Sign in to use this feature.

Years

Between: -

Subjects

remove_circle_outline
remove_circle_outline
remove_circle_outline
remove_circle_outline
remove_circle_outline
remove_circle_outline
remove_circle_outline
remove_circle_outline
remove_circle_outline

Journals

remove_circle_outline
remove_circle_outline
remove_circle_outline
remove_circle_outline
remove_circle_outline
remove_circle_outline
remove_circle_outline
remove_circle_outline
remove_circle_outline
remove_circle_outline

Article Types

Countries / Regions

remove_circle_outline
remove_circle_outline
remove_circle_outline
remove_circle_outline

Search Results (2,991)

Search Parameters:
Keywords = waveguiding

Order results
Result details
Results per page
Select all
Export citation of selected articles as:
14 pages, 2518 KB  
Article
Improved Sensitivity of Brain Cancer Detection Using 2D Photonic Crystal Sensor
by Sarra Bendib, Nadhir Djeffal, Abderrahim Yousfi, Okba Saidani and Abdallah Hedir
Photonics 2026, 13(2), 207; https://doi.org/10.3390/photonics13020207 - 22 Feb 2026
Abstract
This study investigates the influence of cavity configuration on the performance of two-dimensional (2D) photonic crystal (PhC) sensors, with particular emphasis on the effect of doubling the number of cavities. A comparative analysis between single-cavity and dual-cavity configurations is conducted to evaluate their [...] Read more.
This study investigates the influence of cavity configuration on the performance of two-dimensional (2D) photonic crystal (PhC) sensors, with particular emphasis on the effect of doubling the number of cavities. A comparative analysis between single-cavity and dual-cavity configurations is conducted to evaluate their impact on key sensing parameters. In the dual-cavity configuration, two resonant cavities are introduced between coupled waveguides, enabling strong optical mode coupling and enhanced electromagnetic field confinement within the sensing region. This coupling leads to sharper resonance peaks, reduced linewidths, and increased interaction between the optical field and the infiltrated analyte. As a result, the dual-cavity sensor exhibits significantly improved sensing performance, achieving a high sensitivity of 9261.54 nm/RIU, a quality factor of 15,352.38, a figure of merit exceeding 4.5 × 107, and a detection limit below 1.7 × 10−7 RIU. These results demonstrate that doubling the cavity number effectively amplifies light–matter interaction and resonance stability, making the proposed dual-cavity 2D PhC sensor a highly promising platform for precise refractive index sensing in biomedical applications. Full article
(This article belongs to the Section Biophotonics and Biomedical Optics)
11 pages, 1724 KB  
Article
On-Chip Optical Signal Enhancement in Micro-Ring Resonators Using a NaYF4:Er3+-Doped Polymer Nanocomposite
by Zheng Wang, Changlong Li, Guanlin Li, Hengyuan Han, Shaozhi Gu, Fei Wang and Daming Zhang
Photonics 2026, 13(2), 200; https://doi.org/10.3390/photonics13020200 - 18 Feb 2026
Viewed by 128
Abstract
This study develops a micro-ring resonator that provides optical amplification based on NaYF4:5%Er3+ nanoparticles doped with SU-8. By utilizing the frequency selection properties of the micro-ring resonator, a filter with amplification capabilities is successfully developed. The device features a quality [...] Read more.
This study develops a micro-ring resonator that provides optical amplification based on NaYF4:5%Er3+ nanoparticles doped with SU-8. By utilizing the frequency selection properties of the micro-ring resonator, a filter with amplification capabilities is successfully developed. The device features a quality factor of 5.72 × 104 and a free spectral range of 0.081 nm. Operating at an on-chip power of 108 mW, the micro-ring resonator amplifier exhibits a relative gain of 8.92 dB within a size of 2.3 cm × 1.5 cm. To the best of our knowledge, the amplification of optical signals in micro-ring resonators using erbium-doped polymers has not been reported. This technology highlights the significant potential of using erbium-doped materials to fabricate various integrated devices for on-chip optical amplification. Full article
(This article belongs to the Section Optoelectronics and Optical Materials)
Show Figures

