Hydrodynamic Force Evaluation by Momentum Exchange Method in Lattice Boltzmann Simulations
Abstract
:1. Introduction
2. The Lattice Boltzmann Method
3. The Momentum Exchange Method
3.1. The Original Particulate Suspensions by Ladd

3.2. The Direct Particle Simulations by Aidun et al.

3.3. The Improved Schemes by Caiazzo, Chen, Hu, et al.

3.4. The Galilean Invariant Hydrodynamics Force by Wen et al.





4. Refill of New Fluid Nodes


5. Applications
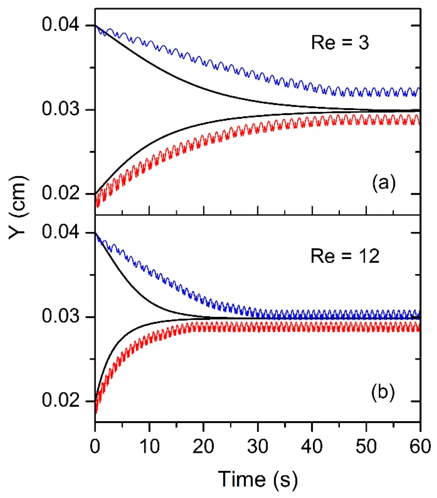
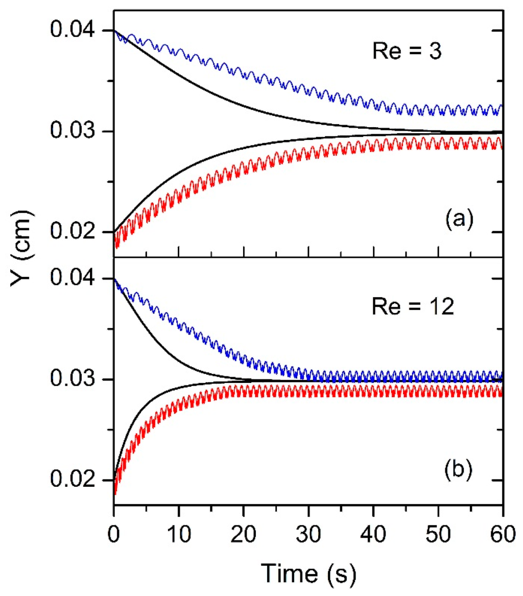
5.1. Rigid Particle Movements






5.2. Deformation Particle Interactions


5.3. Particle Suspensions in Turbulent Flow


5.4. Particle Suspensions in Multiphase Flow



6. Conclusions
Acknowledgments
Author Contributions
Conflicts of Interest
References
- Higuera, F.J.; Succi, S.; Benzi, R. Lattice gas dynamics with enhanced collisions. Europhys. Lett. 1989, 9, 345–349. [Google Scholar] [CrossRef]
- Qian, Y.H.; d’Humières, D.; Lallemand, P. Lattice BGK models for Navier–Stokes equation. Europhys. Lett. 1992, 17, 479–484. [Google Scholar] [CrossRef]
- Chen, S.Y.; Chen, H.D.; Martinez, D.; Matthaeus, W. Lattice boltzmann model for simulation of magnetohydrodynamics. Phys. Rev. Lett. 1991, 67, 3776–3779. [Google Scholar] [CrossRef] [PubMed]
- Chen, H.D.; Chen, S.Y.; Matthaeus, W.H. Recovery of the Navier–Stokes equations using a lattice-gas Boltzmann method. Phys. Rev. A 1992, 45, R5339–R5342. [Google Scholar] [CrossRef] [PubMed]
- Benzi, R.; Succi, S.; Vergassola, M. The lattice Boltzmann equation: Theory and applications. Phys. Rep. 1992, 222, 145–197. [Google Scholar] [CrossRef]
- Chen, S.; Doolen, G.D. Lattice Boltzmann method for fluid flows. Annu. Rev. Fluid Mech. 1998, 30, 329–364. [Google Scholar] [CrossRef]
- Aidun, C.K.; Clausen, J.R. Lattice-Boltzmann method for complex flows. Annu. Rev. Fluid Mech. 2010, 42, 439–472. [Google Scholar] [CrossRef]
- Dünweg, B.; Ladd, A.J.C. Lattice Boltzmann Simulations of Soft Matter Systems. In Advanced Computer Simulation Approaches for Soft Matter Sciences III; Springer: Berlin/Heidelberg, Germany, 2009; pp. 89–166. [Google Scholar]
- Chen, L.; Kang, Q.; Mu, Y.; He, Y.-L.; Tao, W.-Q. A critical review of the pseudopotential multiphase lattice Boltzmann model: Methods and applications. Int. J. Heat Mass Transf. 2014, 76, 210–236. [Google Scholar] [CrossRef]
- Ladd, A.J.C. Numerical simulations of particulate suspensions via a discretized Boltzmann equation. Part 1. Theoretical foundation. J. Fluid Mech. 1994, 271, 285–309. [Google Scholar] [CrossRef]
- Ladd, A.J.C. Numerical simulations of particulate suspensions via a discretized Boltzmann equation. Part 2. Numerical results. J. Fluid Mech. 1994, 271, 311–339. [Google Scholar] [CrossRef]
- Aidun, C.K.; Lu, Y.N.; Ding, E.-J. Direct analysis of particulate suspensions with inertia using the discrete Boltzmann equation. J. Fluid Mech. 1998, 373, 287–311. [Google Scholar] [CrossRef]
