Hall Effect on Radiative Casson Fluid Flow with Chemical Reaction on a Rotating Cone through Entropy Optimization
Abstract
1. Introduction
2. Problem Modeling
Velocity, Temperature, and Mass Gradients
3. Entropy Optimization
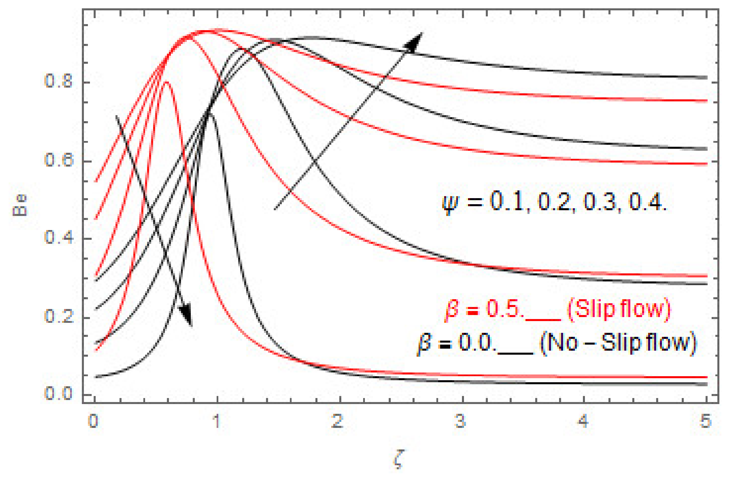
Bejan Number
4. HAM Solution
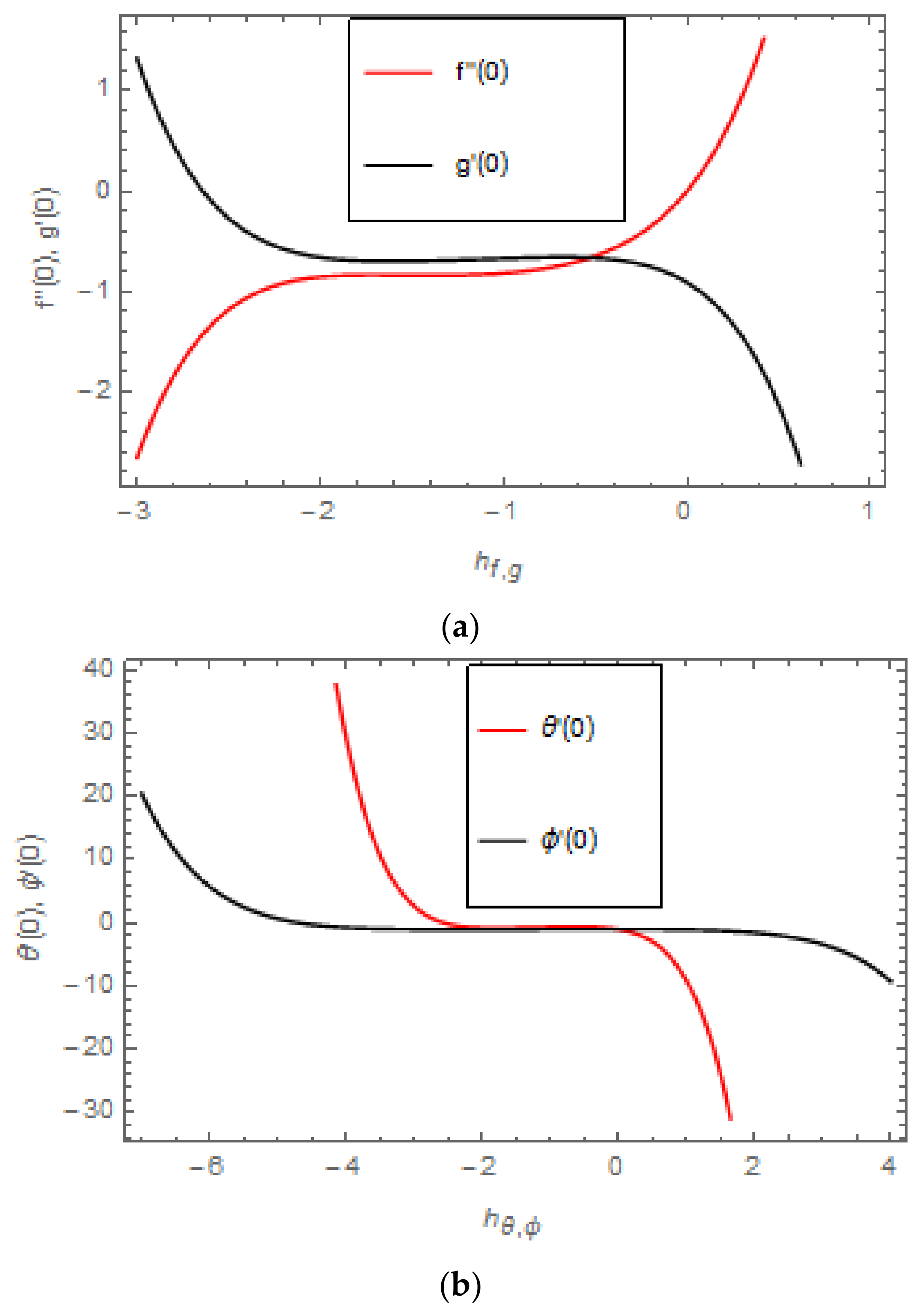
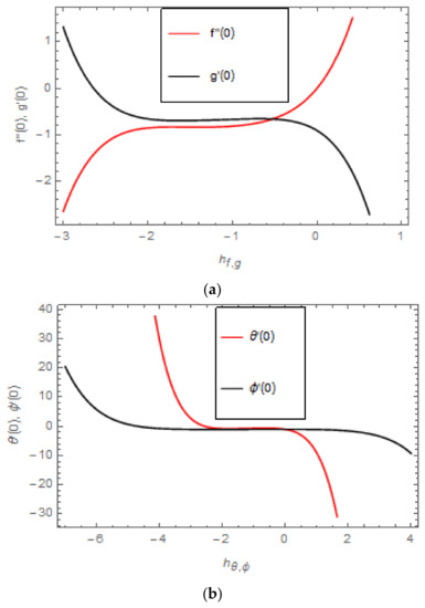
Convergence of HAM
5. Results and Discussion
5.1. Velocities, Temperature and Concentration Functions
5.2. Entropy Optimization and Bejan Number
5.3. Surface Drag Force, Heat and Mass Transfer Rates
6. Conclusions
- Primary velocity distribution reduces with heightens in Casson, velocity slip, and magnetic factors, whereas the reverse trend is observed against Hall, mixed convection, and buoyancy ratio parameters.
- Secondary velocity distribution moderates with escalation in Casson, magnetic, mixed convection, velocity slip, and buoyancy ratio parameters, whereas the escalating impact is observed with increasing Hall parameter.
- Temperature distribution decreases with increasing Hall parameter, whereas the rising impact is observed with escalation in Casson parameter, magnetic parameter, Brinkman number, and thermal radiation.
- Concentration distribution decreases with increasing Schmidt number and chemical reaction parameter.
- Entropy generation decreases with increasing Casson parameter and Hall parameter, while it increases with Brinkman number, diffusion parameter, and magnetic parameter.
- Bejan number decreases with increasing Brinkman number and Hall parameter, whereas the increasing impact is detected with Casson parameter, diffusion parameter, and magnetic parameter.
