Sign in to use this feature.

Years

Between: -

Subjects

remove_circle_outline
remove_circle_outline
remove_circle_outline
remove_circle_outline
remove_circle_outline
remove_circle_outline
remove_circle_outline
remove_circle_outline
remove_circle_outline

Journals

Article Types

Countries / Regions

Search Results (283)

Search Parameters:
Keywords = wind velocity flow field

Order results
Result details
Results per page
Select all
Export citation of selected articles as:
27 pages, 4995 KB  
Article
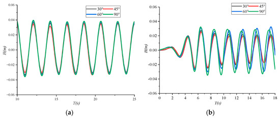
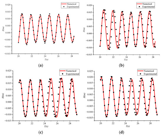
Numerical Investigation of the Hydrodynamic Performance of a V-Type Wave Dissipation System and Amphibious Landing Equipment Under Different Combined Fields
by Junming Hu, Chengshuai Song, Jiaxian Deng, Xueying Yu and Daiyu Zhang
Water 2026, 18(3), 309; https://doi.org/10.3390/w18030309 - 25 Jan 2026
Viewed by 239
Abstract
This study analyzes the hydrodynamic performance of a V-type wave dissipation system and amphibious landing equipment under different combined fields using the Reynolds-averaged Navier–Stokes (RANS) method. A three-dimensional numerical wave tank is established to simulate regular waves and validate the performance of an [...] Read more.
This study analyzes the hydrodynamic performance of a V-type wave dissipation system and amphibious landing equipment under different combined fields using the Reynolds-averaged Navier–Stokes (RANS) method. A three-dimensional numerical wave tank is established to simulate regular waves and validate the performance of an airbag-type floating breakwater. This study evaluates the optimal hydrodynamic performance of a V-type wave dissipation system under various configurations in a wave-only field and subsequently compares the efficacy of the better-performing system across multiple environmental conditions. The results show that the V-type wave dissipation system in the configurations of 30° and 45° angles is more favorable for the flow field and the amphibious landing equipment behind it. Compared to the wave-only condition, the time histories of wave heights under both wave-current and wind-wave conditions present an obvious phase advancement. In the wave-current field, a following current reduces the wave height and shortens the wave period. Conversely, in the wind-wave field, a following wind velocity leads to a certain increase in wave height while exerting minimal impact on the wave period. Compared to the wave-only condition, the peak and trough values of the wave height monitoring points in the combined wind-wave-current field show an increasing trend, with a significant increase in resistance and a shorter resistance period for the amphibious landing equipment behind the V-type wave dissipation system. This study shows that the selected V-type wave dissipation system proves to be more effective in wave-only and wave-current conditions, providing valuable references for the engineering application of this system. Full article
(This article belongs to the Special Issue Recent Advances in Offshore Hydrodynamics)
Show Figures

Figure 1

10 pages, 3007 KB  
Proceeding Paper
Experimental Study of Flow Around Stepped NACA 0015 Airfoils at Low Reynolds Numbers
by Ivan Dobrev, Michael Pereira, Michael Todorov and Fawaz Massouh
Eng. Proc. 2026, 121(1), 18; https://doi.org/10.3390/engproc2025121018 - 15 Jan 2026
Viewed by 146
Abstract
This study investigates the flow around Kline-Fogleman (KF) airfoils using Particle Image Velocimetry (PIV) in a wind tunnel at Reynolds number Re = 6.8 × 104. Three configurations are tested: a clean NACA 0015 airfoil and two modified versions with a [...] Read more.
This study investigates the flow around Kline-Fogleman (KF) airfoils using Particle Image Velocimetry (PIV) in a wind tunnel at Reynolds number Re = 6.8 × 104. Three configurations are tested: a clean NACA 0015 airfoil and two modified versions with a step on either the pressure or suction side. Velocity fields are used to calculate lift via the Kutta-Joukowski theorem. Results show that the KF airfoil with a step on the pressure side achieves a 14.8% higher maximum lift coefficient and delayed stall. In contrast, placing the step on the suction side reduces maximum lift by 4%. The KF airfoil with pressure-side step shows potential for low Reynolds number applications where higher lift and larger stall angles are required. Full article
Show Figures

