On the Thermodynamics of Friction and Wear―A Review
Abstract
:1. Introduction
2. Friction and Energy Dissipation
2.1. Non-Sliding Contact


2.2. Sliding Contact



3. Frictional Temperature Rise



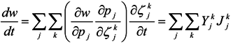
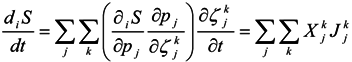
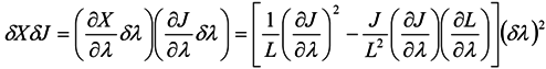
4. Entropy—Wear Relationship


5. Entropy and Self-Organization during Friction


References
- Stachowiak, G.W.; Batchelor, A.W. Engineering Tribology; Tribology Series, 24; Elsevier Science: Amesterdam, Netherlands, 1993. [Google Scholar]
- Cattaneo, C. Sul Contatto di Due Corpi Elasti: Distribuzione Locale degli Sforzi. Accademia Nazionale dei Lincei, Rendiconti 1938, 27, 342–348. [Google Scholar]
- Mindlin, R.D. Compliance of elastic bodies in contact. J. Appl. Mech. 1947, 71, 259–268. [Google Scholar]
- Mindlin, R.D.; Mason, W.P.; Osmer, T.F.; Deresiewicz, H. Effects of an oscillating force on the contact surfaces of elastic spheres. In the Proceedings of the 1st US Nat. Congr. Appl. Mech. 1951, 18, 203–208. [Google Scholar]
- Mindlin, R.D.; Deresiewicz, H. Elastic spheres in contact under varying oblique forces. ASME J. Appl. Mech. 1953, 20, 327–344. [Google Scholar]
- Deresiewicz, H. Bodies in contact with applications to granular media. In R. D. Mindlin and Applied Mechanics; Herrmann, G., Ed.; Pergamon: Oxford, UK, 1974. [Google Scholar]
- Johnson, K.L. Surface interaction between elastically loaded bodies under tangential forces. Proc. R. Soc. A 1955, 230, 531–548. [Google Scholar] [CrossRef]
- Johnson, K.L. Energy dissipation at spherical surfaces in contact transmitting oscillating forces. J. Mech. Eng. Sci. 1961, 3, 362–368. [Google Scholar] [CrossRef]
- Goodman, L.E.; Bowie, G.E. Experiments on damping at contact of a sphere with flat planes. J. Exp. Mech. 1961, 1, 48–54. [Google Scholar] [CrossRef]
- Goodman, L.E.; Brown, C.B. Energy dissipation in contact friction: constant normal and cyclic tangential loading. J. Appl. Mech. 1962, 29, 17–22. [Google Scholar] [CrossRef]
- Earles, S.W.E. Theoretical estimation of the frictional energy dissipation in a simple lap joint. J. Mech. Eng. Sci. 1966, 8, 207–214. [Google Scholar] [CrossRef]
- Earles, S.W.E.; Philpot, M.G. Energy dissipation at plane surface in contact. J. Mech. Eng. Sci. 1967, 9, 86–97. [Google Scholar] [CrossRef]
- Brown, C.B. Factors affecting the damping in a lap joint. In Proceedings of the American Society of Civil Engineers. J. Struct. Div. 1968, 94, 1197–1217. [Google Scholar]
- Boothroyd, G.; Poli, C.; Migliozzi, L.P. Damping in a preloaded metallic interface. S.M.E. Technical paper 1972, MR72–229. [Google Scholar]
- Rogers, P.F.; Boothroyd, G. Damping at metallic interfaces subjected to oscillating tangential loads. J. Eng. Ind. 1975, 197, 1087–1093. [Google Scholar] [CrossRef]
- Wilson, W.R.D.; Aggarwal, B.B.; Russel, R.A. Frictional damping at preloaded metallic interfaces under tangential loading. In the Proceedings of the 7th Leads-Lyons Symp; I Mech. E.: London, UK, 1981. [Google Scholar]
- Hanson, M.T.; Keer, L.M.; Farris, T.N. Energy Dissipation in Non-Hertzian Fretting Contact. STLE Tribol. Trans. 1989, 32, 147–154. [Google Scholar] [CrossRef]
