A Cooperative Coevolutionary Approach to Discretization-Based Feature Selection for High-Dimensional Data
Abstract
1. Introduction
2. Background
2.1. Particle Swarm Optimization
2.2. Genetic Algorithm
2.3. Minimum Description Length Principle
2.4. Discretization-Based FS Algorithms
3. Proposed Method
| Algorithm 1: The pseudocode of the proposed CC-DFS. |
![]() |
3.1. Representation of an Individual
3.2. Fitness Function
3.3. Updating Strategy
3.3.1. Search in Discrete Features
3.3.2. Search in Continuous Features
3.3.3. Combination of Continuous and Discrete Features
3.3.4. Reset Operation
4. Experimental Results and Analysis
4.1. Datasets
4.2. Parameter Settings and Comparison Method
4.3. Results and Analysis
4.3.1. CC-DFS VS Full
4.3.2. CC-DFS vs. DMLP
4.3.3. CC-DFS vs. PSO-FS
4.3.4. CC-DFS vs. EPSO
4.3.5. CC-DFS vs. PPSO
4.3.6. CC-DFS vs. CCB-DFS
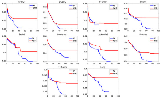
4.4. Effectiveness of Reset Operation
4.5. Computational Time
5. Conclusions
Author Contributions
Funding
Conflicts of Interest
References
- Blum, A.L.; Langley, P. Selection of relevant features and examples in machine learning. Artif. Intell. 1997, 97, 245–271. [Google Scholar] [CrossRef]
- Dash, M.; Choi, K.; Scheuermann, P.; Liu, H. Feature Selection for Clustering—A Filter Solution. In Proceedings of the 2002 IEEE International Conference on Data Mining, Maebashi City, Japan, 9–12 December 2002. [Google Scholar]
- Alelyani, S.; Tang, J.; Liu, H. Feature Selection for Clustering: A Review. In Data Clustering: Algorithms and Applications; CRC Press: New York, NY, USA, 2013. [Google Scholar]
- Guyon, I.; Elisseeff, A. An introduction to variable and feature selection. J. Mach. Learn. Res. 2003, 3, 1157–1182. [Google Scholar]
- Dash, M.; Liu, H. Feature Selection for Classification. Intell. Data Anal. 1997, 1, 131–156. [Google Scholar] [CrossRef]
- Souza, F.; Araujo, R.; Mendes, J. Review of soft sensor methods for regression applications. Chemom. Intell. Lab. Syst. 2016, 152, 69–79. [Google Scholar] [CrossRef]
- Zhou, Y.; Kwong, S.; Guo, H.; Zhang, X.; Zhang, Q. A Two-Phase Evolutionary Approach for Compressive Sensing Reconstruction. IEEE Trans. Cybern. 2017, 47, 2651–2663. [Google Scholar] [CrossRef]
- Guan, S.U.; Liu, J.; Qi, Y. An incremental approach to contribution-based feature selection. J. Intell. Syst. 2004, 13, 15–42. [Google Scholar] [CrossRef]
- Reunanen, J. Overfitting in making comparisons between variable selection methods. J. Mach. Learn. Res. 2003, 3, 1371–1382. [Google Scholar]
- Inbarani, H.H.; Azar, A.T.; Jothi, G. Supervised hybrid feature selection based on PSO and rough sets for medical diagnosis. Comput. Methods Programs Biomed. 2014, 113, 175–185. [Google Scholar] [CrossRef]
