Multifractality in Quasienergy Space of Coherent States as a Signature of Quantum Chaos
Abstract
:1. Introduction
2. Kicked-Top Model
2.1. Classical Kicked Top
2.2. Quantum Chaos of the Kicked-Top Model
2.3. Coherent States
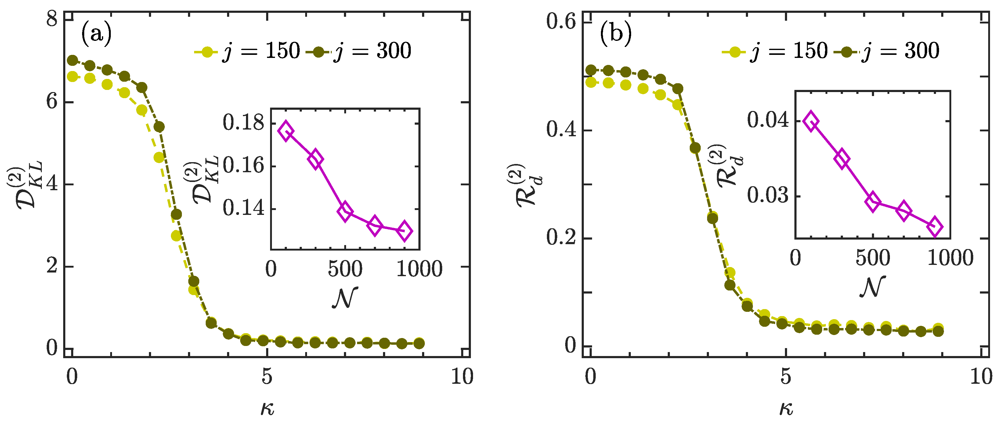
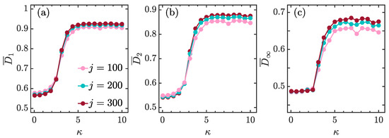
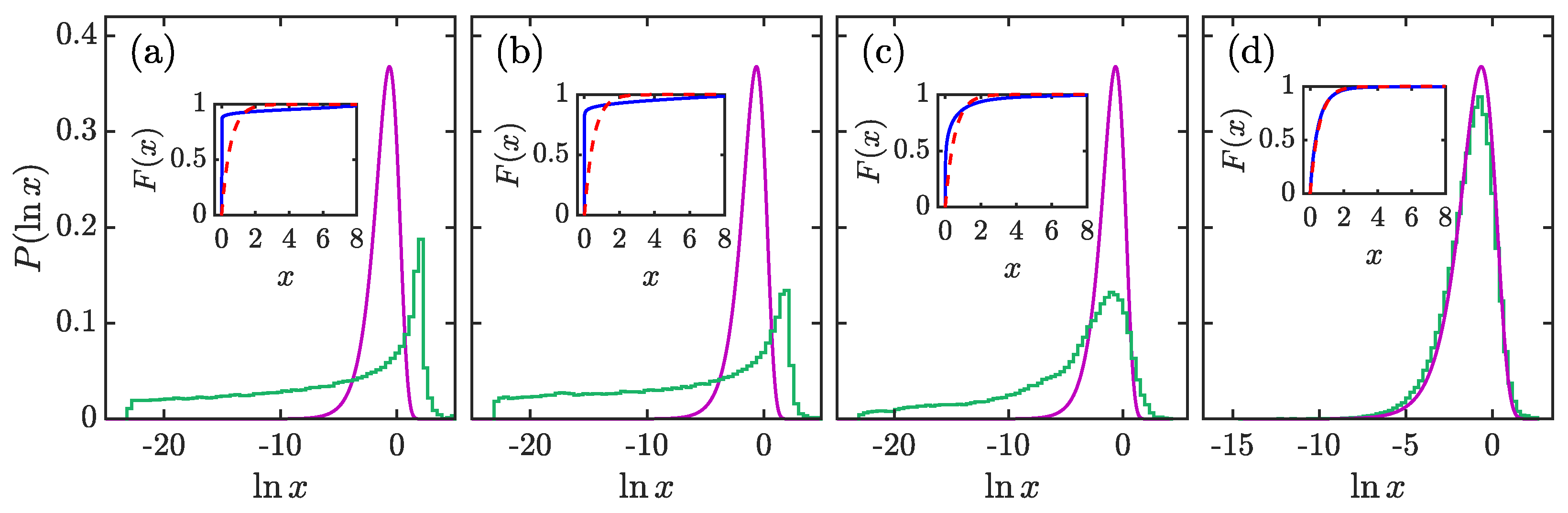
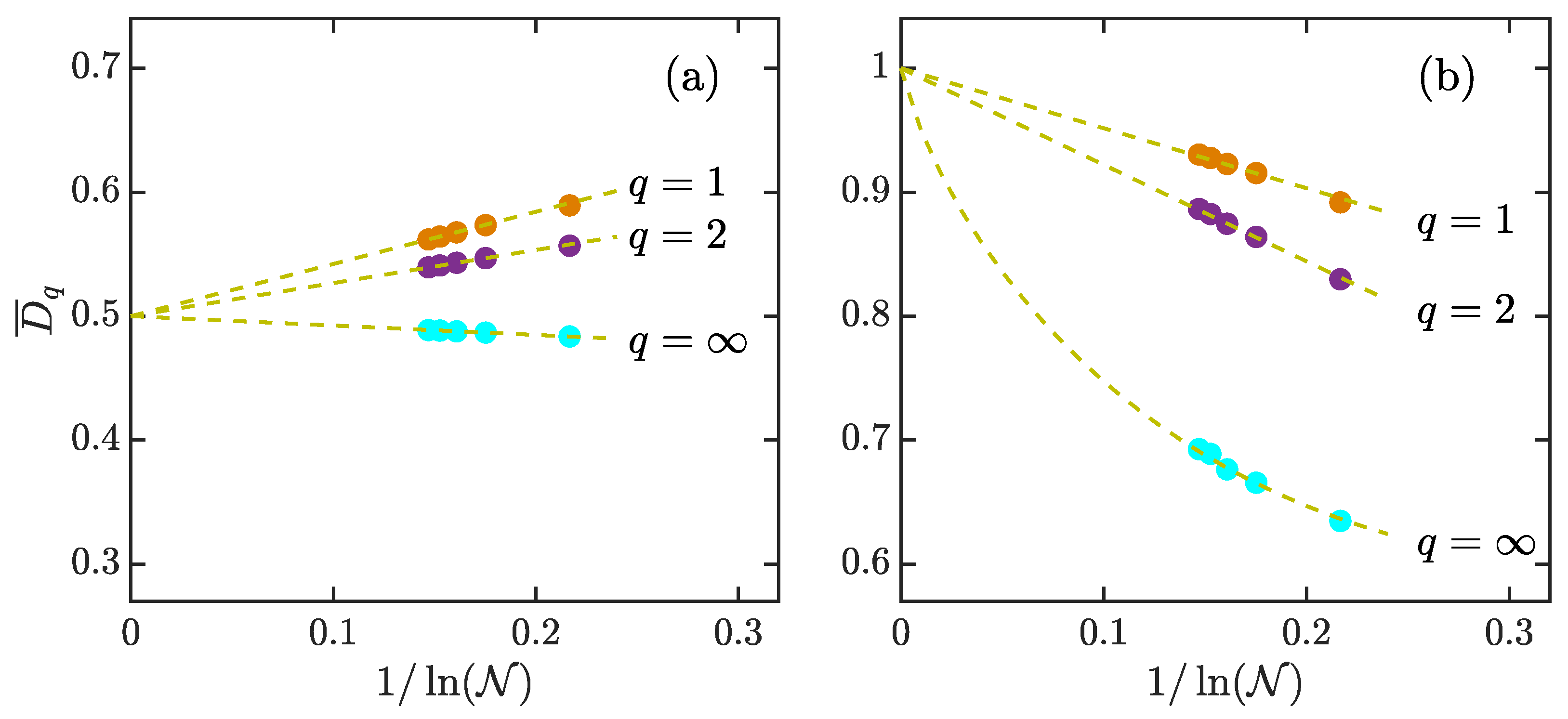
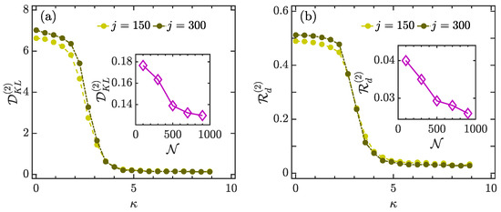
3. Multifractality of Coherent States
4. Conclusions
Author Contributions
Funding
Institutional Review Board Statement
Informed Consent Statement
Data Availability Statement
Conflicts of Interest
References
- Altland, A.; Haake, F. Quantum Chaos and Effective Thermalization. Phys. Rev. Lett. 2012, 108, 073601. [Google Scholar] [CrossRef] [Green Version]
- Nandkishore, R.; Huse, D.A. Many-Body Localization and Thermalization in Quantum Statistical Mechanics. Annu. Rev. Condens. Matter Phys. 2015, 6, 15–38. [Google Scholar] [CrossRef] [Green Version]
- D’Alessio, L.; Kafri, Y.; Polkovnikov, A.; Rigol, M. From quantum chaos and eigenstate thermalization to statistical mechanics and thermodynamics. Adv. Phys. 2016, 65, 239–362. [Google Scholar] [CrossRef] [Green Version]
- Borgonovi, F.; Izrailev, F.; Santos, L.; Zelevinsky, V. Quantum chaos and thermalization in isolated systems of interacting particles. Phys. Rep. 2016, 626, 1–58. [Google Scholar] [CrossRef] [Green Version]
- Deutsch, J.M. Eigenstate thermalization hypothesis. Rep. Prog. Phys. 2018, 81, 082001. [Google Scholar] [CrossRef] [Green Version]
- Vidmar, L.; Rigol, M. Entanglement Entropy of Eigenstates of Quantum Chaotic Hamiltonians. Phys. Rev. Lett. 2017, 119, 220603. [Google Scholar] [CrossRef] [Green Version]
- Alicki, R.; Makowiec, D.; Miklaszewski, W. Quantum Chaos in Terms of Entropy for a Periodically Kicked Top. Phys. Rev. Lett. 1996, 77, 838–841. [Google Scholar] [CrossRef] [PubMed]
- Wang, X.; Ghose, S.; Sanders, B.C.; Hu, B. Entanglement as a signature of quantum chaos. Phys. Rev. E 2004, 70, 016217. [Google Scholar] [CrossRef] [PubMed] [Green Version]
- Ghose, S.; Stock, R.; Jessen, P.; Lal, R.; Silberfarb, A. Chaos, entanglement, and decoherence in the quantum kicked top. Phys. Rev. A 2008, 78, 042318. [Google Scholar] [CrossRef] [Green Version]
- Piga, A.; Lewenstein, M.; Quach, J.Q. Quantum chaos and entanglement in ergodic and nonergodic systems. Phys. Rev. E 2019, 99, 032213. [Google Scholar] [CrossRef] [PubMed] [Green Version]
- Lerose, A.; Pappalardi, S. Bridging entanglement dynamics and chaos in semiclassical systems. Phys. Rev. A 2020, 102, 032404. [Google Scholar] [CrossRef]
- Lantagne-Hurtubise, E.; Plugge, S.; Can, O.; Franz, M. Diagnosing quantum chaos in many-body systems using entanglement as a resource. Phys. Rev. Res. 2020, 2, 013254. [Google Scholar] [CrossRef] [Green Version]
- Anand, N.; Styliaris, G.; Kumari, M.; Zanardi, P. Quantum coherence as a signature of chaos. Phys. Rev. Res. 2021, 3, 023214. [Google Scholar] [CrossRef]
- Maldacena, J.; Shenker, S.H.; Stanford, D. A bound on chaos. J. High Energy Phys. 2016, 2016, 106. [Google Scholar] [CrossRef] [Green Version]
- Magán, J.M. Black holes, complexity and quantum chaos. J. High Energy Phys. 2018, 2018, 43. [Google Scholar] [CrossRef] [Green Version]
- Jahnke, V. Recent Developments in the Holographic Description of Quantum Chaos. Adv. High Energy Phys. 2019, 2019, 9632708. [Google Scholar] [CrossRef] [Green Version]
- Stanford, D. Many-body chaos at weak coupling. J. High Energy Phys. 2016, 2016, 9. [Google Scholar] [CrossRef]