Figure 1

19 pages, 5572 KB  
Essay
Experimental Investigation of Mountain Wind Fields Under Downburst Conditions
by Hui Yuan, Zhumao Lu, Siqing Xu, Wei Zhang, Xu Zhou, Wenjun Guo, Chenyan Ma, Bowen Yan and Yu Wang
Sustainability 2026, 18(2), 561; https://doi.org/10.3390/su18020561 - 6 Jan 2026
Viewed by 190
Abstract
Downbursts generate strong and transient near-surface winds that significantly influence wind flows over complex terrains. In this study, two downburst models—the impinging jet model representing the near-field region and the wall jet model representing the fully developed outflow—were experimentally investigated. The study examined [...] Read more.
Downbursts generate strong and transient near-surface winds that significantly influence wind flows over complex terrains. In this study, two downburst models—the impinging jet model representing the near-field region and the wall jet model representing the fully developed outflow—were experimentally investigated. The study examined the characteristics of mountain wind fields within the fully developed region, considering variations in mountain height, slope, shape, and radial position. Results show that mountain height and shape exert only minor influences on the mountain speed-up ratio, whereas slope and radial position play dominant roles: the acceleration ratio decreases with increasing radial distance and with steeper slopes. The near-surface flow is mainly affected within a vertical range of approximately 1.5 times the mountain height and a radial distance of about four times the height. By explicitly comparing the two models, this study provides the quantitative experimental relationship linking the vertical position of maximum horizontal velocity between impinging jet and wall jet flows. The comparison of mountain wind fields under equivalent positions demonstrated consistent speed-up ratios, confirming that the wall jet model can effectively reproduce the fully developed stage of downburst winds over mountainous terrain. Thus, this work offers new experimental evidence and a validated modeling framework for studying mountain wind effects under downburst conditions. Full article
Show Figures

Figure 1

26 pages, 8084 KB  
Article
Multi-Scale Validation of CFD Simulations for Pollutant Dispersion Around Buildings
by Chao Wang, Wei Wang, Jue Qu, Qingli Wang, Xuan Wang and Xinwei Liu
Processes 2025, 13(12), 4076; https://doi.org/10.3390/pr13124076 - 17 Dec 2025
Viewed by 454
Abstract
This study establishes a multi-scale validation framework for Computational Fluid Dynamics (CFD) simulations of building-induced pollutant dispersion, integrating wind tunnel experiments, the CEDVAL benchmark dataset, and field measurements from a thermal power plant that serves as a proxy for nuclear facilities. The RNG [...] Read more.
This study establishes a multi-scale validation framework for Computational Fluid Dynamics (CFD) simulations of building-induced pollutant dispersion, integrating wind tunnel experiments, the CEDVAL benchmark dataset, and field measurements from a thermal power plant that serves as a proxy for nuclear facilities. The RNG k-ε and Large Eddy Simulation (LES) models were evaluated across these validation tiers. Results demonstrate that both models effectively capture key flow characteristics, with LES showing superior performance in predicting roof-level velocity and turbulence intensities. A systematic overestimation of rooftop and leeward concentrations was observed, though predictive accuracy improved with downwind distance (e.g., FAC2 > 0.5). The RNG k-ε model provided the best balance between accuracy and computational efficiency for engineering applications, while LES is recommended for high-fidelity near-field analysis. This work provides validated methodologies for environmental risk assessment in nuclear power planning and emission control strategy development. Full article
(This article belongs to the Section Process Control and Monitoring)
Show Figures

