Optimizing Interface Dielectric Loss in Superconducting Coplanar Waveguide Resonators for Improved Quantum Circuit Coherence
Abstract
1. Introduction
2. Design and Simulation
3. Results and Discussion
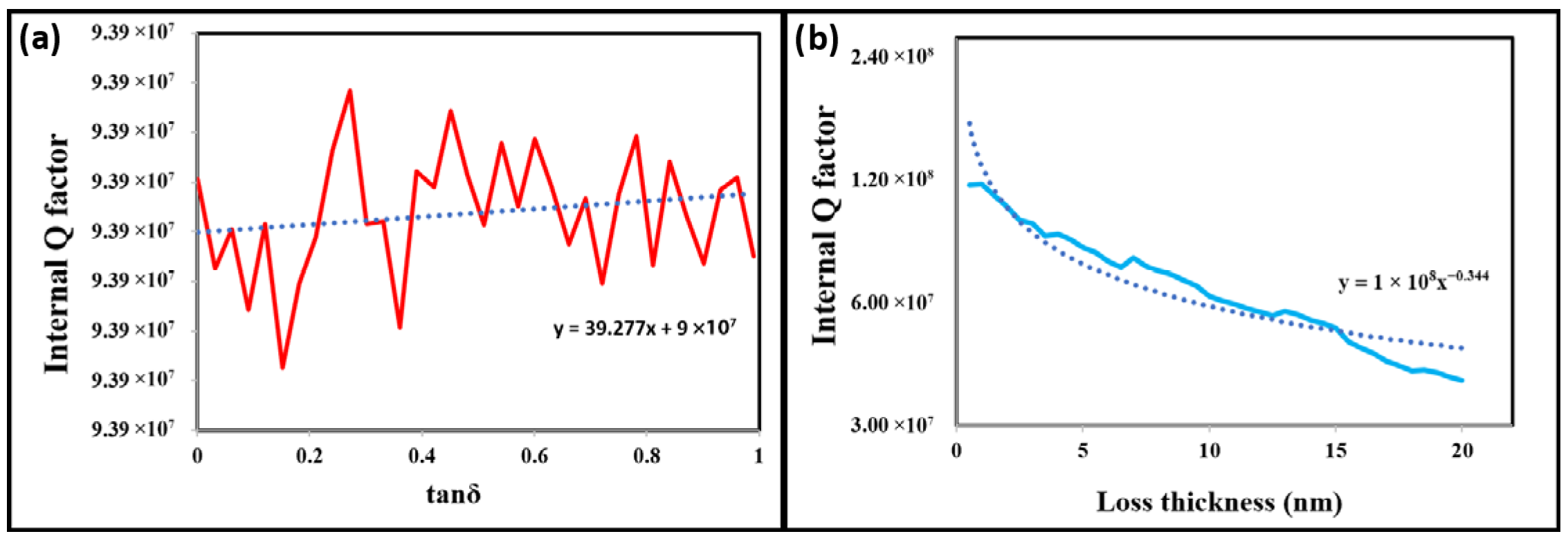
3.1. Substrate–Air Contamination Study
3.2. Substrate–Metal (SM) Contamination Study
3.3. Substrate–Metal and Substrate–Air Contamination Study
3.4. Trench Depth (Etching) Study
4. Conclusions
Author Contributions
Funding
Institutional Review Board Statement
Informed Consent Statement
Data Availability Statement
Acknowledgments
Conflicts of Interest
References
- Nielsen, M.A.; Chuang, I.L. Quantum Computation and Quantum Information: 10th Anniversary Edition; Cambridge University Press: Cambridge, UK, 2010. [Google Scholar]
- Bruzewicz, C.D.; Chiaverini, J.; McConnell, R.; Sage, J.M. Trapped-ion quantum computing: Progress and challenges. Appl. Phys. Rev. 2019, 6, 021314. [Google Scholar] [CrossRef]
- Takeda, S.; Furusawa, A. Toward large-scalefault-tolerant universal photonic quantum computing. APL Photonics 2019, 4, 060902. [Google Scholar] [CrossRef]
- Stern, A.; Lindner, N.H. Topological Quantum Computation—From Basic Concepts to First Experiments. Science 2013, 339, 1179–1184. [Google Scholar] [CrossRef]
- Siddiqi, I. Engineering high-coherence superconducting qubits. Nat. Rev. Mater. 2021, 6, 875–891. [Google Scholar] [CrossRef]
- DiVincenzo, D.P.; Shor, P.W. Fault-Tolerant Error Correction with Efficient Quantum Codes. Phys. Rev. Lett. 1996, 77, 3260–3263. [Google Scholar] [CrossRef] [PubMed]
- Altman, E.; Brown, K.R.; Carleo, G.; Carr, L.D.; Demler, E.; Chin, C.; DeMarco, B.; Economou, S.E.; Eriksson, M.A.; Fu, K.-M.C.; et al. Quantum Simulators: Architectures and Opportunities. PRX Quantum 2021, 2, 017003. [Google Scholar] [CrossRef]
- Martinis, J.M.; Cooper, K.B.; McDermott, R.; Steffen, M.; Ansmann, M.; Osborn, K.D.; Cicak, K.; Oh, S.; Pappas, D.P.; Simmonds, R.W.; et al. Decoherence in Josephson Qubits from Dielectric Loss. Phys. Rev. Lett. 2005, 95, 210503. [Google Scholar] [CrossRef]
- Müller, C.; Cole, J.H.; Lisenfeld, J. Towards understanding two-level-systems in amorphous solids: Insights from quantum circuits. Rep. Prog. Phys. 2019, 82, 124501. [Google Scholar] [CrossRef]
- Pappas, D.P.; Vissers, M.R.; Wisbey, D.S.; Kline, J.S.; Gao, J. Two level system loss in superconducting microwave resonators. IEEE Trans. Appl. Supercond. 2011, 21, 871–874. [Google Scholar] [CrossRef]
- Gao, J.; Daal, M.; Vayonakis, A.; Kumar, S.; Zmuidzinas, J.; Sadoulet, B.; Mazin, B.A.; Day, P.K.; Leduc, H.G. Experimental evidence for a surface distribution of two-level systems in superconducting lithographed microwave resonators. Appl. Phys. Lett. 2008, 92, 152505. [Google Scholar] [CrossRef]