- Chan, A.; De Luca, A.; Chalker, J.T. Solution of a Minimal Model for Many-Body Quantum Chaos. Phys. Rev. X 2018, 8, 041019. [Google Scholar] [CrossRef] [Green Version]
- Kos, P.; Ljubotina, M.; Prosen, T. Many-Body Quantum Chaos: Analytic Connection to Random Matrix Theory. Phys. Rev. X 2018, 8, 021062. [Google Scholar] [CrossRef] [Green Version]
- Bertini, B.; Kos, P.; Prosen, T. Exact Spectral Form Factor in a Minimal Model of Many-Body Quantum Chaos. Phys. Rev. Lett. 2018, 121, 264101. [Google Scholar] [CrossRef] [Green Version]
- Friedman, A.J.; Chan, A.; De Luca, A.; Chalker, J.T. Spectral Statistics and Many-Body Quantum Chaos with Conserved Charge. Phys. Rev. Lett. 2019, 123, 210603. [Google Scholar] [CrossRef] [Green Version]
- Kobrin, B.; Yang, Z.; Kahanamoku-Meyer, G.D.; Olund, C.T.; Moore, J.E.; Stanford, D.; Yao, N.Y. Many-Body Chaos in the Sachdev-Ye-Kitaev Model. Phys. Rev. Lett. 2021, 126, 030602. [Google Scholar] [CrossRef]
- Bertini, B.; Kos, P.; Prosen, T. Entanglement Spreading in a Minimal Model of Maximal Many-Body Quantum Chaos. Phys. Rev. X 2019, 9, 021033. [Google Scholar] [CrossRef] [Green Version]
- Cvitanovic, P.; Artuso, R.; Mainieri, R.; Tanner, G.; Vattay, G.; Whelan, N.; Wirzba, A. Chaos: Classical and Quantum; ChaosBook. org; Niels Bohr Institute: Copenhagen, Denmark, 2005; Volume 69, p. 25. [Google Scholar]
- Lichtenberg, A.J.; Lieberman, M.A. Regular and Chaotic Dynamics; Springer Science & Business Media: Berlin/Heidelberg, Germany, 2013; Volume 38. [Google Scholar]
- Arnol’d, V.I. Mathematical Methods of Classical Mechanics; Springer Science & Business Media: Berlin/Heidelberg, Germany, 2013; Volume 60. [Google Scholar]
- Berry, M.V.; Tabor, M. Level clustering in the regular spectrum. Proc. R. Soc. A 1977, 356, 375–394. [Google Scholar] [CrossRef]
- Bohigas, O.; Giannoni, M.J.; Schmit, C. Characterization of Chaotic Quantum Spectra and Universality of Level Fluctuation Laws. Phys. Rev. Lett. 1984, 52, 1–4. [Google Scholar] [CrossRef]
- Stöckmann, H.J. Quantum Chaos: An Introduction; American Association of Physics Teachers: College Park, MD, USA, 2000. [Google Scholar]
- Brody, T.A.; Flores, J.; French, J.B.; Mello, P.A.; Pandey, A.; Wong, S.S.M. Random-matrix physics: Spectrum and strength fluctuations. Rev. Mod. Phys. 1981, 53, 385–479. [Google Scholar] [CrossRef]
- Haake, F. Quantum Signatures of Chaos; Springer: Berlin/Heidelberg, Germany, 2010. [Google Scholar]
- Izrailev, F.M. Simple models of quantum chaos: Spectrum and eigenfunctions. Phys. Rep. 1990, 196, 299–392. [Google Scholar] [CrossRef]
- Oganesyan, V.; Huse, D.A. Localization of interacting fermions at high temperature. Phys. Rev. B 2007, 75, 155111. [Google Scholar] [CrossRef] [Green Version]
- Atas, Y.Y.; Bogomolny, E.; Giraud, O.; Roux, G. Distribution of the Ratio of Consecutive Level Spacings in Random Matrix Ensembles. Phys. Rev. Lett. 2013, 110, 084101. [Google Scholar] [CrossRef] [PubMed] [Green Version]
- Mehta, M.L. Random Matrices; Elsevier: Amsterdam, The Netherlands, 2004. [Google Scholar]
- Berry, M.V. Regular and irregular semiclassical wavefunctions. J. Phys. A 1977, 10, 2083–2091. [Google Scholar] [CrossRef] [Green Version]
- Porter, C.E.; Thomas, R.G. Fluctuations of Nuclear Reaction Widths. Phys. Rev. 1956, 104, 483–491. [Google Scholar] [CrossRef]
- Kus, M.; Mostowski, J.; Haake, F. Universality of eigenvector statistics of kicked tops of different symmetries. J. Phys. A 1988, 21, L1073–L1077. [Google Scholar] [CrossRef]