Author Contributions
Funding
Acknowledgments
Conflicts of Interest
Nomenclature
| Angular velocity | Gravitational acceleration | ||
| Hall parameter | Plastic dynamic viscosity | ||
| Yield stress | Casson parameter | ||
| Velocity components | Coordinates | ||
| Semi-vertical angle | Velocity slip parameter | ||
| Thermal coefficient | Concentration coefficient | ||
| Temperature | Concentration | ||
| Surface temperature | Surface concentration | ||
| Ambient temperature | Ambient concentration | ||
| Stefan-Boltzman constant | Mass diffusivity | ||
| Specific heat | Chemical reaction parameter | ||
| Reynolds number | Prandtl number | ||
| Grashof number | Eckert number | ||
| Schmidt number | Brinkman | ||
| Magnetic parameter | mixed convection | ||
| buoyancy ratio parameter | Slip parameter | ||
| Thermal radiation parameter | Dimensionless chemical reaction parameter | ||
| Velocity gradients | Temperature gradient | ||
| shear stresses | , | Mass gradient | |
| Heat flux | Mass flux | ||
| Entropy rate | Diffusion parameter | ||
| Temperature difference | Concentration difference | ||
| Dimensionless parameter | |||
References
- Kumari, M.; Pop, I.; Nath, G. Mixed convection along a vertical cone. Int. Commun. Heat Mass Transf. 1989, 16, 247–255. [Google Scholar] [CrossRef]
- Nadeem, S.; Saleem, S. Analytical treatment of unsteady mixed convection MHD flow on a rotating cone in a rotating frame. J. Taiwan Inst. Chem. Eng. 2013, 44, 596–604. [Google Scholar] [CrossRef]
- Hayat, T.; Khan, S.A.; Khan, M.I.; Alsaedi, A. Irreversibility characterization and investigation of mixed convective reactive flow over a rotating cone. Comput. Methods Programs Biomed. 2020, 185, 105168. [Google Scholar] [CrossRef] [PubMed]
- Sulochana, C.; Samrat, S.; Sandeep, N. Numerical investigation of magnetohydrodynamic (MHD) radiative flow over a rotating cone in the presence of Soret and chemical reaction. Propuls. Power Res. 2018, 7, 91–101. [Google Scholar] [CrossRef]
- Raju, C.S.K.; Sandeep, N. Heat and mass transfer in MHD non-Newtonian bio-convection flow over a rotating cone/plate with cross diffusion. J. Mol. Liq. 2016, 215, 115–126. [Google Scholar] [CrossRef]
- Zohra, F.; Uddin, M.J.; Ismail, A.; Bég, O.A.; Kadir, A. Anisotropic slip magneto-bioconvection flow from a rotating cone to a nanofluid with Stefan blowing effects. Chin. J. Phys. 2018, 56, 432–448. [Google Scholar] [CrossRef]
- Raju, C.S.K.; Sandeep, N. Unsteady Casson nanofluid flow over a rotating cone in a rotating frame filled with ferrous nanoparticles: A numerical study. J. Magn. Magn. Mater. 2017, 421, 216–224. [Google Scholar] [CrossRef]
- Nadeem, S.; Saleem, S. Analytical Study of Rotating Non-Newtonian Nanofluid on a Rotating Cone. J. Thermophys. Heat Transf. 2014, 28, 295–302. [Google Scholar] [CrossRef]
- Ravindran, R.; Roy, S.J.; Momoniat, E. Effects of injection (suction) on a steady mixed convection boundary layer flow over a vertical cone. Int. J. Numer. Methods Heat Fluid Flow 2009, 19, 432–444. [Google Scholar] [CrossRef]
- Chamkha, A.J.; Al-Mudhaf, A. Unsteady heat and mass transfer from a rotating vertical cone with a magnetic field and heat generation or absorption effects. Int. J. Therm. Sci. 2005, 44, 267–276. [Google Scholar] [CrossRef]
- Sato, H. The Hall Effect in the Viscous Flow of Ionized Gas Between Two Parallel Plates under Transverse Magnetic Field. J. Phys. Soc. Jpn. 1961, 16, 1427–1433. [Google Scholar] [CrossRef]
