Cluster Structure of Optimal Solutions in Bipartitioning of Small Worlds
Abstract
1. Introduction
2. Model and Simulated Annealing
3. Results
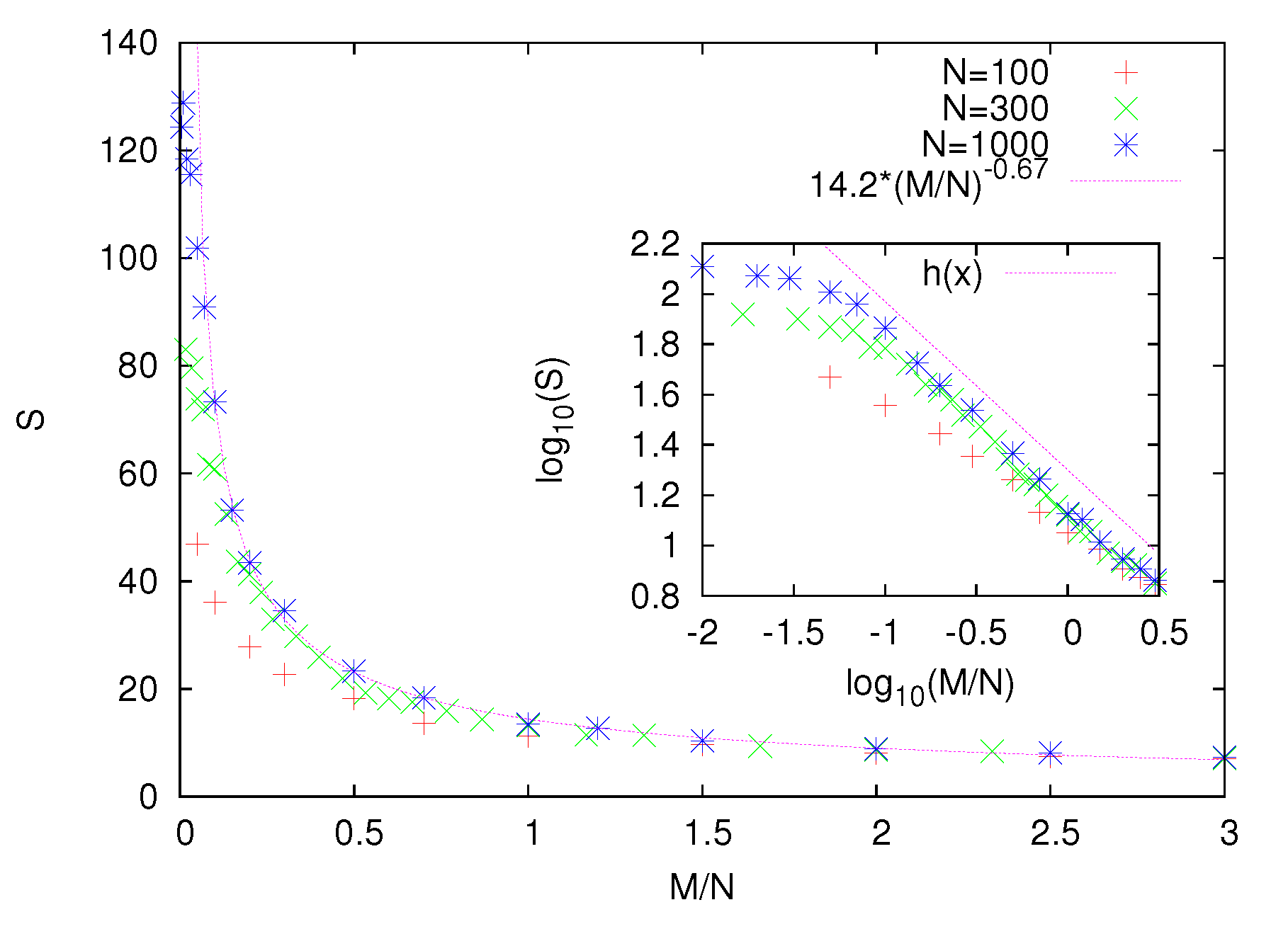
3.1. d = 1
3.2. d = 2
4. Conclusions
Author Contributions
Funding
Conflicts of Interest
References
- Hartmann, A.K.; Weigt, M. Phase Transitions in Combinatorial Optimization Problems: Basics, Algorithms and Statistical Mechanics; John Wiley & Sons: Chichester, UK, 2006. [Google Scholar]
- Krzakala, F.; Ricci-Tersenghi, F.; Zdeborova, L.; Zecchina, R.; Tramel, E.W.; Cugli, L.F. (Eds.) Statistical Physics, Optimization, Inference, and Message-Passing Algorithms; Number 2013 in Lecture Notes of the Les Houches; Oxford University Press: Oxford, UK, 2016. [Google Scholar]
- Karypis, G.; Aggarwal, R.; Kumar, V.; Shekhar, S. Multilevel hypergraph partitioning: Applications in VLSI domain. IEEE Trans. Very Large Scale Integr. VLSI Syst. 1999, 7, 69–79. [Google Scholar] [CrossRef]
- Pothen, A. Graph partitioning algorithms with applications to scientific computing. In Parallel Numerical Algorithms; Springer: Berlin/Heidelberger, Germany, 1997; pp. 323–368. [Google Scholar]
- Kolmogorov, V.; Zabin, R. What energy functions can be minimized via graph cuts? IEEE Trans. Pattern Anal. Mach. Intell. 2004, 26, 147–159. [Google Scholar] [CrossRef] [PubMed]
- Banavar, J.R.; Sherrington, D.; Sourlas, N. Graph bipartitioning and statistical mechanics. J. Phys. A 1987, 20, L1. [Google Scholar] [CrossRef]
- Schreiber, G.R.; Martin, O.C. Cut size statistics of graph bisection heuristics. SIAM J. Optim. 1999, 10, 231–251. [Google Scholar] [CrossRef]
- Boettcher, S.; Percus, A.G. Extremal optimization for graph partitioning. Phys. Rev. E 2001, 64, 026114. [Google Scholar] [CrossRef] [PubMed]
- Fu, Y.; Anderson, P.W. Application of statistical mechanics to NP-complete problems in combinatorial optimisation. J. Phys. A 1986, 19, 1605. [Google Scholar] [CrossRef]
- Liao, W. Graph bipartitioning problem. Phys. Rev. Lett. 1987, 59, 1625. [Google Scholar] [CrossRef] [PubMed]
- Mézard, M.; Parisi, G. Mean-field theory of randomly frustrated systems with finite connectivity. EPL 1987, 3, 1067. [Google Scholar] [CrossRef]
- Percus, A.G.; Istrate, G.; Gonçalves, B.; Sumi, R.Z.; Boettcher, S. The peculiar phase structure of random graph bisection. J. Math. Phys. 2008, 49, 125219. [Google Scholar] [CrossRef]
- Šulc, P.; Zdeborová, L. Belief propagation for graph partitioning. J. Phys. A 2010, 43, 285003. [Google Scholar] [CrossRef]
- Lipowski, A.; Ferreira, A.L.; Lipowska, D.; Barroso, M.A. Bipartitioning of directed and mixed random graphs. J. Stat. Mech. Theory Exp. 2019, 2019, 083301. [Google Scholar] [CrossRef]
- Watts, D.J.; Strogatz, S.H. Collective dynamics of ‘small world’ networks. Nature 1998, 393, 440–442. [Google Scholar] [CrossRef] [PubMed]
- Newman, M.E.; Barabási, A.L.E.; Watts, D.J. The Structure and Dynamics of Networks; Princeton University Press: Princeton, NJ, USA, 2006. [Google Scholar]