- Earnest, C.T.; Béjanin, J.H.; McConkey, T.G.; Peters, E.A.; Korinek, A.; Yuan, H.; Mariantoni, M. Substrate surface engineering for high-quality silicon/aluminum superconducting resonators. Supercond. Sci. Technol. 2018, 31, 125013. [Google Scholar] [CrossRef]
- McRae, C.R.H.; Lake, R.E.; Long, J.L.; Bal, M.; Wu, X.; Jugdersuren, B.; Metcalf, T.H.; Liu, X.; Pappas, D.P. Dielectric loss extraction for superconducting microwave resonators. Appl. Phys. Lett. 2020, 116, 194003. [Google Scholar] [CrossRef]
- de Graaf, S.E.; Un, S.; Shard, A.G.; Lindström, T. Chemical and structural identification of material defects in superconducting quantum circuits. Mater. Quantum Technol. 2022, 2, 032001. [Google Scholar] [CrossRef]
- Altoé, M.V.P.; Banerjee, A.; Berk, C.; Hajr, A.; Schwartzberg, A.; Song, C.; Alghadeer, M.; Aloni, S.; Elowson, M.J.; Kreikebaum, J.M.; et al. Localization and mitigation of loss in niobium superconducting circuits. PRX Quantum 2022, 3, 020312. [Google Scholar] [CrossRef]
- Gorgichuk, N.; Junginger, T.; de Sousa, R. Modeling Dielectric Loss in Superconducting Resonators: Evidence for Interacting Atomic Two-Level Systems at the Nb/Oxide Interface. Phys. Rev. Appl. 2023, 19, 024006. [Google Scholar] [CrossRef]
- Woods, W.; Calusine, G.; Melville, A.; Sevi, A.; Golden, E.; Kim, D.K.; Rosenberg, D.; Yoder, J.L.; Oliver, W.D. Determining Interface Dielectric Losses in Superconducting Coplanar-Waveguide Resonators. Phys. Rev. Appl. 2019, 12, 014012. [Google Scholar] [CrossRef]
- McRae, C.R.H.; Wang, H.; Gao, J.; Vissers, M.; Brecht, T.; Dunsworth, A.; Pappas, D.; Mutus, J. Materials loss measurements using superconducting microwave resonators. arXiv 2020, arXiv:2006.04718. [Google Scholar] [CrossRef]
- Burnett, J.; Faoro, L.; Lindstrom, T. Analysis of high quality superconducting resonators: Consequences for TLS properties in amorphous oxides. arXiv 2015, arXiv:1512.02553. [Google Scholar] [CrossRef]
- Gao, J. The Physics of Superconducting Microwave Resonators. Ph.D. Thesis, California Institute of Technology, Pasadena, CA, USA, 2008. [Google Scholar]
- Calusine, G.; Melville, A.; Woods, W.; Das, R.; Stull, C.; Bolkhovsky, V.; Braje, D.; Hover, D.; Kim, D.K.; Miloshi, X.; et al. Analysis and mitigation of interface losses in trenched superconducting coplanar waveguide resonators. Appl. Phys. Lett. 2018, 112, 062601. [Google Scholar] [CrossRef]
- Megrant, A.; Neill, C.; Barends, R.; Chiaro, B.; Chen, Y.; Feigl, L.; Kelly, J.; Lucero, E.; Mariantoni, M.; O’Malley, P.J.; et al. Planar superconducting resonators with internal quality factors above one million. Appl. Phys. Lett. 2012, 100, 113510. [Google Scholar] [CrossRef]
