Information Geometry for Covariance Estimation in Heterogeneous Clutter with Total Bregman Divergence
Abstract
:1. Introduction
2. Problem Formulated from Information Geometry
3. Total Bregman Divergence-Based Estimators on the Manifold
3.1. The Geometry of HPD Matrices
3.2. Total Bregman Divergence
3.3. Total Bregman Divergence Median for HPD Matrices
4. Robustness Analysis of Total Bregman Divergence Median
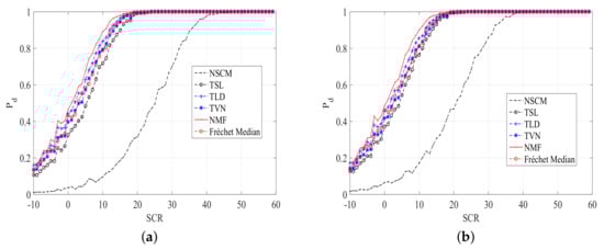
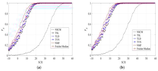
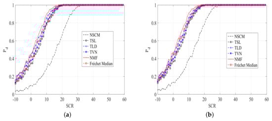
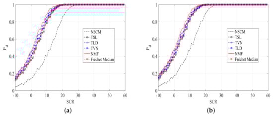
5. Numerical Simulations
6. Conclusions
Acknowledgments
Author Contributions
Conflicts of Interest
References
- Koichi, I.; Yu, I. On The Covariance Matrix in Array Signal Processing. IEICE technical report. Antennas and propagation. 2014, 114, 85–90. [Google Scholar]
- Fuhrmann, D.R. Application of Toeplitz covariance estimation to adaptive beamforming and detection. IEEE Trans. Signal Process. 2002, 39, 2194–2198. [Google Scholar] [CrossRef]
- Samuli, V.; Hannu, O.; Visa, K. Multichannel signal processing using spatial rank covariance matrices. In Proceedings of the IEEE Eurasip Workshop on Nonlinear Signal and Image Processing, Antalya, Turkey, 20–23 June 1999; pp. 75–79. [Google Scholar]
- Williams, D.B.; Johnson, D.H. Robust estimation of structured covariance matrices. IEEE Trans. Signal Process. 1993, 41, 2891–2906. [Google Scholar] [CrossRef]
- Carotenuto, V.; De Maio, A.; Orlando, D.; Pallotta, L. Adaptive Radar Detection Using Two Sets of Training Data. IEEE Trans. Signal Process. 2018, 66, 1791–1801. [Google Scholar] [CrossRef]
- Ciuonzo, D.; Orlando, D.; Pallotta, L. On the Maximal Invariant Statistic for Adaptive Radar Detection in Partially Homogeneous Disturbance With Persymmetric Covariance. IEEE Signal Process. Lett. 2016, 23, 1830–1834. [Google Scholar] [CrossRef]
- Maio, A.D.; Orlando, D. An Invariant Approach to Adaptive Radar Detection Under Covariance Persymmetry. IEEE Trans. Signal Process. 2015, 63, 1297–1309. [Google Scholar] [CrossRef]
- Diego, C.; Ingo, W. Joint Monostatic and Bistatic STAP for Improved SAR-GMTI Capabilities. IEEE Trans. Geosci. Remote Sens. 2016, 54, 1834–1848. [Google Scholar]
- Barton, T.; Smith, S. Structured Covariance Estimation for Space-Time Adaptive Processing. In Proceedings of the IEEE International Conference on Acoustics, Speech, and Signal Processing, Munich, Germany, 21–24 April 1997; pp. 3493–3496. [Google Scholar]
- Semeniaka, A.V.; Lekhovitskiy, D.I.; Rachkov, D.S. Comparative analysis of Toeplitz covariance matrix estimation methods for space-time adaptive signal processing. In Proceedings of the IEEE CIE International Conference on Radar, Chengdu, China, 24–27 October 2011; pp. 696–699. [Google Scholar]
- Reed, I.S.; Mallett, J.D.; Brennan, L.E. Rapid Convergence Rate in Adaptive Arrays. IEEE Trans. Aerosp. Electron. Syst. 1974, AES-10, 853–863. [Google Scholar] [CrossRef]
- Marc, A.; Frederic, B.; Le, Y. Riemannian Medians and Means With Applications to Radar Signal Processing. IEEE J. Sel. Top. Signal Process. 2013, 7, 595–604. [Google Scholar]
- Le, Y. Medians of probability measures in Riemannian manifolds and applications to radar target detection. Actas Urol. Esp. 2012, 31, 651–659. [Google Scholar]
- Lapuyade-Lahorgue, J.; Barbaresco, F. Radar detection using Siegel distance between autoregressive processes, application to HF and X-band radar. In Proceedings of the IEEE Radar Conference, Rome, Italy, 26–30 May 2008; pp. 1–6. [Google Scholar]
