Entropic Uncertainty in Spin XY Model with Long-Range Interactions
Abstract
1. Introduction
2. The Suggested Model
3. Entropic Uncertainty and Correlation Measures
- The entropic uncertaintyThis quantity may be described by the following scenario:We consider two users Alice and Bob who play a game, where the second player, Bob, prepares a qubit in a quantum state of his choice and sends it to the first player, Alice, who performs one of two measurements and announces her choice to Bob. Based on the received measurement, Bob can minimize his uncertainty. The uncertainty relation is expressed in terms of the standard deviation for two observables M and N [2,61]. Instead of standard deviation, Deutsch [62] quantified uncertainty in terms of Shannon entropy and derived the entropic uncertainty relation for any pair of observables [63]. Later Maassen and Ufnk [64] improved Deutsch’s job and gave the following tighter entropic uncertainty relations:where denotes the Shannon entropy of the probability distribution of the outcomes when M is measured, and likewise for . quantifies the complementarity of M and N, where for nondegenerate observables, with and being the eigenvectors of M and N. Very recently, a quantum memory assisted entropic uncertainty relation has been proposed [12,13] and experimentally demonstrated [8,9], which readswhere is the conditional von Neumann entropy. After, the qubit A is measured by M, where the post-measurement state is
- Tightness
- EntanglementEntanglement plays a central role in quantum computation and quantum information. There are several measures to quantify the amount of entanglement contained in a quantum system. In this treatment, we consider the concurrence [65] as the accepted and common measure of the two-qubit system. However, for any state , the concurrence is definedwhere the quantities are the square roots of the four eigenvalues of the matrix , is the density matrix and .
- MixednessFor a density matrix , the state is a pure state if , and if for a mixed one. Thus the mixedness can be defined as [66]:where d is the dimension of state .
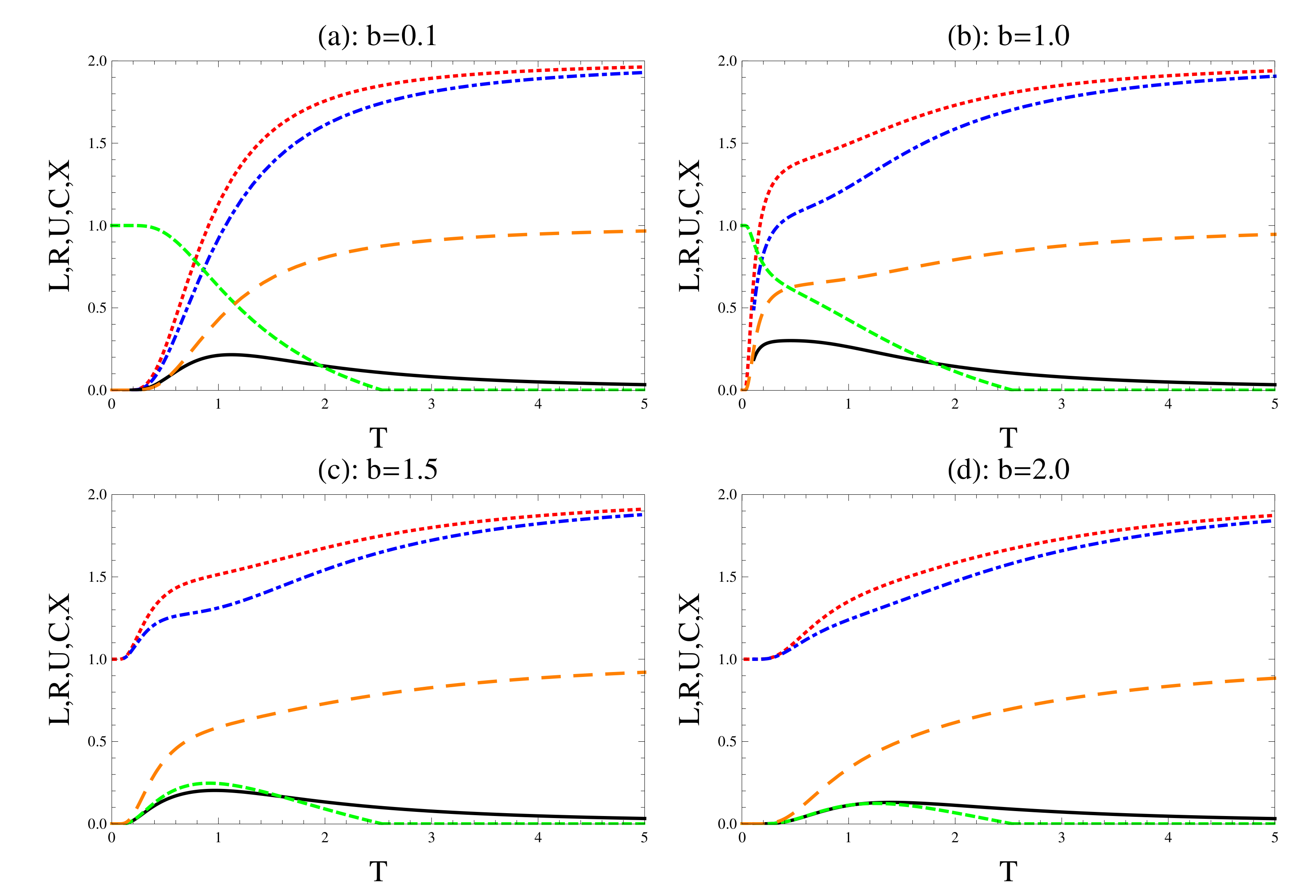
4. Numerical Discussion
4.1. The Inverse-Square Type
4.2. Trigonometric Coupling
5. Conclusions
Funding
Conflicts of Interest
References
- Heisenberg, W. The Actual Content of Quantum Theoretical Kinematics and Mechanics. Z. Phys. 1927, 43, 172. [Google Scholar] [CrossRef]
- Robertson, H.P. The uncertainty principle. Phys. Rev. 1929, 34, 163. [Google Scholar] [CrossRef]
- Kraus, K. Complementary observables and uncertainty relations. Phys. Rev. D 1987, 35, 3070. [Google Scholar] [CrossRef] [PubMed]
- Giovanetti, V.; Lloyd, S.; Maccone, L. Quantum-enhanced measurements: Beating the standard quantum limit. Science 2004, 306, 1330. [Google Scholar] [CrossRef]
- Metwally, N. Quantum dense coding and dynamics of information over Bloch channels. J. Phys. A Math. Theor. 2011, 44, 055305. [Google Scholar] [CrossRef]