Figure 1

27 pages, 59170 KB  
Article
Effects of Vectorial Inflow on the Multi-Axis Aerodynamic Performance of a Small-Sized UAV Rotor
by Cong Liu, Yu Wang and Zhiqiang Wei
Aerospace 2025, 12(12), 1096; https://doi.org/10.3390/aerospace12121096 - 10 Dec 2025
Viewed by 528
Abstract
Variations in flight trajectory and velocity during vertical takeoff, transition, and level flight cause substantial changes in the relative inflow vector of multi-rotor unmanned aerial vehicles (UAVs). In urban environments, disturbances from complex wind fields further increase the uncertainty of inflow conditions. This [...] Read more.
Variations in flight trajectory and velocity during vertical takeoff, transition, and level flight cause substantial changes in the relative inflow vector of multi-rotor unmanned aerial vehicles (UAVs). In urban environments, disturbances from complex wind fields further increase the uncertainty of inflow conditions. This study investigates the aerodynamic characteristics of a fixed-pitch small-sized UAV rotor under varying inflow angles, velocities, and rotational speeds using a subsonic return-flow wind tunnel. The experimental setup enables inflow angle control from −90° to +90° via a turntable. Results indicate that, without incoming flow, the axial thrust and torque coefficients remain nearly constant. With inflow, both coefficients become highly sensitive to velocity in the 2000–5000 rpm range, with deviations up to four times those under static conditions. The in-plane lateral force along the X-axis increases significantly with inflow velocity, reaching about half the axial force, while the Y-axis component is minor and negligible under symmetric configurations. Pitching and rolling moments increase rapidly once inflow velocity exceeds 8 m/s, surpassing the axial torque and exhibiting strong directional asymmetry around ±15° inflow angles. The results demonstrate coupled aerodynamic force and moment behavior of small rotors under complex inflow, providing experimental evidence for improved dynamic modeling, control design, and the energy optimization of UAVs operating in turbulent wind environments. Full article
Show Figures

Figure 1

29 pages, 23518 KB  
Article
Computational Study on Complex Wind Field Environments in Urban and Marine Low-Altitude Based on Multi-Wind-Turbine Coordination
by Hongxia Gao, Chen Zhao, Siwei Zhang, Kunxiang Liu, Lei Zhu, Jun Yang and Meng Liu
Appl. Sci. 2025, 15(24), 12981; https://doi.org/10.3390/app152412981 - 9 Dec 2025
Viewed by 466
Abstract
With the rise of the low-altitude economy, there is growing demand for performance and safety evaluation of logistics drones and urban aircraft operating in complex turbulent environments. Conventional wind tunnels, however, face challenges in simulating the non-uniform wind fields characteristic of urban low-altitude [...] Read more.
With the rise of the low-altitude economy, there is growing demand for performance and safety evaluation of logistics drones and urban aircraft operating in complex turbulent environments. Conventional wind tunnels, however, face challenges in simulating the non-uniform wind fields characteristic of urban low-altitude conditions, such as building wake flows, street canyon winds, and tornadoes. To address this gap, this study proposes a novel simulation device for low-altitude complex wind fields, which utilizes multi-fan coordinated control technology integrated with jet fan arrays, pressure-stabilizing chambers, and swirl fan systems to dynamically replicate horizontal flows, vertical flows, and specialized wind patterns. Numerical simulations using Ansys Icepak validate the effectiveness of the design: the optimized horizontal flow field achieves a wind speed of 83 m/s with a turbulence intensity ranging from 5% to 20%; the gust mode attains rapid response within 3 s; and high-fidelity simulations are achieved for wind shear, tornadoes (with a maximum tangential wind speed of 50 m/s), and downbursts (with a central vertical jet velocity of 40 m/s). Furthermore, for typical urban wind environments such as alley winds and intersection flows, the study elucidates the characteristics of abrupt wind speed variations and vortex dynamics induced by building obstructions. This research provides a new perspective and a potential technical pathway for testing low-altitude aircraft, assessing urban wind environments, and supporting related studies, thereby contributing to the advancement of complex wind field simulation technologies. Full article
(This article belongs to the Section Aerospace Science and Engineering)
Show Figures

