Structural Characteristics of Wind Turbines with Different Blade Materials Under Yaw Condition
Abstract
1. Introduction
2. Yaw Leaf Element-Momentum Theory
3. Numerical Simulation
3.1. Wind Turbine Model
3.2. Grid Division
3.3. Simulations
3.4. Numerical Computation Method Validation
4. Analysis of Calculation Results
4.1. Flow Field Characterisation
4.1.1. Analysis of Speed Characteristics
4.1.2. Eddy Volume Analysis
4.1.3. Turbulence Intensity Analysis
4.2. Analysis of Structural Characteristics
4.2.1. Blade Deformation Analysis
Analysis of Blade Spreading Deformation of Different Materials Under Yaw Condition
Analysis of the Maximum Deformation of Blades Made of Different Materials Under Yaw Conditions
4.2.2. Blade Stress Analysis
Blade Surface Stress Cloud Analysis
Analysis of Maximum Stress on Blade Surface
4.2.3. Blade Equivalent Elastic Strain Analysis
Blade Surface Elastic Strain Cloud Analysis
Maximum Elastic Strain Analysis of Blade Surface
5. Conclusions
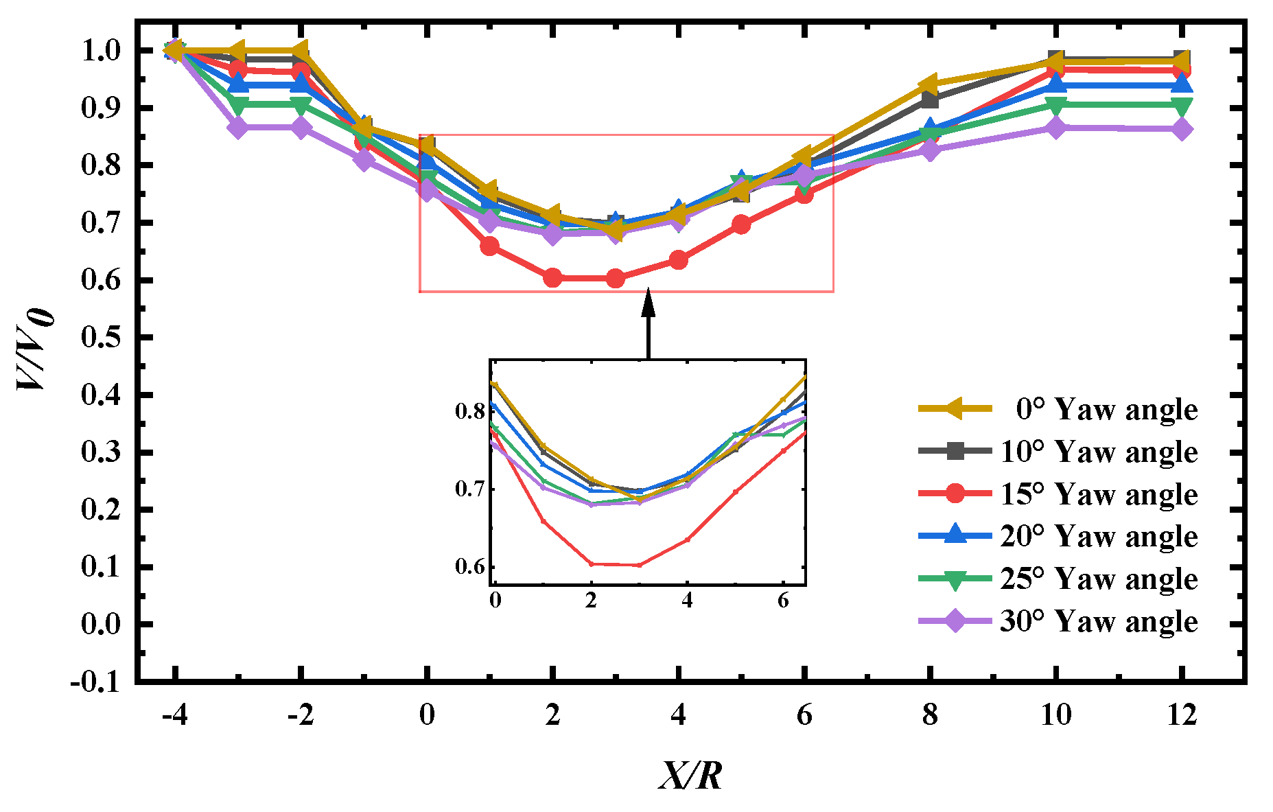
- Along the direction of the leaf spread, the average velocity at the blade boundary layer first increases and then decreases, and the average velocity of the wake cross-section under each yaw angle first decreases, then rises, and then gradually stabilizes. The larger the yaw angle is, the more obvious the deflection effect is, and the more the airflow velocity decreases. When the wind turbine yaws, the vortex structure disperses in a wide range, and the wake deflection is significant. The spatial distribution of the wind turbine’s obstruction to the incoming flow is extremely uneven, the stall region expands, and a large number of separating vortices are generated and interfere strongly with each other. As the wake develops downstream, the turbulence intensity first decreases and then increases. When the yaw angle increases, the turbulence intensity decay process is more complicated, and the turbulence evolution of the wake flow field is more turbulent after yaw interference.