- Alhassid, Y.; Levine, R.D. Transition-Strength Fluctuations and the Onset of Chaotic Motion. Phys. Rev. Lett. 1986, 57, 2879–2882. [Google Scholar] [CrossRef]
- Alhassid, Y.; Feingold, M. Statistical fluctuations of matrix elements in regular and chaotic systems. Phys. Rev. A 1989, 39, 374–377. [Google Scholar] [CrossRef] [PubMed]
- Haake, F.; Życzkowski, K. Random-matrix theory and eigenmodes of dynamical systems. Phys. Rev. A 1990, 42, 1013–1016. [Google Scholar] [CrossRef] [PubMed]
- Zyczkowski, K. Indicators of quantum chaos based on eigenvector statistics. J. Phys. A 1990, 23, 4427. [Google Scholar] [CrossRef]
- Leboeuf, P.; Voros, A. Chaos-revealing multiplicative representation of quantum eigenstates. J. Phys. A 1990, 23, 1765–1774. [Google Scholar] [CrossRef] [Green Version]
- Batistić, B.; Robnik, M. Quantum localization of chaotic eigenstates and the level spacing distribution. Phys. Rev. E 2013, 88, 052913. [Google Scholar] [CrossRef] [PubMed] [Green Version]
- Bastarrachea-Magnani, M.A.; López-del Carpio, B.; Chávez-Carlos, J.; Lerma-Hernández, S.; Hirsch, J.G. Delocalization and quantum chaos in atom-field systems. Phys. Rev. E 2016, 93, 022215. [Google Scholar] [CrossRef] [PubMed] [Green Version]
- Bastarrachea-Magnani, M.A.; del Carpio, B.L.; Chávez-Carlos, J.; Lerma-Hernández, S.; Hirsch, J.G. Regularity and chaos in cavity QED. Phys. Scr. 2017, 92, 054003. [Google Scholar] [CrossRef] [Green Version]
- Mondal, D.; Sinha, S.; Sinha, S. Chaos and quantum scars in a coupled top model. Phys. Rev. E 2020, 102, 020101. [Google Scholar] [CrossRef] [PubMed]
- Wang, Q.; Robnik, M. Statistical properties of the localization measure of chaotic eigenstates in the Dicke model. Phys. Rev. E 2020, 102, 032212. [Google Scholar] [CrossRef] [PubMed]
- Villaseñor, D.; Pilatowsky-Cameo, S.; Bastarrachea-Magnani, M.A.; Lerma-Hernández, S.; Hirsch, J.G. Quantum localization measures in phase space. Phys. Rev. E 2021, 103, 052214. [Google Scholar] [CrossRef] [PubMed]
- Sreenivasan, K.R. Fractals and Multifractals in Fluid Turbulence. Annu. Rev. Fluid Mech. 1991, 23, 539–604. [Google Scholar] [CrossRef]
- Stanley, H.E.; Meakin, P. Multifractal phenomena in physics and chemistry. Nature 1988, 335, 405–409. [Google Scholar] [CrossRef]
- Jiang, Z.Q.; Xie, W.J.; Zhou, W.X.; Sornette, D. Multifractal analysis of financial markets: A review. Rep. Prog. Phys. 2019, 82, 125901. [Google Scholar] [CrossRef] [Green Version]
- Mirlin, A.D.; Evers, F. Multifractality and critical fluctuations at the Anderson transition. Phys. Rev. B 2000, 62, 7920–7933. [Google Scholar] [CrossRef] [Green Version]
- Tarzia, M. Many-body localization transition in Hilbert space. Phys. Rev. B 2020, 102, 014208. [Google Scholar] [CrossRef]
- Evers, F.; Mirlin, A.D. Anderson transitions. Rev. Mod. Phys. 2008, 80, 1355–1417. [Google Scholar] [CrossRef] [Green Version]
- Rodriguez, A.; Vasquez, L.J.; Slevin, K.; Römer, R.A. Multifractal finite-size scaling and universality at the Anderson transition. Phys. Rev. B 2011, 84, 134209. [Google Scholar] [CrossRef] [Green Version]
- Macé, N.; Alet, F.; Laflorencie, N. Multifractal Scalings Across the Many-Body Localization Transition. Phys. Rev. Lett. 2019, 123, 180601. [Google Scholar] [CrossRef] [Green Version]
- Solórzano, A.; Santos, L.F.; Torres-Herrera, E.J. Multifractality and self-averaging at the many-body localization transition. arXiv 2021, arXiv:2102.02824. [Google Scholar]