Figure 1

18 pages, 4834 KB  
Article
Synergistic Dust Removal Mechanisms in a Wet String Grid: Insights from Eulerian–Lagrangian Simulations of Turbulent Gas–Droplet–Particle Flow
by Hua Guo, Jinchen Yang, Wushen Qi and Nan He
Coatings 2025, 15(12), 1440; https://doi.org/10.3390/coatings15121440 - 7 Dec 2025
Viewed by 469
Abstract
This study proposes a model for a wet string grid dust removal system based on gas–droplet–particle turbulent Eulerian–Lagrangian simulation, providing in-depth insights into the dust removal mechanism of droplet groups and its impact on dust collection efficiency. Through numerical simulations and theoretical derivation, [...] Read more.
This study proposes a model for a wet string grid dust removal system based on gas–droplet–particle turbulent Eulerian–Lagrangian simulation, providing in-depth insights into the dust removal mechanism of droplet groups and its impact on dust collection efficiency. Through numerical simulations and theoretical derivation, we systematically introduce the mathematical expression of the droplet group dust removal efficiency and validate its applicability in wet string grid dust removal processes. The study reveals that the dust removal efficiency of the wet string grid system is influenced by multiple factors, including airflow velocity, droplet distribution, and the interaction between droplets and dust particles. By adjusting spray volume, wind speed, and the geometric parameters of the water mist zone, the dust removal process was optimized. The results show that increasing the wind speed enhances dust removal efficiency, but excessive wind speed reduces the dust capture efficiency of droplets. Additionally, based on simulation results of the flow field, the study identifies key factors influencing the dust removal efficiency of droplet groups and provides valuable insights for optimizing wet string grid dust removal systems in practical engineering. Full article
(This article belongs to the Special Issue Surface Chemistry in Science and Industry)
Show Figures

Figure 1

20 pages, 5109 KB  
Article
Improvement of Fast Simulation Method of the Flow Field in Vertical-Axis Wind Turbine Wind Farms and Consideration of the Effects of Turbine Selection Order
by Md. Shameem Moral, Yutaka Hara and Yoshifumi Jodai
Energies 2025, 18(23), 6294; https://doi.org/10.3390/en18236294 - 29 Nov 2025
Viewed by 339
Abstract
To determine the optimal arrangement of vertical-axis wind turbines (VAWTs) within wind farms, we previously developed a technique (method-1) that constructs a flow field based on two-dimensional (2D) velocity data derived from computational fluid dynamics (CFD) simulations. In this study, we introduce an [...] Read more.
To determine the optimal arrangement of vertical-axis wind turbines (VAWTs) within wind farms, we previously developed a technique (method-1) that constructs a flow field based on two-dimensional (2D) velocity data derived from computational fluid dynamics (CFD) simulations. In this study, we introduce an improved approach (method-2), which follows the same fundamental concept as method-1 but incorporates a more efficient algorithm for generating the flow field. Comparative analyses confirmed that method-2 produces results equivalent to those of method-1 while significantly reducing computational time and cost. Method-2 reduces the computation time of method-1 by approximately 50% for parallel layouts (θ = 0°) and up to 60% for slanted layouts (θ = ±45°). Using method-2, we further investigated the performance of a wind farm composed of eight VAWT rotors arranged in a linear configuration under the assumption of a 2D flow. The results highlighted two important aspects. First, the predicted power output is unaffected by the order in which the flow fields are superimposed during calculation; second, the method exhibits high sensitivity to even small variations in rotor placement within the layout when the spacings between rotors are short. Additionally, we examined how rotor spacing affects the distribution of power generation across the rotor array. These findings of this study validate the efficiency of method-2 and offer practical insights for designing optimized VAWT layouts. Full article
Show Figures