- Fouvry, S.; Kapsa, Ph.; Zahouani, H.; Vincent, L. Wear analysis in fretting of hard coatings through a dissipated energy concept. Wear 1997, 203–204, 393–403. [Google Scholar] [CrossRef]
- Fouvry, S.; Kapsa, Ph. An energy description of hard coatings wear mechanisms. Surf. Coating Tech. 2001, 138, 141–148. [Google Scholar] [CrossRef]
- Fouvry, S.; Liskiewicz, T.; Kapsa, Ph.; Hannel, S.; Sauger, E. An energy description of wear mechanisms and its applications to oscillating sliding contacts. Wear 2003, 255, 287–298. [Google Scholar] [CrossRef]
- Fouvry, S.; Duo, P.; Perruchaut, P. A quantitative approach of Ti–6Al–4V fretting damage: friction, wear and crack nucleation. Wear 2004, 257, 916–29. [Google Scholar] [CrossRef]
- Fouvry, S.; Paulin, C.; Liskiewicz, T. Application of an energy wear approach to quantify fretting contact durability: Introduction of a wear energy capacity concept. Tribol. Int. 2007, 40, 1428–1440. [Google Scholar] [CrossRef]
- Paulin, C.; Fouvry, S.; Deyber, S. Wear kinetics of a Ti 6Al–4V alloy under constant and variable fretting sliding conditions. Wear 2005, 259, 292–299. [Google Scholar] [CrossRef]
- Mary, C.; Fouvry, S. Numerical prediction of fretting contact durability using energy wear approach: Optimisation of finite-element model. Wear 2007, 263, 444–450. [Google Scholar] [CrossRef]
- Zhang, X.; Lauwerence, W.; Stals, L.; He, J.; Celis, J-P. Fretting wear rate of sulphur deficient MoSx coatings based on dissipated energy. J. Mater. Res. 2001, 16, 3567–3574. [Google Scholar] [CrossRef]
- Bureauy, L.; Caroli, C.; Baumberger, T. Elasticity and onset of frictional dissipation at a non-sliding multi-contact interface. Proc. R. Soc. A 2003, 459, 2787–2805. [Google Scholar] [CrossRef]
- Attia, H.; Gessesse, Y.B.; Osman, M.O.M. New parameter for characterizing and correlating impact-sliding fretting wear to energy dissipation—experimental investigation. Wear 2007, 263, 419–429. [Google Scholar] [CrossRef]
- Magaziner, R.S.; Jain, V.K.; Mall, S. Wear characterization of Ti–6Al–4V under fretting–reciprocating sliding conditions. Wear 2008, 264, 1002–1014. [Google Scholar] [CrossRef]
- Dini, D.; Hills, D.A. Frictional energy dissipation in a rough hertzian contact. J. Tribol. 2009, 131, 021401. [Google Scholar] [CrossRef]
- Korsunsky, A.M.; Kim, K. Dissipated energy and friction coefficient evolution during fretting wear of solid lubricant coatings. Tribol. Int. 2010, 43, 861–867. [Google Scholar] [CrossRef]
- Rymuza, C. Energy concept of the coefficient of friction. Wear 1996, 199, 187–196. [Google Scholar] [CrossRef]
- Chen, Q.; Li, D.Y. A computational study of frictional heating and energy conversion during sliding processes. Wear 2005, 259, 1382–1391. [Google Scholar] [CrossRef]
- Li, D.Y.; Elalem, K.; Anderson, M.J.; Chiovelli, S. A micro-scale dynamical model for wear simulation. Wear 1999, 225, 380–386. [Google Scholar] [CrossRef]
- Elalem, K.; Li, D.Y.; Anderson, M.J.; Chiovelli, S. Modeling abrasive wear of homogeneous and heterogeneous materials. ASTM STP 1339 2001, 90–104. [Google Scholar]
- Chen, Q.; Li, D.Y. Computer simulation of a composite material by solid-particle erosion. Wear 2003, 255, 78–84. [Google Scholar] [CrossRef]