- Wen, B.; Zhang, C.; Tu, Y.; Wang, C.; Fang, H. Galilean invariant fluid–solid interfacial dynamics in lattice Boltzmann simulations. J. Comput. Phys. 2014, 266, 161–170. [Google Scholar] [CrossRef]
- He, X.; Doolen, G. Lattice Boltzmann method on curvilinear coordinates system: Flow around a circular cylinder. J. Comput. Phys. 1997, 134, 306–315. [Google Scholar] [CrossRef]
- Inamuro, T.; Maeba, K.; Ogino, F. Flow between parallel walls containing the lines of neutrally buoyant circular cylinders. Int. J. Multiph. Flow 2000, 26, 1981–2004. [Google Scholar] [CrossRef]
- Li, H.; Lu, X.; Fang, H.; Qian, Y. Force evaluations in lattice Boltzmann simulations with moving boundaries in two dimensions. Phys. Rev. E 2004, 70, 026701. [Google Scholar] [CrossRef] [PubMed]
- Peskin, C.S. Numerical analysis of blood flow in the heart. J. Comput. Phys. 1977, 25, 220–252. [Google Scholar] [CrossRef]
- Feng, Z.-G.; Michaelides, E.E. The immersed boundary-lattice Boltzmann method for solving fluid–particles interaction problems. J. Comput. Phys. 2004, 195, 602–628. [Google Scholar] [CrossRef]
- Zhou, Q.; Fan, L.-S. A second-order accurate immersed boundary-lattice Boltzmann method for particle-laden flows. J. Comput. Phys. 2014, 268, 269–301. [Google Scholar] [CrossRef]
- Wen, B.; Li, H.; Zhang, C.; Fang, H. Lattice-type-dependent momentum-exchange method for moving boundaries. Phys. Rev. E 2012, 85, 016704. [Google Scholar] [CrossRef] [PubMed]
- Caiazzo, A.; Junk, M.; Rheinländer, M. Comparison of analysis techniques for the lattice Boltzmann method. Comput. Math. Appl. 2009, 58, 883–897. [Google Scholar] [CrossRef]
- Chen, Y.; Cai, Q.; Xia, Z.; Wang, M.; Chen, S. Momentum-exchange method in lattice Boltzmann simulations of particle-fluid interactions. Phys. Rev. E 2013, 88, 013303. [Google Scholar] [CrossRef] [PubMed]
- Lallemand, P.; Luo, L.-S. Theory of the lattice Boltzmann method: Dispersion, dissipation, isotropy, Galilean invariance, and stability. Phys. Rev. E 2000, 61, 6546–6562. [Google Scholar] [CrossRef]
- D’Humières, D.; Ginzburg, I.; Krafczyk, M.; Lallemand, P.; Luo, L.-S. Multiple-relaxation-time lattice Boltzmann models in three dimensions. Philos. Trans. R. Soc. Lond. A 2002, 360, 437–451. [Google Scholar] [CrossRef] [PubMed]
- Ginzburg, I.; Verhaeghe, F.; d’Humières, D. Two-relaxation-time lattice Boltzmann scheme: About parametrization, velocity, pressure and mixed boundary conditions. Commun. Comput. Phys. 2008, 3, 427–478. [Google Scholar]
- Karlin, I.V.; Ferrante, A.; Öttinger, H.C. Perfect entropy functions of the lattice Boltzmann method. Europhys. Lett. 1999, 47, 182–188. [Google Scholar] [CrossRef]
- Succi, S.; Karlin, I.V.; Chen, H. Colloquium: Role of the H theorem in lattice Boltzmann hydrodynamic simulations. Rev. Mod. Phys. 2002, 74, 1203–1220. [Google Scholar] [CrossRef]
