Reducing Entropy Generation in MHD Fluid Flow over Open Parallel Microchannels Embedded in a Micropatterned Permeable Surface
Abstract
:1. Introduction
- To analyse entropy generation of an electrically conducting fluid flow over open parallel microchannels embedded within stationary permeable surface in the presence of a transverse magnetic field at PST.
- To evaluate the effects of the slip coefficient, magnetic parameter, permeability (suction/injection), surface temperature parameter as well as, number of open microchannels, group parameter and microchannels geometric parameters, on both entropy generation number and Bejan number.
- Finally, to evaluate the reduction of entropy generation by embedded open parallel microchannels within the permeable surface in order to reach a liquid transportation design in microscale MHD systems.
2. Flow and Heat Transfer Analysis

3. Entropy Generation Analysis
3.1. Entropy Generation Number
3.2. Bejan Number
4. Results and Discussion
| Pr | k′ | Ibrahim and Hassanien [36] | Present Results |
|---|---|---|---|
| 7 | 0 | 0.6459 | 0.6459 |
| −0.4 | 0.2343 | 0.2343 | |
| 1/3 | 0.8191 | 0.8191 | |
| 1 | 1.0435 | 1.0435 |
4.1. Effects on Velocity Field and Friction



4.2. Effects on Temperature Field and Heat Transfer

4.3. Effects on Entropy Generation Analysis
4.3.1. Effect of Slip Coefficient

4.3.2. Effect of Number of Embedded Open Parallel Microchannels

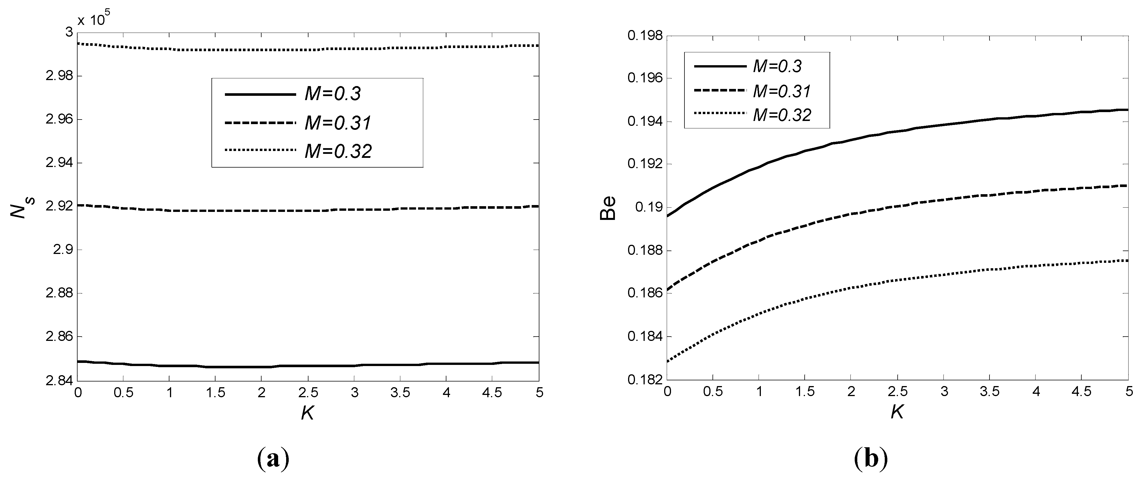
4.3.3. Effect of Magnetic Field

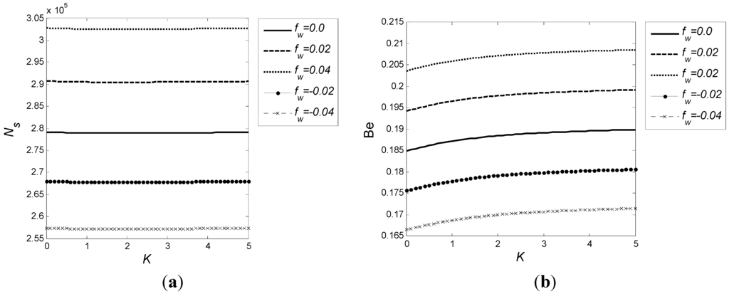
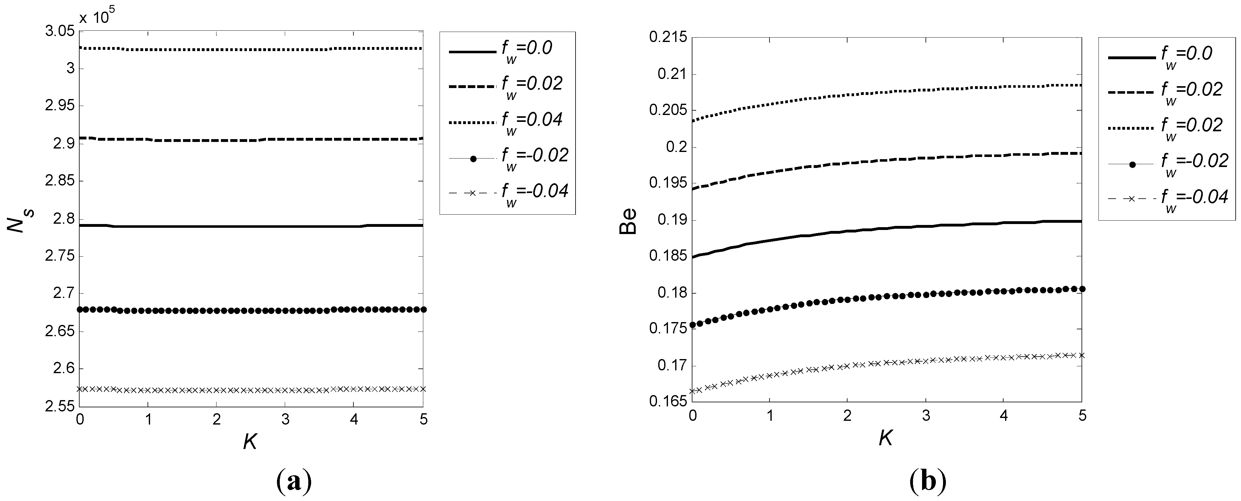
4.3.4. Effect of Suction/Injection

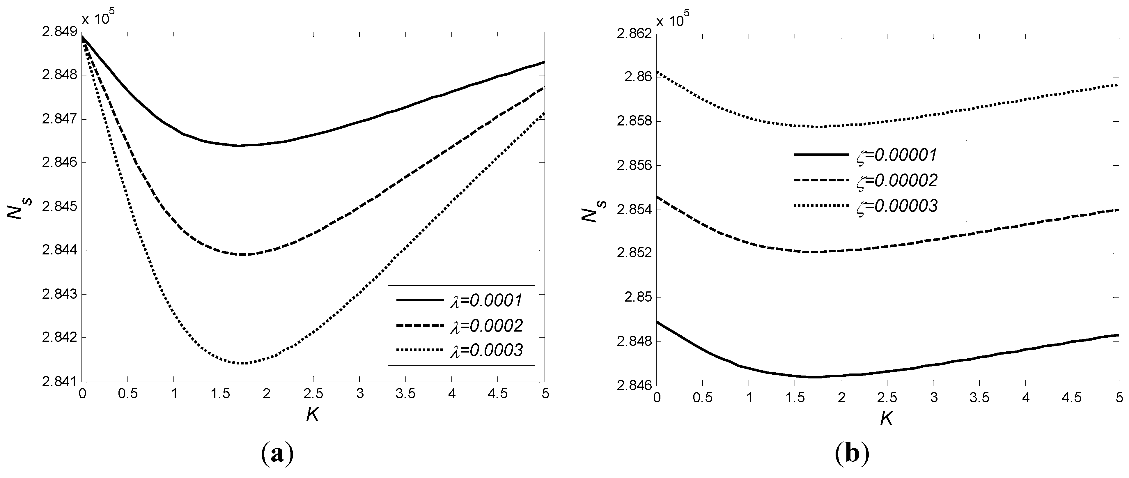
4.3.5. Effect of Non-Dimensional Geometric Parameters


4. Conclusions
Nomenclature
| A | a constant at prescribed surface temperature |
| B | magnetic induction [Wb m−2] |
| Be | Bejan number |
| Br | Brinkman number |
| Cf | local skin-friction coefficient |
| cp | specific heat at constant pressure [J kg−1 K−1] |
| d | depth of microchannel [m] |
| Ec | Eckert number |