- Chen, Q.; Li, D.Y. Investigation on the mechanisms of corrosive wear process of alloy with a micro-scale dynamic model, Mater. Sci. Eng. A 2004, 369, 284–293. [Google Scholar] [CrossRef]
- Neder, Z.; Varadi, K.; Man, L. Numerical and finite element contact temperature analysis of steel-bronze real surfaces in dry sliding contact. Tribol. Trans. 1999, 42, 453–462. [Google Scholar] [CrossRef]
- Gershman, I.S.; Bushe, N.A. Elements of thermodynamics and self-organization during friction. In Self-organization during friction: Advanced surface-engineered materials and systems design; Fox-Rabinovich, G.S., Totten, G.E., Eds.; CRC Taylor & Francis: Boca Raton, FL, USA, 2006. [Google Scholar]
- Uetz, H.; Fohl, J. Wear as an energy traasformation process. Wear 1978, 49, 253–264. [Google Scholar] [CrossRef]
- Huq, M.Z.; Celis, J.–P. Reproducibility of friction and wear results in ball-on-disc unidirectional sliding tests of TiN-alumina pairings. Wear 1997, 212, 151–159. [Google Scholar] [CrossRef]
- Huq, M.Z.; Celis, J.–P. Fretting wear of multilayered (Ti,Al)N/TiN coatings in air of different relative humidity. Wear 1999, 225–229, 53–64. [Google Scholar] [CrossRef]
- Huq, M.Z.; Celis, J.–P. Expressing wear rate in sliding contacts based on dissipated energy. Wear 2002, 252, 375–383. [Google Scholar] [CrossRef]
- Ramalho, A.; Miranda, J.C. The relationship between wear and dissipated energy in sliding systems. Wear 2006, 260, 361–367. [Google Scholar] [CrossRef]
- Archard, J.F. Contact and rubbing of flat surfaces. J. Appl. Phys. 1953, 24, 981–988. [Google Scholar] [CrossRef]
- Savkoor, A.R.; Ouwerkerk, H. Tribological transitions due to heat dissipation during braking on contaminated rails. Wear 1995, 181–183, 391–396. [Google Scholar] [CrossRef]
- Gupta, V.; Hahn, G.T.; Bastias, P.C.; Rubin, C.A. Calculations of the frictional heating of a locomotive wheel attending rolling plus sliding. Wear 1996, 191, 237–241. [Google Scholar] [CrossRef]
- Kuhn, E.; Balan, C. Experimental procedure for the evaluation of the friction energy of lubricating greases. Wear 1997, 209, 237–240. [Google Scholar] [CrossRef]
- Scherge, M.; Shakhvorostov, D.; Pöhlmann, K. Fundamental wear mechanism of metals. Wear 2003, 255, 395–400. [Google Scholar] [CrossRef]
- Shakhvorostov, D.; Pöhlmann, K.; Scherge, M. An energetic approach to friction, wear and temperature. Wear 2004, 257, 124–130. [Google Scholar] [CrossRef]
- Larbi, A.B.C.; Cherif, A.; Tarres, M.A. Improvement of the adhesive wear resistance of steel by nitriding quantified by the energy dissipated in friction. Wear 2005, 258, 712–718. [Google Scholar] [CrossRef]
- Li, W.; Wang, Y.; Yan, M.F. Wear rate, frictional temperature, and energy consumption of steel 52100 with different microstructures during sliding. J. Mater. Sci. 2005, 40, 5635–5640. [Google Scholar] [CrossRef]
- Abdel-Aal, H.A. On the interdependence between kinetics of friction-released thermal energy and the transition in wear mechanisms during sliding of metallic pairs. Wear 2003, 254, 884–900. [Google Scholar] [CrossRef]