- Hua, X.; Cheng, Y.; Li, Y.; Shi, Y.; Wang, H.; Qin, Y. Target Detection in Sea Clutter via Weighted Averaging Filter on the Riemannian Manifold. Aerosp. Sci. Technol. 2017, 70, 47–54. [Google Scholar] [CrossRef]
- Cheng, Y.; Hua, X.; Wang, H.; Qin, Y.; Li, X. The Geometry of Signal Detection with Applications to Radar Signal Processing. Entropy 2016, 18, 381. [Google Scholar] [CrossRef]
- Ruiz, M.; Barbaresco, F. Radar detection for non-stationary Doppler signal in one burst based on information geometry distance between paths. In Proceedings of the 2015 EuropeanRadar Conference (EuRAD), Paris, France, 9–11 September 2015; pp. 422–427. [Google Scholar]
- Alexis, D.; Frederic, B. Robust Burg estimation of radar scatter matrix for autoregressive structured SIRV based on Frechet medians. IET Radar Sonar Navig. 2016, 11, 78–89. [Google Scholar]
- Frederic, B. Information geometry of covariance matrix: Cartan-Siegel homogeneous bounded domains, Mostow/Berger fibration and Frechet median. In Matrix Information Geometry; Springer: Berlin/Heidelberg, Germany, 2013; pp. 199–255. [Google Scholar]
- Jeuris, B.; Vandebril, R. Averaging block Toeplitz matrices with preservation of Toeplitz block structure. In Proceedings of the SIAM Conference on Applied Linear Algebra, Atlanta, GA, USA, 26–30 October 2015. [Google Scholar]
- Balaji, B.; Barbaresco, F. Application of Riemannian mean of covariance matrices to space-time adaptive processing. In Proceedings of the 9th European IEEE Radar Conference, Amsterdam, The Netherlands, 31 October–2 November 2012; pp. 50–53. [Google Scholar]
- Balaji, B. Riemannian mean and space-time adaptive processing using projection and inversion algorithms. Proc. SPIE 2013, 8714, 813–831. [Google Scholar]
- Balaji, B.; Barbaresco, F.; Decurninge, A. Information geometry and estimation of Toeplitz covariance matrices. In Proceedings of the International IEEE Radar Conference, Lille, France, 13–17 October 2014; pp. 1–4. [Google Scholar]
- Aubry, A.; Maio, A.D.; Pallotta, L.; Farina, A. Covariance matrix estimation via geometric barycenters and its application to radar training data selection. IET Radar Sonar Navig. 2013, 7, 600–614. [Google Scholar] [CrossRef]
- Aubry, A.; Maio, A.D.; Pallotta, L.; Farina, A. Median matrices and their application to radar training data selection. IET Radar Sonar Navig. 2013, 8, 265–274. [Google Scholar] [CrossRef]
- Aubry, A.; De Maio, A.; Pallotta, L. A geometric approach to covariance matrix estimation and its applications to radar problems. IEEE Trans. Signal Process. 2017, 66, 907–922. [Google Scholar] [CrossRef]
- Cui, G.; Li, N.; Pallotta, L.; Foglia, G.; Kong, L. Geometric Barycenters for Covariance Estimation in Compound-Gaussian Clutter. IET Radar Sonar Navig. 2017, 11, 404–409. [Google Scholar] [CrossRef]
- Hua, X.; Cheng, Y.; Wang, H.; Qin, Y.; Li, Y. Geometric means and medians with applications to target detection. IET Signal Process. 2017, 11, 711–720. [Google Scholar] [CrossRef]
- Hua, X.; Cheng, Y.; Wang, H.; Qin, Y.; Li, Y.; Zhang, W. Matrix CFAR detectors based on symmetrized Kullback Leibler and total Kullback Leibler divergences. Digit. Signal Process. 2017, 69, 106–116. [Google Scholar] [CrossRef]
- Malek, C.; Zeineb, C.; Maher, M.; Vemuri, B.C. Using the Bhattacharyya Mean for the Filtering and Clustering of Positive-Definite Matrices. In Geometric Science of Information: First International Conference, GSI 2013; Springer: Berlin/Heidelberg, Germany, 2013; pp. 551–558. [Google Scholar]