Figure 1

23 pages, 4663 KB  
Article
Optimizing Interface Dielectric Loss in Superconducting Coplanar Waveguide Resonators for Improved Quantum Circuit Coherence
by Omar A. Saleh, Saleem G. Rao, Mohammed Alghadeer, Ahmed A. Omar and Muhamad Felemban
Technologies 2026, 14(2), 128; https://doi.org/10.3390/technologies14020128 - 18 Feb 2026
Viewed by 261
Abstract
Superconducting quantum computing systems, including coplanar waveguide (CPW) resonators and qubits, are highly susceptible to energy dissipation from two-level systems (TLS) within bulk and interfacial dielectrics. CPW resonators serve as an ideal platform for characterizing these material losses at the single-photon excitation level. [...] Read more.
Superconducting quantum computing systems, including coplanar waveguide (CPW) resonators and qubits, are highly susceptible to energy dissipation from two-level systems (TLS) within bulk and interfacial dielectrics. CPW resonators serve as an ideal platform for characterizing these material losses at the single-photon excitation level. Building on recent experimental evidence that interface engineering can mitigate TLS losses, this study employs simulations to evaluate resonator quality factors across various interface modifications. Our results demonstrate that reducing losses at the substrate–air (SA) interface can increase the internal quality factor Qi by up to three orders of magnitude. While etching the SA interface also enhances Qi, material loss remains the dominant dissipation mechanism. Furthermore, we find that other lossy interfaces have a significantly smaller impact on the quality factor compared to the SA interface. These simulation results align with established experimental findings, providing a robust framework for refining resonator design. This work offers precise guidelines for TLS mitigation, essential for enhancing coherence times and developing more reliable superconducting quantum processors. Full article
(This article belongs to the Section Quantum Technologies)
Show Figures

Figure 1

19 pages, 4820 KB  
Article
Implementation of Leaking Quantum Walks on a Photonic Processor
by Eleonora Stefanutti, Jonas Philipps, Johannes Bütow, Amir Guidara, Marcello Nuvoli, Andrea Chiuri and Linda Sansoni
Appl. Sci. 2026, 16(4), 1976; https://doi.org/10.3390/app16041976 - 17 Feb 2026
Viewed by 117
Abstract
Quantum walks (QWs) represent pillars of quantum dynamics and information processing. They provide a powerful framework for simulating quantum transport, designing search algorithms, and enabling universal quantum computation. Several physical platforms have been employed for their implementation, such as trapped atoms and ions, [...] Read more.
Quantum walks (QWs) represent pillars of quantum dynamics and information processing. They provide a powerful framework for simulating quantum transport, designing search algorithms, and enabling universal quantum computation. Several physical platforms have been employed for their implementation, such as trapped atoms and ions, nuclear magnetic resonance systems, and photonic quantum architectures either in bulk optics or waveguide structures and fiber loop networks. Here we focus on the most promising and versatile approach, which is photonic integrated circuits. In this work, we review how the employment of this versatile experimental platform has allowed exploring several phenomena related to QW-based protocols, such as evolution in the presence of different kinds of noise. In this landscape, to the best of our knowledge, few examples report on the introduction of absorbing centers and their effects on the coherence of the dynamics. Here we present and discuss the results related to the absorbing boundaries in QWs, obtained through theoretical simulations and experiments conducted with the universal photonic quantum processors realized by QuiX Quantum. We analyze how localized absorption along one lattice edge affects the walker dynamics, depending on both the leakage probability and the initial injection site. Our results suggest that the presence of controlled losses modifies interference patterns and coherence without fully destroying quantum features and providing an effective resource for engineering on-chip QWs and simulating open quantum systems. Full article
(This article belongs to the Special Issue Quantum Communication and Quantum Information)
Show Figures