- Atas, Y.Y.; Bogomolny, E. Multifractality of eigenfunctions in spin chains. Phys. Rev. E 2012, 86, 021104. [Google Scholar] [CrossRef] [Green Version]
- Luitz, D.J.; Alet, F.; Laflorencie, N. Universal Behavior beyond Multifractality in Quantum Many-Body Systems. Phys. Rev. Lett. 2014, 112, 057203. [Google Scholar] [CrossRef] [PubMed] [Green Version]
- Lindinger, J.; Buchleitner, A.; Rodríguez, A. Many-Body Multifractality throughout Bosonic Superfluid and Mott Insulator Phases. Phys. Rev. Lett. 2019, 122, 106603. [Google Scholar] [CrossRef] [PubMed] [Green Version]
- Atas, Y.Y.; Bogomolny, E. Calculation of multi-fractal dimensions in spin chains. Philos. Trans. R. Soc. A 2014, 372, 20120520. [Google Scholar] [CrossRef] [Green Version]
- Martin, J.; García-Mata, I.; Giraud, O.; Georgeot, B. Multifractal wave functions of simple quantum maps. Phys. Rev. E 2010, 82, 046206. [Google Scholar] [CrossRef] [Green Version]
- Bogomolny, E.; Giraud, O. Eigenfunction Entropy and Spectral Compressibility for Critical Random Matrix Ensembles. Phys. Rev. Lett. 2011, 106, 044101. [Google Scholar] [CrossRef] [Green Version]
- García-Mata, I.; Martin, J.; Giraud, O.; Georgeot, B. Multifractality of quantum wave packets. Phys. Rev. E 2012, 86, 056215. [Google Scholar] [CrossRef] [PubMed] [Green Version]
- De Tomasi, G.; Khaymovich, I.M. Multifractality Meets Entanglement: Relation for Nonergodic Extended States. Phys. Rev. Lett. 2020, 124, 200602. [Google Scholar] [CrossRef] [PubMed]
- Bilen, A.M.; Georgeot, B.; Giraud, O.; Lemarié, G.; García-Mata, I. Symmetry violation of quantum multifractality: Gaussian fluctuations versus algebraic localization. Phys. Rev. Res. 2021, 3, L022023. [Google Scholar] [CrossRef]
- Bäcker, A.; Haque, M.; Khaymovich, I.M. Multifractal dimensions for random matrices, chaotic quantum maps, and many-body systems. Phys. Rev. E 2019, 100, 032117. [Google Scholar] [CrossRef] [Green Version]
- Pausch, L.; Carnio, E.G.; Rodríguez, A.; Buchleitner, A. Chaos and Ergodicity across the Energy Spectrum of Interacting Bosons. Phys. Rev. Lett. 2021, 126, 150601. [Google Scholar] [CrossRef] [PubMed]
- Bilen, A.M.; García-Mata, I.; Georgeot, B.; Giraud, O. Multifractality of open quantum systems. Phys. Rev. E 2019, 100, 032223. [Google Scholar] [CrossRef] [Green Version]
- Haake, F.; Kuś, M.; Scharf, R. Classical and quantum chaos for a kicked top. Z. Phys. B 1987, 65, 381–395. [Google Scholar] [CrossRef]
- Fox, R.F.; Elston, T.C. Chaos and a quantum-classical correspondence in the kicked top. Phys. Rev. E 1994, 50, 2553–2563. [Google Scholar] [CrossRef] [Green Version]
- Trail, C.M.; Madhok, V.; Deutsch, I.H. Entanglement and the generation of random states in the quantum chaotic dynamics of kicked coupled tops. Phys. Rev. E 2008, 78, 046211. [Google Scholar] [CrossRef] [Green Version]
- Lombardi, M.; Matzkin, A. Entanglement and chaos in the kicked top. Phys. Rev. E 2011, 83, 016207. [Google Scholar] [CrossRef] [Green Version]
- Sieberer, L.M.; Olsacher, T.; Elben, A.; Heyl, M.; Hauke, P.; Haake, F.; Zoller, P. Digital quantum simulation, Trotter errors, and quantum chaos of the kicked top. NPJ Quantum Inf. 2019, 5, 78. [Google Scholar] [CrossRef]
- Dogra, S.; Madhok, V.; Lakshminarayan, A. Quantum signatures of chaos, thermalization, and tunneling in the exactly solvable few-body kicked top. Phys. Rev. E 2019, 99, 062217. [Google Scholar] [CrossRef] [PubMed] [Green Version]