- Wang, X.; Yang, J.; Teng, X.; Xia, W.; Jensen, R. Feature selection based on rough sets and particle swarm optimization. Pattern Recognit. Lett. 2007, 28, 459–471. [Google Scholar] [CrossRef]
- Samraj, A.; Inbarani, H.H.; Banu, N. Unsupervised hybrid PSO-Quick reduct approach for feature reduction. In Proceedings of the 2012 International Conference on Recent Trends in Information Technology, Tamil Nadu, India, 19–21 April 2012. [Google Scholar]
- Dong, H.; Li, T.; Ding, R.; Sun, J. A novel hybrid genetic algorithm with granular information for feature selection and optimization. Appl. Soft Comput. 2018, 65, 33–46. [Google Scholar] [CrossRef]
- Nakariyakul, S.; Casasent, D. An improvement on floating search algorithms for feature subset selection. Pattern Recognit. 2009, 42, 1932–1940. [Google Scholar] [CrossRef]
- Engelbrecht, A.P. Computational Intelligence: An Introduction, 2nd ed.; John Wiley & Sons: Chichester, UK, 2007. [Google Scholar]
- Mendes, J.; Araujo, R.; Matias, T.; Seco, R.; Belchior, C. Automatic extraction of the fuzzy control system by a hierarchical genetic algorithm. Eng. Appl. Artif. Intell. 2014, 29, 70–78. [Google Scholar] [CrossRef]
- Kennedy, J.; Eberhart, R.C. A discrete binary version of the particle swarm algorithm. In Proceedings of the 1997 IEEE International Conference on Systems, Man, and Cybernetics, Computational Cybernetics and Simulation, Orlando, FL, USA, 12–15 October 1997. [Google Scholar]
- Tran, B.; Xue, B.; Zhang, M. A New Representation in PSO for Discretization-Based Feature Selection. IEEE Trans. Cybern. 2018, 48, 1733–1746. [Google Scholar] [CrossRef] [PubMed]
- Tran, B.; Xue, B.; Zhang, M. Bare-Bone Particle Swarm Optimisation for Simultaneously Discretising and Selecting Features for High-Dimensional Classification. In Proceedings of the European Conference on the Applications of Evolutionary Computation, Porto, Portugal, 30 March–1 April 2016; pp. 701–718. [Google Scholar]
- Huang, X.; Chi, Y.; Zhou, Y. Feature Selection of High Dimensional Data by Adaptive Potential Particle Swarm Optimization. In Proceedings of the 2019 IEEE Congress on Evolutionary Computation (CEC), Wellington, New Zealand, 10–13 June 2019; pp. 1052–1059. [Google Scholar]
- Lin, J.; Zhou, Y.; Kang, J. An Improved Discretization-Based Feature Selection via Particle Swarm Optimization. In Knowledge Science, Engineering and Management; Douligeris, C., Karagiannis, D., Apostolou, D., Eds.; Springer International Publishing: Cham, Switzerland, 2019; pp. 298–310. [Google Scholar]
- Fayyad, U.; Irani, K.B. Multi-Interval Discretization of Continuous-Valued Attributes for Classification Learning. Mach. Learn. 1993, 2, 1022–1027. Available online: http://hdl.handle.net/2014/35171 (accessed on 27 May 2020).