- Metwally, N. Teleportation of accelerated information. J. Opt. Soc. Am. B 2013, 30, 233. [Google Scholar] [CrossRef]
- Metwally, N. Abrupt decay of entanglement and quantum communication through noise channels. Quantum Inf. Process 2010, 9, 429. [Google Scholar] [CrossRef]
- Prevedel, R.; Hamel, D.R.; Colbeck, R.; Fisher, K.; Resch, K.J. Experimental investigation of the uncertainty principle in the presence of quantum memory and its application to witnessing entanglement. Nat. Phys. 2011, 7, 757. [Google Scholar] [CrossRef]
- Li, C.F.; Xu, J.S.; Xu, X.Y.; Li, K.; Guo, G.C. Experimental investigation of the entanglement-assisted entropic uncertainty principle. Nat. Phys. 2011, 7, 752. [Google Scholar] [CrossRef]
- Xu, Z.Y.; Yang, W.L.; Feng, M. Quantum-memory-assisted entropic uncertainty relation under noise. Phys. Rev. A 2012, 86, 012113. [Google Scholar] [CrossRef]
- Coles, P.J. Collapse of the quantum correlation hierarchy links entropic uncertainty to entanglement creation. Phys. Rev. A 2012, 86, 062334. [Google Scholar] [CrossRef]
- Berta, M.; Christandl, M.; Colbeck, R.; Renes, J.M.; Renner, R. The uncertainty principle in the presence of quantum memory. Nat. Phys. 2010, 6, 659. [Google Scholar]
- Renes, J.M.; Boileau, J.C. Conjectured strong complementary information tradeoff. Phys. Rev. Lett. 2009, 103, 020402. [Google Scholar] [CrossRef] [PubMed]
- Cerf, N.J.; Bourennane, M.; Karlsson, A.; Gisin, N. Security of Quantum Key Distribution Using -Level Systems. Phys. Rev. Lett. 2002, 88, 127902. [Google Scholar] [CrossRef] [PubMed]
- Grosshans, F.; Cerf, N.J. Continuous-variable quantum cryptography is secure against non-Gaussian attacks. Phys. Rev. Lett. 2004, 92, 047905. [Google Scholar] [CrossRef]
- Hu, M.L.; Fan, H. Competition between quantum correlations in the quantum-memory-assisted entropic uncertainty relation. Phys. Rev. A 2013, 87, 022314. [Google Scholar] [CrossRef]
- Hiesmayr, B.C.; Huber, M. Multipartite entangle-. ment measure for all discrete systems. Phys. Rev. A 2008, 2008 78, 012342. [Google Scholar] [CrossRef]
- Qiang, W.-C.; Sun, G.-H.; Dong, Q.; Dong, S.-H. Genuine multipartite concurrence for entanglement of Dirac fields in noninertial frames. Phys. Rev. A 2018, 98, 022320. [Google Scholar] [CrossRef]
- Qiang, W.C.; Sun, G.H.; Dong, Q.; Camacho-Nieto, O.; Dong, S.H. Concurrence of three Jaynes–Cummings systems. Quantum Inf. Process. 2018, 17, 90. [Google Scholar] [CrossRef]
- Dong, Q.; Torres-Arenas, A.J.; Sun, G.H.; Qiang, W.C.; Dong, S.H. Entanglement measures of a new type pseudo-pure state in accelerated frames. Front. Phys. 2019, 14, 21603. [Google Scholar] [CrossRef]
- Vallone, G.; Marangon, D.G.; Tomasin, M.; Villoresi, P. Quantum randomness certified by the uncertainty principle. Phys. Rev. A 2014, 90, 052327. [Google Scholar] [CrossRef]