- Muñoz Arias, M.H.; Poggi, P.M.; Jessen, P.S.; Deutsch, I.H. Simulating Nonlinear Dynamics of Collective Spins via Quantum Measurement and Feedback. Phys. Rev. Lett. 2020, 124, 110503. [Google Scholar] [CrossRef] [Green Version]
- Muñoz Arias, M.H.; Poggi, P.M.; Deutsch, I.H. Nonlinear dynamics and quantum chaos of a family of kicked p-spin models. Phys. Rev. E 2021, 103, 052212. [Google Scholar] [CrossRef]
- Chaudhury, S.; Smith, A.; Anderson, B.E.; Ghose, S.; Jessen, P.S. Quantum signatures of chaos in a kicked top. Nature 2009, 461, 768–771. [Google Scholar] [CrossRef]
- Neill, C.; Roushan, P.; Fang, M.; Chen, Y.; Kolodrubetz, M.; Chen, Z.; Megrant, A.; Barends, R.; Campbell, B.; Chiaro, B.; et al. Ergodic dynamics and thermalization in an isolated quantum system. Nat. Phys. 2016, 12, 1037–1041. [Google Scholar] [CrossRef]
- Tomkovič, J.; Muessel, W.; Strobel, H.; Löck, S.; Schlagheck, P.; Ketzmerick, R.; Oberthaler, M.K. Experimental observation of the Poincaré-Birkhoff scenario in a driven many-body quantum system. Phys. Rev. A 2017, 95, 011602. [Google Scholar] [CrossRef] [Green Version]
- Meier, E.J.; Ang’ong’a, J.; An, F.A.; Gadway, B. Exploring quantum signatures of chaos on a Floquet synthetic lattice. Phys. Rev. A 2019, 100, 013623. [Google Scholar] [CrossRef] [Green Version]
- Wang, X.; Ma, J.; Song, L.; Zhang, X.; Wang, X. Spin squeezing, negative correlations, and concurrence in the quantum kicked top model. Phys. Rev. E 2010, 82, 056205. [Google Scholar] [CrossRef] [PubMed] [Green Version]
- Caiani, L.; Casetti, L.; Clementi, C.; Pettini, M. Geometry of Dynamics, Lyapunov Exponents, and Phase Transitions. Phys. Rev. Lett. 1997, 79, 4361–4364. [Google Scholar] [CrossRef] [Green Version]
- Vallejos, R.O.; Anteneodo, C. Theoretical estimates for the largest Lyapunov exponent of many-particle systems. Phys. Rev. E 2002, 66, 021110. [Google Scholar] [CrossRef] [PubMed] [Green Version]
- Parker, T.S.; Chua, L. Practical Numerical Algorithms for Chaotic Systems; Springer Science & Business Media: Berlin/Heidelberg, Germany, 2012. [Google Scholar]
- Oseledets, V.I. A multiplicative ergodic theorem. Characteristic Lyapunov, exponents of dynamical systems. Trans. Moscow Math. Soc. 1968, 19, 179–210. [Google Scholar]
- Constantoudis, V.; Theodorakopoulos, N. Lyapunov exponent, stretching numbers, and islands of stability of the kicked top. Phys. Rev. E 1997, 56, 5189–5194. [Google Scholar] [CrossRef]
- Bhosale, U.T.; Santhanam, M.S. Periodicity of quantum correlations in the quantum kicked top. Phys. Rev. E 2018, 98, 052228. [Google Scholar] [CrossRef] [Green Version]
- D’Ariano, G.M.; Evangelista, L.R.; Saraceno, M. Classical and quantum structures in the kicked-top model. Phys. Rev. A 1992, 45, 3646–3658. [Google Scholar] [CrossRef] [PubMed]
- Kolmogorov, A.N. A New Metric Invariant of Transient Dynamical Systems and Automorphisms in Lebesgue Spaces. Dokl. Akad. Nauk SSSR 1958, 119, 861–864. [Google Scholar]
- Kolmogorov, A.N. Entropy per Unit Time as a Metric Invariant of Automorphisms. Dokl. Akad. Nauk SSSR 1959, 124, 754–755. [Google Scholar]
- Pesin, Y.B. Characteristic Lyapunov exponents and smooth ergodic theory. Russ. Mat. Surv. 1977, 32, 55–112. [Google Scholar] [CrossRef]
- Furuya, K.; Nemes, M.C.; Pellegrino, G.Q. Quantum Dynamical Manifestation of Chaotic Behavior in the Process of Entanglement. Phys. Rev. Lett. 1998, 80, 5524–5527. [Google Scholar] [CrossRef] [Green Version]
- Lakshminarayan, A. Entangling power of quantized chaotic systems. Phys. Rev. E 2001, 64, 036207. [Google Scholar] [CrossRef] [Green Version]
