Effects of Angle of Attack and Feature-Preserving Reduced-Order Models for Canonical Bridge Deck Wakes
Abstract
1. Introduction
2. Methodology
2.1. Governing Equations
2.2. Numerical Setup
2.2.1. Test Case
2.2.2. Validation of Simulation Results
2.3. Dynamic Mode Decomposition
2.4. Data Availability
3. Results and Discussion
3.1. Flow Field Characteristics at Different Angles of Attack
3.1.1. Selection of Characteristic Time Instant
3.1.2. Comparison of Instantaneous Velocity Fields
3.1.3. Evolution of Streamline Patterns
3.1.4. Z-Vorticity Distribution Features
3.1.5. Turbulent Kinetic Energy Distribution and Evolution
3.1.6. Comprehensive Physical-Mechanism Interpretation
3.2. DMD Results and Discussion
3.2.1. FFT Analysis
3.2.2. DMD Analysis
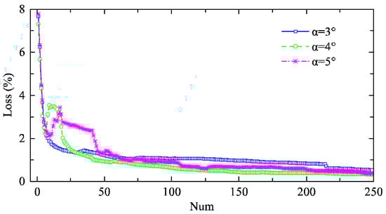
3.3. Reconstruction of Flow Fields
4. Conclusions
- (1)
- The URANS results reveal a robust separation–reattachment cycle that persists across all examined angles of attack. A leading-edge separation bubble forms and migrates upstream near drag maxima, then contracts and reattaches near drag minima. The separated shear layers roll up into large-scale vortices associated with Kelvin–Helmholtz-type shear-layer instabilities and alternately shed from the upper and lower surfaces of the deck, producing oscillatory wake deflection and corresponding fluctuations in drag and lift.
- (2)
- DMD applied to the streamwise-velocity snapshots identifies four dominant modes—the time-averaged base flow, the primary vortex-shedding mode, and two higher-frequency shear-layer modes—that together capture more than 90% of the wake kinetic energy. The dominant DMD frequencies agree closely with the main FFT peaks, confirming that these modes represent the essential unsteady dynamics of the wake.
- (3)
- Retaining only the four dominant modes reduces the data dimensionality by more than one order of magnitude while keeping the normalized reconstruction error below 6% for all five phases within one shedding period and for all three angles of attack. The reconstructed velocity fields accurately reproduce the size and position of the separation bubble, the roll-up of the shear layers, and the phase-dependent wake deflection, demonstrating that the proposed Koopman/DMD-based reduced-order model is both compact and physically interpretable.
Author Contributions
Funding
Institutional Review Board Statement
Informed Consent Statement
Data Availability Statement
Conflicts of Interest
Abbreviations
| DMD | Dynamic Mode Decomposition |
| URANS | Unsteady Reynolds-Averaged Navier–Stokes equations |
| CFD | Computational Fluid Dynamics |
| PIV | Particle Image Velocimetry |
| ROMs | Reduced Order Models |
| POD | Proper Orthogonal Decomposition |
| RANS | Reynolds-Averaged Navier–Stokes equations |
References
- Larsen, A.; Larose, G.L. Dynamic wind effects on suspension and cable-stayed bridges. J. Sound Vib. 2015, 334, 2–28. [Google Scholar] [CrossRef]
- Fujino, Y.; Siringoringo, D. Vibration Mechanisms and Controls of Long-Span Bridges: A Review. Struct. Eng. Int. 2013, 23, 248–268. [Google Scholar] [CrossRef]
- Wu, T.; Kareem, A. An overview of vortex-induced vibration (VIV) of bridge decks. Front. Struct. Civ. Eng. 2012, 6, 335–347. [Google Scholar] [CrossRef]
- Li, H.; Laima, S.; Jing, H. Reynolds number effects on aerodynamic characteristics and vortex-induced vibration of a twin-box girder. J. Fluids Struct. 2014, 50, 358–375. [Google Scholar] [CrossRef]
- Ma, W.; Liu, Q.; Macdonald, J.; Yan, X.; Zheng, Y. The effect of surface roughness on aerodynamic forces and vibrations for a circular cylinder in the critical Reynolds number range. J. Wind Eng. Ind. Aerodyn. 2019, 187, 61–72. [Google Scholar] [CrossRef]