| f | dimensionless function |
| fw | suction/injection parameter |
| K | slip coefficient |
| k∞ | thermal conductivity [W m−1 K−1] |
| k′ | surface temperature parameter |
| L | characteristic length scale [m] |
| l | slip length [m] |
| M | magnetic parameter |
| m′ | number of microchannels |
| Nux | local Nusselt number |
| P | Pressure [Pa] |
| Pr | Prandtl number |
| Rex | local Reynolds number |
| SF′′′ | friction irreversibilities [W m−3 K−1] |
| Sg′′′ | local volumetric rate of entropy generation [W m−3 K−1] |
| Sg′′ | local rate of entropy generation based on integration over width of the surface [W m−2 K−1] |
| Sg0′′ | characteristic entropy generation rate [W m−2 K−1] |
| SM′′′ | magnetic irreversibilities [W m−3 K−1] |
| ST′′′ | heat transfer irreversibilities [W m−3 K−1] |
| Tw | temperature at the surface [K] |
| T | temperature of the fluid within the boundary layer [K] |
| T∞ | temperature of the ambient fluid [K] |
| u∞ | free stream velocity [m s−1] |
| u, v | the x-, y-components of velocity [m s−1] |
| W | width of plate [m] |
| Ws | width of microchannel [m] |
| X | non-dimensional surface length, x L−1 |
| x, y | distance along and normal to the surface [m] |
| z | coordinate along width of the surface |
Greek
| α | thermal diffusivity [m2 s−1] |
| ζ | surface parameter, d W−1 |
| η | similarity variable |
| θ | dimensionless temperature |
| λ | surface parameter, (Ws + 2d) W−1 |
| μ∞ | dynamic viscosity [Pa s] |
| ν∞ | kinematic viscosity [m2 s−1] |
| ρ | fluid density [kg m−3] |
| σ | electrical conductivity of the fluid [S m−1] |
| Φ | irreversibility distribution ratio |
| Ω | dimensionless temperature difference |
Subscripts
| ns | no-slip condition |
| s | slip condition |
| w | surface condition |
| ∞ | ambient condition |
Conflicts of Interest
References
- Nisar, A.; Afzulpurkar, N.; Mahaisavariya, B.; Tuantranont, A. MEMS-based micropumps in drug delivery and biomedical applications. Sens. Actuators B Chem. 2008, 130, 917–942. [Google Scholar] [CrossRef]