- Lopes, J.V.; Pogorelov, Y.G.; Lopes dos Santos, J.M.B.; Toral, R. Exact solution of Ising model on a small world network. Phys. Rev. E 2004, 70, 026112. [Google Scholar] [CrossRef] [PubMed]
- Capraro, V.; Perc, M.; Vilone, D. Lying on networks: The role of structure and topology in promoting honesty. Phys. Rev. E 2020, 101, 032305. [Google Scholar] [CrossRef] [PubMed]
- Liu, M.; Li, D.; Qin, P.; Liu, C.; Wang, H.; Wang, F. Epidemics in interconnected small world networks. PLoS ONE 2015, 10, e0120701. [Google Scholar] [CrossRef] [PubMed]
- Kirkpatrick, S.; Gelatt, C.D.; Vecchi, M.P. Optimization by simulated annealing. Science 1983, 220, 671–680. [Google Scholar] [CrossRef] [PubMed]
- Marinari, E.; Parisi, G.; Ricci-Tersenghi, F.; Ruiz-Lorenzo, J.J.; Zuliani, F. Replica symmetry breaking in short-range spin glasses: Theoretical foundations and numerical evidences. J. Stat. Phys. 2000, 98, 973–1074. [Google Scholar] [CrossRef]
- Katzgraber, H.G.; Palassini, M.; Young, A. Monte Carlo simulations of spin glasses at low temperatures. Phys. Rev. B 2001, 63, 184422. [Google Scholar] [CrossRef]
- Krzakała, F.; Montanari, A.; Ricci-Tersenghi, F.; Semerjian, G.; Zdeborová, L. Gibbs states and the set of solutions of random constraint satisfaction problems. Proc. Natl. Acad. Sci. USA 2007, 104, 10318–10323. [Google Scholar] [CrossRef] [PubMed]
- Monasson, R. Optimization problems and replica symmetry breaking in finite connectivity spin glasses. J. Phys. A 1998, 31, 513. [Google Scholar] [CrossRef]
- Stauffer, D.; Aharony, A. Introduction to Percolation Theory; CRC Press: New York, NY, USA, 2018. [Google Scholar]
- Huang, K. Statistical Mechanics; John Wiley & Sons: Chichester, UK, 1987. [Google Scholar]









Publisher’s Note: MDPI stays neutral with regard to jurisdictional claims in published maps and institutional affiliations. |
© 2020 by the authors. Licensee MDPI, Basel, Switzerland. This article is an open access article distributed under the terms and conditions of the Creative Commons Attribution (CC BY) license (http://creativecommons.org/licenses/by/4.0/).
Share and Cite
Lipowski, A.; Ferreira, A.L.; Lipowska, D. Cluster Structure of Optimal Solutions in Bipartitioning of Small Worlds. Entropy 2020, 22, 1319. https://doi.org/10.3390/e22111319
Lipowski A, Ferreira AL, Lipowska D. Cluster Structure of Optimal Solutions in Bipartitioning of Small Worlds. Entropy. 2020; 22(11):1319. https://doi.org/10.3390/e22111319
Chicago/Turabian StyleLipowski, Adam, António L. Ferreira, and Dorota Lipowska. 2020. "Cluster Structure of Optimal Solutions in Bipartitioning of Small Worlds" Entropy 22, no. 11: 1319. https://doi.org/10.3390/e22111319
APA StyleLipowski, A., Ferreira, A. L., & Lipowska, D. (2020). Cluster Structure of Optimal Solutions in Bipartitioning of Small Worlds. Entropy, 22(11), 1319. https://doi.org/10.3390/e22111319