- D’Humières, D. Generalized lattice-Boltzmann equations. Rarefied Gas Dyn. 1994, 159, 450–458. [Google Scholar]
- Luo, L.-S. Theory of the lattice Boltzmann method: Lattice Boltzmann models for nonideal gases. Phys. Rev. E 2000, 62, 4982–4996. [Google Scholar] [CrossRef]
- Luo, L.-S.; Liao, W.; Chen, X.; Peng, Y.; Zhang, W. Numerics of the lattice Boltzmann method: Effects of collision models on the lattice Boltzmann simulations. Phys. Rev. E 2011, 83, 056710. [Google Scholar] [CrossRef] [PubMed]
- Ladd, A.J.C.; Verberg, R. Lattice-Boltzmann simulations of particle-fluid suspensions. J. Stat. Phys. 2001, 104, 1191–1251. [Google Scholar] [CrossRef]
- Nguyen, N.-Q.; Ladd, A.J.C. Lubrication corrections for lattice-Boltzmann simulations of particle suspensions. Phys. Rev. E 2002, 66, 046708. [Google Scholar] [CrossRef] [PubMed]
- Nguyen, N.-Q.; Ladd, A.J.C. Sedimentation of hard-sphere suspensions at low Reynolds number. J. Fluid Mech. 2005, 525, 73–104. [Google Scholar] [CrossRef]
- Başağaoğlu, H.; Meakin, P.; Succi, S.; Redden, G.R.; Ginn, T.R. Two-dimensional lattice Boltzmann simulation of colloid migration in rough-walled narrow flow channels. Phys. Rev. E 2008, 77, 031405. [Google Scholar] [CrossRef] [PubMed]
- Başağaoğlu, H.; Allwein, S.; Succi, S.; Dixon, H.; Carrola, J.T., Jr.; Stothoff, S. Two-and three-dimensional lattice Boltzmann simulations of particle migration in microchannels. Microfluid. Nanofluid. 2013, 15, 785–796. [Google Scholar] [CrossRef]
- Aidun, C.K.; Lu, Y. Lattice Boltzmann simulation of solid particles suspended in fluid. J. Stat. Phys. 1995, 81, 49–61. [Google Scholar] [CrossRef]
- Mei, R.; Yu, D.; Shyy, W.; Luo, L.-S. Force evaluation in the lattice Boltzmann method involving curved geometry. Phys. Rev. E 2002, 65, 041203. [Google Scholar] [CrossRef] [PubMed]
- Filippova, O.; Hänel, D. Grid refinement for lattice-BGK models. J. Comput. Phys. 1998, 147, 219–228. [Google Scholar] [CrossRef]
- Mei, R.; Luo, L.-S.; Shyy, W. An accurate curved boundary treatment in the lattice Boltzmann method. J. Comput. Phys. 1999, 155, 307–330. [Google Scholar] [CrossRef]
- Mei, R.; Shyy, W.; Yu, D.; Luo, L.-S. Lattice Boltzmann method for 3-D flows with curved boundary. J. Comput. Phys. 2000, 161, 680–699. [Google Scholar] [CrossRef]
- Ding, E.-J.; Aidun, C.K. Extension of the lattice-Boltzmann method for direct simulation of suspended particles near contact. J. Stat. Phys. 2003, 112, 685–708. [Google Scholar] [CrossRef]
- Bouzidi, M.; Firdaouss, M.; Lallemand, P. Momentum transfer of a Boltzmann-lattice fluid with boundaries. Phys. Fluids 2001, 13, 3452–3459. [Google Scholar] [CrossRef]
- Guo, Z.L.; Zheng, C.G.; Shi, B.C. An extrapolation method for boundary conditions in lattice Boltzmann method. Phys. Fluids 2002, 14, 2007–2010. [Google Scholar] [CrossRef]
- Kao, P.-H.; Yang, R.-J. An investigation into curved and moving boundary treatments in the lattice Boltzmann method. J. Comput. Phys. 2008, 227, 5671–5690. [Google Scholar] [CrossRef]
