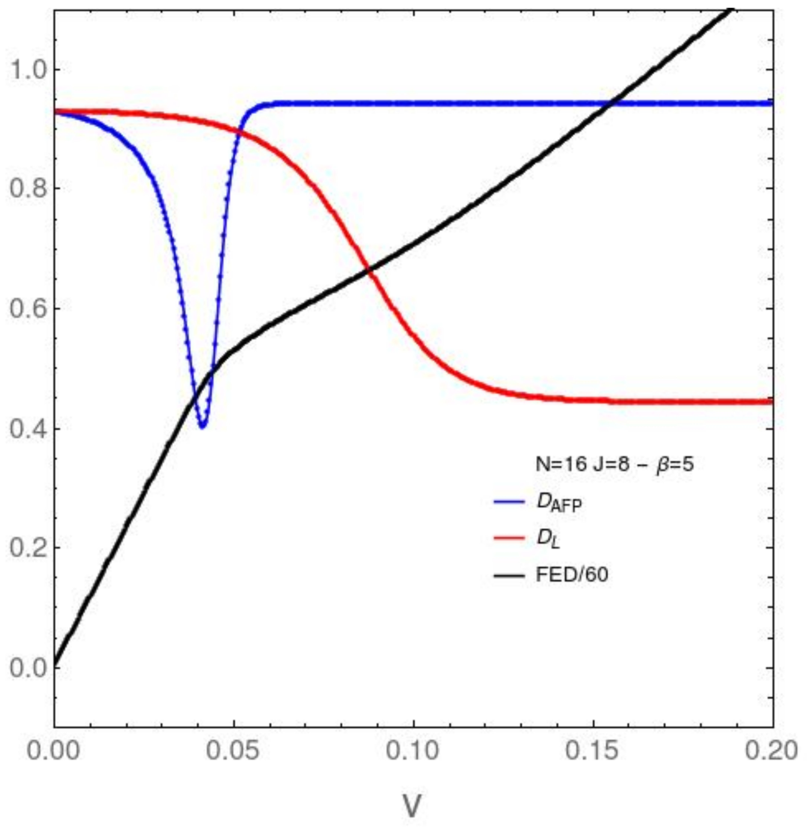
5. First Results
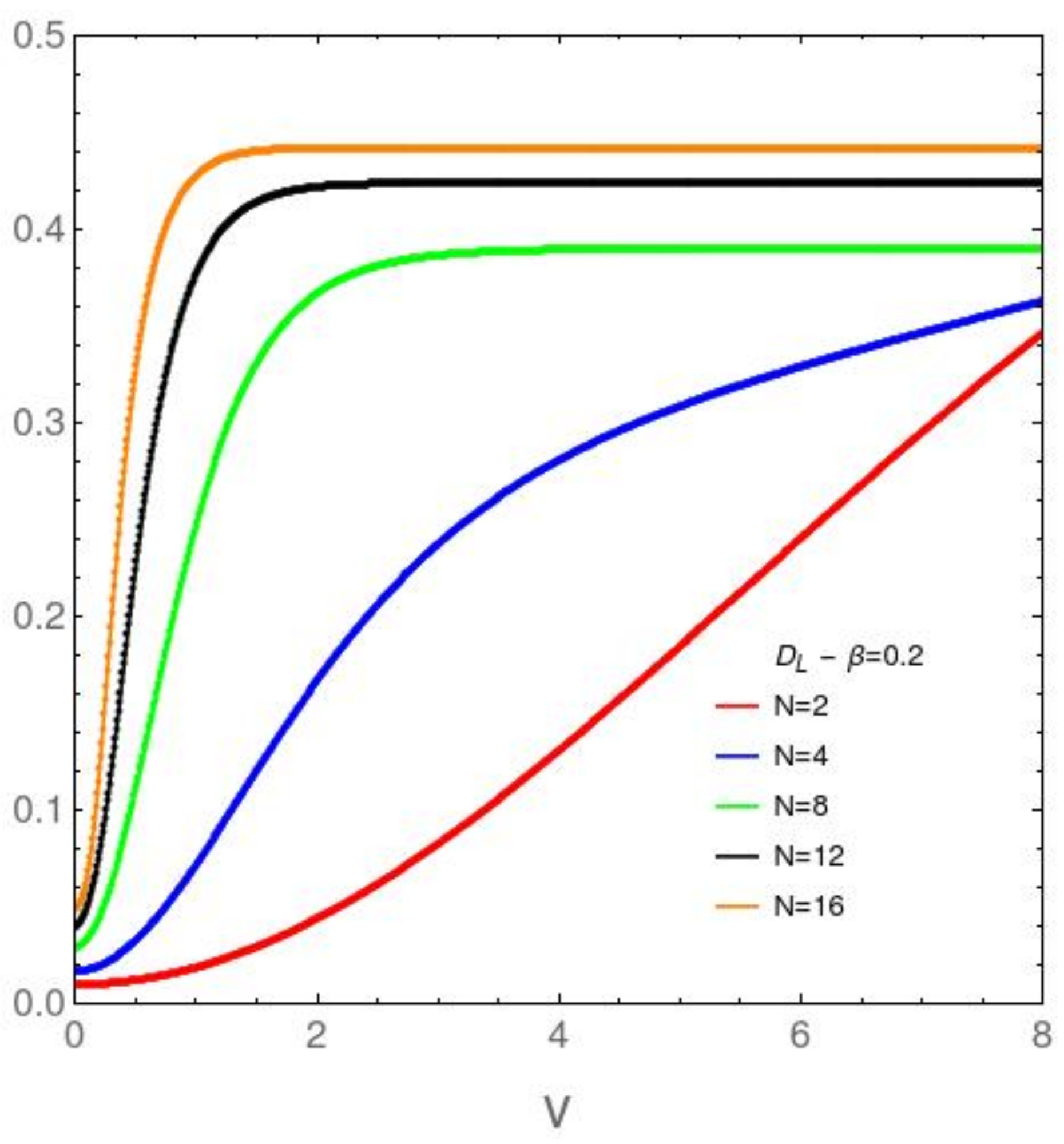