- Bruno, A.; De Lange, G.; Asaad, S.; Van Der Enden, K.L.; Langford, N.K.; DiCarlo, L. Reducing intrinsic loss in superconducting resonators by surface treatment and deep etching of silicon substrates. Appl. Phys. Lett. 2015, 106, 182601. [Google Scholar] [CrossRef]
- Quintana, M.; Megrant, A.; Chen, Z.; Dunsworth, A.; Chiaro, B.; Barends, R.; Campbell, B.; Chen, Y.; Hoi, I.; Jeffrey, E.; et al. Characterization and reduction of microfabrication-induced decoherence in superconducting quantum circuits. Appl. Phys. Lett. 2014, 105, 062601. [Google Scholar] [CrossRef]
- Paik, H.; Schuster, D.I.; Bishop, L.S.; Kirchmair, G.; Catelani, G.; Sears, A.P.; Johnson, B.R.; Reagor, M.J.; Frunzio, L.; Glazman, I.; et al. Observation of high coherence in Josephson junction qubits measured in a Three-Dimensional Circuit QED architecture. Phys. Rev. Lett. 2011, 107, 240501. [Google Scholar] [CrossRef]
- Khalil, M.S.; Wellstood, F.C.; Osborn, K.D. Loss dependence on geometry and applied power in superconducting coplanar resonators. IEEE Trans. Appl. Supercond. 2011, 21, 879–882. [Google Scholar] [CrossRef]
- Yan, F.; Gustavsson, S.; Kamal, A.; Birenbaum, J.; Sears, A.P.; Hover, D.; Gudmundsen, T.J.; Rosenberg, D.; Samach, G.; Weber, S.; et al. The flux qubit revisited to enhance coherence and reproducibility. Nat. Commun. 2016, 7, 12964. [Google Scholar] [CrossRef]
- Tominaga, Y.; Shirai, S.; Hishida, Y.; Terai, H.; Noguchi, A. Intrinsic quality factors approaching 10 million in superconducting planar resonators enabled by spiral geometry. EPJ Quantum Technol. 2025, 12, 60. [Google Scholar] [CrossRef]
- Wang, C.; Li, X.; Xu, H.; Li, Z.; Wang, J.; Yang, Z.; Mi, Z.; Liang, X.; Su, T.; Yang, C.; et al. Towards practical quantum computers: Transmon qubit with a lifetime approaching 0.5 milliseconds. npj Quantum Inf. 2022, 8, 3. [Google Scholar] [CrossRef]
- Zikiy, E.V.; Ivanov, A.I.; Smirnov, N.S.; Moskalev, D.O.; Polozov, V.I.; Matanin, A.R.; Malevannaya, E.I.; Echeistov, V.V.; Konstantinova, T.G.; Rodionov, I.A. High Q trenched aluminum coplanar resonators with an ultrasonic edge microcutting for superconducting quantum devices. Sci. Rep. 2023, 13, 15536. [Google Scholar] [CrossRef]
- de Ory, M.C.; Rodriguez, D.; Magaz, M.T.; Rollano, V.; Granados, D.; Gomez, A. Low loss hybrid Nb/Au superconducting resonators for quantum circuit applications. arXiv 2024. [Google Scholar] [CrossRef]