Figure 1

28 pages, 27017 KB  
Article
Electro-Thermal Co-Design and Verification of TGV Transmission Structures for High-Power High-Frequency Applications
by Luming Chen, Zhilin Wei, Shenglin Ma, Yan Chen, Yihan Xie, Chunlei Li, Shuwei He and Hai Yuan
Micromachines 2026, 17(2), 253; https://doi.org/10.3390/mi17020253 - 16 Feb 2026
Viewed by 122
Abstract
Through Glass Via (TGV) technology has emerged as a promising solution for advanced packaging. While glass offers lower dielectric loss than silicon, its lower thermal conductivity raises concerns about electro-thermal coupling effects in high-power, high-frequency applications. Therefore, this study conducted an electro-thermal co-design [...] Read more.
Through Glass Via (TGV) technology has emerged as a promising solution for advanced packaging. While glass offers lower dielectric loss than silicon, its lower thermal conductivity raises concerns about electro-thermal coupling effects in high-power, high-frequency applications. Therefore, this study conducted an electro-thermal co-design of TGV grounded Coplanar Waveguide (CPW) and Radio Frequency (RF) TGV connected CPW structures. A high-power test platform was developed to investigate the electrical and thermal performance of these structures. The temperature distribution mechanism under high-power conditions was revealed. Under high power and high frequency, the decrease in surface conductivity affected by surface state and film layer composition leads to increased loss, triggering temperature rise and forming an electrothermal coupling loop. Under continuous wave operation (5–20 W), the temperature rise reaches 92.4 °C while insertion loss increases by only 0.4 dB. Under pulsed wave operation (25–100 W, 2.5% duty cycle), the temperature rise is merely 2.1 °C with insertion loss increasing by 0.3 dB. The quadruple-redundant design and reduces heat flux density, preventing localized hotspot formation. The pulse intervals suppress thermal accumulation, leading to lower temperature rise. Therefore, continuous wave applications should prioritize thermal management, while pulsed wave applications can focus on electrical performance optimization. Full article
Show Figures

Figure 1

27 pages, 1079 KB  
Review
Optical Waveguide Lightmode Spectroscopy: A Versatile Technique for Real-Time, Label-Free Biosensing
by Jeremy J. Ramsden
Sensors 2026, 26(4), 1183; https://doi.org/10.3390/s26041183 - 11 Feb 2026
Viewed by 295
Abstract
Optical waveguide lightmode spectroscopy (OWLS) is an integrated-optical technique for probing structures at the solid/gas and solid/liquid interface. Spatial resolution perpendicular to the interface is sub-ångström. Thanks to good time resolution, processes involving structural change can also be investigated. This review covers the [...] Read more.
Optical waveguide lightmode spectroscopy (OWLS) is an integrated-optical technique for probing structures at the solid/gas and solid/liquid interface. Spatial resolution perpendicular to the interface is sub-ångström. Thanks to good time resolution, processes involving structural change can also be investigated. This review covers the fundamentals of the technique, the various measurement configurations that are used, interpretation of the primary data received, applications in biosensing, and future prospects. Full article
(This article belongs to the Special Issue Feature Review Papers in Biosensors Section 2025)
Show Figures