- Ibáñez, G.; Cuevas, S. Entropy generation minimization of a MHD (magnetohydrodynamic) flow in a microchannel. Energy 2010, 35, 4149–4155. [Google Scholar] [CrossRef]
- Kleinstreuer, C.; Li, J.; Koo, J. Microfluidics of nano-drug delivery. Int. J. Heat Mass Trans. 2008, 51, 5590–5597. [Google Scholar] [CrossRef]
- Avsec, J. Nanofluid and Ferrofluid Slip Flow in Rectangular and Circular Microchannels. In Proceedings of 7th Euromech Solid Mechanics Conference, Lisbon, Portugal, 7–11 September 2009.
- Capretto, L.; Cheng, W.; Hill, M.; Zhang, X. Micromixing within microfluidic devices. Top. Curr. Chem. 2011, 304, 27–68. [Google Scholar] [PubMed]
- Wu, W.-I.; Selvaganapathy, P.R.; Ching, C.Y. Transport of particles and microorganisms in microfluidic channels using rectified ac electro-osmotic flow. Biomicrofluidics 2011, 5, 013407. [Google Scholar] [CrossRef] [PubMed]
- Yazdi, M.H.; Abdullah, S.; Hashim, I.; Sopian, K. Entropy generation analysis of open parallel microchannels embedded within a permeable continuous moving surface: Application to magnetohydrodynamics (MHD). Entropy 2012, 14, 1–23. [Google Scholar] [CrossRef]
- Naterer, G.F.; Chomokovski, S. Entropy-based surface microprofiling for passive near-wall flow control. J. Micromech. Microeng. 2007, 17. [Google Scholar] [CrossRef]
- Martin, M.J.; Boyd, I.D. Blasius Boundary Layer Solution with Slip Flow Conditions. In Proceedings of Rarefied Gas Dynamics: 22nd International Symposium, Sydney, Australia, 9–14 July 2000; AIP publishing: New York, NY, USA, 2001; Volume 585, pp. 518–523. [Google Scholar]
- Martin, M.J.; Boyd, I.D. Momentum and heat transfer in a laminar boundary layer with slip flow. J. Thermophys. Heat Trans. 2006, 20, 710–719. [Google Scholar] [CrossRef]
- Vedantam, N.K.; Parthasarathy, R.N. Effects of Slip on the Flow Characteristics of Laminar Flat Plate Boundary-Layer. In Proceedings of ASME 2nd Joint U.S.-European Fluids Engineering Summer Meeting Collocated With the 14th International Conference on Nuclear Engineering (FEDSM2006), Miami, FL, USA, 17–20 July 2006.