- Chang, R.D.; Shumiya, N.; McLellan, R.A.; Zhang, Y.; Bland, M.P.; Bahrami, F.; Mun, J.; Zhou, C.; Kisslinger, K.; Cheng, G.; et al. Eliminating surface oxides of superconducting circuits with noble metal encapsulation. Phys. Rev. Lett. 2025, 134, 097001. [Google Scholar] [CrossRef] [PubMed]
- Du, L.; Tao, H.-R.; Guo, L.-L.; Zhang, H.-F.; Chen, Y.; Tian, X.; Zhang, C.; Jia, Z.-L.; Duan, P.; Guo, G.-P. In situ non-destructive measurement of Josephson junction resistance using fritting contact technique. Chin. Phys. B 2024, 33, 110309. [Google Scholar] [CrossRef]
- Zhou, C.; Mun, J.; Yao, J.; Anbalagan, A.K.; Hossain, M.D.; McLellan, R.A.; Li, R.; Kisslinger, K.; Li, G.; Tong, X.; et al. Ultrathin Magnesium-based Coating as an Efficient Oxygen Barrier for Superconducting Circuit Materials. Adv. Mater. 2024, 36, 2310280. [Google Scholar] [CrossRef]
- Karuppannan, S.K.; Huang, D.; Kommanaboina, N.M.; Anil, K.; Yan, G.; Repaka, D.V.M.; Zhang, Y.; Goh, K.E.J.; Kai, W.S.; Beng, N.L.C.; et al. Improved Interface of Niobium Superconducting Resonator with Ruthenium as a Capping Layer. ACS Appl. Electron. Mater. 2024, 6, 7372–7379. [Google Scholar] [CrossRef]
- Acharyya, N.; Sajeev, V.; Rane, S.; Karmakar, S.; Roy Chowdhury, D. Dynamic terahertz wave propagation through Al/Ni based multilayer spin valve structures. J. Appl. Phys. 2023, 134, 033102. [Google Scholar] [CrossRef]
- Zheng, K.; Kowsari, D.; Thobaben, N.J.; Du, X.; Song, X.; Ran, S.; Henriksen, E.A.; Wisbey, D.S.; Murch, K.W. Nitrogen plasma passivated niobium resonators for superconducting quantum circuits. Appl. Phys. Lett. 2022, 120, 102601. [Google Scholar] [CrossRef]
- Alghadeer, M.; Banerjee, A.; Hajr, A.; Hussein, H.; Fariborzi, H.; Rao, S.G. Surface Passivation of Niobium Superconducting Quantum Circuits Using Self-Assembled Monolayers. ACS Appl. Mater. Interfaces 2023, 15, 2319–2328. [Google Scholar] [CrossRef]
- Alghadeer, M.; Banerjee, A.; Lee, K.; Hussein, H.; Fariborzi, H.; Rao, S. Mitigating Coherent Loss in Superconducting Circuits using Molecular Self-Assembled Monolayers. Sci. Rep. 2024, 14, 27340. [Google Scholar] [CrossRef]
- Love, J.C.; Estroff, J.L.A.; Kriebel, J.K.; Nuzzo, R.G.; Whitesides, G.M. Self-assembled monolayers of thiolates on metals as a form of nanotechnology. Chem. Rev. 2005, 105, 1103–1170. [Google Scholar] [CrossRef]
- Onclin, S.; Ravoo, B.J.; Reinhoudt, D.N. Engineering silicon oxide surfaces using self-assembled monolayers. Angew. Chem. Int. Ed. 2005, 44, 6282–6304. [Google Scholar] [CrossRef]
- Kreikebaum, M.; O’Brien, K.P.; Morvan, A.; Sididiqi, I. Improving wafer-scale Josephson junction resistance variation in superconducting quantum coherent circuits. Supercond. Sci. Technol. 2020, 33, 06LT02. [Google Scholar] [CrossRef]