- Li, M.; Wang, Z. A hybrid coevolutionary algorithm for designing fuzzy classifiers. Inf. Sci. 2009, 179, 1970–1983. [Google Scholar] [CrossRef]
- Garcia-Pedrajas, N.; Hervas-Martinez, C.; Ortiz-Boyer, D. Cooperative coevolution of artificial neural network ensembles for pattern classification. IEEE Trans. Evol. Comput. 2005, 9, 271–302. [Google Scholar] [CrossRef]
- Yang, Z.; Tang, K.; Yao, X. Large scale evolutionary optimization using cooperative coevolution. Inf. Sci. 2008, 178, 2985–2999. [Google Scholar] [CrossRef]
- Gong, M.; Li, H.; Luo, E.; Liu, J.; Liu, J. A Multiobjective Cooperative Coevolutionary Algorithm for Hyperspectral Sparse Unmixing. IEEE Trans. Evol. Comput. 2017, 21, 234–248. [Google Scholar] [CrossRef]
- Ma, X.; Li, X.; Zhang, Q.; Tang, K.; Liang, Z.; Xie, W.; Zhu, Z. A Survey on Cooperative Co-Evolutionary Algorithms. IEEE Trans. Evol. Comput. 2019, 23, 421–441. [Google Scholar] [CrossRef]
- Kennedy, J.; Eberhart, R. Particle swarm optimization. In Proceedings of the ICNN’95—International Conference on Neural Networks, Perth, Australia, 27 November–1 December 1995. [Google Scholar]
- Holland, J.H. Bibliography. In Adaptation in Natural and Artificial Systems: An Introductory Analysis with Applications to Biology, Control, and Artificial Intelligence; MIT Press: Cambridge, MA, USA, 1992; pp. 203–205. [Google Scholar]
- Chicano, F.; Sutton, A.M.; Whitley, L.D.; Alba, E. Fitness probability distribution of bit-flip mutation. Evol. Comput. 2015, 23, 217–248. [Google Scholar] [CrossRef]
- Umbarkar, A.J.; Sheth, P.D. Crossover Operators in Genetic Algorithms:A Review. ICTACT J. Soft Comput. 2015, 6, 1083–1092. [Google Scholar]
- Al-Sahaf, H.; Zhang, M.; Johnston, M.; Verma, B. Image descriptor: A genetic programming approach to multiclass texture classification. In Proceedings of the 2015 IEEE Congress on Evolutionary Computation (CEC), Sendai, Japan, 25–28 May 2015; pp. 2460–2467. [Google Scholar]
- Tran, B.Q.; Zhang, M.; Xue, B. A PSO based hybrid feature selection algorithm for high-dimensional classification. In Proceedings of the 2016 IEEE Congress on Evolutionary Computation (CEC), Vancouver, BC, Canada, 24–29 July 2016; pp. 3801–3808. [Google Scholar]
- Martino, A.; Giuliani, A.; Rizzi, A. (Hyper)Graph Embedding and Classification via Simplicial Complexes. Algorithms 2019, 12, 223. [Google Scholar] [CrossRef]
- Martino, A.; Giuliani, A.; Todde, V.; Bizzarri, M.; Rizzi, A. Metabolic networks classification and knowledge discovery by information granulation. Comput. Biol. Chem. 2020, 84, 107187. [Google Scholar] [CrossRef] [PubMed]
- Liang, J.J.; Qin, A.K.; Suganthan, P.N.; Baskar, S. Comprehensive learning particle swarm optimizer for global optimization of multimodal functions. IEEE Trans. Evol. Comput. 2006, 10, 281–295. [Google Scholar] [CrossRef]