- Malek, C.; Zeineb, C.; Maher, M.; Vemuri, B.C. Bhattacharyya median of symmetric positive-definite matrices and application to the denoising of diffusion-tensor fields. In Proceedings of the IEEE 10th International Symposium on Biomedical Imaging (ISBI), San Francisco, CA, USA, 7–11 April 2013; pp. 1227–1230. [Google Scholar]
- Rhatia, R. Positive Definite Matrices; Princeton University Press: Princeton, NJ, USA, 2007. [Google Scholar]
- Hiai, F.; Petz, D. Riemannian metrics on positive definite matrices related to means. Linear Algebra Its Appl. 2008, 430, 3105–3130. [Google Scholar] [CrossRef]
- Bridson, M.R.; Andre, H. Metric Spaces of Nonpositive Curvature; Springer: Berlin, Germany, 1999; pp. 52–65. [Google Scholar]
- Suvrit, S. Positive definite matrices and the S divergence. Proc. Am. Math. Soc. 2011, 144, 1–25. [Google Scholar]
- Hua, X.; Cheng, Y.; Wang, H.; Qin, Y. Robust covariance estimators based on information divergences and riemannian manifold. Entropy 2018, 20, 219. [Google Scholar] [CrossRef]
- Maher, M. On the Averaging of Symmetric Positive Definite Tensors. J. Elast. 2006, 82, 273–296. [Google Scholar]
- Lang, S. Fundamentals of Differential Geometry. Graduate Texts in Mathematics; Springer: New York, NY, USA, 1946; pp. 1757–1764. [Google Scholar]
- Maher, M. A differential geometric approach to the geometric mean of symmetric positive-definite matrices. Siam J. Matrix Anal. Appl. 2008, 26, 735–747. [Google Scholar]
- Vemuri, B.C.; Liu, M.; Amari, S.I.; Nielsen, F. Total bregman divergence and its applications to DTI analysis. IEEE Trans. Med. Imaging 2011, 30, 475–483. [Google Scholar] [CrossRef] [PubMed]
- Liu, M.; Vemuri, B.C.; Amari, S.I.; Nielsen, F. Total Bregman divergence and its applications to shape retrieval. In Proceedings of the IEEE Conference on Computer Vision and Pattern Recognition, San Francisco, USA, 13–18 June 2010; pp. 3463–3468. [Google Scholar]
- Liu, M.; Vemuri, B.C.; Amari, S.I.; Nielsen, F. Shape retrieval using hierarchical total Bregman soft clustering. IEEE Trans. Pattern Anal. Mach. Intell. 2012, 34, 2407–2419. [Google Scholar] [PubMed]
- Teran, A.R.M.Y.; Gouiffes, M.; Lacassagne, L. Total Bregman Divergence for Multiple Object Tracking. In Proceedings of the IEEE International Conference on Image Processing, Melbourne, Australia, 15–18 September 2013. [Google Scholar]







© 2018 by the authors. Licensee MDPI, Basel, Switzerland. This article is an open access article distributed under the terms and conditions of the Creative Commons Attribution (CC BY) license (http://creativecommons.org/licenses/by/4.0/).
Share and Cite
Hua, X.; Cheng, Y.; Wang, H.; Qin, Y. Information Geometry for Covariance Estimation in Heterogeneous Clutter with Total Bregman Divergence. Entropy 2018, 20, 258. https://doi.org/10.3390/e20040258
Hua X, Cheng Y, Wang H, Qin Y. Information Geometry for Covariance Estimation in Heterogeneous Clutter with Total Bregman Divergence. Entropy. 2018; 20(4):258. https://doi.org/10.3390/e20040258
Chicago/Turabian StyleHua, Xiaoqiang, Yongqiang Cheng, Hongqiang Wang, and Yuliang Qin. 2018. "Information Geometry for Covariance Estimation in Heterogeneous Clutter with Total Bregman Divergence" Entropy 20, no. 4: 258. https://doi.org/10.3390/e20040258
APA StyleHua, X., Cheng, Y., Wang, H., & Qin, Y. (2018). Information Geometry for Covariance Estimation in Heterogeneous Clutter with Total Bregman Divergence. Entropy, 20(4), 258. https://doi.org/10.3390/e20040258