- Seshadri, A.; Madhok, V.; Lakshminarayan, A. Tripartite mutual information, entanglement, and scrambling in permutation symmetric systems with an application to quantum chaos. Phys. Rev. E 2018, 98, 052205. [Google Scholar] [CrossRef] [Green Version]
- Gietka, K.; Chwedeńczuk, J.; Wasak, T.; Piazza, F. Multipartite entanglement dynamics in a regular-to-ergodic transition: Quantum Fisher information approach. Phys. Rev. B 2019, 99, 064303. [Google Scholar] [CrossRef] [Green Version]
- Emerson, J.; Weinstein, Y.S.; Lloyd, S.; Cory, D.G. Fidelity Decay as an Efficient Indicator of Quantum Chaos. Phys. Rev. Lett. 2002, 89, 284102. [Google Scholar] [CrossRef] [Green Version]
- Torres-Herrera, E.J.; Santos, L.F. Dynamical manifestations of quantum chaos: Correlation hole and bulge. Philos. Trans. R. Soc. A 2017, 375, 20160434. [Google Scholar] [CrossRef] [PubMed]
- Rozenbaum, E.B.; Ganeshan, S.; Galitski, V. Lyapunov Exponent and Out-of-Time-Ordered Correlator’s Growth Rate in a Chaotic System. Phys. Rev. Lett. 2017, 118, 086801. [Google Scholar] [CrossRef]
- García-Mata, I.; Saraceno, M.; Jalabert, R.A.; Roncaglia, A.J.; Wisniacki, D.A. Chaos Signatures in the Short and Long Time Behavior of the Out-of-Time Ordered Correlator. Phys. Rev. Lett. 2018, 121, 210601. [Google Scholar] [CrossRef] [Green Version]
- Chávez-Carlos, J.; López-del Carpio, B.; Bastarrachea-Magnani, M.A.; Stránský, P.; Lerma-Hernández, S.; Santos, L.F.; Hirsch, J.G. Quantum and Classical Lyapunov Exponents in Atom-Field Interaction Systems. Phys. Rev. Lett. 2019, 122, 024101. [Google Scholar] [CrossRef] [Green Version]
- Fortes, E.M.; García-Mata, I.; Jalabert, R.A.; Wisniacki, D.A. Gauging classical and quantum integrability through out-of-time-ordered correlators. Phys. Rev. E 2019, 100, 042201. [Google Scholar] [CrossRef] [PubMed] [Green Version]
- Wigner, E.P. On the Distribution of the Roots of Certain Symmetric Matrices. Ann. Math. 1958, 67, 325–327. [Google Scholar] [CrossRef] [Green Version]
- Heusler, S.; Müller, S.; Altland, A.; Braun, P.; Haake, F. Periodic-Orbit Theory of Level Correlations. Phys. Rev. Lett. 2007, 98, 044103. [Google Scholar] [CrossRef] [PubMed] [Green Version]
- Nagao, T.; Müller, S. Then-level spectral correlations for chaotic systems. J. Phys. A 2009, 42, 375102. [Google Scholar] [CrossRef]
- Müller, S.; Novaes, M. Semiclassical calculation of spectral correlation functions of chaotic systems. Phys. Rev. E 2018, 98, 052207. [Google Scholar] [CrossRef] [Green Version]
- Müller, S.; Novaes, M. Full perturbative calculation of spectral correlation functions for chaotic systems in the unitary symmetry class. Phys. Rev. E 2018, 98, 052208. [Google Scholar] [CrossRef] [Green Version]
- Zeldovich, Y.B. The quasienergy of quantum-mechanical system subjected to a periodic action. Z. Eksper. Teor. Fiz. 1966, 51, 1492. [Google Scholar]
- Prosen, T.; Robnik, M. Semiclassical energy level statistics in the transition region between integrability and chaos: Transition from Brody-like to Berry-Robnik behaviour. J. Phys. A 1994, 27, 8059–8077. [Google Scholar] [CrossRef]
- Berry, M.V.; Robnik, M. Semiclassical level spacings when regular and chaotic orbits coexist. J. Phys. A 1984, 17, 2413–2421. [Google Scholar] [CrossRef]
- Klauder, J.R.; Skagerstam, B.S. Coherent States: Applications in Physics and Mathematical Physics; World Scientific: Singapore, 1985. [Google Scholar]