- Bao, J.; Yuan, P.; Schaefer, L. A mass conserving boundary condition for the lattice Boltzmann equation method. J. Comput. Phys. 2008, 227, 8472–8487. [Google Scholar] [CrossRef]
- Segré, G.; Silberberg, A. Radial particle displacements in poiseuille flow of suspensions. Nature 1961, 189, 209–210. [Google Scholar] [CrossRef]
- Karnis, A.; Goldsmith, H.L.; Mason, S.G. The flow of suspensions through tubes: V. inertial effects. Can. J. Chem. Eng. 1966, 44, 181–193. [Google Scholar] [CrossRef]
- Caiazzo, A.; Junk, M. Boundary forces in lattice Boltzmann: Analysis of momentum exchange algorithm. Comput. Math. Appl. 2008, 55, 1415–1423. [Google Scholar] [CrossRef]
- Clausen, J.R.; Aidun, C.K. Galilean invariance in the lattice-Boltzmann method and its effect on the calculation of rheological properties in suspensions. Int. J. Multiph. Flow 2009, 35, 307–311. [Google Scholar] [CrossRef]
- Lorenz, E.; Caiazzo, A.; Hoekstra, A.G. Corrected momentum exchange method for lattice Boltzmann simulations of suspension flow. Phys. Rev. E 2009, 79, 036705. [Google Scholar] [CrossRef] [PubMed]
- Lorenz, E.; Hoekstra, A.G.; Caiazzo, A. Lees-edwards boundary conditions for lattice Boltzmann suspension simulations. Phys. Rev. E 2009, 79, 036706. [Google Scholar] [CrossRef] [PubMed]
- Hu, Y.; Li, D.; Shu, S.; Niu, X. Modified momentum exchange method for fluid-particle interactions in the lattice Boltzmann method. Phys. Rev. E 2015, 91, 033301. [Google Scholar] [CrossRef] [PubMed]
- Huang, H.; Yang, X.; Krafczyk, M.; Lu, X.-Y. Rotation of spheroidal particles in couette flows. J. Fluid Mech. 2012, 692, 369–394. [Google Scholar] [CrossRef]
- Luo, L.-S. Unified theory of lattice Boltzmann models for nonideal gases. Phys. Rev. Lett. 1998, 81, 1618–1621. [Google Scholar] [CrossRef]
- Guo, Z.; Zheng, C.; Shi, B. Discrete lattice effects on the forcing term in the lattice Boltzmann method. Phys. Rev. E 2002, 65, 046308. [Google Scholar] [CrossRef] [PubMed]
- Lallemand, P.; Luo, L.-S. Lattice Boltzmann method for moving boundaries. J. Comput. Phys. 2003, 184, 406–421. [Google Scholar] [CrossRef]
- Qian, Y.-H.; Zhou, Y. Complete Galilean-invariant lattice BGK models for the Navier–Stokes equation. Europhys. Lett. 1998, 42, 359–364. [Google Scholar] [CrossRef]
- Krithivasan, S.; Wahal, S.; Ansumali, S. Diffused bounce-back condition and refill algorithm for the lattice Boltzmann method. Phys. Rev. E 2014, 89, 033313. [Google Scholar] [CrossRef] [PubMed]
- Ginzburg, I.; d’Humières, D. Multireflection boundary conditions for lattice Boltzmann models. Phys. Rev. E 2003, 68, 066614. [Google Scholar] [CrossRef] [PubMed]
- Hu, H.H.; Joseph, D.D.; Crochet, M.J. Direct simulation of fluid particle motions. Theor. Comput. Fluid Dyn. 1992, 3, 285–306. [Google Scholar] [CrossRef]