- Along the wind turbine blade spreading direction, the blade deformation phenomenon is gradually obvious. The yaw angle is too large, and the blade deformation increases. With the increase in yaw angle, the maximum stress value of the blade first rises and then falls. Due to the difference of their own properties, materials 1, 2, and 3 have different stress response degrees under the aerodynamic force caused by the same yaw angle change. The mechanical property parameters of material 1 are more sensitive to the angle change, and the internal stress–strain response changes greatly. The yaw angle is too large, which changes the distribution of aerodynamic loads on the blades, the impact of airflow on the blades is weakened, the combined force on the blades is reduced, and the maximum elastic strain value is reduced.
- From the analysis of the wind turbine flow field characteristics, it can be seen that, in the yaw 15°, the airflow is more likely to be separated and creates a complex vortex-like flow near the surface of the wind turbine that resists the flow of fluids in the boundary layer, thus reducing the velocity of the boundary layer here; and 15° yaw angle of the cross-section of the flow field under the winding flow of the smallest average velocity, the fastest speed recovery in the wake flow field, which is conducive to the downstream operation of the wind turbine. From the analysis of the structural characteristics of the wind turbine, it can be seen that 15° yaw angle of the three materials under the wind turbine blade deformation of the smallest amount and the largest stress, it can be seen in this condition that the blade resistance to external deformation is stronger, in terms of power generation efficiency; wind turbines perform best under no-yaw conditions. However, in actual operation, wind turbines typically run under yaw conditions, so it can be seen that the yaw 15° is the best operating conditions of the wind turbine.
Author Contributions
Funding
Data Availability Statement
Conflicts of Interest
References
- Xue, H.; Runhua, Z. Wind Power Technology; China Machine Press: Hefei, China, 2022. [Google Scholar]
- Archer, L.C.; Vasel-Be-Hagh, A.; Yan, C.; Wu, S.; Pan, Y.; Brodie, J.F.; Maguire, A.E. Review and evaluation of wake loss models for wind energy applications. Appl. Energy 2018, 22, 1187–1207. [Google Scholar] [CrossRef]
- Yu, Y. Study on Fluid-Solid Coupling of Wind Turbine Blades UNDER Typhoon; Harbin Engineering University: Harbin, China, 2023. [Google Scholar]
- Lingfeng, F. Blade Ply Design and Strength Characteristics of Carbon Glass Fiber Hybrid Composites; Inner Mongolia University of Technology: Mongolia, China, 2023. [Google Scholar]
- Guo, Z.; Li, H.; Wang, L.; Zhou, B.; Xin, W. Failure prediction study of out-of-plane wrinkles defects on the main spar of wind turbine blades under tensile and bending loads. Acta Energiae Solaris Sin. 2024, 45, 586–594. [Google Scholar]
- Guo, M.; Zhang, L.; Li, D.; Wang, X.; Niu, J. Analysis of wake deflection and turbulence characteristics of horizontal axis wind turbine under yaw condition. J. Drain. Irrig. Mach. Eng. 2020, 38, 702–707. [Google Scholar]