- Wenner, J.; Barends, R.; Bialczak, R.C.; Chen, Y.; Kelly, J.; Lucero, E.; Mariantoni, M.; Megrant, A.; O’Malley, P.J.J.; Sank, D.; et al. Surface loss simulations of superconducting coplanar waveguide resonators. Appl. Phys. Lett. 2011, 99, 113513. [Google Scholar] [CrossRef]
- Rocha-Aguilera, D.; Méndez-Jerónimo, G.; Molina-Reyes, J. Impact of conductor losses and metal overetching on integrated superconducting coplanar waveguide resonators. Mater. Sci. Semicond. Process. 2025, 195, 109614. [Google Scholar] [CrossRef]
- Levenson-Falk, E.; Shanto, S.A. A Review of Design Concerns in Superconducting Quantum Circuits. Mater. Quantum Technol. 2025, 5, 022003. [Google Scholar] [CrossRef]
- Suresh, K.; Regalla, S.P. Effect of mesh parameters in finite element simulation of single point incremental sheet forming process. Procedia Mater. Sci. 2014, 6, 376–382. [Google Scholar] [CrossRef]
- Geerlings, K.; Shankar, S.; Edwards, E.; Frunzio, L.; Schoelkopf, R.J.; Devoret, M.H. Improving the quality factor of microwave compact resonators by optimizing their geometrical parameters. Appl. Phys. Lett. 2012, 100, 192601. [Google Scholar] [CrossRef]
- Wang, C.; Axline, C.; Gao, Y.Y.; Brecht, T.; Chu, Y.; Frunzio, L.; Devoret, M.H.; Schoelkopf, R.J. Surface participation and dielectric loss in superconducting qubits. Appl. Phys. Lett. 2015, 107, 162601. [Google Scholar] [CrossRef]
- Steffen, M.; Sandberg, M.; Srinivasan, S. Recent research trends for high coherence quantum circuits. Supercond. Sci. Technol. 2017, 30, 030301. [Google Scholar] [CrossRef]
- Gambetta, J.M.; Murray, C.E.; Fung, Y.; McClure, D.T.; Dial, O.; Shanks, W.; Sleight, J.W.; Steffen, M. Investigating surface loss effects in superconducting transmon qubits. IEEE Trans. Appl. Supercond. 2016, 27, 1700205. [Google Scholar] [CrossRef]
- Sage, J.M.; Bolkhovsky, V.; Oliver, W.D.; Turek, B.; Welander, P.B. Study of loss in superconducting coplanar waveguide resonators. J. Appl. Phys. 2011, 109, 063915 . [Google Scholar]
- Kowsari, D.; Zheng, K.; Monroe, J.T.; Thobaben, N.J.; Du, X.; Harrington, P.M.; Henriksen, E.A.; Wisbey, D.S.; Murch, K.W. Fabrication and surface treatment of electron-beam evaporated niobium for low-loss coplanar waveguide resonators. Appl. Phys. Lett. 2021, 119, 132601. [Google Scholar] [CrossRef]
- Bal, M.; Murthy, A.A.; Zhu, S.; Crisa, F.; You, X.; Huang, Z.; Roy, T.; Lee, J.; Zanten, D.V.; Pilipenko, R.; et al. Systematic improvements in transmon qubit coherence enabled by niobium surface encapsulation. npj Quantum Inf. 2024, 10, 43. [Google Scholar] [CrossRef]
- Rao, S.G. The role of self-assembled monolayers at substrate–metal interfaces in limiting coherence of superconducting quantum circuits. AVS Quantum Sci. 2025, 7, 046801. [Google Scholar] [CrossRef]