- Hu, H.H.; Patankar, N.A.; Zhu, M.Y. Direct Numerical Simulations of Fluid–Solid Systems Using the Arbitrary Lagrangian–Eulerian Technique. J. Comput. Phys. 2001, 169, 427–462. [Google Scholar] [CrossRef]
- Peng, C.; Teng, Y.; Hwang, B.; Guo, Z.; Wang, L.-P. Implementation issues and benchmarking of lattice Boltzmann method for moving rigid particle simulations in a viscous flow. Comput. Math. Appl. 2015, in press. [Google Scholar] [CrossRef]
- Caiazzo, A. Analysis of lattice Boltzmann nodes initialisation in moving boundary problems. Prog. Comput. Fluid Dyn. 2008, 8, 3–10. [Google Scholar] [CrossRef]
- Ansumali, S.; Karlin, I.V. Kinetic boundary conditions in the lattice Boltzmann method. Phys. Rev. E 2002, 66, 026311. [Google Scholar] [CrossRef] [PubMed]
- Tang, G.H.; Tao, W.Q.; He, Y.L. Lattice Boltzmann method for gaseous microflows using kinetic theory boundary conditions. Phys. Fluids 2005, 17, 058101. [Google Scholar] [CrossRef]
- Guo, Z.L.; Shi, B.; Zhao, T.S.; Zheng, C. Discrete effects on boundary conditions for the lattice Boltzmann equation in simulating microscale gas flows. Phys. Rev. E 2007, 76, 056704. [Google Scholar] [CrossRef] [PubMed]
- Fang, H.; Wang, Z.; Lin, Z.; Liu, M. Lattice Boltzmann method for simulating the viscous flow in large distensible blood vessels. Phys. Rev. E 2002, 65, 051925. [Google Scholar] [CrossRef] [PubMed]
- Wan, R.-Z.; Fang, H.-P.; Lin, Z.; Chen, S. Lattice Boltzmann simulation of a single charged particle in a Newtonian fluid. Phys. Rev. E 2003, 68, 011401. [Google Scholar] [CrossRef] [PubMed]
- Li, H.; Fang, H.; Lin, Z.; Xu, S.X.; Chen, S. Lattice Boltzmann simulation on particle suspensions in a two-dimensional symmetric stenotic artery. Phys. Rev. E 2004, 69, 031919. [Google Scholar] [CrossRef] [PubMed]
- Zhang, C.-Y.; Shi, J.; Tan, H.-L.; Liu, M.-R.; Kong, L.-J. Sedimentation of a single charged elliptic cylinder in a Newtonian fluid by lattice Boltzmann method. Chin. Phys. Lett. 2004, 21, 1108–1110. [Google Scholar]
- Zhang, C.-Y.; Tan, H.-L.; Liu, M.-R.; Kong, L.-J.; Shi, J. Lattice Boltzmann simulation of sedimentation of a single charged elastic dumbbell in a Newtonian fluid. Chin. Phys. Lett. 2005, 22, 896–899. [Google Scholar]
- Qi, D. Lattice-Boltzmann simulations of particles in non-zero-Reynolds-number flows. J. Fluid Mech. 1999, 385, 41–62. [Google Scholar] [CrossRef]
- Fung, Y.C. Biomechanics; Springer: New York, NY, USA, 1981. [Google Scholar]
- Wen, B.-H.; Chen, Y.-Y.; Zhang, R.-L.; Zhang, C.-Y.; Fang, H.-P. Lateral migration and nonuniform rotation of biconcave particle suspended in Poiseuille flow. Chin. Phys. Lett. 2013, 30, 064701. [Google Scholar] [CrossRef]
- Xia, Z.; Connington, K.W.; Rapaka, S.; Yue, P.; Feng, J.J.; Chen, S. Flow patterns in the sedimentation of an elliptical particle. J. Fluid Mech. 2009, 625, 249–272. [Google Scholar] [CrossRef]
- Reasor, D.A.; Mehrabadi, M.; Ku, D.N.; Aidun, C.K. Determination of critical parameters in platelet margination. Ann. Biomed. Eng. 2013, 41, 238–249. [Google Scholar] [CrossRef] [PubMed]