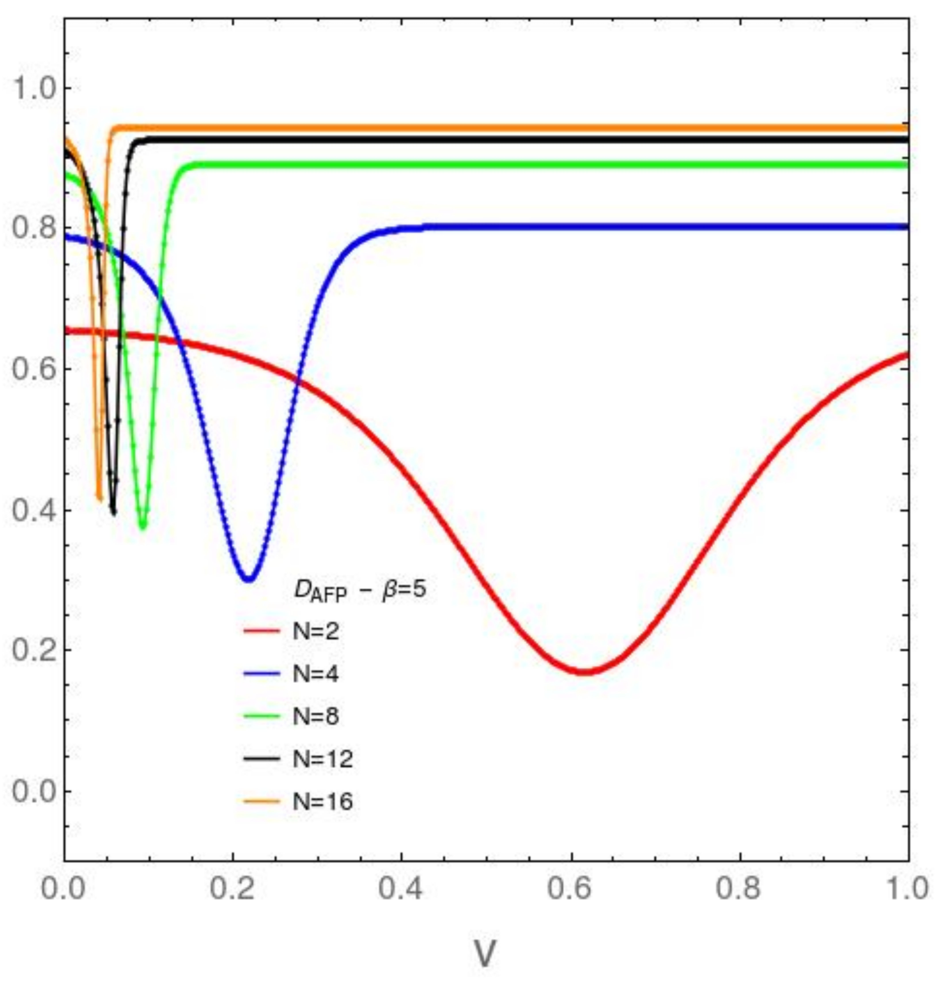
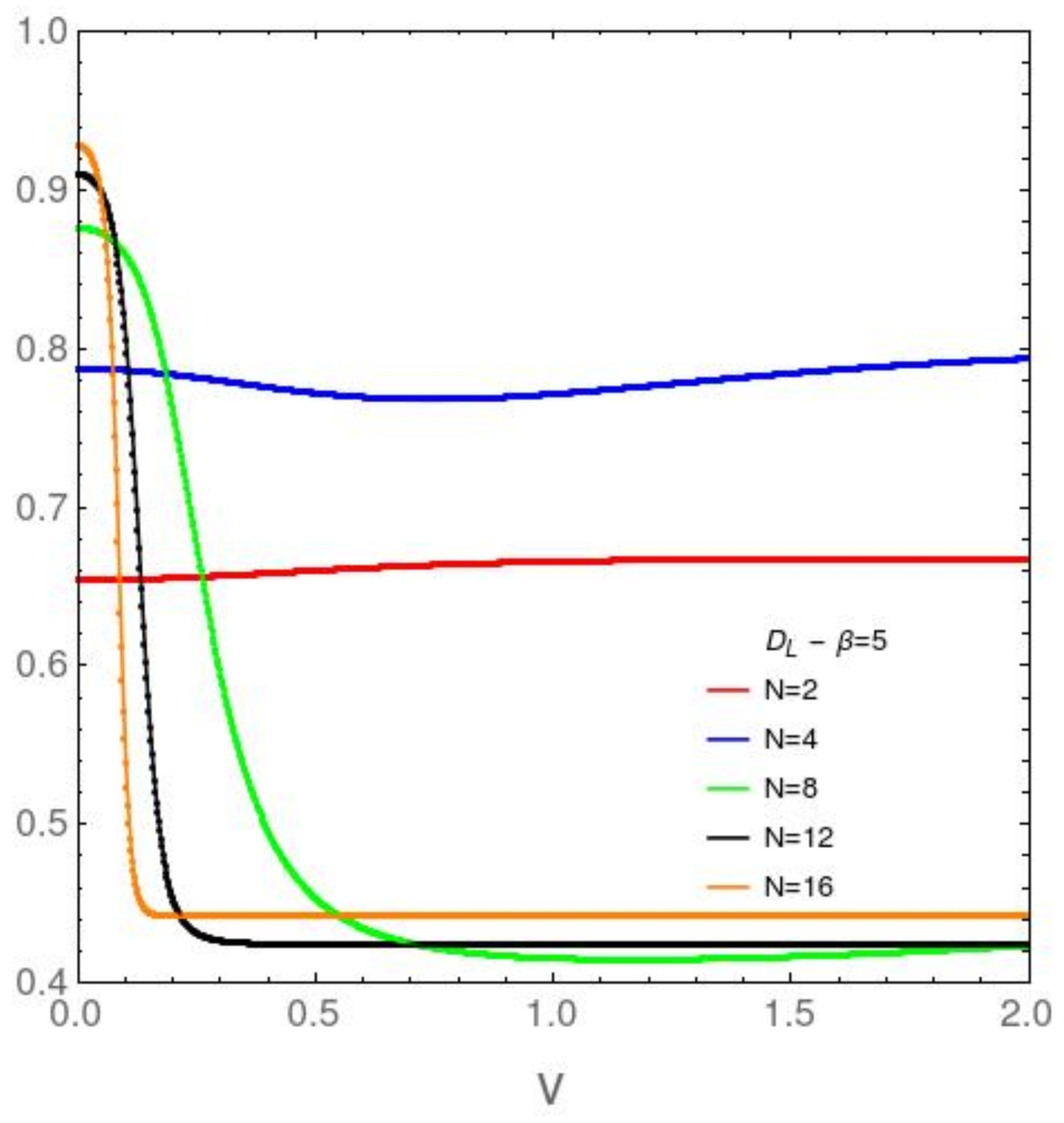
6. Studying the N Dependence of Our Quantifiers
- AFP: order grows with N
- Lipkin: Disorder grows with N.