- Sun, Y.; Liu, Q.; Shao, L.; Wang, Y.; Chang, X.; Liu, K. Experimental investigation of aerodynamic forces and vortex-induced vibrations of wavy cylinders at subcritical Reynolds numbers. Exp. Therm. Fluid Sci. 2023, 114, 110869. [Google Scholar] [CrossRef]
- Zhang, Y.; Liao, H.; Zhou, Q. Effects of additional static wind angle of attack on discrepancies between 2D and 3D flutter of suspension bridges. Eng. Struct. 2025, 333, 120137. [Google Scholar] [CrossRef]
- Mannini, C.; Šoda, A.; Voß, R.; Schewe, G. Unsteady RANS simulations of flow around a bridge section. J. Wind Eng. Ind. Aerodyn. 2010, 98, 742–753. [Google Scholar] [CrossRef]
- Tang, H.; Shum, K.; Li, Y. Investigation of flutter performance of a twin-box bridge girder at large angles of attack. J. Wind Eng. Ind. Aerodyn. 2019, 186, 192–203. [Google Scholar] [CrossRef]
- Wang, H.F.; Cao, H.L.; Zhou, Y. POD analysis of a finite-length cylinder near wake. Exp. Fluids 2014, 55, 1790. [Google Scholar] [CrossRef]
- Younis, M.Y.; Zhang, H.; Hu, B.; Muhammad, Z.; Mehmood, S. Investigation of different aspects of laminar horseshoe vortex system using PIV. J. Mech. Sci. Technol. 2014, 28, 527–537. [Google Scholar] [CrossRef]
- Gao, D.; Huang, Y.; Chen, W.-L.; Chen, G.; Li, H. Control of circular cylinder flow via bilateral splitter plates. Phys. Fluids 2019, 31, 057105. [Google Scholar] [CrossRef]
- Chen, W.-L.; Li, H.; Hu, H. An experimental study on the unsteady vortices and turbulent flow structures around twin-box-girder bridge deck models with different gap ratios. J. Wind Eng. Ind. Aerodyn. 2014, 132, 27–36. [Google Scholar] [CrossRef]
- Park, J.; Kim, S.; Kim, H.-K. Effect of gap distance on vortex-induced vibration in two parallel cable-stayed bridges. J. Wind. Eng. Ind. Aerodyn. 2017, 162, 35–44. [Google Scholar] [CrossRef]
- Wang, J.; Ma, C.; Li, Q.; Qin, H. Influence of gap width on buffeting force spatial correlation and aerodynamic admittance of twin-box bridge deck. J. Wind Eng. Ind. Aerodyn. 2020, 207, 104392. [Google Scholar] [CrossRef]
- Blocken, B. 50 years of Computational Wind Engineering: Past, present and future. J. Wind Eng. Ind. Aerodyn. 2014, 129, 69–102. [Google Scholar] [CrossRef]
- Stringer, R.; Zang, J.; Hillis, A. Unsteady RANS computations of flow around a circular cylinder for a wide range of Reynolds numbers. Ocean Eng. 2014, 87, 1–9. [Google Scholar] [CrossRef]
- Deng, T.; Chen, Z.; Fu, J.-Y.; Li, Y. An improved inflow turbulence generator for large eddy simulation evaluation of wind effects on tall buildings. Eng. Appl. Comput. Fluid Mech. 2023, 17, e2155704. [Google Scholar] [CrossRef]
- Lam, K.; Lin, Y.; Zou, L.; Liu, Y. Numerical study of flow patterns and force characteristics for square and rectangular cylinders with wavy surfaces. J. Fluids Struct. 2012, 28, 359–377. [Google Scholar] [CrossRef]
- Zhang, H.; Xin, D.; Ou, J. Wake control using spanwise-varying vortex generators on bridge decks: A computational study. J. Wind Eng. Ind. Aerodyn. 2019, 184, 185–197. [Google Scholar] [CrossRef]
- Song, J.-L.; Li, J.-W.; Xu, R.-Z.; Flay, R.G.J. Field measurements and CFD simulations of wind characteristics at the Yellow River bridge site in a converging-channel terrain. Eng. Appl. Comput. Fluid Mech. 2022, 16, 58–72. [Google Scholar] [CrossRef]
- Zhang, Z.; Wang, J.; Huang, R.; Qiu, R.; Chu, X.; Ye, S.; Wang, Y.; Liu, Q. Data-driven turbulence model for unsteady cavitating flow. Phys. Fluids 2023, 35, 015134. [Google Scholar] [CrossRef]
- Villalpando, F.; Reggio, M.; Ilinca, A. Numerical Study of Flow Around Iced Wind Turbine Airfoil. Eng. Appl. Comput. Fluid Mech. 2012, 6, 39–45. [Google Scholar] [CrossRef]