- Wu, W.; Liu, X.; Liu, J.; Zeng, S.; Zhou, C.; Wang, X. Investigation into Yaw Motion Influence of Horizontal-Axis Wind Turbine on Wake Flow Using, LBM–LES. Energies 2021, 14, 5248. [Google Scholar] [CrossRef]
- Feng, J.; Liu, X.; Xu, B.; Fu, L.; Guo, M. Effect of yaw deviation angle on wind turbine hub load. Renew. Energy 2023, 41, 221–226. [Google Scholar]
- Lan, X.; Zhao, M.; Jia, Z.; Sun, H. The Effect of Blade Coning on the Flow Field of Wind Turbines under Yaw Conditions. J. Phys. Conf. Ser. 2023, 2636, 13–21. [Google Scholar] [CrossRef]
- Elkodama, A.; Abdellatif, A.; Shaaban, S.; Rushdi, M.A.; Yoshida, S.; Ismaiel, A. Investigation into the Yaw Control of a Twin-Rotor 10 MW Wind Turbine. Appl. Sci. 2024, 14, 9810. [Google Scholar] [CrossRef]
- Lin, M.; Porte-Agel, F. Wake meandering of wind turbines under dynamic yaw control and impacts on power and fatigue. Renew. Energy 2024, 223, 120003. [Google Scholar] [CrossRef]
- Yao, T.; Chao, G.; Ya, L. Yaw and Pitch Wake Characteristics of Horizontal Axis Wind Turbines. Acta Aerodyn. Sin. 2023, 41, 80–93. [Google Scholar]
- Zhang, B.; Yang, L.; Yu, L.; Zhao, Z.; Liu, H. Dynamic Characteristics of Forced Motion Wind Turbines under Different Yaw Conditions. Renew. Energy 2024, 42, 908–914. [Google Scholar]
- Han, W.; Kim, H.; Son, E.; Lee, S. Assessment of yaw-control effects on wind turbine-wake interaction: A coupled unsteady vortex lattice method and curled wake model analysis. J. Wind. Eng. Ind. Aerodyn. 2023, 242, 105559. [Google Scholar] [CrossRef]
- Jin, B.; Gao, Z. Numerical Simulation Study on the Influence of Yaw-to-Wind Angular Velocity on Wind Turbine Aerodynamic Characteristics. J. Phys. Conf. Ser. 2023, 2488, 22–29. [Google Scholar] [CrossRef]
- Noura, B.; Dobrev, I.; Kerfah, R.; Massouh, F.; Khelladi, S. Investigation of the Rotor Wake of Horizontal Axis Wind Turbine under Yawed Condition. J. Appl. Fluid Mech. 2016, 9, 2695–2705. [Google Scholar] [CrossRef]
- Xu, Q.; Xu, Z.; Zhu, X.; Chen, J.; Gao, X. The Effect of Upstream Wind Turbine Yaw on the Aerodynamic Characteristics of Downstream Wind Turbines. Renew. Energy 2024, 42, 760–766. [Google Scholar]
- Santo, G.; Peeters, M.; Van Paepegem, W.; Degroote, J. Effect of rotor-tower interaction, tilt angle, and yaw misalignment on the aeroelasticity of a large horizontal axis wind turbine with composite blades. Wind. Energy 2020, 23, 1578–1595. [Google Scholar] [CrossRef]
- Wang, X.; Zhang, L.; Zhang, J.; Wang, J. Study on the Output Power of Wind Turbines under Fluid-Structure Interaction Yaw Conditions. J. Eng. Thermophys. 2021, 42, 641–646. [Google Scholar]
- Dacuan, N. Study on the Deformation of Wind Turbine Blades Under Yaw Conditions; Inner Mongolia University of Technology: Mongolia, China, 2024. [Google Scholar]
- Niu, D.; Zhang, L.; Jia, J.; Gao, W.; Lu, Y. Experimental Study on Dynamic Flapping Deformation of Wind Turbine Blades under Yaw Conditions. Renew. Energy 2024, 42, 1491–1497. [Google Scholar]
- Zhang, Z. Study on the Aeroelastic Characteristics of Large Wind Turbine Blades; North China Electric Power University: Beijing, China, 2024. [Google Scholar]