- Tomamichel, M.; Renner, R. Uncertainty relation for smooth entropies. Phys. Rev. Lett. 2011, 106, 110506. [Google Scholar] [CrossRef] [PubMed]
- Tomamichel, M.; Lim, C.C.W.; Gisin, N.; Renner, R. Tight finite-key analysis for quantum cryptography. Nat. Commun. 2012, 3, 634. [Google Scholar] [CrossRef] [PubMed]
- Hu, M.L.; Fan, H. Quantum-memory-assisted entropic uncertainty principle, teleportation, and entanglement witness in structured reservoirs. Phys. Rev. A 2012, 86, 032338. [Google Scholar] [CrossRef]
- Zou, H.M.; Fang, M.F.; Yang, B.Y.; Guo, Y.N.; He, W.; Zhang, S.Y. The quantum entropic uncertainty relation and entanglement witness in the two-atom system coupling with the non-Markovian environments. Phys. Scr. 2014, 89, 115101. [Google Scholar] [CrossRef]
- Shi, J.; Ding, Z.; Wu, J.; Yu, L.; Sun, W.; Wang, D.; Ye, L. Entanglement witness via quantum-memory-assisted entropic uncertainty relation. Laser Phys. Lett. 2017, 14, 125208. [Google Scholar] [CrossRef]
- Bakry, H.; Mohamed, A.S.A.; Zidan, N. Properties of Two Two-level Atoms Interacting with Intensity-Dependent Coupling. Int. J. Theor. Phys. 2018, 57, 539. [Google Scholar] [CrossRef]
- Dirkse, B.; Pompili, M.; Hanson, R.; Walter, M.; Wehner, S. Witnessing entanglement in experiments with correlated noise. Quantum Sci. Technol. 2020, 5, 035007. [Google Scholar] [CrossRef]
- Bakry, H.; Zidan, N. Control-based verification of multiatoms in a cavity. Pramana J. Phys. 2020, 94, 96. [Google Scholar]
- Jarzyna, M.; Demkowicz-Dobrzanski, R. True precision limits in quantum metrology. New J. Phys. 2015, 17, 013010. [Google Scholar] [CrossRef]
- Metwally, N. Estimation of teleported and gained parameters in a non-inertial frame. Laser Phys. Lett. 2017, 14, 045202. [Google Scholar] [CrossRef]
- Metwally, N. Fisher information of accelerated two-qubit systems. Int. J. Mod. Phys. B 2018, 32, 1850050. [Google Scholar] [CrossRef]
- Mal, S.; Pramanik, T.; Majumdar, A.S. Detecting mixedness of qutrit systems using the uncertainty relation. Phys. Rev. A 2013, 87, 012105. [Google Scholar] [CrossRef]
- Zheng, X.; Zhang, G.F. The effects of mixedness and entanglement on the properties of the entropic uncertainty in Heisenberg model with Dzyaloshinski–Moriya interaction. Quantum Inf. Process. 2017, 16, 1. [Google Scholar] [CrossRef]
- Ming, F.; Wang, D.; Shi, W.N.; Huang, A.S.; Sun, W.Y.; Ye, L. Entropic uncertainty relations in the Heisenberg XXZ model and its controlling via filtering operations. Quantum Inf. Process. 2018, 17, 89. [Google Scholar] [CrossRef]
- Huang, Z. Quantum-memory-assisted entropic uncertainty in spin models with Dzyaloshinskii–Moriya interaction. Laser Phys. Lett. 2018, 15, 025203. [Google Scholar] [CrossRef]
- Li, J.Q.; Bai, L.; Liang, J.Q. Entropic uncertainty relation under multiple bosonic reservoirs with filtering operator. Quantum Inf. Process. 2018, 17, 206. [Google Scholar] [CrossRef]