- Kennedy, J. Bare bones particle swarms. In Proceedings of the 2003 IEEE Swarm Intelligence Symposium, Indianapolis, IN, USA, 26–26 April 2003. [Google Scholar]








| Dataset | # of Features | # of S | # of C | # of Small | # of Big |
|---|---|---|---|---|---|
| SRBCT | 2308 | 83 | 4 | 13 | 35 |
| DLBCL | 5469 | 77 | 2 | 25 | 75 |
| 9Tumor | 5726 | 60 | 9 | 3 | 15 |
| Leukemia 1 | 5327 | 72 | 3 | 13 | 53 |
| Leukemia 2 | 11,225 | 72 | 3 | 28 | 39 |
| Brain Tumor1 | 5920 | 90 | 5 | 4 | 67 |
| Brain Tumor2 | 10,367 | 50 | 4 | 14 | 30 |
| Prostate | 10,509 | 102 | 2 | 49 | 51 |
| Lung Cancer | 12,600 | 203 | 5 | 3 | 68 |
| 11Tumor | 12,533 | 174 | 11 | 4 | 16 |
| Parameter | Setting |
|---|---|
| Population | No. of features/20 (Limited to 300 and no less than 100) |
| Maximum iteration | 100 |
| c1 and c2 | 1.49445 |
| 0.5 | |
| Lmin | 0.25 |
| Lmax | 0.5 |
| Stopping criterion | The fitness value of not improved for 11 iterations |
| Dataset | Method | # of Features | Best (%) | Avg (std) | S |
|---|---|---|---|---|---|
| SRBCT | Full | 2308.0 | 87.08 | + | |
| DMLP | 128 | 100.00 | 97.72 (1.67) | + | |
| PSO-FS | 150.0 | 97.50 | 91.31 (2.71) | + | |
| EPSO | 137.3 | 100.00 | 96.89 (1.64) | + | |
| PPSO | 108.5 | 100.00 | 95.78 (1.96) | + | |
| CCB-DFS | 168.1 | 100.00 | 99.26 (0.89) | = | |
| CC-DFS | 220.6 | 100.00 | 98.90 (1.05) | ||
| DLBCL | Full | 5469.0 | 83.00 | + | |
| DMLP | 128 | 97.92 | 93.26 (3.35) | − | |
| PSO-FS | 101.8 | 96.67 | 80.03 (6.13) | + | |
| EPSO | 42.8 | 94.17 | 85.18 (5.46) | + | |
| PPSO | 44.0 | 94.17 | 86.22 (3.58) | + | |
| CCB-DFS | 85.6 | 96.67 | 90.28 (3.29) | = | |
| CC-DFS | 77.6 | 96.67 | 90.37 (3.37) | ||
| 9Tumor | Full | 5726.0 | 36.67 | + | |
| DMLP | 128 | 55.97 | 48.48 (5.61) | + | |
| PSO-FS | 955.0 | 55.00 | 45.95 (4.93) | + | |
| EPSO | 138.5 | 65.00 | 58.22 (3.12) | − | |
| PPSO | 118.1 | 65.00 | 59.28 (2.08) | − | |
| CCB-DFS | 314.2 | 58.20 | 52.66 (3.64) | = | |
| CC-DFS | 278.0 | 61.48 | 53.78 (3.59) | ||
| Leukemia1 | Full | 5327.0 | 72.08 | + | |
| DMLP | 128 | 97.92 | 91.64 (3.99) | + | |
| PSO-FS | 150.0 | 92.22 | 81.60 (4.72) | + | |
| EPSO | 135.9 | 95.56 | 93.37 (1.83) | = | |
| PPSO | 80.4 | 95.42 | 94.37 (1.36) | = | |
| CCB-DFS | 126.8 | 96.67 | 94.14 (1.35) | = | |
| CC-DFS | 166.4 | 97.50 | 94.02 (1.45) | ||
| Leukemia2 | Full | 11,225.0 | 89.44 | + | |
| DMLP | 128 | 96.94 | 93.48 (1.75) | + | |
| PSO-FS | 150.0 | 93.89 | 86.11 (3.97) | + | |
| EPSO | 139.9 | 94.44 | 89.93 (2.79) | + | |
| PPSO | 86.7 | 100.00 | 96.74 (1.64) | = | |
| CCB-DFS | 346.8 | 100.00 | 95.17 (2.00) | = | |
| CC-DFS | 131.7 | 100.00 | 95.57 (2.09) | ||
| Brain Tumor1 | Full | 5920.0 | 72.08 | + | |
| DMLP | 128 | 82.57 | 73.76 (3.69) | + | |
| PSO-FS | 317.3 | 78.75 | 71.00 (3.06) | + | |
| EPSO | 150.7 | 79.17 | 72.79 (3.48) | + | |
| PPSO | 73.4 | 82.08 | 74.40 (3.67) | + | |