- Abdel-Aal, H.A. Efficiency of thermal energy dissipation in dry rubbing. Wear 2003, 255, 348–364. [Google Scholar] [CrossRef]
- Abdel-Aal, H.A. On the role of intrinsic material response in failure of tribo systems. Wear 2005, 259, 1372–1381. [Google Scholar] [CrossRef]
- Maeda, K.; Bismarck, A.; Briscoe, B. Effect of bulk deformation on rubber adhesion. Wear 2007, 263, 1016–1022. [Google Scholar] [CrossRef]
- Colaco, R.; Gispert, M.P.; Serrob, A.P.; Saramago, B. An energy-based model for the wear of UHMWPE. Tribol. Lett. 2007, 26, 119–124. [Google Scholar] [CrossRef]
- Nurnberg, K.E.; Nurnberg, G.; Golle, M.; Hoffmann, H. Simulation of wear on sheet metal forming tools—An energy approach. Wear 2008, 265, 1801–1807. [Google Scholar] [CrossRef]
- Alyabev, Y.A.; Kazimirchik, Yu.A.; Onoprienko, V.P. Determination of temperature in the zone of fretting corrosion. J. Mater. Sci. 1973, 6, 284–286. [Google Scholar] [CrossRef]
- Ling, F.F. Surface Mechanics; Wiley: New York, NY, USA, 1973. [Google Scholar]
- Kennedy, F.E. Surface temperatures in sliding systems-a finite element analysis. J. Lubr. Tech. 1981, 103, 90–96. [Google Scholar] [CrossRef]
- Kennedy, F.E. Thermal and thermomechanical effects in dry sliding. Wear 1984, 100, 453–476. [Google Scholar] [CrossRef]
- Greenwood, J.A.; Alliston-Greiner, A.F. Surface temperature in a fretting contact. Wear 1992, 155, 269–275. [Google Scholar] [CrossRef]
- Knothe, K.; Liebelt, S. Determination of temperatures for sliding contact with applications for wheel-rail systems. Wear 1995, 189, 91–99. [Google Scholar] [CrossRef]
- Lim, S.C.; Ashby, M.F. Wear mechanism maps. Acta Metall. 1987, 35, 1–24. [Google Scholar] [CrossRef]
- Welsh, N.C. Frictional heating and its influence on the wear of steel. J. Appl. Phys. 1957, 28, 960–968. [Google Scholar] [CrossRef]
- Blau, P.J. Friction and Wear Transitions of Materials: Break-In, Run-In, Wear-In; Noyes Publications: Park Ridge, NJ, USA, 1989. [Google Scholar]
- Quinn, T.F.J. Oxidational wear modeling: I. Wear 1992, 135, 179–200. [Google Scholar] [CrossRef]
- Archard, J.F. The temperature of rubbing surfaces. Wear 1969, 2, 438–455. [Google Scholar] [CrossRef]
- Blok, H. Theoretical study of temperature rise at surfaces of actual contact under oiliness lubricating conditions. In Proceedings of the General Discussion on Lubrication and Lubricants; Institute of Mechanical Engineers: London, UK, 1937; Volume 2, pp. 222–235. [Google Scholar]
- Blok, H. The flash temperature concept. Wear 1963, 6, 483–494. [Google Scholar] [CrossRef]
- Jaeger, J.C. Moving sources of heat and the temperature at sliding contacts. Proc. R. Soc. N.S.W. 1942, 76, 203–224. [Google Scholar]
- Czichos, H. Tribology–A Systems Approach to the Science and Technology of Friction, Lubrication and Wear; Elsevier: Amsterdam, The Netherlands, 1978. [Google Scholar]
- Wang, Y.; Lei, T.; Yan, M.; Gao, C. Frictional temperature field and its relationship to the transition of wear mechanisms of steel 52100. J. Phys. D: Appl. Phys. 1992, 25, A165–A169. [Google Scholar] [CrossRef]
- Tian, X.; Kennedy, F.E.; Deacutis, J.J.; Henning, A.K. The development and use of thin film thermocouples for contact temperature measurement. Tribol. Trans. 1992, 35, 491–499. [Google Scholar] [CrossRef]