- Wang, D.; Ming, F.; Huang, A.J.; Sun, W.Y.; Ye, L. Entropic uncertainty for spin-1/2 XXX chains in the presence of inhomogeneous magnetic fields and its steering via weak measurement reversals. Laser Phys. Lett. 2017, 14, 095204. [Google Scholar] [CrossRef]
- Huang, A.S.; Wang, D.; Wang, J.M.; Shi, J.D.; Sun, W.Y.; Ye, L. Exploring entropic uncertainty relation in the Heisenberg XX model with inhomogeneous magnetic field. Quantum Inf. Process. 2017, 16, 204. [Google Scholar] [CrossRef]
- Wang, D.; Huang, A.; Ming, F.; Sun, W.; Lu, H.; Liu, C.; Ye, L. Quantum-memory-assisted entropic uncertainty relation in a Heisenberg XYZ chain with an inhomogeneous magnetic field. Laser Phys. Lett. 2017, 14, 065203. [Google Scholar] [CrossRef]
- Haddadi, S.; Pourkarimi, M.R.; Akhound, A.; Ghominejad, M. Quantum correlations and quantum-memory-assisted entropic uncertainty relation in two kinds of spin squeezing models. Laser Phys. Lett. 2018, 16, 095202. [Google Scholar] [CrossRef]
- Gaudiano, M.; Osenda, O.; Raggio, G.A. Two-spin-subsystem entanglement in spin-1/2 rings with long-range interactions. Phys. Rev. A 2008, 77, 022109. [Google Scholar] [CrossRef]
- Li, B.; Wang, Y.S. Quantum correlations in a long range interaction spin chain. Physica B 2011, 407, 77. [Google Scholar] [CrossRef]
- Calogero, F. Solution of a Three-Body Problem in One Dimension. J. Math. Phys. N. Y. 1969, 10, 2191. [Google Scholar] [CrossRef]
- Sutherland, B. Exact results for a quantum many-body problem in one dimension. Phys. Rev. A 1971, 4, 2019. [Google Scholar] [CrossRef]
- Moser, J. Three integrable Hamiltonian systems connected with isospectral deformations. Adv. Math. 1975, 16, 197–220. [Google Scholar] [CrossRef]
- Wojciechowski, S. An integrable marriage of the Euler equations with the Calogero-Moser system. Phys. Lett. A 1985, 111, 107. [Google Scholar] [CrossRef]
- Shastry, B.S. Exact solution of an S=1/2 Heisenberg antiferromagnetic chain with long-ranged interactions. Phys. Rev. Lett. 1988, 60, 639. [Google Scholar] [CrossRef]
- Kawakami, N. Asymptotic Bethe-ansatz solution of multicomponent quantum systems with long-range interaction. Phys. Rev. B 1992, 46, 1005. [Google Scholar] [CrossRef]
- Haldane, F.D.M. Exact Jastrow-Gutzwiller resonating-valence-bond ground state of the spin- antiferromagnetic Heisenberg chain with 1/(r2) exchange. Phys. Rev. Lett. 1988, 60, 635. [Google Scholar] [CrossRef]
- Ma, X.S.; Qiao, Y.; Zhao, G.X.; Wang, A.M. Quantum discord of thermal states of a spin chain with Calogero-Moser type interaction. Sci. China Phys. Mech. Astron. 2013, 56, 600. [Google Scholar] [CrossRef]
- Han, S.D.; Tüfekçi, T.; Spiller, T.P.; Aydiner, E. Entanglement in (1/2, 1) mixed-spin XY model with long-range interaction. Int. J. Theor. Phys. 2017, 56, 1474. [Google Scholar] [CrossRef]
- Soltani, M.R.; Mahdavifar, S.; Mahmoudi, M.M. Entanglement in a two-spin system with long-range interactions. Chin. Phys. B 2016, 25, 087501. [Google Scholar] [CrossRef]