- Jeong, M.; Kim, S.; Lee, I.; Yoo, S.J.; Park, K.C. The impact of yaw error on aeroelastic characteristics of a horizontal axis wind turbine blade. Renew. Energy 2013, 60, 256–268. [Google Scholar] [CrossRef]
- Tao, C. Experimental Study on the Correlation between Yaw Downwind Turbine and Tower Vibration Characteristics; Inner Mongolia University of Technology: Mongolia, China, 2019. [Google Scholar]
- Zhao, Y.; Gong, X.; Wang, J.; Zhang, L.; Bai, Y. Stress Characteristics of Horizontal-Axis Wind Turbine Blades under Dynamic Yaw. Appl. Sci. 2023, 13, 8418. [Google Scholar] [CrossRef]
- Wang, Y.; Liu, X.; Zhai, J.; Liu, Z.; Wang, J. Vibration sensing method for wind turbine blades under dynamic yaw conditions based on strain modes. Acta Energiae Solaris Sin. 2025, 46, 125–133. [Google Scholar]
- Zhang, J.; Wang, J.; Yan, S. Study on the Influence of Different Yaw Conditions on Wind Turbine Vibration and Power. J. Eng. Thermophys. 2025, 46, 1477–1487. [Google Scholar]
- Chuang, Z.; Xia, L.; Qu, Y.; Li, W.; Li, J. Investigation of Structural Nonlinearity Effects on the Aeroelastic and Wake Characteristics of a 15 MW Wind Turbine. J. Mar. Sci. Eng. 2025, 13, 116. [Google Scholar] [CrossRef]
- Liu, K.; Liao, W.; Li, C.; Jia, W.; Yue, M. Study on the Aerodynamic Characteristics of the Wake of a Horizontal-Axis Wind Turbine under Turbulent Wind Fields. J. Chin. Electr. Eng. 2025, 15, 1–11. [Google Scholar] [CrossRef]
- Zhu, H.; Liao, W.; Li, C.; Yue, M. Research on the lightweight design of biomimetic structures for large wind turbine blades. Therm. Power Eng. 2024, 39, 139–149. [Google Scholar]
- Zhu, H.; Liao, W.; Fan, S.; Li, C.; Wang, H. Design and Performance Analysis of Biomimetic Vein Structures for Large Wind Turbine Blades. J. Electr. Eng. China 2025, 45, 1521–1532. [Google Scholar]
- Yao, H.; Zhang, L.; Zhang, J.; Gao, W.; Wang, J. PIV Experimental Study on the Changes in the Flow Field Characteristics Around Wind Turbine Blades Made of Different Materials. J. Sol. Energy 2023, 44, 140–145. [Google Scholar]
- Peng, H.; Lin, Q.; Liu, H. Effects of aeroelasticity and wind direction on the aerodynamic characteristics and structural responses of blades for horizontal-axis wind turbines under typhoons. J. Wind. Eng. Ind. Aerodyn. 2025, 26, 106–125. [Google Scholar] [CrossRef]
- Jai Ganesh, R.; Alagarsamy, M.; Gabriel Santhosh Kumar, G.; Tamilnesan, P.; Kaarthik, K.; Yimer, J.M. Aquatic emission and properties analysis for wind turbine blades. Adv. Mater. Sci. Engrey 2022, 2022, 5746688. [Google Scholar] [CrossRef]
- Wang, J.; Zhao, Y.; Zhang, P.; Ren, B.; Yin, J. Experimental Study on Dynamic Stress of Different Materials under Wind Direction Changes. J. Drain. Irrig. Mach. Eng. 2024, 42, 273–281. [Google Scholar]
- Yu, T.; Zhang, L.; Wang, X. Study on the deformation of wind turbine blades based on fluid-structure interaction. Renew. Energy 2019, 37, 1381–1385. [Google Scholar]
- Dehouck, V.; Lateb, M.; Sacheau, J.; Fellouah, H. Application of the blade element momentum theory to design horizontal axis wind turbine blades. J. Sol. Energy Eng. 2018, 140, 014501. [Google Scholar] [CrossRef]
- Gao, W.; Zhang, L.; Yao, H.; Yan, R. Vortex Characteristics of Horizontal Axis Wind Turbine Blades and Wake Flow Fields Based on Moving Mesh Technology. J. Drain. Irrig. Mach. Eng. 2023, 41, 172–178. [Google Scholar]