7. AFP’s and Lipkin’s Associated Probability Distributions (PDs) versus the Coupling Constant for N = 14
8. The Only Pure Quantum Information (at T = 0)
9. Conclusions
Author Contributions
Funding
Institutional Review Board Statement
Informed Consent Statement
Data Availability Statement
Acknowledgments
Conflicts of Interest
References
- Pennini, F.; Plastino, A.; Ferri, G.L.; Arizmendi, M. Statistical odd-even staggering in few fermions systems. Int. J. Mod. Phys. B 2021, 35, 2150092. [Google Scholar] [CrossRef]
- Lopez-Rosa, S.; Martin, A.L.; Antolin, J.; Angulo, J.C. Electron-pair entropic and complexity measures in atomic systems. Int. J. Quantum Chem. 2019, 119, e25861. [Google Scholar] [CrossRef]
- Martin, A.L.; Angulo, J.C.; Antolin, J.; Lopez-Rosa, S. Generalized quantum similarity in atomic systems: A quantifier of relativistic effects. Phys. A 2017, 467, 315. [Google Scholar] [CrossRef]
- Martin, A.L.; Lopez-Rosa, S.; Angulo, J.C.; Antolin, J. Jensen-Shannon and Kullback-Leibler divergences as quantifiers of relativistic effects in neutral atoms. Chem. Phys. Lett. 2015, 635, 75. [Google Scholar] [CrossRef]
- Toranzo, I.V.; Lopez-Rosa, S.; Esquivel, R.O.; Dehesa, J.S. Extremum-entrop y-based Heisenberg-like uncertainty relations. J. Phys. 2015, 49, 025301. [Google Scholar] [CrossRef]
- Toranzo, I.V.; Sanchez-Moreno, P.; Esquivel, R.O.; Dehesa, J.S. Pauli effects in uncertainty relations. Chem. Phys. Lett. 2014, 614, 1. [Google Scholar] [CrossRef][Green Version]
- Sagar, R.P.; Laguna, H.G.; Guevara, N.L. Electron pair density information measures in atomic systems. Int. J. Quantum Chem. 2011, 111, 3497. [Google Scholar] [CrossRef]
- Sagar, R.P.; Laguna, H.G.; Guevara, N.L. Statistical correlation between atomic electron pairs. Chem. Phys. Lett. 2011, 514, 352. [Google Scholar] [CrossRef]
- Esquivel, R.O.; Lopez-Rosa, S.; Molina-Espiritu, M.; Angulo, J.C.; Dehesa, J.S. Information-theoretic space from simple atomic and molecular systems to biological and pharmacological molecules. Theor. Chem. Accounts 2016, 135, 1. [Google Scholar] [CrossRef]
- Lopez-Rosa, S.; Molina-Espiritu, M.; Esquivel, R.O.; Soriano-Correa, C.; Dehesa, J.S. Study of the chemical space of selected bacteriostatic sulfonamides from an information theory point of view. Chem. Phys. Chem. 2016, 17, 4003. [Google Scholar] [CrossRef]
- Esquivel, R.O.; Molina-Espiritu, M.; Lopez-Rosa, S.; Soriano-Correa, C.; Barrientos-Salcedo, C.; Kohout, M.; Dehesa, J.S. Predominant Information Quality Scheme for the Essential Amino Acids: An Information-Theoretical Analysis. Chem. Phys. Chem. 2015, 16, 2571. [Google Scholar] [CrossRef] [PubMed]
- Molina-Espiritu, M.; Esquivel, R.O.; Angulo, J.C.; Dehesa, J.S. Concurrent Phenomena at the Reaction Path of the SN2 Reaction CH3Cl+ F. Information Planes and Statistical Complexity Analysis. Entropy 2013, 15, 4084. [Google Scholar] [CrossRef]