Graphical abstract

24 pages, 8367 KB  
Article
Hybrid Plasmonic–Photonic Panda-Ring Antenna Embedded with a Gold Grating for Dual-Mode Transmission
by Sirigiet Phunklang, Atawit Jantaupalee, Patawee Mesawad, Preecha Yupapin and Piyaporn Krachodnok
Technologies 2026, 14(2), 113; https://doi.org/10.3390/technologies14020113 - 11 Feb 2026
Viewed by 445
Abstract
This paper presents a systematic numerical investigation of a hybrid plasmonic–photonic Panda-ring antenna with an embedded gold grating, designed to enable efficient dual-mode radiation for optical and terahertz communication systems. The proposed structure integrates high-Q whispering-gallery mode (WGM) confinement in a multi-ring dielectric [...] Read more.
This paper presents a systematic numerical investigation of a hybrid plasmonic–photonic Panda-ring antenna with an embedded gold grating, designed to enable efficient dual-mode radiation for optical and terahertz communication systems. The proposed structure integrates high-Q whispering-gallery mode (WGM) confinement in a multi-ring dielectric resonator with plasmonic out-coupling at the metal–dielectric interface, allowing controlled conversion of resonantly stored photonic energy into free-space radiation. The electromagnetic behavior is analyzed through a hierarchical structural evolution, progressing from a linear silicon waveguide to single-ring, add–drop, and Panda-ring resonator configurations. Gold is modeled using a dispersive Drude formulation with complex permittivity to accurately capture frequency-dependent plasmonic response at 1.55 µm. Power redistribution within the resonator system is described using coupled-mode theory, with coupling and loss parameters evaluated consistently from full-wave numerical simulations. Full-wave simulations using OptiFDTD and CST Studio Suite demonstrate that purely photonic resonators exhibit strong WGM confinement but negligible radiation, while plasmonic gratings alone suffer from low efficiency due to the absence of coherent photonic excitation. In contrast, the proposed hybrid Panda-ring antenna achieves stable and directive far-field radiation under WGM excitation, with a realized gain of approximately 8.05 dBi at 193.5 THz. The performance enhancement originates from synergistic hybrid SPP–WGM coupling, establishing a WGM-driven radiation mechanism suitable for Li-Fi and terahertz wireless applications. Full article
(This article belongs to the Section Information and Communication Technologies)
Show Figures

Figure 1

16 pages, 14843 KB  
Communication
Embedded Printing of Integrated Quantum Dot Waveguide Deformation Sensors
by Tobias Biermann, Lennart Mesecke, Simon Teves, Gerrit Eckert, Ole Hill, Ivo Ziesche, Alexander Wolf and Roland Lachmayer
Sensors 2026, 26(4), 1160; https://doi.org/10.3390/s26041160 - 11 Feb 2026
Viewed by 164
Abstract
We present an optical deformation sensor additively manufactured via an embedded printing process that enables the direct integration of colloidal quantum dots into multimode silicone (PDMS) waveguides. The sensor consists of two parallel waveguide strands, one of which is locally functionalized with CdSe/CdS [...] Read more.
We present an optical deformation sensor additively manufactured via an embedded printing process that enables the direct integration of colloidal quantum dots into multimode silicone (PDMS) waveguides. The sensor consists of two parallel waveguide strands, one of which is locally functionalized with CdSe/CdS quantum dots serving as fluorescent emitters. When narrow-band UV light at 405 nm is coupled into the non-functionalized strand, structural deformation alters the conditions of total internal reflection, thereby changing the optical interaction between both strands. This leads to a deformation-dependent variation in the fluorescence shift-affected intensity ratio, which serves as a self-referenced signal for angle determination. Using ratiometric evaluation, angular deflections of up to 9.5° are detected with a resolution below 1° (2σ confidence), representing the performance of an initial functional prototype. The embedded printing process allows the voxel-wise adjustment of the material composition within a viscoplastic support medium and thus the spatially resolved integration of quantum dot-functionalized silicone. Attenuation losses of 0.81±0.02dB/cm at 625 nm confirm the optical suitability of the printed waveguides. This approach combines optical sensing and structural flexibility within a single manufacturing step and establishes a pathway toward fully integratable deformation-sensing elements for soft robotic and wearable systems. Full article
(This article belongs to the Special Issue Intelligent Optical Sensors in Biomedicine and Robotics)
Show Figures