- Zhang, L.; Niu, J.; Wang, X.; Jiao, X.; Yao, H. Study on the Turbulence Characteristics of Wind Turbine Wake under Flow-Structure Interaction Yaw. Acta Energiae Solaris Sin. 2022, 43, 340–346. [Google Scholar]
- Yan, S.; Wang, J.; Zhang, J. Analysis of the stress characteristics of wind turbine towers under dynamic wind direction changes. Acta Energiae Solaris Sin. 2023, 44, 140–146. [Google Scholar]
- Zhao, Y. Study on the Dynamic Stress Characteristics of Wind Turbine Blades Under Aerodynamic Loads; Inner Mongolia University of Technology: Mongolia, China, 2021. [Google Scholar]
- Lu, Y. Study on the Influence of Pitch Angle on the Aerodynamic Characteristics and Structural Characteristics of Wind Turbines; Inner Mongolia University of Technology: Mongolia, China, 2024. [Google Scholar]
- Lubecki, M.; Stosiak, M.; Karpenko, M.; Urbanowicz, K.; Deptuła, A.; Cieślicki, R. Design and FEM Analysis of Plastic Parts of a Tie-Rod Composite Hydraulic Cylinder. Mechanick 2023, 29, 358–362. [Google Scholar] [CrossRef]














| Parameter | Numerical Value |
|---|---|
| Wheel diameter D | 1.4 m |
| Wind turbine yaw angle γ | 0°/10°/15°/20°/25°/30° |
| Wheel centre height h | 1.71 m |
| Rating P | 300 W |
| Rated speed N | 750 r/min |
| Rated tip speed ratio | 5.5 |
| Rated incoming air velocity V | 10 m/s |
| Tower diameter d | 0.11 m |
| Wind turbine inclination β | 0° |
| Density (kg/m3) | Modulus of Elasticity (GPa) | Poisson’s Ratio | |
|---|---|---|---|
| Material 1 | 700 | 4.8 | 0.33 |
| Material 2 | 1000 | 20 | 0.3 |
| Material 3 | 2100 | 39 | 0.28 |
Disclaimer/Publisher’s Note: The statements, opinions and data contained in all publications are solely those of the individual author(s) and contributor(s) and not of MDPI and/or the editor(s). MDPI and/or the editor(s) disclaim responsibility for any injury to people or property resulting from any ideas, methods, instructions or products referred to in the content. |
© 2025 by the authors. Licensee MDPI, Basel, Switzerland. This article is an open access article distributed under the terms and conditions of the Creative Commons Attribution (CC BY) license (https://creativecommons.org/licenses/by/4.0/).
Share and Cite
Guo, H.; Zhang, L.; Jia, J.; Du, D.; Wei, A.; Liu, T. Structural Characteristics of Wind Turbines with Different Blade Materials Under Yaw Condition. Energies 2025, 18, 5558. https://doi.org/10.3390/en18215558
Guo H, Zhang L, Jia J, Du D, Wei A, Liu T. Structural Characteristics of Wind Turbines with Different Blade Materials Under Yaw Condition. Energies. 2025; 18(21):5558. https://doi.org/10.3390/en18215558
Chicago/Turabian StyleGuo, Huanran, Liru Zhang, Jing Jia, Ding Du, Anhao Wei, and Tianhao Liu. 2025. "Structural Characteristics of Wind Turbines with Different Blade Materials Under Yaw Condition" Energies 18, no. 21: 5558. https://doi.org/10.3390/en18215558
APA StyleGuo, H., Zhang, L., Jia, J., Du, D., Wei, A., & Liu, T. (2025). Structural Characteristics of Wind Turbines with Different Blade Materials Under Yaw Condition. Energies, 18(21), 5558. https://doi.org/10.3390/en18215558