- Otero, D.; Proto, A.; Plastino, A. Surprisal Approach to Cold Fission Processes. Phys. Lett. B 1981, 98, 225. [Google Scholar] [CrossRef]
- Liu, Y. Exact solutions to nonlinear Schrodinger equation with variable coefficients. Appl. Math. Comput. 2011, 217, 5866–5869. [Google Scholar] [CrossRef]
- Hubbard, J. Electron Correlations in Narrow Energy Bands. Proc. R. Soc. Lond. 1963, 276, 237. [Google Scholar]
- Liu, Y.; Chen, G. Optimal parameters design of oilfield surface pipeline systems using fuzzy models. Inf. Sci. 1999, 120, 13–21. [Google Scholar] [CrossRef]
- Satuła, W.; Dobaczewski, J.; Nazarewicz, W. Odd-Even Staggering of Nuclear Masses: Pairing or Shape Effect? Phys. Rev. Lett. 1998, 81, 3599. [Google Scholar] [CrossRef]
- Dugett, T.; Bonche, P.; Heenen, P.H.; Meyer, J. Pairing correlations. II. Microscopic analysis of odd-even mass staggering in nuclei. Phys. Rev. C 2001, 65, 014311. [Google Scholar] [CrossRef]
- Ring, P.; Schuck, P. The Nuclear Many-Body Problem; Springer: Berlin, Germany, 1980. [Google Scholar]
- Uys, H.; Miller, H.G.; Khanna, F.C. Generalized statistics and high-Tc superconductivity. Phys. Lett. A 2001, 289, 264. [Google Scholar] [CrossRef]
- Kruse, M.K.G.; Miller, H.G.; Plastino, A.R.; Plastino, A.; Fujita, S. Landau-Ginzburg method applied to finite fermion systems: Pairing in nuclei. Eur. J. Phys. A 2005, 25, 339. [Google Scholar] [CrossRef]
- de Llano, M.; Tolmachev, V.V. Multiple phases in a new statistical boson fermion model of superconductivity. Phys. A 2003, 317, 546. [Google Scholar] [CrossRef]
- Xu, F.R.; Wyss, R.; Walker, P.M. Mean-field and blocking effects on odd-even mass differences and rotational motion of nuclei. Phys. Rev. C 1999, 60, 051301. [Google Scholar] [CrossRef]
- Häkkinen, H.; Kolehmainen, J.M.; Koskinen, M.; Lipas, P.O.; Manninen, M. Universal Shapes of Small Fermion Clusters. Phys. Rev. Lett. 1997, 78, 1034. [Google Scholar] [CrossRef]
- Lipkin, H.J.; Meshkov, N.; Glick, A.J. Validity of many-body approximation methods for a solvable model: (I). Exact solutions and perturbation theory. Nucl. Phys. 1965, 62, 188. [Google Scholar] [CrossRef]
- Co, G.; De Leo, S. Analytical and numerical analysis of the complete Lipkin–Meshkov–Glick Hamiltonian. Int. J. Mod. Phys. E 2018, 27, 5. [Google Scholar]
- Reif, F. Fundamentals of Statistical Theoretic and Thermal Physics; McGraw Hill: New York, NY, USA, 1965. [Google Scholar]
- Arrachea, L.; Canosa, N.; Plastino, A.; Portesi, M.; Rossignol, R. Maximum Entropy Approach to Critical Phenomena in Finite Quantum Systems. Phys. Rev. A 1992, 45, 44. [Google Scholar] [CrossRef]
- Abecasis, S.M.; Faessler, A.; Plastino, A. Application of the Multi Configuration Hartree-Fock Theory to a Simple Model. Z. Phys. 1969, 218, 394. [Google Scholar] [CrossRef]
- Ruiz, R.L.; Mancini, H.L.; Calbet, X. A statistical measure of complexity. Phys. Lett. A 1995, 209, 321. [Google Scholar] [CrossRef]