- Sherman, A.; Sutton, G.W. Magnetohydrodynamics; Northwestern University Press: Evanston, IL, USA, 1962. [Google Scholar]
- Katagiri, M. The Effect of Hall Currents on the Magnetohydrodynamic Boundary Layer Flow past a Semi-Infinite Flate Plate. J. Phys. Soc. Jpn. 1969, 27, 1051–1059. [Google Scholar] [CrossRef]
- Pop, I.; Soundalgekar, V.M. Effects of Hall current on hydromagnetic flow near a porous plate. Acta Mech. 1974, 20, 315–318. [Google Scholar] [CrossRef]
- Gupta, A.S. Hydromagnetic flow past a porous flat plate with hall effects. Acta Mech. 1975, 22, 281–287. [Google Scholar] [CrossRef]
- Jana, R.N.; Gupta, A.S.; Datta, N. Hall Effects on the Hydromagnetic Flow past an Infinite Porous Flat Plate. J. Phys. Soc. Jpn. 1977, 43, 1767–1772. [Google Scholar] [CrossRef]
- Pop, I.; Watanabe, T. Hall effects on magnetohydrodynamic free convection about a semi-infinite vertical flat plate. Int. J. Eng. Sci. 1994, 32, 1903–1911. [Google Scholar] [CrossRef]
- El-Aziz, M.A. Flow and heat transfer over an unsteady stretching surface with Hall effect. Meccanica 2009, 45, 97–109. [Google Scholar] [CrossRef]
- Seth, G.S.; Singh, J. Mixed convection hydromagnetic flow in a rotating channel with Hall and wall conductance effects. Appl. Math. Model. 2016, 40, 2783–2803. [Google Scholar] [CrossRef]
- Abdel-Wahed, M.S. Magnetohydrodynamic Ferro-Nano fluid flow in a semi-porous curved tube under the effect of hall current and nonlinear thermal radiative. J. Magn. Magn. Mater. 2019, 474, 347–354. [Google Scholar] [CrossRef]
- Osalusi, E.; Side, J.; Harris, R.; Clark, P. The effect of combined viscous dissipation and Joule heating on unsteady mixed convection MHD flow on a rotating cone in a rotating fluid with variable properties in the presence of Hall and ion-slip currents. Int. Commun. Heat Mass Transf. 2008, 35, 413–429. [Google Scholar] [CrossRef]
- Casson, N. A Flow Equation for Pigment-Oil Suspensions of the Printing Ink Type. In Rheology of Disperse Systems; Mill, C.C., Ed.; Pergamon: New York, NY, USA, 1959. [Google Scholar]
- Hayat, T.; Shehzad, S.A.; Alsaedi, A.; Alhothuali, M.S. Mixed Convection Stagnation Point Flow of Casson Fluid with Convective Boundary Conditions. Chin. Phys. Lett. 2012, 29, 114704. [Google Scholar] [CrossRef]
- Eldabe, N.T.M.; Salwa, M.G.E. Heat transfer of MHD Non-Newtonian Casson Fluid Flow between two Rotating Cylinders. J. Phys. Soc. Jpn. 1995, 64, 41–64. [Google Scholar]
- Malik, M.Y.; Naseer, M.; Nadeem, S.; Rehman, A. The boundary layer flow of Casson nanofluid over a vertical exponentially stretching cylinder. Appl. Nanosci. 2013, 4, 869–873. [Google Scholar] [CrossRef]
- El-Aziz, M.A.; Afify, A.A. Effects of Variable Thermal Conductivity with Thermal Radiation on MHD Flow and Heat Transfer of Casson Liquid Film Over an Unsteady Stretching Surface. Braz. J. Phys. 2016, 46, 516–525. [Google Scholar] [CrossRef]
- Shateyi, S.; Mabood, F.; Lorenzini, G. Casson fluid flow: Free convective heat and mass transfer over an unsteady permeable stretching surface considering viscous dissipation. J. Eng. Thermophys. 2017, 26, 39–52. [Google Scholar] [CrossRef]
- Shehzad, S.A.; Hayat, T.; Alsaedi, A. MHD flow of a Casson fluid with power law heat flux and heat source. Comput. Appl. Math. 2017, 37, 2932–2942. [Google Scholar] [CrossRef]
- Reddy, J.R.; Sugunamma, V.; Sandeep, N. Enhanced heat transfer in the flow of dissipative non-Newtonian Casson fluid flow over a convectively heated upper surface of a paraboloid of revolution. J. Mol. Liq. 2017, 229, 380–388. [Google Scholar] [CrossRef]