- Tian, X.; Kennedy, F.E. Contact surface temperature models for finite bodies in dry and boundary lubricated sliding. J. Tribol. 1993, 115, 411–418. [Google Scholar] [CrossRef]
- Szolwinski, M.P.; Harish, G.; Farris, T.N.; Sakagami, T. In-situ measurement of near-surface fretting contact temperatures in an aluminum alloy. J. Tribol. 1999, 121, 11–19. [Google Scholar] [CrossRef]
- Tian, X.; Kennedy, F.E. Maximum and average flash temperatures in sliding contacts. J. Tribol. 1994, 116, 167–174. [Google Scholar] [CrossRef]
- Amiri, M.; Khonsari, M.M.; Brahmeshwarkar, S. On the relationship between wear and thermal response in sliding systems. Tribol. Lett. 2010. accepted for publication. [Google Scholar] [CrossRef]
- Ozisik, M.N. Boundary Value Problems of Heat Conduction; Dover Publication Inc.: New York, NY, USA, 2002. [Google Scholar]
- Rothbart, H.A. Mechanical Design Handbook; McGraw-Hill: New York, NY, USA, 1996. [Google Scholar]
- Rabinowicz, E. Wear Control Handbook; American Society of Mechanical Engineers: New York, NY, USA, 1980. [Google Scholar]
- Kalin, M.; Vizintin, J. Comparison different theoretical models for flash temperature calculation under fretting conditions. Tribol. Int. 2001, 34, 831–839. [Google Scholar] [CrossRef]
- Dwivedi, D.K. Sliding temperature and wear behavior of cast Al-Si base alloy. Mater. Sci. Tech. 2003, 19, 1091–1096. [Google Scholar] [CrossRef]
- Dwivedi, D.K. Sliding temperature and wear behavior of cast Al-Si-Mg alloys. Mater. Sci. Eng. A 2004, 382, 328–334. [Google Scholar] [CrossRef]
- Mansouri, M.; Khonsari, M.M. Surface temperature in oscillating sliding interfaces. ASME J. Tribol. 2005, 127, 1–9. [Google Scholar] [CrossRef]
- Wen, J.; Khonsari, M.M. Transient temperature involving oscillatory heat source with application in fretting contact. J. Tribol. 2007, 129, 517–527. [Google Scholar] [CrossRef]
- Bansal, D.G.; Streator, J.L. A method for obtaining the temperature distribution at the interface of sliding bodies. Wear 2009, 266, 721–732. [Google Scholar] [CrossRef]
- Ling, F.F.; Bryant, M.D.; Doelling, K.L. On irreversible thermodynamics for wear prediction. Wear 2002, 253, 1165–1172. [Google Scholar] [CrossRef]
- Klamecki, B.E. Wear—An entropy production model. Wear 1980, 58, 325–330. [Google Scholar] [CrossRef]
- Klamecki, B.E. A thermodynamic model of friction. Wear 1980, 63, 113–120. [Google Scholar] [CrossRef]
- Klamecki, B.E. Energy dissipation in sliding. Wear 1982, 77, 115–128. [Google Scholar] [CrossRef]
- Klamecki, B.E. Wear—An entropy based model of plastic deformation energy dissipation in sliding. Wear 1984, 96, 319–329. [Google Scholar] [CrossRef]
- Rigney, D.A.; Hirth, J.P. Plastic deformation and sliding friction metals. Wear 1979, 53, 345–370. [Google Scholar] [CrossRef]
- Heilmann, P.; Rigney, D.A. An energy-based model of friction and its application to coated systems. Wear 1981, 72, 195–217. [Google Scholar] [CrossRef]
- Abdel-Aal, H.A. Wear and irreversible entropy generation in dry sliding. The annals university “Dunarea De Jos” of galati fascicle VIII, 2006 (XII), ISSN 1221-4590 Tribology.