Graphical abstract

13 pages, 2031 KB  
Article
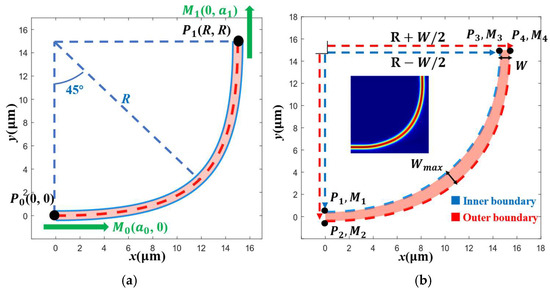
Low-Loss Silicon Nitride Bent Waveguides at O-Band with Modified Hermite Curves
by Donghao Li, Enge Zhang, Yi Xu, Lei Zhang, Yu Zhang and Xu Yang
Photonics 2026, 13(2), 175; https://doi.org/10.3390/photonics13020175 - 11 Feb 2026
Viewed by 183
Abstract
The silicon nitride (SiN) platform offers a low-loss solution for photonic integrated circuits (PICs). The bent waveguide represents one of the primary sources of propagation loss in such integrated systems. In this work, we present a comprehensive review of recent advances in SiN [...] Read more.
The silicon nitride (SiN) platform offers a low-loss solution for photonic integrated circuits (PICs). The bent waveguide represents one of the primary sources of propagation loss in such integrated systems. In this work, we present a comprehensive review of recent advances in SiN bent waveguide technologies. We propose a low-loss SiN bent waveguide design integrated with modified Hermite curves. We adopt a waveguide geometry of 800 nm × 300 nm in the simulations, with the material refractive index derived from the LPCVD process. Simulations conducted at a wavelength of 1311 nm reveal that the proposed bends exhibit bending losses of 0.076 dB, 0.021 dB, 0.0055 dB, and 0.0012 dB per 90° bend, corresponding to bending radii of 15 μm, 20 μm, 25 μm, and 30 μm, respectively. Furthermore, the fabrication tolerance and wavelength dependence of the proposed design are systematically investigated to verify its practical applicability. Full article
(This article belongs to the Special Issue Recent Advancement in Microwave Photonics)
Show Figures

Figure 1

15 pages, 1827 KB  
Article
Monolithically Integrated VCSEL Beam Scanner with Slow-Light Amplifiers for Solid-State LiDAR
by Ahmed Hassan, Xiaodong Gu and Fumio Koyama
Photonics 2026, 13(2), 172; https://doi.org/10.3390/photonics13020172 - 10 Feb 2026
Viewed by 225
Abstract
The rapidly increasing demand for compact, high-performance beam-steering solutions in LiDAR systems has driven substantial advances in vertical-cavity surface-emitting laser (VCSEL) technologies. In this paper, we present a high-power, ultra-low-divergence VCSEL-based beam scanner array that integrates multi-wavelength seed lasers with extended-length optical amplifiers, [...] Read more.
The rapidly increasing demand for compact, high-performance beam-steering solutions in LiDAR systems has driven substantial advances in vertical-cavity surface-emitting laser (VCSEL) technologies. In this paper, we present a high-power, ultra-low-divergence VCSEL-based beam scanner array that integrates multi-wavelength seed lasers with extended-length optical amplifiers, thereby simultaneously achieving wide-angle beam steering, near-diffraction-limited beam quality, and watt-class output power. The proposed architecture exploits slow-light modes supported by laterally extended VCSEL waveguides incorporating precisely engineered surface gratings. This design enables fully electronic beam steering over an angular range exceeding 30°, with an angular resolution surpassing 1600 resolvable points. Systematic characterization of seed lasers with distinct grating periods confirms robust single-mode operation and yields a cumulative wavelength tuning range exceeding 22 nm. When integrated with optical amplifiers up to 6 mm in length, the system achieves a record-low beam divergence of 0.018°, approaching the theoretical diffraction limit. Under continuous-wave operation and without active thermal management, the device delivers output powers exceeding 1.6 W. By overcoming the long-standing trade-offs among steering range, beam quality, and output power, this work establishes a transformative paradigm for compact VCSEL-based beam-steering systems and represents a significant step toward next-generation solid-state LiDAR technologies. Full article
Show Figures