Figure 1

21 pages, 6166 KB  
Article
Effects of Angle of Attack and Feature-Preserving Reduced-Order Models for Canonical Bridge Deck Wakes
by Shijie Liu, Yuexin Cao, Zejun Qin, Jian Zhao, Luming An, Peng Guo, Zhen Zhang and Qingkuan Liu
Appl. Sci. 2025, 15(23), 12670; https://doi.org/10.3390/app152312670 - 29 Nov 2025
Viewed by 272
Abstract
Increasingly slender bridge decks are prone to wind-induced damage, where the complex interactions between the incoming wind, deck, and adjacent wake flows play a deciding role. However, the unsteady wake dynamics at small but realistic angles of attack and their compact reduced-order representation [...] Read more.
Increasingly slender bridge decks are prone to wind-induced damage, where the complex interactions between the incoming wind, deck, and adjacent wake flows play a deciding role. However, the unsteady wake dynamics at small but realistic angles of attack and their compact reduced-order representation remain insufficiently understood. The unsteady wakes subject to angle of attack from 3° to 5° are investigated via Koopman analysis with the Dynamic Mode Decomposition (DMD), aiming to construct accurate reduced-order models for largely repeated canonical cases, while preserving physical and phenomenological fidelity. Instantaneous velocity and vorticity fields reveal a clear separation-reattachment cycle: leading edge separation bubbles form and migrate upstream at drag peaks, then collapse and reattach at drag valleys. Shear layers roll up into dual vortices that pair, merge with Kelvin–Helmholtz-type shear-layer instabilities, and alternately shed from the deck’s upper and lower surfaces, driving oscillatory wake deflection and attendant drag and lift fluctuations. DMD identifies four dominant modes that together account for over 90% of the turbulent kinetic energy: time averaged base flow, the fundamental vortex shedding mode, and two higher frequency shear-layer modes. Adequate truncation reduces data dimensionality by an order of magnitude while keeping the normalized error below 6%. The results demonstrate that a DMD-based reduced-order model built on Unsteady Reynolds Averaged Navier–Stokes (URANS) data can faithfully preserve both large-scale separation topology and fine-scale vortical structures across small angles of attack, providing a compact and accurate representation of bridge-deck wakes for repeated canonical configurations. Full article
(This article belongs to the Section Civil Engineering)
Show Figures

Figure 1

31 pages, 15351 KB  
Article
Crosswind-Induced Hazards of Railway Bridge Auxiliary Fixtures: An IDDES Study on Walkway Slabs and Cable Troughs
by Hongkai Yan, Tanghong Liu, Xiaodong Chen, Haowei Cheng, Hongrui Gao and Xifeng Liang
Appl. Sci. 2025, 15(22), 12104; https://doi.org/10.3390/app152212104 - 14 Nov 2025
Viewed by 394
Abstract
This study presents a comprehensive numerical investigation into the aerodynamic behavior of pedestrian walkway slabs and cable troughs mounted on high-speed railway bridges under crosswind conditions. Using a full-scale T-beam bridge model with auxiliary components, unsteady flow simulations were performed employing the Improved [...] Read more.
This study presents a comprehensive numerical investigation into the aerodynamic behavior of pedestrian walkway slabs and cable troughs mounted on high-speed railway bridges under crosswind conditions. Using a full-scale T-beam bridge model with auxiliary components, unsteady flow simulations were performed employing the Improved Delayed Detached-Eddy Simulation (IDDES) approach coupled with the Shear Stress Transport (SST) k-ω turbulence model. Both steady and unsteady flow fields were examined to characterize velocity and pressure distributions, vortex shedding mechanisms, and aerodynamic force responses over a range of attack angles (α = –20° to +20°), yaw angles (β = 0° to 60°), and wind speeds (20–40 m/s). Results reveal that vortex-induced oscillations dominate at negative attack angles, while high positive angles suppress shedding and widen spectral energy. Spanwise flow effects persist across large yaw angles, maintaining consistent wake patterns but with reduced magnitudes. Aerodynamic coefficients of lift on slabs and troughs peak near α = 0°, with failure wind speeds computed at approximately 35 m/s for slabs and 22 m/s for troughs. Based on these findings, design recommendations are proposed to mitigate uplift and vibration risks in auxiliary bridge fixtures under extreme wind conditions. This work advances the assessment of crosswind safety for railways by incorporating the indirect effects of line-side structures on train operations, providing a basis for defining critical wind speed thresholds for railway bridge safety. Full article
(This article belongs to the Special Issue Rail Transport Aerodynamics)
Show Figures