- Yazdi, M.H.; Abdullah, S.; Hashim, I.; Zaharim, A.; Sopian, K. Friction and Heat Transfer in Slip Flow Boundary Layer at Constant Heat Flux Boundary Conditions. In Proceedings of the 10th WSEAS International Conference on Mathematical Methods, Computational Techniques and Intelligent Systems, Corfu, Greece, 26–28 October 2008.
- Yazdi, M.H.; Abdullah, S.; Hashim, I.; Nopiah, Z.M.; Zaharim, A.; Sopian, K. Convective Heat Transfer of Slip Liquid Flow Past Horizontal Surface within the Porous Media at Constant Heat Flux Boundary Conditions. In Proceedings of the American Conference on Applied Mathematics: Recent Advances in Applied Mathematics, Cambridge, MA, USA, 27–29 January 2010.
- Cao, K.; Baker, J. Slip effects on mixed convective flow and heat transfer from a vertical plate. Int. J. Heat Mass Trans. 2009, 52, 3829–3841. [Google Scholar] [CrossRef]
- Aziz, A. Hydrodynamic and thermal slip flow boundary layers over a flat plate with constant heat flux boundary condition. Commun. Nonlinear Sci. Numer. Simul. 2010, 15, 573–580. [Google Scholar] [CrossRef]
- Yazdi, M.H.; Abdullah, S.; Hashim, I.; Sopian, K. Slip MHD liquid flow and heat transfer over non-linear permeable stretching surface with chemical reaction. Int. J. Heat Mass Trans. 2011, 54, 3214–3225. [Google Scholar] [CrossRef]
- Yazdi, M.H.; Abdullah, S.; Hashim, I.; Sopian, K. Slip MHD Flow over Permeable Stretching Surface with Chemical Reaction. In Proceedings of the 17th Australasian Fluid Mechanics Conference, Auckland, New Zealand, 5–9 December 2010.
- Hayat, T.; Qasim, M.; Mesloub, S. MHD flow and heat transfer over permeable stretching sheet with slip conditions. Int. J. Numer. Meth. Fl. 2011, 66, 963–975. [Google Scholar] [CrossRef]
- Qasim, M.; Hayat, T.; Hendi, A.A. Effects of slip conditions on stretching flow with ohmic dissipation and thermal radiation. Heat Trans.—Asian Res. 2011, 40, 641–654. [Google Scholar] [CrossRef]
- Turkyilmazoglu, M. Analytic heat and mass transfer of the mixed hydrodynamic/thermal slip MHD viscous flow over a stretching sheet. Int. J. Mech. Sci. 2011, 53, 886–896. [Google Scholar] [CrossRef]
- Bhattacharyya, K.; Mukhopadhyay, S.; Layek, G. MHD boundary layer slip flow and heat transfer over a flat plate. Chin. Phys. Lett. 2011, 28, 024701. [Google Scholar] [CrossRef]
- Rahman, M.M. Locally similar solutions for hydromagnetic and thermal slip flow boundary layers over a flat plate with variable fluid properties and convective surface boundary condition. Meccanica 2011, 46, 1127–1143. [Google Scholar] [CrossRef]
- Yazdi, M.H.; Abdullah, S.; Hashim, I.; Sopian, K. Effects of viscous dissipation on the slip MHD flow and heat transfer past a permeable surface with convective boundary conditions. Energies 2011, 4, 2273–2294. [Google Scholar] [CrossRef]
- Naterer, G.F. Surface micro-profiling for reduced energy dissipation and exergy loss in convective heat transfer. Microscale Thermophys. Eng. 2005a, 9, 213–236. [Google Scholar] [CrossRef]
- Naterer, G.F. Adaptive surface microprofiling for microfluidic energy conversion. J. Thermophys. Heat Trans. 2004, 18, 494–501. [Google Scholar] [CrossRef]
- Naterer, G.F. Reducing energy availability losses with open parallel microchannels embedded in a micropatterned surface. Int. J. Energy Res. 2005b, 29, 1215–1229. [Google Scholar] [CrossRef]
- Naterer, G.F.; Glockner, P.S.; Thiele, D.; Chomokovski, S.; Venn, G.; Richardson, G. Surface micro-grooves for near-wall exergy and flow control: Application to aircraft intake de-icing. J. Micromech. Microeng. 2005, 15. [Google Scholar] [CrossRef]
- Yazdi, M.H.; Abdullah, S.; Hashim, I.; Sopian, K.; Zaharim, A. Entropy generation analysis of liquid fluid past embedded open parallel microchannels within the surface. Eur. J. Sci. Res. 2009b, 28, 462–470. [Google Scholar]
- Yazdi, M.H.; Abdullah, S.; Hashim, I.; Sopian, K. Second Law Analysis of MHD Flow Over Open Parallel Microchannels Embedded in a Micropatterned Surface. In Proceedings of 10th WSEAS International Conference on Heat Transfer, Thermal Engineering and Environment, Istanbul, Turkey, 21–23 August 2012.