- Bejan, A. A Study of Entropy Generation in Fundamental Convective Heat Transfer. J. Heat Transf. 1979, 101, 718–725. [Google Scholar] [CrossRef]
- Bejan, A. Second-Law Analysis in Heat Transfer and Thermal Design. Advances in Heat Transfer 1982, 15, 1–58. [Google Scholar] [CrossRef]
- Makinde, O.D. Thermodynamic second law analysis for a gravity-driven variable viscosity liquid film along an inclined heated plate with convective cooling. J. Mech. Sci. Technol. 2010, 24, 899–908. [Google Scholar] [CrossRef]
- Marzougui, S.; Mebarek-Oudina, F.; Assia, A.; Magherbi, M.; Shah, Z.; Ramesh, K. Entropy generation on magneto-convective flow of copper–water nanofluid in a cavity with chamfers. J. Therm. Anal. Calorim. 2020, 1–12. [Google Scholar] [CrossRef]
- Tshehla, M.S.; Makinde, O.D. Analysis of Entropy Generation in a Variable Viscosity Fluid Flow Between Two Concentric Pipes with Convective Cooling at the Surface. Int. J. Phys. Sci. 2011, 6, 6053–6060. [Google Scholar]
- Chen, C.-K.; Lai, H.-Y.; Liu, C.-C. Numerical analysis of entropy generation in mixed convection flow with viscous dissipation effects in vertical channel. Int. Commun. Heat Mass Transf. 2011, 38, 285–290. [Google Scholar] [CrossRef]
- Liu, C.-C.; Lo, C.-Y. Numerical analysis of entropy generation in mixed-convection MHD flow in vertical channel. Int. Commun. Heat Mass Transf. 2012, 39, 1354–1359. [Google Scholar] [CrossRef]
- Rashidi, M.M.; Abelman, S.; Mehr, N.F. Entropy generation in steady MHD flow due to a rotating porous disk in a nanofluid. Int. J. Heat Mass Transf. 2013, 62, 515–525. [Google Scholar] [CrossRef]
- Shah, Z.; Kumam, P.; Deebani, W. Radiative MHD Casson Nanofluid Flow with Activation energy and chemical reaction over past nonlinearly stretching surface through Entropy generation. Sci. Rep. 2020, 10, 4402–4414. [Google Scholar] [CrossRef]
- Shah, Z.; Alzahrani, E.O.; Dawar, A.; Alghamdi, W.; Ullah, M.Z. Entropy Generation in MHD Second-Grade Nanofluid Thin Film Flow Containing CNTs with Cattaneo-Christov Heat Flux Model past an Unsteady Stretching Sheet. Appl. Sci. 2020, 10, 2720. [Google Scholar] [CrossRef]
- Qing, J.; Bhatti, M.; Abbas, M.A.; Rashidi, M.M.; Ali, M. Entropy Generation on MHD Casson Nanofluid Flow over a Porous Stretching/Shrinking Surface. Entropy 2016, 18, 123. [Google Scholar] [CrossRef]
- Reddy, G.J.; Kethireddy, B.; Kumar, M.; Hoque, M.M. A molecular dynamics study on transient non-Newtonian MHD Casson fluid flow dispersion over a radiative vertical cylinder with entropy heat generation. J. Mol. Liq. 2018, 252, 245–262. [Google Scholar] [CrossRef]
- Afridi, M.I.; Qasim, M.; Khan, I. Entropy Generation Minimization in MHD Boundary Layer Flow over a Slendering Stretching Sheet in the Presence of Frictional and Joule Heating. J. Korean Phys. Soc. 2018, 73, 1303–1309. [Google Scholar] [CrossRef]
- Kumam, P.; Shah, Z.; Dawar, A.; Rasheed, H.U.; Islam, S. Entropy Generation in MHD Radiative Flow of CNTs Casson Nanofluid in Rotating Channels with Heat Source/Sink. Math. Probl. Eng. 2019, 2019, 1–14. [Google Scholar] [CrossRef]
- Saleem, S.; Nadeem, S. Theoretical analysis of slip flow on a rotating cone with viscous dissipation effects. J. Hydrodyn. 2015, 27, 616–623. [Google Scholar] [CrossRef]