- López-Ruiz, R. A information-theoretic Measure of Complexity. In Concepts and Recent Advances in Generalized Information Measures and Statistics; Kowalski, A., Rossignoli, R., Curado, E.M.C., Eds.; Bentham Science Books: New York, NY, USA, 2013; pp. 147–168. [Google Scholar]
- Sen, K.D. (Ed.) Information-Theoretic Complexity, Applications in Electronic Structure; Springer: Berlin, Germany, 2011. [Google Scholar]
- Martin, M.T.; Plastino, A.; Rosso, O.A. Generalized information-theoretic complexity measures: Geometrical and analytical properties. Phys. A 2006, 369, 439. [Google Scholar] [CrossRef]
- Dehesa, J.S.; López-Rosa, S.; Manzano, D. Configuration complexities of hydrogenic atoms. Eur. Phys. J. D 2009, 55, 539. [Google Scholar] [CrossRef]
- Esquivel, R.O.; Molina-Espiritu, M.; Angulo, J.C.; Antoín, J.; Flores-Gallegos, N.; Dehesa, J.S. Information-theoretical complexity for the hydrogenic abstraction reaction. Mol. Phys. 2011, 109, 2353. [Google Scholar] [CrossRef]
- Pennini, F.; Plastino, A. Disequilibrium, thermodynamic relations, and Renyi’s entropy. Phys. Lett. A 2017, 381, 212. [Google Scholar] [CrossRef]
- Martin, M.T.; Plastino, A.; Rosso, O.A. Informatios-theoretic complexity and disequilibrium. Phys. Lett. A 2003, 311, 126. [Google Scholar] [CrossRef]
- Pennini, F.; Plastino, A.; Yañez, J.; Ferri, G.L. Free energies divergences as statistical quantifiers. Phys. A 2020, 564, 125505. [Google Scholar] [CrossRef]
- Flego, S.P.; Frieden, B.R.; Plastino, A.; Plastino, A.R.; Soffer, B.H. Nonequilibrium thermodynamics and Fisher information: Sound wave propagation in a dilute gas. Phys. Rev. E 2003, 68, 016105. [Google Scholar] [CrossRef] [PubMed]










Publisher’s Note: MDPI stays neutral with regard to jurisdictional claims in published maps and institutional affiliations. |
© 2021 by the authors. Licensee MDPI, Basel, Switzerland. This article is an open access article distributed under the terms and conditions of the Creative Commons Attribution (CC BY) license (https://creativecommons.org/licenses/by/4.0/).
Share and Cite
Plastino, A.R.; Monteoliva, D.; Plastino, A. Information-Theoretic Features of Many Fermion Systems: An Exploration Based on Exactly Solvable Models. Entropy 2021, 23, 1488. https://doi.org/10.3390/e23111488
Plastino AR, Monteoliva D, Plastino A. Information-Theoretic Features of Many Fermion Systems: An Exploration Based on Exactly Solvable Models. Entropy. 2021; 23(11):1488. https://doi.org/10.3390/e23111488
Chicago/Turabian StylePlastino, Angel Ricardo, Diana Monteoliva, and Angelo Plastino. 2021. "Information-Theoretic Features of Many Fermion Systems: An Exploration Based on Exactly Solvable Models" Entropy 23, no. 11: 1488. https://doi.org/10.3390/e23111488
APA StylePlastino, A. R., Monteoliva, D., & Plastino, A. (2021). Information-Theoretic Features of Many Fermion Systems: An Exploration Based on Exactly Solvable Models. Entropy, 23(11), 1488. https://doi.org/10.3390/e23111488