Figure 1

16 pages, 3780 KB  
Article
Integrated All-Optical De-Aggregation of Circular-32QAM Signals in a Hybrid Nonlinear Waveguide
by Haoyang Wei, Xuefeng Li, Mingyue Liu and Hongjun Liu
Photonics 2026, 13(2), 171; https://doi.org/10.3390/photonics13020171 - 10 Feb 2026
Viewed by 208
Abstract
This paper proposes an advanced all-optical de-aggregation scheme based on cascaded phase-sensitive amplification (PSA) for high-fidelity hierarchical information extraction from circular-32QAM signals. The proposed architecture systematically decomposes complex high-order modulation into three fundamental components: PAM4, QPSK, and BPSK. The first PSA stage performs [...] Read more.
This paper proposes an advanced all-optical de-aggregation scheme based on cascaded phase-sensitive amplification (PSA) for high-fidelity hierarchical information extraction from circular-32QAM signals. The proposed architecture systematically decomposes complex high-order modulation into three fundamental components: PAM4, QPSK, and BPSK. The first PSA stage performs amplitude normalization to equalize power fluctuations, followed by quadrant phase classification through phase-dependent gain mapping, and final intra-quadrant phase resolution via a cascaded dual-PSA configuration with a 90° phase offset. Through meticulous numerical simulations, we demonstrate that the optimized normalization depth effectively suppresses both amplitude and phase noise. Results indicate a high quadrant classification accuracy of 92%, which leads to a significant cumulative error reduction from 22% to 8% across the PSA chain. These findings demonstrate the theoretical feasibility of the proposed scheme in processing complex modulation formats entirely in the optical domain, which offers a potential framework for future high-capacity optical networks. Full article
(This article belongs to the Section Optical Communication and Network)
Show Figures

Figure 1

19 pages, 2440 KB  
Article
Generative Diffusion-Based Channel Estimation for Pinching Antenna-Assisted Indoor NFC
by Yongji Chen and Qi Wang
Electronics 2026, 15(4), 730; https://doi.org/10.3390/electronics15040730 - 9 Feb 2026
Viewed by 180
Abstract
Pinching antenna systems (PASS) are waveguide-based antenna architectures featuring structural flexibility and high energy efficiency, making them attractive for indoor near-field communication (NFC). However, rich multipath propagation and spatial non-stationarity in practical indoor environments pose significant challenges to accurate channel estimation, especially under [...] Read more.
Pinching antenna systems (PASS) are waveguide-based antenna architectures featuring structural flexibility and high energy efficiency, making them attractive for indoor near-field communication (NFC). However, rich multipath propagation and spatial non-stationarity in practical indoor environments pose significant challenges to accurate channel estimation, especially under limited antenna activation and pilot resources. In this paper, the PASS channel estimation problem is reformulated from a generative inference perspective. A diffusion-model-driven channel estimation framework is proposed, where received signals are interpreted as noisy observations of latent near-field channel states, and channel estimation is performed via conditional reverse denoising diffusion. By exploiting waveguide-mediated near-field structures and sparse antenna activation, the proposed framework enables robust channel recovery in highly underdetermined settings. To better match indoor propagation characteristics, the diffusion-based inference emphasizes multipath-aware channel distributions, allowing joint modeling of deterministic waveguide effects and stochastic scattering, thereby alleviating model mismatch in conventional estimators. Simulation results show that the proposed method achieves stable channel estimation performance across different SNRs and antenna activation scales, while the computational complexity of the proposed framework is explicitly analyzed to assess its practical applicability. Full article
Show Figures

Figure 1

13 pages, 2934 KB  
Article
High-Resolution X-Ray Imaging Using Cs3Cu2Br1.25I3.75 Scintillator Arrays Grown by In Situ Solution Processing
by Xinlin Li, Zhenxin Yan, Baoyu Zhou, Junhua Hu, Ziyu Zhao and Tao Lin
Crystals 2026, 16(2), 122; https://doi.org/10.3390/cryst16020122 - 7 Feb 2026
Viewed by 199
Abstract
Low-dimensional lead-free metal halide perovskites have demonstrated excellent performance in indirect X-ray detectors; however, the imaging resolution remains limited due to the lack of effective scintillation waveguiding. In this work, array-structured scintillation screens were fabricated using anodic aluminum oxide (AAO) templates via a [...] Read more.
Low-dimensional lead-free metal halide perovskites have demonstrated excellent performance in indirect X-ray detectors; however, the imaging resolution remains limited due to the lack of effective scintillation waveguiding. In this work, array-structured scintillation screens were fabricated using anodic aluminum oxide (AAO) templates via a spatial confinement–assisted in situ growth strategy. The resulting directional optical confinement effect significantly enhances the scintillation performance of the screen. The fabricated Cs3Cu2Br1.25I3.75-AAO scintillator arrays achieve a spatial resolution of 14.10 lp/mm and a minimum detectable dose rate of 243 nGy/s under X-ray irradiation. In addition, the scintillator arrays exhibit excellent radiation stability, providing a reliable and cost-effective solution for high-resolution array-based X-ray imaging. Full article
(This article belongs to the Special Issue Advances in Scintillators: Luminescence Properties and Applications)
Show Figures