Figure 1

19 pages, 13859 KB  
Article
Hybrid CFD-Deep Learning Approach for Urban Wind Flow Predictions and Risk-Aware UAV Path Planning
by Gonzalo Veiga-Piñeiro, Enrique Aldao-Pensado and Elena Martín-Ortega
Drones 2025, 9(11), 791; https://doi.org/10.3390/drones9110791 - 12 Nov 2025
Cited by 1 | Viewed by 1153
Abstract
We present a CFD-driven surrogate modeling framework that integrates a Convolutional Autoencoder (CAE) with a Deep Neural Network (DNN) for the rapid prediction of urban wind environments and their subsequent use in UAV trajectory planning. A Reynolds-Averaged Navier–Stokes (RANS) CFD database is generated, [...] Read more.
We present a CFD-driven surrogate modeling framework that integrates a Convolutional Autoencoder (CAE) with a Deep Neural Network (DNN) for the rapid prediction of urban wind environments and their subsequent use in UAV trajectory planning. A Reynolds-Averaged Navier–Stokes (RANS) CFD database is generated, parameterized by boundary-condition descriptors, to train the surrogate for velocity magnitude and turbulent kinetic energy (TKE). The CAE compresses horizontal flow fields into a low-dimensional latent space, providing an efficient representation of complex flow structures. The DNN establishes a mapping from input descriptors to the latent space, and flow reconstructions are obtained through the frozen decoder. Validation against CFD demonstrates that the surrogate captures velocity gradients and TKE distributions with mean absolute errors below 1% in most of the domain, while residual discrepancies remain confined to near-wall regions. The approach yields a computational speed-up of approximately 4000× relative to CFD, enabling deployment on embedded or edge hardware. For path planning, the domain is discretized as a k-Non-Aligned Nearest Neighbors (k-NANN) graph, and an A* search algorithm incorporates heading constraints and surrogate-based TKE thresholds. The integrated pipeline produces turbulence-aware, dynamically feasible trajectories, advancing the integration of high-fidelity flow predictions into urban air mobility decision frameworks. Full article
Show Figures

Figure 1

16 pages, 2200 KB  
Article
Coupling Dynamics and Regulation Mechanisms of Natural Wind, Traffic Wind, and Mechanical Wind in Extra-Long Tunnels
by Yongli Yin, Xiang Lei, Changbin Guo, Kai Kang, Hongbi Li, Jian Wang, Wei Xiang, Bo Guang and Jiaxing Lu
Processes 2025, 13(11), 3512; https://doi.org/10.3390/pr13113512 - 1 Nov 2025
Viewed by 386
Abstract
This study systematically investigates the velocity characteristics and coupling mechanisms of tunnel flow fields under the interactions of natural wind, traffic wind, mechanical ventilation, and structural factors (such as transverse passages and relative positions between vehicles and fans). Using CFD simulations combined with [...] Read more.
This study systematically investigates the velocity characteristics and coupling mechanisms of tunnel flow fields under the interactions of natural wind, traffic wind, mechanical ventilation, and structural factors (such as transverse passages and relative positions between vehicles and fans). Using CFD simulations combined with turbulence model analyses, the flow behaviors under different coupling scenarios are explored. The results show that: (1) Under natural wind conditions, transverse passages act as key pressure boundaries, reshaping the longitudinal wind speed distribution into a segmented structure of “disturbance zones (near passages) and stable zones (mid-regions)”, with disturbances near passages showing “amplitude enhancement and range contraction” as natural wind speed increases. (2) The coupling of natural wind and traffic wind (induced by moving vehicles) generates complex turbulent structures; vehicle motion forms typical flow patterns including stagnation zones, high-speed bypass flows, and wake vortices, while natural wind modulates the wake structure through momentum exchange, affecting pollutant dispersion. (3) When natural wind, traffic wind, and mechanical ventilation are coupled, the flow field is dominated by momentum superposition and competition; adjusting fan output can regulate coupling ranges and turbulence intensity, balancing energy efficiency and safety. (4) The relative positions of vehicles and fans significantly affect flow stability: forward positioning leads to synergistic momentum superposition with high stability, while reverse positioning induces strong turbulence, compressing jet effectiveness and increasing energy dissipation. This study reveals the intrinsic laws of tunnel flow field evolution under multi-factor coupling, providing theoretical support for optimizing tunnel ventilation system design and dynamic operation strategies. Full article
(This article belongs to the Section Energy Systems)
Show Figures