- Sandberg, M.; Vissers, M.R.; Kline, J.S.; Weides, M.; Gao, J.; Wisbey, D.S.; Pappas, D.P. Etch induced microwave losses in titanium nitride superconducting resonators. Appl. Phys. Lett. 2012, 100, 262605. [Google Scholar] [CrossRef]
- Bilmes, A.; Megrant, A.; Klimov, P.; Weiss, G.; Martinis, J.M.; Ustinov, A.V.; Lisenfeld, J. Resolving the positions of defects in superconducting quantum bits. Sci. Rep. 2020, 10, 3090. [Google Scholar] [CrossRef]
- Saleh, O.A.; Rao, S.G.; Alam, K.; Felemban, M. Mitigation of oxide growth on aluminum thin films: The role of self-assembled monolayers in superconducting quantum circuits. AVS Quantum Sci. 2025, 7, 026802. [Google Scholar] [CrossRef]
- Barzegar-Parizi, S.; Rejaei, B. Calculation of effective parameters of high permittivity integrated artificial dielectrics. IET Microw. Antennas Propag. 2015, 9, 1287–1296. [Google Scholar] [CrossRef]


















Disclaimer/Publisher’s Note: The statements, opinions and data contained in all publications are solely those of the individual author(s) and contributor(s) and not of MDPI and/or the editor(s). MDPI and/or the editor(s) disclaim responsibility for any injury to people or property resulting from any ideas, methods, instructions or products referred to in the content. |
© 2026 by the authors. Licensee MDPI, Basel, Switzerland. This article is an open access article distributed under the terms and conditions of the Creative Commons Attribution (CC BY) license.
Share and Cite
Saleh, O.A.; Rao, S.G.; Alghadeer, M.; Omar, A.A.; Felemban, M. Optimizing Interface Dielectric Loss in Superconducting Coplanar Waveguide Resonators for Improved Quantum Circuit Coherence. Technologies 2026, 14, 128. https://doi.org/10.3390/technologies14020128
Saleh OA, Rao SG, Alghadeer M, Omar AA, Felemban M. Optimizing Interface Dielectric Loss in Superconducting Coplanar Waveguide Resonators for Improved Quantum Circuit Coherence. Technologies. 2026; 14(2):128. https://doi.org/10.3390/technologies14020128
Chicago/Turabian StyleSaleh, Omar A., Saleem G. Rao, Mohammed Alghadeer, Ahmed A. Omar, and Muhamad Felemban. 2026. "Optimizing Interface Dielectric Loss in Superconducting Coplanar Waveguide Resonators for Improved Quantum Circuit Coherence" Technologies 14, no. 2: 128. https://doi.org/10.3390/technologies14020128
APA StyleSaleh, O. A., Rao, S. G., Alghadeer, M., Omar, A. A., & Felemban, M. (2026). Optimizing Interface Dielectric Loss in Superconducting Coplanar Waveguide Resonators for Improved Quantum Circuit Coherence. Technologies, 14(2), 128. https://doi.org/10.3390/technologies14020128