- Zhang, W.M.; Feng, D.H.; Gilmore, R. Coherent states: Theory and some applications. Rev. Mod. Phys. 1990, 62, 867–927. [Google Scholar] [CrossRef]
- Gazeau, J.P. Coherent States in Quantum Optics; Wiley-VCH: Berlin, Germany, 2009. [Google Scholar]
- Robert, D.; Combescure, M. Coherent States and Applications in Mathematical Physics; Springer: Berlin/Heidelberg, Germany, 2012. [Google Scholar]
- Antoine, J.P.; Bagarello, F.; Gazeau, J.P. Coherent States and Their Applications; Springer: Berlin/Heidelberg, Germany, 2018. [Google Scholar]
- Radcliffe, J.M. Some properties of coherent spin states. J. Phys. A 1971, 4, 313–323. [Google Scholar] [CrossRef]
- Kuś, M.; Zakrzewski, J.; Życzkowski, K. Quantum scars on a sphere. Phys. Rev. A 1991, 43, 4244–4248. [Google Scholar] [CrossRef]
- Stéphan, J.M.; Misguich, G.; Pasquier, V. Phase transition in the Rényi-Shannon entropy of Luttinger liquids. Phys. Rev. B 2011, 84, 195128. [Google Scholar] [CrossRef] [Green Version]
- Visscher, W. Localization of electron wave functions in disordered systems. J. Non-Cryst. Solids 1972, 8–10, 477–484. [Google Scholar] [CrossRef]
- Fyodorov, Y.V.; Giraud, O. High values of disorder-generated multifractals and logarithmically correlated processes. Chaos Solitons Fractals 2015, 74, 15–26, Extreme Events and its Applications. [Google Scholar] [CrossRef] [Green Version]
- Brickmann, J.; Engel, Y.; Levine, R. The distribution of intensities in a vibrational spectrum: A model computational study of the transition to classical chaos. Chem. Phys. Lett. 1987, 137, 441–447. [Google Scholar] [CrossRef]
- Kullback, S.; Leibler, R.A. On Information and Sufficiency. Ann. Math. Stat. 1951, 22, 79–86. [Google Scholar] [CrossRef]
- Beugeling, W.; Bäcker, A.; Moessner, R.; Haque, M. Statistical properties of eigenstate amplitudes in complex quantum systems. Phys. Rev. E 2018, 98, 022204. [Google Scholar] [CrossRef] [PubMed] [Green Version]
- Schervish, M.J.; DeGroot, M. Probability and Statistics; Pearson Education: London, UK, 2014. [Google Scholar]
- Wang, Q.; Pérez-Bernal, F. Characterizing the Lipkin-Meshkov-Glick model excited-state quantum phase transition using dynamical and statistical properties of the diagonal entropy. Phys. Rev. E 2021, 103, 032109. [Google Scholar] [CrossRef] [PubMed]
- Flack, A.; Bertini, B.; Prosen, T. Statistics of the spectral form factor in the self-dual kicked Ising model. Phys. Rev. Res. 2020, 2, 043403. [Google Scholar] [CrossRef]
- Braun, P.; Waltner, D.; Akila, M.; Gutkin, B.; Guhr, T. Transition from quantum chaos to localization in spin chains. Phys. Rev. E 2020, 101, 052201. [Google Scholar] [CrossRef]
- Khramtsov, M.; Lanina, E. Spectral form factor in the double-scaled SYK model. J. High Energy Phys. 2021, 2021, 31. [Google Scholar] [CrossRef]
- Lewis-Swan, R.J.; Safavi-Naini, A.; Bollinger, J.J.; Rey, A.M. Unifying scrambling, thermalization and entanglement through measurement of fidelity out-of-time-order correlators in the Dicke model. Nat. Commun. 2019, 10, 1581. [Google Scholar] [CrossRef] [Green Version]
- Rozenbaum, E.B.; Ganeshan, S.; Galitski, V. Universal level statistics of the out-of-time-ordered operator. Phys. Rev. B 2019, 100, 035112. [Google Scholar] [CrossRef] [Green Version]
- Lee, J.; Kim, D.; Kim, D.H. Typical growth behavior of the out-of-time-ordered commutator in many-body localized systems. Phys. Rev. B 2019, 99, 184202. [Google Scholar] [CrossRef] [Green Version]
- Bergamasco, P.D.; Carlo, G.G.; Rivas, A.M.F. Out-of-time ordered correlators, complexity, and entropy in bipartite systems. Phys. Rev. Res. 2019, 1, 033044. [Google Scholar] [CrossRef] [Green Version]