- Jing, H.; Zhang, J.; Liu, Q.; Wang, Y. LES study of flow field and aerodynamic forces on a circular cylinder at Re=3900 with focus on grid resolution. Wind Struct. 2023, 36, 175–200. [Google Scholar] [CrossRef]
- Bruno, L.; Khris, S. The Validity of 2D Numerical Simulations of Vertical Structures Around a Bridge Deck. Math. Comput. Model. 2003, 37, 795–828. [Google Scholar] [CrossRef]
- Hasegawa, K.; Fukami, K.; Murata, T.; Fukagata, K. Machine-learning-based reduced-order modeling for unsteady flows around bluff bodies of various shapes. Theor. Comput. Fluid Dyn. 2020, 34, 367–383. [Google Scholar] [CrossRef]
- Kherad, M.; Moayyedi, M.K.; Fotouhi, F. Reduced order framework for convection dominant and pure diffusive problems based on combination of deep long short-term memory and proper orthogonal decomposition/dynamic mode decomposition methods. Int. J. Numer. Methods Fluids 2021, 93, 853–873. [Google Scholar] [CrossRef]
- Kou, J.; Zhang, W. An improved criterion to select dominant modes from dynamic mode decomposition. Eur. J. Mech. B/Fluids 2017, 62, 109–129. [Google Scholar] [CrossRef]
- Li, T.; Wu, T.; Liu, Z. Nonlinear unsteady bridge aerodynamics: Reduced-order modeling based on deep LSTM networks. J. Wind Eng. Ind. Aerodyn. 2020, 198, 104116. [Google Scholar] [CrossRef]
- Zhang, B.; Ooka, R.; Kikumoto, H. Analysis of turbulent structures around a rectangular prism building model using spectral proper orthogonal decomposition. J. Wind Eng. Ind. Aerodyn. 2020, 206, 104213. [Google Scholar] [CrossRef]
- Zhang, B.; Ooka, R.; Kikumoto, H. Identification of three-dimensional flow features around a square-section building model via spectral proper orthogonal decomposition. Phys. Fluids 2021, 33, 035151. [Google Scholar] [CrossRef]
- Zhang, B.; Ooka, R.; Kikumoto, H. Spectral Proper Orthogonal Decomposition Analysis of Turbulent Flow in a Two-Dimensional Street Canyon and Its Role in Pollutant Removal. Bound. Layer Meteorol. 2022, 183, 97–123. [Google Scholar] [CrossRef]
- Rowley, C.W.; Dawson, S.T. Model Reduction for Flow Analysis and Control. Annu. Rev. Fluid Mech. 2017, 49, 387–417. [Google Scholar] [CrossRef]
- Zhang, B.; Hu, H.; Kikumoto, H.; Ooka, R. Turbulence-induced ventilation of an isolated building: Ventilation route identification using spectral proper orthogonal decomposition. Build. Environ. 2022, 223, 109471. [Google Scholar] [CrossRef]
- Zhang, B.; Zhou, L.; Tse, T.K.; Wang, L.; Niu, J.; Mak, C.M. Extended spectral proper orthogonal decomposition for analysis of correlated surrounding flow structures and wind load components of a building. J. Wind Eng. Ind. Aerodyn. 2023, 240, 105512. [Google Scholar] [CrossRef]
- Li, C.Y.; Tse, T.K.; Hu, G. Dynamic Mode Decomposition on pressure flow field analysis Flow field reconstruction accuracy and practical significance. J. Wind Eng. Ind. Aerodyn. 2020, 205, 104278. [Google Scholar] [CrossRef]
- Sun, C.; Tian, T.; Zhu, X.; Hua, O.; Du, Z. Investigation of the near wake of a horizontal-axis wind turbine model by dynamic mode decomposition. Energy 2021, 227, 120418. [Google Scholar] [CrossRef]
- Zhi, Y.; Qiu, R.; Huang, R.; Wang, Y. Dynamic mode decomposition and reconstruction of the transient propeller wake under a light loading condition. Ocean. Eng. 2023, 269, 113532. [Google Scholar] [CrossRef]
- Launder, B.; Sharma, B. Application of the energy-dissipation model of turbulence to the calculation of flow near a spinning disc. Lett. Heat Mass Transf. 1974, 1, 131–137. [Google Scholar] [CrossRef]
- Wilcox, D.C. Formulation of the k − ω Turbulence Model Revisited. AIAA J. 2008, 46, 2823–2838. [Google Scholar] [CrossRef]