- Zmitrowicz, A. A thermodynamical model of contact, friction and wear: I Governing equations. Wear 1987, 114, 135–168. [Google Scholar] [CrossRef]
- Zmitrowicz, A. A thermodynamical model of contact, friction and wear: II Constitutive equations for materials and linearized theories. Wear 1987, 114, 169–197. [Google Scholar] [CrossRef]
- Zmitrowicz, A. A thermodynamical model of contact, friction and wear: III Constitutive equations for friction, wear and frictional heat. Wear 1987, 114, 199–221. [Google Scholar] [CrossRef]
- Godet, M. The third body approach: a mechanical view of wear. Wear 1984, 100, 437–452. [Google Scholar] [CrossRef]
- Zmitrowicz, A. Wear patterns and laws of wear-a review. J. Theor. Appl. Mech. 2006, 44, 219–253. [Google Scholar]
- Dai, Z.; Yang, S.; Xue, Q. Thermodynamic model of fretting wear. J. Nanjing Univ. Aeronaut. Astronaut. 2000, 32, 125–131. [Google Scholar]
- Doelling, K.L.; Ling, F.F.; Bryant, M.D.; Heilman, B.P. An experimental study of the correlation between wear and entropy flow in machinery components. J. Appl. Phys. 2000, 88, 2999–3003. [Google Scholar] [CrossRef]
- Bryant, M.D.; Khonsari, M.M.; Ling, F.F. On the thermodynamics of degradation. Proc. R. Soc. A 2008, 464, 2001–2014. [Google Scholar] [CrossRef]
- Bryant, M.D. Entropy and dissipative processes of friction and wear. FME Trans. 2009, 37, 55–60. [Google Scholar]
- Brahmeshwarkar, S. A thermodynamic model for wear in sliding contact. M.S. Thesis, Department of Mechanical Engineering, Louisiana State University, Baton Rouge, LA, USA, 2006. [Google Scholar]
- Prigogine, I. Etude Thermodynamique des Processus Irreversible, 4th ed.; Desoer: Liege, Belgium, 1967. [Google Scholar]
- Kondepudi, D.; Prigogine, I. Modern Thermodynamics from Heat Engines to Dissipative Structures; John Wiley & Sons, Inc.: New York, NY, USA, 1998. [Google Scholar]
- Bryant, M.D. Unification of friction and wear. In Recent Developments in Wear Prevention, Friction and Lubrication; Nikas, G., Ed.; Old City Publishing: Philadelphia, PA, USA, 2010; pp. 159–196. [Google Scholar]
- Dai, Z.; Xue, Q. Progress and development in thermodynamic theory of friction and wear. Sci. China Ser E-Tech. Sci. 2009, 52, 844–849. [Google Scholar] [CrossRef]
- Gershman, I.S.; Bushe, N.A. Thin films and self-organization during friction under the current collection conditions. Surf. Coating Tech. 2004, 186, 405–411. [Google Scholar] [CrossRef]
- Glansdorff, P.; Prigogine, I. Thermodynamic Theory of Structure, Stability and Fluctuations; Wiley-Interscience: New York, NY, USA, 1971. [Google Scholar]
- Glansdorff, P. Irreversibility in macroscopic physics: from carnot cycle to dissipative structures. Foundations Phys. 1987, 17, 653–666. [Google Scholar] [CrossRef]
- Prigogine, I. Introduction to Thermodynamics of Irreversible Processes; Charles C. Thomas: Spring-field, IL, USA, 1955. [Google Scholar]
- Garbar, I.I.; Skorinin, J.V. Metal surface layer structure formation under sliding friction. Wear 1978, 51, 327–336. [Google Scholar] [CrossRef]
- Nosonovsky, M.; Amano, R.; Lucci, J.M.; Rohatgi, P.K. Physical chemistry of self-organization and self-healing in metals. PCCP. Physical chem. chemical phys. 2009, 11, 9530–9536. [Google Scholar] [CrossRef] [PubMed]
- Nosonovsky, M.; Esche, S.K. A paradox of decreasing entropy in multiscale monte carlo grain growth simulation. Entropy 2008, 10, 49–54. [Google Scholar] [CrossRef]
- Nosonovsky, M.; Bhushan, B. Thermodynamics of surface degradation, self-organization, and self-healing for biomimetic surfaces. Philos. Trans. R. Soc. A 2009, 367, 1607–1627. [Google Scholar] [CrossRef] [PubMed]
- Coveney, P.V. The second law of thermodynamics: entropy, irreversibility and dynamics. Nature 1988, 333, 409–415. [Google Scholar] [CrossRef]
- Abdel-Aal, H.A. The correlation between thermal property variation and high temperature wear transition of rubbing metals. Wear 2000, 237, 147–151. [Google Scholar] [CrossRef]