| CCB-DFS | 189.5 | 80.58 | 75.90 (2.49) | = | |
| CC-DFS | 187.4 | 83.08 | 76.57 (3.47) | ||
| Brain Tumor2 | Full | 10,367.0 | 62.50 | + | |
| DMLP | 128 | 81.81 | 73.93 (3.25) | = | |
| PSO-FS | 417.9 | 82.08 | 69.11 (5.89) | + | |
| EPSO | 152.8 | 83.75 | 70.76 (5.30) | + | |
| PPSO | 66.7 | 74.58 | 68.75 (4.24) | + | |
| CCB-DFS | 298.6 | 89.17 | 75.75 (4.61) | − | |
| CC-DFS | 138.7 | 83.75 | 72.22 (5.01) | ||
| Prostate | Full | 10,509.0 | 85.33 | + | |
| DMLP | 128 | 83.40 | 74.25 (3.21) | + | |
| PSO-FS | 777.4 | 90.33 | 85.20 (2.35) | + | |
| EPSO | 54.9 | 90.33 | 83.74 (3.55) | + | |
| PPSO | 65.6 | 95.17 | 91.82 (1.77) | − | |
| CCB-DFS | 129.8 | 92.50 | 89.06 (2.08) | = | |
| CC-DFS | 180.6 | 92.17 | 88.52 (1.63) | ||
| 11Tumor | Full | 12,533.0 | 71.42 | + | |
| DMLP | 128 | 79.36 | 73.69 (3.19) | + | |
| PSO-FS | 1638.8 | 86.07 | 82.62 (1.70) | + | |
| EPSO | 149.9 | 83.68 | 79.29 (2.11) | + | |
| PPSO | 167.0 | 83.20 | 76.83 (2.91) | + | |
| CCB-DFS | 1422.4 | 89.09 | 85.27 (1.92) | = | |
| CC-DFS | 1890.2 | 87.77 | 84.84 (2.47) | ||
| Lung Cancer | Full | 12,600.0 | 78.05 | + | |
| DMLP | 128 | 81.21 | 73.78 (3.73) | + | |
| PSO-FS | 686.2 | 85.73 | 81.72 (2.08) | = | |
| EPSO | 150.8 | 85.58 | 80.60 (2.42) | = | |
| PPSO | 203.0 | 84.11 | 79.38 (3.26) | + | |
| CCB-DFS | 433.9 | 86.92 | 82.88 (2.13) | = | |
| CC-DFS | 155.6 | 89.71 | 81.40 (3.10) |
| Dataset | Time (W) | Time (W/R) |
|---|---|---|
| SRBCT | 157.1 | 352.2 |
| DLBCL | 397.1 | 782.3 |
| 9Tumor | 260.4 | 637.9 |
| Leukemia1 | 475.1 | 778.9 |
| Leukemia2 | 1465.4 | 2283.8 |
| Brain Tumor1 | 909.8 | 1445.1 |
| Brain Tumor2 | 1591.6 | 2041.4 |
| Prostate | 884.4 | 1334.8 |
| 11Tumor | 2062.2 | 4885.1 |
| Lung Cancer | 4756.9 | 12,075.0 |
© 2020 by the authors. Licensee MDPI, Basel, Switzerland. This article is an open access article distributed under the terms and conditions of the Creative Commons Attribution (CC BY) license (http://creativecommons.org/licenses/by/4.0/).
Share and Cite
Zhou, Y.; Kang, J.; Zhang, X. A Cooperative Coevolutionary Approach to Discretization-Based Feature Selection for High-Dimensional Data. Entropy 2020, 22, 613. https://doi.org/10.3390/e22060613
Zhou Y, Kang J, Zhang X. A Cooperative Coevolutionary Approach to Discretization-Based Feature Selection for High-Dimensional Data. Entropy. 2020; 22(6):613. https://doi.org/10.3390/e22060613
Chicago/Turabian StyleZhou, Yu, Junhao Kang, and Xiao Zhang. 2020. "A Cooperative Coevolutionary Approach to Discretization-Based Feature Selection for High-Dimensional Data" Entropy 22, no. 6: 613. https://doi.org/10.3390/e22060613
APA StyleZhou, Y., Kang, J., & Zhang, X. (2020). A Cooperative Coevolutionary Approach to Discretization-Based Feature Selection for High-Dimensional Data. Entropy, 22(6), 613. https://doi.org/10.3390/e22060613