- MacMeccan, R.M.; Clausen, J.R.; Neitzel, G.P.; Aidun, C.K. Simulating deformable particle suspensions using a coupled lattice-Boltzmann and finite-element method. J. Fluid Mech. 2009, 618, 13–39. [Google Scholar] [CrossRef]
- Reasor, D.A., Jr.; Clausen, J.R.; Aidun, C.K. Coupling the lattice-Boltzmann and spectrin-link methods for the direct numerical simulation of cellular blood flow. Int. J. Numer. Meth. Fluids 2012, 68, 767–781. [Google Scholar] [CrossRef]
- Wu, J.; Aidun, C.K. Simulating 3D deformable particle suspensions using lattice Boltzmann method with discrete external boundary force. Int. J. Numer. Meth. Fluids 2010, 62, 765–783. [Google Scholar] [CrossRef]
- Mills, J.P.; Qie, L.; Dao, M.; Lim, C.T.; Suresh, S. Nonlinear elastic and viscoelastic deformation of the human red blood cell with optical tweezers. Mech. Chem. Biosys. 2004, 1, 169–180. [Google Scholar]
- Li, J.; Dao, M.; Lim, C.; Suresh, S. Spectrin-level modeling of the cytoskeleton and optical tweezers stretching of the erythrocyte. Biophys. J. 2005, 88, 3707–3719. [Google Scholar] [CrossRef] [PubMed]
- Melchionna, S.; Bernaschi, M.; Succi, S.; Kaxiras, E.; Rybicki, F.J.; Mitsouras, D.; Coskun, A.U.; Feldman, C.L. Hydrokinetic approach to large-scale cardiovascular blood flow. Comput. Phys. Commun. 2010, 181, 462–472. [Google Scholar] [CrossRef]
- Bernaschi, M.; Melchionna, S.; Succi, S.; Fyta, M.; Kaxiras, E.; Sircar, J.K. MUPHY: A parallel MUlti PHYsics/scale code for high performance bio-fluidic simulations. Comput. Phys. Commun. 2009, 180, 1495–1502. [Google Scholar] [CrossRef]
- Dao, M.; Lim, C.T.; Suresh, S. Mechanics of the human red blood cell deformed by optical tweezers. J. Mech. Phys. Solids 2003, 51, 2259–2280. [Google Scholar] [CrossRef]
- Gao, H.; Li, H.; Wang, L.-P. Lattice Boltzmann simulation of turbulent flow laden with finite-size particles. Comput. Math. Appl. 2013, 65, 194–210. [Google Scholar] [CrossRef]
- Wang, L.-P.; Ayala, O.; Gao, H.; Andersen, C.; Mathews, K.L. Study of forced turbulence and its modulation by finite-size solid particles using the lattice Boltzmann approach. Comput. Math. Appl. 2014, 67, 363–380. [Google Scholar] [CrossRef]
- Wang, L.-P.; Peng, C.; Guo, Z.; Yu, Z. Lattice Boltzmann simulation of particle-laden turbulent channel flow. Comput. Fluids 2016, 124, 226–236. [Google Scholar] [CrossRef]
- Zhang, J.-F.; Zhang, Q.-H. Lattice Boltzmann simulation of the flocculation process of cohesive sediment due to differential settling. Cont. Shelf Res. 2011, 31, S94–S105. [Google Scholar] [CrossRef]
- Zhang, J.; Zhang, Q.; Qiao, G. A lattice Boltzmann model for the non-equilibrium flocculation of cohesive sediments in turbulent flow. Comput. Math. Appl. 2014, 67, 381–392. [Google Scholar]
- Eswaran, V.; Pope, S.B. An examination of forcing in direct numerical simulations of turbulence. Comput. Fluids 1988, 16, 257–278. [Google Scholar] [CrossRef]