- Abdel-Aal, H.A.; Nouari, M.; El Mansori, M. the effect of thermal property degradation on wear of WC-CO inserts in dry cutting. Wear 2008, 265, 1670–1679. [Google Scholar] [CrossRef]
- Kozyrev, Y.P.; Sedakova, E.B. Application of a thermodynamic model for analysis of wear resistance of materials. J. Machinery Manuf. Reliab. 2008, 37, 60–62. [Google Scholar]
- Bershadsky, L.I. On self-organizing and concept of tribosystem self-organizing. J. Frict. Wear 1992, 13, 101–114. [Google Scholar]
- Kostetsky, B.I. Evolution of structural and phase state and mechanism of self-organization in materials at external friction. J. Frict. Wear 1993, 14, 120–129. [Google Scholar]
- Fox-Rabinovich, G.S.; Kovalev, A.I.; Shuster, L.S.; Bokiy, Y.F.; Dosbayeva, G.K.; WainsteIn, D.L.; Mishina, V.P. Characteristic features of alloying HSS-based deformed compound powder material with consideration for tool self-organization at cutting 1. Characteristic features or wear in HSS-based deformed compound powder materials at cutting. Wear 1997, 206, 214–220. [Google Scholar] [CrossRef]
- Fox-Rabinovich, G.S.; Kovalev, A.I.; Shuster, L.S.; Bokiy, Y.F.; Dosbayeva, G.K.; WainsteIn, D.L.; Mishina, V.P. Characteristic features of alloying HSS-based deformed compound powder material with consideration for tool self-organization at cutting 2. Cutting tool friction control due to the alloying of the HSS-based deformed compound powder material. Wear 1998, 214, 279–286. [Google Scholar] [CrossRef]
- Fox-Rabinovich, G.S.; Veldhuis, S.C.; Kovalev, A.I.; WainsteIn, D.L.; Gershman, I.S.; Korshunov, S.; Shuster, L.S.; Endrino, J.L. Features of self-organization in ion modified nanocrystalline plasma vapor deposited AlTiN coatings under severe tribological conditions. J. Appl. Phys. 2007, 102, 074305. [Google Scholar] [CrossRef]
- Wilson, S.; Alpas, A.T. Tribo-layer formation during sliding wear of TiN coatings. Wear 2000, 245, 223–229. [Google Scholar] [CrossRef]
- Usychenko, V.G. Entropy, information, and complexity of the steady states of open systems not satisfying the principle of local equilibrium. Technical Phys. 2005, 50, 551–559. [Google Scholar] [CrossRef]
- Figueiredo, M.R.D.; Neidhardt, J.; Kaindl, R.; Reiter, A.; Tessadri, R.; Mitterer, C. Formation mechanisms of low-friction tribo-layers on arc-evaporated TiC1−xNx hard coatings. Wear 2008, 265, 525–532. [Google Scholar] [CrossRef]
- Kovalev, A.; Wainstein, D.; Fox-Rabinovich, G.; Veldhuis, S.; Yamamoto, K. Features of self-organization in nanostructuring PVD coatings on a base of polyvalent metal nitrides under severe tribological conditions. Surf. Interface Anal. 2008, 40, 881–884. [Google Scholar] [CrossRef]
- Fox-Rabinovich, G.S.; Gershman, I.S.; Yamamoto, K.; Biksa, A.; Veldhuis, S.C.; Beake, B.D.; Kovalev, A.I. Self-organization during friction in complex surface engineered tribosystems. Entropy 2010, 12, 275–288. [Google Scholar] [CrossRef]
© 2010 by the authors; licensee MDPI, Basel, Switzerland. This article is an open-access article distributed under the terms and conditions of the Creative Commons Attribution license (http://creativecommons.org/licenses/by/3.0/).
Share and Cite
Amiri, M.; Khonsari, M.M. On the Thermodynamics of Friction and Wear―A Review. Entropy 2010, 12, 1021-1049. https://doi.org/10.3390/e12051021
Amiri M, Khonsari MM. On the Thermodynamics of Friction and Wear―A Review. Entropy. 2010; 12(5):1021-1049. https://doi.org/10.3390/e12051021
Chicago/Turabian StyleAmiri, M., and Michael M. Khonsari. 2010. "On the Thermodynamics of Friction and Wear―A Review" Entropy 12, no. 5: 1021-1049. https://doi.org/10.3390/e12051021
APA StyleAmiri, M., & Khonsari, M. M. (2010). On the Thermodynamics of Friction and Wear―A Review. Entropy, 12(5), 1021-1049. https://doi.org/10.3390/e12051021