Figure 1

11 pages, 4164 KB  
Article
Glass-Based Half-Mode SIW Bandpass Filter with Negative Coupling Structure
by Chen Shi, Wenlei Li, Jihua Zhang, Zhihua Tao, Yong Li, Dongbin Wang, Shuang Li and Ting Liu
Micromachines 2026, 17(2), 219; https://doi.org/10.3390/mi17020219 - 6 Feb 2026
Viewed by 213
Abstract
This work presents a millimeter-wave half-mode substrate integrated waveguide filter with high selectivity, using through glass via technology. Compared to a traditional printed circuit board, the benefits of high precision and integration afforded by the glass-based process enable the substrate-integrated waveguide to be [...] Read more.
This work presents a millimeter-wave half-mode substrate integrated waveguide filter with high selectivity, using through glass via technology. Compared to a traditional printed circuit board, the benefits of high precision and integration afforded by the glass-based process enable the substrate-integrated waveguide to be employed at a higher operating frequency. A novel negative coupling structure is proposed for achieving a quasi-elliptic function response, and its coupling mechanism is investigated to explore the properties of the finite transmission zeros. The proposed coupling slots allow for flexible adjustment of the coupling between the half-mode substrate integrated waveguide cavities from positive to negative by modulating the corresponding geometrical parameters. As a prototype, a glass-based fourth-order bandpass filter is synthesized, simulated, fabricated and measured. Subsequently, good matching is captured, confirming the validity of the topology. The proposed glass-based negative coupling structure is promising for realizing substrate integrated waveguide filters with a quasi-elliptic function response, especially operating at millimeter-wave band. Full article
(This article belongs to the Special Issue Acoustic Transducers and Their Applications, 3rd Edition)
Show Figures

Figure 1

13 pages, 2113 KB  
Article
Characterization of SUEX Dry Film for 5G Applications
by Sekip Dalgac, Saim Ekici, Nihan Oznazli, Kholoud Elmabruk and Mehmet Unlu
Electronics 2026, 15(3), 686; https://doi.org/10.3390/electronics15030686 - 5 Feb 2026
Viewed by 259
Abstract
Fifth-Generation (5G) communication systems necessitate highly integrated technologies to facilitate ultra-fast data rates, low latency, and compact system configurations. The realization of these objectives depends on the advancement of packaging techniques, such as System-on-Package (SoP), wherein low-loss build-up layers play a vital role [...] Read more.
Fifth-Generation (5G) communication systems necessitate highly integrated technologies to facilitate ultra-fast data rates, low latency, and compact system configurations. The realization of these objectives depends on the advancement of packaging techniques, such as System-on-Package (SoP), wherein low-loss build-up layers play a vital role in enhancing signal transmission. In this context, the electrical characterization of a 25 μm thick SUEX dielectric material used as a build-up layer for SoP applications is presented. Various test structures, including microstrip ring resonators (MRRs), coplanar waveguides (CPWs), and microstrip lines (MSs), are fabricated and measured over a frequency range of 1–30 GHz. The electrical properties are extracted using MRRs, whereas CPW and MS line structures are utilized for characterization and validation. The measurement results indicate that while the average dielectric constant of the SUEX dry film ranges from 3.07 to 3.10, the corresponding loss tangent varies between 5.75 × 10−3 and 5.83 × 10−3 across a frequency range of 10.28–27.47 GHz. These results verify that SUEX has low-loss properties, making it a suitable dielectric for build-up layers in SoP modules, where reducing signal loss is crucial for 5G and future communication technologies. Full article
Show Figures

Figure 1

Back to TopTop