- Chen, K.K.; Tu, J.H.; Rowley, C.W. Variants of dynamic mode decomposition: Boundary condition, Koopman, and Fourier analyses. J. Nonlinear Sci. 2012, 22, 887–915. [Google Scholar] [CrossRef]
- Jovanović, M.R.; Schmid, P.J.; Nichols, J.W. Sparsity-promoting dynamic mode decomposition. Phys. Fluids 2014, 26, 024103. [Google Scholar] [CrossRef]
- Qiu, R.; Huang, R.; Wang, Y.; Huang, C. Dynamic mode decomposition and reconstruction of transient cavitating flows around a Clark-Y hydrofoil. Theor. Appl. Mech. Lett. 2020, 10, 327–332. [Google Scholar] [CrossRef]
- Schmid, P.J. Dynamic mode decomposition of numerical and experimental data. J. Fluid Mech. 2010, 656, 5–28. [Google Scholar] [CrossRef]
- Schmid, P.J. Dynamic Mode Decomposition and Its Variants. Annu. Rev. Fluid Mech. 2022, 54, 225–254. [Google Scholar] [CrossRef]
- Zhang, Z.; Song, X.-D.; Ye, S.-R.; Wang, Y.-W.; Huang, C.-G.; An, Y.-R.; Chen, Y.-S. Application of deep learning method to Reynolds stress models of channel flow based on reduced-order modeling of DNS data. J. Hydrodyn. 2019, 31, 58–65. [Google Scholar] [CrossRef]

















| Coefficient | Simulation Results | Experiment Results | Absolute Error | Relative Error |
|---|---|---|---|---|
| Lift | 0.249 | 0.281 | 0.032 | 11.4% |
| Drag | 1.303 | 1.297 | 0.006 | 0.5% |
| Mode | 3° | 4° | 5° | ||||||
|---|---|---|---|---|---|---|---|---|---|
| DMD | FFT | Error(%) | DMD | FFT | Error(%) | DMD | FFT | Error(%) | |
| 1 | 0 | 0 | 0 | 0 | 0 | 0 | 0 | 0 | 0 |
| 2 | 0.0070 | 0.0072 | 2.7 | 0.0040 | 0.0042 | 4.7 | 0.0040 | 0.0043 | 6.9 |
| 3 | 0.0140 | 0.0142 | 1.4 | 0.0080 | 0.0079 | 1.3 | 0.0080 | 0.0087 | 8.0 |
| 4 | 0.0210 | 0.0213 | 1.4 | 0.0125 | 0.0124 | 0.8 | 0.0125 | 0.0132 | 5.3 |
| Error (1/5 T) | Error (2/5 T) | Error (3/5 T) | Error (4/5 T) | Error (T) | |
|---|---|---|---|---|---|
| 3° | 5.71 | 5.12 | 5.66 | 4.06 | 5.24 |
| 4° | 5.63 | 5.41 | 4.50 | 4.18 | 4.88 |
| 5° | 5.97 | 5.83 | 5.45 | 5.18 | 4.64 |
Disclaimer/Publisher’s Note: The statements, opinions and data contained in all publications are solely those of the individual author(s) and contributor(s) and not of MDPI and/or the editor(s). MDPI and/or the editor(s) disclaim responsibility for any injury to people or property resulting from any ideas, methods, instructions or products referred to in the content. |
© 2025 by the authors. Licensee MDPI, Basel, Switzerland. This article is an open access article distributed under the terms and conditions of the Creative Commons Attribution (CC BY) license (https://creativecommons.org/licenses/by/4.0/).
Share and Cite
Liu, S.; Cao, Y.; Qin, Z.; Zhao, J.; An, L.; Guo, P.; Zhang, Z.; Liu, Q. Effects of Angle of Attack and Feature-Preserving Reduced-Order Models for Canonical Bridge Deck Wakes. Appl. Sci. 2025, 15, 12670. https://doi.org/10.3390/app152312670
Liu S, Cao Y, Qin Z, Zhao J, An L, Guo P, Zhang Z, Liu Q. Effects of Angle of Attack and Feature-Preserving Reduced-Order Models for Canonical Bridge Deck Wakes. Applied Sciences. 2025; 15(23):12670. https://doi.org/10.3390/app152312670
Chicago/Turabian StyleLiu, Shijie, Yuexin Cao, Zejun Qin, Jian Zhao, Luming An, Peng Guo, Zhen Zhang, and Qingkuan Liu. 2025. "Effects of Angle of Attack and Feature-Preserving Reduced-Order Models for Canonical Bridge Deck Wakes" Applied Sciences 15, no. 23: 12670. https://doi.org/10.3390/app152312670
APA StyleLiu, S., Cao, Y., Qin, Z., Zhao, J., An, L., Guo, P., Zhang, Z., & Liu, Q. (2025). Effects of Angle of Attack and Feature-Preserving Reduced-Order Models for Canonical Bridge Deck Wakes. Applied Sciences, 15(23), 12670. https://doi.org/10.3390/app152312670