- Cuestas, E.; Garagiola, M.; Federico, M.P.; Osenda, O.; Serra, P. Long-and short-range interaction footprints in entanglement entropies of two-particle Wigner molecules in 2D quantum traps. Phys. Lett. A 2017, 381, 2153. [Google Scholar] [CrossRef]
- Redwan, A.; Abdel-Aty, A.; Zidan, N.; El-Shahat, T. Dynamics of Classical and Quantum Information onSpin-chains with Multiple Interactions. Inf. Sci. Lett. 2018, 7, 29–33. [Google Scholar]
- Redwan, A.; Abdel-Aty, A.; Zidan, N.; El-Shahat, T. Dynamics of the entanglement and teleportation of thermal state of a spin chain with multiple interactions. Chaos 2019, 29, 013138. [Google Scholar] [CrossRef]
- Avellino, M.; Fisher, A.J.; Bose, S. Quantum communication in spin systems with long-range interactions. Phys. Rev. A 2006, 74, 012321. [Google Scholar] [CrossRef]
- Bose, S. Quantum communication through spin chain dynamics: An introductory overview. Contemp. Phys. 2007, 48, 13–30. [Google Scholar] [CrossRef]
- Gualdi, G.; Kostak, V.; Marzoli, I.; Tombesi, P. Perfect state transfer in long-range interacting spin chains. Phys. Rev. A 2008, 78, 022325. [Google Scholar] [CrossRef]
- Jafarizadeh, M.A.; Sufiani, R. Perfect state transfer over distance-regular spin networks. Phys. Rev. A 2008, 77, 022315. [Google Scholar] [CrossRef]
- Kennard, E.H. Zur Quantenmechanik einfacher Bewegungstypen. Z. Phys. 1927, 44, 326–352. [Google Scholar] [CrossRef]
- Deutsch, D. Uncertainty in Quantum Measurements. Phys. Rev. Lett. 1983, 50, 631. [Google Scholar] [CrossRef]
- Bialynicki-Birula, I.; Mycielski, J. Uncertainty relations for information entropy in wave mechanics. Commun. Math. Phys. 1975, 44, 129–132. [Google Scholar] [CrossRef]
- Maassen, H.; Ufnk, J.B.M. Generalized entropic uncertainty relations. Phy. Rev. Lett. 1988, 60, 1103. [Google Scholar] [CrossRef] [PubMed]
- Hill, S.; Wootters, W.K. Entanglement of a Pair of Quantum Bits. Phys. Rev. Lett. 1997, 78, 5022. [Google Scholar] [CrossRef]
- Peters, N.A.; Wei, T.C.; Kwiat, P.G. Mixed-state sensitivity of several quantum-information benchmarks. Phys. Rev. A 2004, 70, 052309. [Google Scholar] [CrossRef]






© 2020 by the author. Licensee MDPI, Basel, Switzerland. This article is an open access article distributed under the terms and conditions of the Creative Commons Attribution (CC BY) license (http://creativecommons.org/licenses/by/4.0/).
Share and Cite
Zidan, N. Entropic Uncertainty in Spin XY Model with Long-Range Interactions. Entropy 2020, 22, 837. https://doi.org/10.3390/e22080837
Zidan N. Entropic Uncertainty in Spin XY Model with Long-Range Interactions. Entropy. 2020; 22(8):837. https://doi.org/10.3390/e22080837
Chicago/Turabian StyleZidan, Nour. 2020. "Entropic Uncertainty in Spin XY Model with Long-Range Interactions" Entropy 22, no. 8: 837. https://doi.org/10.3390/e22080837
APA StyleZidan, N. (2020). Entropic Uncertainty in Spin XY Model with Long-Range Interactions. Entropy, 22(8), 837. https://doi.org/10.3390/e22080837