- Shah, Z.; Islam, S.; Ayaz, H.; Khan, S. Radiative Heat and Mass Transfer Analysis of Micropolar Nanofluid Flow of Casson Fluid between Two Rotating Parallel Plates with Effects of Hall Current. ASME J. Heat Transf. 2019, 141, 022401-1. [Google Scholar] [CrossRef]
- El-Aziz, M.A.; Afify, A.A. MHD Casson Fluid Flow over a Stretching Sheet with Entropy Generation Analysis and Hall Influence. Entropy 2019, 21, 592. [Google Scholar] [CrossRef]































| Reference # | Fluid Type | Hall Current | Entropy Generation | Chemical Reaction |
|---|---|---|---|---|
| Ref. [44] | Newtonian fluid | × | × | × |
| Ref. [45] | Casson fluid | × | × | × |
| Ref. [46] | Casson fluid | √ | √ | × |
| Present study | Casson fluid | √ | √ | √ |
| Chamka et al. [10] | Current Results | ||||
|---|---|---|---|---|---|
| 0.7 | 0.0 | 1.0255 | 0.6158 | 1.022543 | 0.615430 |
| 0.7 | 1.0 | 2.2015 | 0.8494 | 2.201024 | 0.849312 |
| 0.7 | 10.0 | 8.5041 | 1.3995 | 8.504256 | 1.399221 |
| 10 | 0.0 | 1.0256 | 0.6158 | 1.025543 | 0.615831 |
| 10 | 1.0 | 1.5636 | 0.6837 | 1.563001 | 0.683534 |
| 10 | 10.0 | 2.0281 | 0.9840 | 5.082000 | 0.984555 |
| Chamka et al. [10] | Current Results | ||
|---|---|---|---|
| 0.7 | 0.0 | 0.4299 | 0.429910 |
| 0.7 | 1.0 | 0.6120 | 0.612100 |
| 0.7 | 10.0 | 1.0097 | 1.399211 |
| 10 | 0.0 | 1.4110 | 1.411101 |
| 10 | 1.0 | 1.5662 | 1.566110 |
| 10 | 10.0 | 2.3580 | 2.358102 |
| 0.0 | 1.0 | 0.1 | 0.1 | 0.1 | −2.52320 | 2.87840 |
| 1.0 | −3.29992 | 2.95818 | ||||
| 2.0 | −4.07658 | 3.03796 | ||||
| 0.1 | −2.80925 | 3.18393 | ||||
| 0.2 | −3.10214 | 3.17597 | ||||
| 0.3 | −3.36287 | 3.16328 | ||||
| 0.2 | −3.40126 | 3.16332 | ||||
| 0.4 | −3.47804 | 3.16341 | ||||
| 0.6 | −3.55481 | 3.16349 | ||||
| 0.2 | −4.16530 | 3.16414 | ||||
| 0.3 | −4.77579 | 3.16478 | ||||
| 0.4 | −5.38628 | 3.16543 | ||||
| 0.2 | −2.28539 | 1.09194 | ||||
| 0.3 | −1.51112 | 0.67533 | ||||
| 0.4 | −1.16689 | 0.50498 |
| 0.0 | 0.1 | 1.0 | 0.1 | 2.40758 |
| 1.0 | 2.49147 | |||
| 2.0 | 2.57265 | |||
| 0.2 | 2.82906 | |||
| 0.3 | 3.08947 | |||
| 0.4 | 3.35391 | |||
| 1.1 | 3.52500 | |||
| 1.3 | 3.86716 | |||
| 1.5 | 4.20933 | |||
| 0.2 | 2.98787 | |||
| 0.3 | 2.65190 | |||
| 0.4 | 2.40617 |
| 0.1 | 1.0 | 1.00840 |
| 0.2 | 0.99847 | |
| 0.3 | 0.98854 | |
| 1.1 | 0.98553 | |
| 1.2 | 0.98252 | |
| 1.3 | 0.97951 |
© 2020 by the authors. Licensee MDPI, Basel, Switzerland. This article is an open access article distributed under the terms and conditions of the Creative Commons Attribution (CC BY) license (http://creativecommons.org/licenses/by/4.0/).
Share and Cite
Deebani, W.; Tassaddiq, A.; Shah, Z.; Dawar, A.; Ali, F. Hall Effect on Radiative Casson Fluid Flow with Chemical Reaction on a Rotating Cone through Entropy Optimization. Entropy 2020, 22, 480. https://doi.org/10.3390/e22040480
Deebani W, Tassaddiq A, Shah Z, Dawar A, Ali F. Hall Effect on Radiative Casson Fluid Flow with Chemical Reaction on a Rotating Cone through Entropy Optimization. Entropy. 2020; 22(4):480. https://doi.org/10.3390/e22040480
Chicago/Turabian StyleDeebani, Wejdan, Asifa Tassaddiq, Zahir Shah, Abdullah Dawar, and Farhad Ali. 2020. "Hall Effect on Radiative Casson Fluid Flow with Chemical Reaction on a Rotating Cone through Entropy Optimization" Entropy 22, no. 4: 480. https://doi.org/10.3390/e22040480
APA StyleDeebani, W., Tassaddiq, A., Shah, Z., Dawar, A., & Ali, F. (2020). Hall Effect on Radiative Casson Fluid Flow with Chemical Reaction on a Rotating Cone through Entropy Optimization. Entropy, 22(4), 480. https://doi.org/10.3390/e22040480