Figure 1

20 pages, 4788 KB  
Article
Vortex Dynamics Effects on the Development of a Confined Turbulent Wake
by Ioannis D. Kalogirou, Alexandros Romeos, Athanasios Giannadakis, Giouli Mihalakakou and Thrassos Panidis
Fluids 2025, 10(11), 283; https://doi.org/10.3390/fluids10110283 - 31 Oct 2025
Cited by 1 | Viewed by 671
Abstract
In the present work, the turbulent wake of a circular cylinder in a confined flow environment at a blockage ratio of 14% is experimentally investigated in a wind tunnel consisting of a parallel test section followed by a constant-area distorting duct, under subcritical [...] Read more.
In the present work, the turbulent wake of a circular cylinder in a confined flow environment at a blockage ratio of 14% is experimentally investigated in a wind tunnel consisting of a parallel test section followed by a constant-area distorting duct, under subcritical Re inlet conditions. The initial stage of wake development, extending from the bluff body to the end of the parallel section, is analyzed, with the use of hot-wire anemometry and laser-sheet visualization. The near field reveals partial similarity to unbounded wakes, with the principal difference being a modification of the Kármán vortex street topology, attributed to altered vortex dynamics under confinement. Further downstream, the mean and fluctuating velocity distributions of the confined wake gradually evolve toward channel-flow characteristics. To elucidate this transition, wake measurements are systematically compared with channel flow data obtained in the same configuration under identical inlet conditions and with reference channel-flow datasets from the literature. Experimental results show that a vortex-transportation mechanism exists due to confinement effect, resulting in the progressive crossing and realignment of counter-rotating vortices toward the tunnel centerline. Although wake flow characteristics are preserved, suppression of classical periodic shedding is clearly depicted. Furthermore, it is shown that the confined near-wake spectral peak persists up to x1/d~60 as in the free case and then vanishes as the spectra broadens. Coincidentally, the confined wake exhibits a narrower halfwidth than its free wake counterpart, while a centerline shift of the shed vortices is observed. Farfield wake-flow maintains strong anisotropy, while a weaker downstream growth of the streamwise integral scale is observed when compared to channel flow. Together, these findings explain how confinement reforms the nearfield topology and reorganizes momentum transport as the flow evolves to channel-like flow. Full article
(This article belongs to the Special Issue Industrial CFD and Fluid Modelling in Engineering, 3rd Edition)
Show Figures