- Harrow, A.W.; Kong, L.; Liu, Z.W.; Mehraban, S.; Shor, P.W. Separation of Out-Of-Time-Ordered Correlation and Entanglement. PRX Quantum 2021, 2, 020339. [Google Scholar] [CrossRef]
- Leviandier, L.; Lombardi, M.; Jost, R.; Pique, J.P. Fourier Transform: A Tool to Measure Statistical Level Properties in Very Complex Spectra. Phys. Rev. Lett. 1986, 56, 2449–2452. [Google Scholar] [CrossRef] [Green Version]
- Chalker, J.T.; Kravtsov, V.E.; Lerner, I.V. Spectral rigidity and eigenfunction correlations at the Anderson transition. J. Exp. Theor. Phys. Lett. 1996, 64, 386–392. [Google Scholar] [CrossRef] [Green Version]
- Rammensee, J.; Urbina, J.D.; Richter, K. Many-Body Quantum Interference and the Saturation of Out-of-Time-Order Correlators. Phys. Rev. Lett. 2018, 121, 124101. [Google Scholar] [CrossRef] [Green Version]
- Prakash, R.; Lakshminarayan, A. Scrambling in strongly chaotic weakly coupled bipartite systems: Universality beyond the Ehrenfest timescale. Phys. Rev. B 2020, 101, 121108. [Google Scholar] [CrossRef] [Green Version]
- Hosur, P.; Qi, X.L.; Roberts, D.A.; Yoshida, B. Chaos in quantum channels. J. High Energy Phys. 2016, 2016, 4. [Google Scholar] [CrossRef] [Green Version]
- Fan, R.; Zhang, P.; Shen, H.; Zhai, H. Out-of-time-order correlation for many-body localization. Sci. Bull. 2017, 62, 707–711. [Google Scholar] [CrossRef] [Green Version]
- Faez, S.; Strybulevych, A.; Page, J.H.; Lagendijk, A.; van Tiggelen, B.A. Observation of Multifractality in Anderson Localization of Ultrasound. Phys. Rev. Lett. 2009, 103, 155703. [Google Scholar] [CrossRef] [Green Version]
- Lemarié, G.; Lignier, H.; Delande, D.; Szriftgiser, P.; Garreau, J.C. Critical State of the Anderson Transition: Between a Metal and an Insulator. Phys. Rev. Lett. 2010, 105, 090601. [Google Scholar] [CrossRef] [PubMed] [Green Version]
- Richardella, A.; Roushan, P.; Mack, S.; Zhou, B.; Huse, D.A.; Awschalom, D.D.; Yazdani, A. Visualizing Critical Correlations Near the Metal-Insulator Transition in Ga1-xMnxAs. Science 2010, 327, 665–669. [Google Scholar] [CrossRef] [PubMed] [Green Version]
- Sagi, Y.; Brook, M.; Almog, I.; Davidson, N. Observation of Anomalous Diffusion and Fractional Self-Similarity in One Dimension. Phys. Rev. Lett. 2012, 108, 093002. [Google Scholar] [CrossRef] [PubMed]








Publisher’s Note: MDPI stays neutral with regard to jurisdictional claims in published maps and institutional affiliations. |
© 2021 by the authors. Licensee MDPI, Basel, Switzerland. This article is an open access article distributed under the terms and conditions of the Creative Commons Attribution (CC BY) license (https://creativecommons.org/licenses/by/4.0/).
Share and Cite
Wang, Q.; Robnik, M. Multifractality in Quasienergy Space of Coherent States as a Signature of Quantum Chaos. Entropy 2021, 23, 1347. https://doi.org/10.3390/e23101347
Wang Q, Robnik M. Multifractality in Quasienergy Space of Coherent States as a Signature of Quantum Chaos. Entropy. 2021; 23(10):1347. https://doi.org/10.3390/e23101347
Chicago/Turabian StyleWang, Qian, and Marko Robnik. 2021. "Multifractality in Quasienergy Space of Coherent States as a Signature of Quantum Chaos" Entropy 23, no. 10: 1347. https://doi.org/10.3390/e23101347
APA StyleWang, Q., & Robnik, M. (2021). Multifractality in Quasienergy Space of Coherent States as a Signature of Quantum Chaos. Entropy, 23(10), 1347. https://doi.org/10.3390/e23101347