- Tretheway, D.C.; Meinharta, C.D. Apparent fluid slip at hydrophobic microchannel walls. Phys. Fluids 2002, 14, L9. [Google Scholar] [CrossRef]
- Niavarani, A.; Priezjev, N.V. The effective slip length and vortex formation in laminar flow over a rough surface. Phys. Fluids 2009, 21, 052105. [Google Scholar] [CrossRef]
- Shamshiri, M.; Ashrafizaadeh, M.; Shirani, E. Effects of rarefaction, viscous dissipation and rotation mode on the first and second law analyses of rarefied gaseous slip flows confined between a rotating shaft and its concentric housing. Energy 2011, 37, 359–370. [Google Scholar] [CrossRef]
- Tretheway, D.C.; Meinhart, C.D. A generating mechanism for apparent fluid slip in hydrophobic microchannels. Phys. Fluids 2004, 16, 1509–1515. [Google Scholar] [CrossRef]
- Xu, H. Erratum to “An explicit analytic solution for convective heat transfer in an electrically conducting fluid at a stretching surface with uniform free stream”. Int. J. Eng. Sci. 2007, 2, 716–717. [Google Scholar] [CrossRef]
- Woods, L.C. The Thermodynamics of Fluid Systems; Oxford University Press: New York, NY, USA, 1986; Volume 2. [Google Scholar]
- Ibrahim, F.; Hassanien, I. Local nonsimilarity solutions for mixed convection boundary layer flow of a micropolar fluid on horizontal flat plates with variable surface temperature. Appl. Math. Comp. 2001, 122, 133–153. [Google Scholar] [CrossRef]
© 2013 by the authors; licensee MDPI, Basel, Switzerland. This article is an open access article distributed under the terms and conditions of the Creative Commons Attribution license ( http://creativecommons.org/licenses/by/3.0/).
Share and Cite
Yazdi, M.H.; Abdullah, S.; Hashim, I.; Sopian, K. Reducing Entropy Generation in MHD Fluid Flow over Open Parallel Microchannels Embedded in a Micropatterned Permeable Surface. Entropy 2013, 15, 4822-4843. https://doi.org/10.3390/e15114822
Yazdi MH, Abdullah S, Hashim I, Sopian K. Reducing Entropy Generation in MHD Fluid Flow over Open Parallel Microchannels Embedded in a Micropatterned Permeable Surface. Entropy. 2013; 15(11):4822-4843. https://doi.org/10.3390/e15114822
Chicago/Turabian StyleYazdi, Mohammad H., Shahrir Abdullah, Ishak Hashim, and Kamaruzzaman Sopian. 2013. "Reducing Entropy Generation in MHD Fluid Flow over Open Parallel Microchannels Embedded in a Micropatterned Permeable Surface" Entropy 15, no. 11: 4822-4843. https://doi.org/10.3390/e15114822
APA StyleYazdi, M. H., Abdullah, S., Hashim, I., & Sopian, K. (2013). Reducing Entropy Generation in MHD Fluid Flow over Open Parallel Microchannels Embedded in a Micropatterned Permeable Surface. Entropy, 15(11), 4822-4843. https://doi.org/10.3390/e15114822