Figure 1

19 pages, 3850 KB  
Article
Structural Characteristics of Wind Turbines with Different Blade Materials Under Yaw Condition
by Huanran Guo, Liru Zhang, Jing Jia, Ding Du, Anhao Wei and Tianhao Liu
Energies 2025, 18(21), 5558; https://doi.org/10.3390/en18215558 - 22 Oct 2025
Viewed by 496
Abstract
The uneven distribution of airflow on the blade surface of a yaw wind turbine triggers a complex non-constant flow, resulting in turbine flow field operation disorder, which, in turn, affects the structural field. In view of the different degrees of influence of different [...] Read more.
The uneven distribution of airflow on the blade surface of a yaw wind turbine triggers a complex non-constant flow, resulting in turbine flow field operation disorder, which, in turn, affects the structural field. In view of the different degrees of influence of different blade materials on the structural characteristics of a wind turbine, a numerical simulation of the flow field and structural field of the horizontal-axis wind turbine under different yaw conditions is carried out by using the fluid–solid coupling method to quantitatively analyse the degree of influence of the material on the structural characteristics of the wind turbine. The results show that the average velocity of the wake cross-section shows a trend of decreasing, then increasing, and then stabilising at all yaw angles. The larger the yaw angle, the wider is the vortex structure dispersion. As the wake develops downstream, the turbulence intensity is shown to decrease and then increase, and the yaw perturbation exacerbates the turbulence disorder in the wake flow field. Along the wind turbine blade spreading direction, the blade deformation phenomenon is significant. The yaw angle increases, the wind turbine blade deformation increases, and the maximum blade stress first increases and then decreases. At a 15° yaw angle, the airflow on the blade surface is more easily separated, and vortices are formed in the vicinity, which impede the airflow in the boundary layer and lead to a reduction in the velocity in the boundary layer in this region. The minimum deformation and maximum stress of the three materials under a 15° yaw angle indicate that the blades are more capable of resisting external deformation under this condition, so 15° yaw is the best operating condition for the wind turbine. This paper employs different materials to quantitatively analyse the extent to which structural characteristics influence wind turbine performance. The findings from this research can provide valuable insights for optimising wind turbine designs. Full article
Show Figures

Figure 1

20 pages, 6389 KB  
Article
Study on Characteristics and Numerical Simulation of a Convective Low-Level Wind Shear Event at Xining Airport
by Juan Gu, Yuting Qiu, Shan Zhang, Xinlin Yang, Shi Luo and Jiafeng Zheng
Atmosphere 2025, 16(10), 1137; https://doi.org/10.3390/atmos16101137 - 27 Sep 2025
Viewed by 767
Abstract
Low-level wind shear (LLWS) is a critical issue in aviation meteorology, posing serious risks to flight safety—especially at plateau airports with high elevation and complex terrain. This study investigates a convective wind shear event at Xining Airport on 29 May 2021. Multi-source observations—including [...] Read more.
Low-level wind shear (LLWS) is a critical issue in aviation meteorology, posing serious risks to flight safety—especially at plateau airports with high elevation and complex terrain. This study investigates a convective wind shear event at Xining Airport on 29 May 2021. Multi-source observations—including the Doppler Wind Lidar (DWL), the Doppler weather radar (DWR), reanalysis datasets, and automated weather observation systems (AWOS)—were integrated to examine the event’s fine-scale structure and temporal evolution. High-resolution simulations were conducted using the Large Eddy Simulation (LES) framework within the Weather Research and Forecasting (WRF) model. Results indicate that the formation of this wind shear was jointly triggered by convective downdrafts and the gust front. A northwesterly flow with peak wind speeds of 18 m/s intruded eastward across the runway, generating multiple radial velocity couplets on the eastern side, closely associated with mesoscale convergence and divergence. A vertical shear layer developed around 700 m above ground level, and the critical wind shear during aircraft go-around was linked to two convergence zones east of the runway. The event lasted about 30 min, producing abrupt changes in wind direction and vertical velocity, potentially causing flight path deviation and landing offset. Analysis of horizontal, vertical, and glide-path wind fields reveals the spatiotemporal evolution of the wind shear and its impact on aviation safety. The WRF-LES accurately captured key features such as wind shifts, speed surges, and vertical disturbances, with strong agreement to observations. The integration of multi-source observations with WRF-LES improves the accuracy and timeliness of wind shear detection and warning, providing valuable scientific support for enhancing safety at plateau airports. Full article
(This article belongs to the Section Meteorology)
Show Figures

Figure 1

Back to TopTop