- Joshi, A.S.; Sun, Y. Multiphase lattice Boltzmann method for particle suspensions. Phys. Rev. E 2009, 79, 066703. [Google Scholar] [CrossRef] [PubMed]
- Shan, X.; Chen, H. Lattice Boltzmann model for simulating flows with multiple phases and components. Phys. Rev. E 1993, 47, 1815–1819. [Google Scholar] [CrossRef]
- Shan, X.; Chen, H. Simulation of nonideal gases and liquid-gas phase transitions by the lattice Boltzmann equation. Phys. Rev. E 1994, 49, 2941–2948. [Google Scholar] [CrossRef]
- Shan, X. Analysis and reduction of the spurious current in a class of multiphase lattice Boltzmann models. Phys. Rev. E 2006, 73, 047701. [Google Scholar] [CrossRef] [PubMed]
- Shan, X. Pressure tensor calculation in a class of nonideal gas lattice Boltzmann models. Phys. Rev. E 2008, 77, 066702. [Google Scholar] [CrossRef] [PubMed]
- Joshi, A.S.; Sun, Y. Wetting dynamics and particle deposition for an evaporating colloidal drop: A lattice Boltzmann study. Phys. Rev. E 2010, 82, 041401. [Google Scholar] [CrossRef] [PubMed]
- Joshi, A.S.; Sun, Y. Numerical simulation of colloidal drop deposition dynamics on patterned substrates for printable electronics fabrication. J. Disp. Tech. 2010, 6, 579–585. [Google Scholar] [CrossRef]
- Liang, G.; Zeng, Z.; Chen, Y.; Onishi, J.; Ohashi, H.; Chen, S. Simulation of self-assemblies of colloidal particles on the substrate using a lattice Boltzmann pseudo-solid model. J. Comput. Phys. 2013, 248, 323–338. [Google Scholar] [CrossRef]
- Jansen, F.; Harting, J. From bijels to pickering emulsions: A lattice Boltzmann study. Phys. Rev. E 2011, 83, 046707. [Google Scholar] [CrossRef] [PubMed]
- Günther, F.; Janoschek, F.; Frijters, S.; Harting, J. Lattice Boltzmann simulations of anisotropic particles at liquid interfaces. Comput. Fluids 2013, 80, 184–189. [Google Scholar] [CrossRef]
© 2015 by the authors; licensee MDPI, Basel, Switzerland. This article is an open access article distributed under the terms and conditions of the Creative Commons by Attribution (CC-BY) license (http://creativecommons.org/licenses/by/4.0/).
Share and Cite
Wen, B.; Zhang, C.; Fang, H. Hydrodynamic Force Evaluation by Momentum Exchange Method in Lattice Boltzmann Simulations. Entropy 2015, 17, 8240-8266. https://doi.org/10.3390/e17127876
Wen B, Zhang C, Fang H. Hydrodynamic Force Evaluation by Momentum Exchange Method in Lattice Boltzmann Simulations. Entropy. 2015; 17(12):8240-8266. https://doi.org/10.3390/e17127876
Chicago/Turabian StyleWen, Binghai, Chaoying Zhang, and Haiping Fang. 2015. "Hydrodynamic Force Evaluation by Momentum Exchange Method in Lattice Boltzmann Simulations" Entropy 17, no. 12: 8240-8266. https://doi.org/10.3390/e17127876
APA StyleWen, B., Zhang, C., & Fang, H. (2015). Hydrodynamic Force Evaluation by Momentum Exchange Method in Lattice Boltzmann Simulations. Entropy, 17(12), 8240-8266. https://doi.org/10.3390/e17127876
