Sign in to use this feature.

Years

Between: -

Subjects

remove_circle_outline
remove_circle_outline
remove_circle_outline
remove_circle_outline
remove_circle_outline
remove_circle_outline
remove_circle_outline
remove_circle_outline
remove_circle_outline

Journals

remove_circle_outline
remove_circle_outline
remove_circle_outline
remove_circle_outline
remove_circle_outline
remove_circle_outline
remove_circle_outline
remove_circle_outline
remove_circle_outline
remove_circle_outline
remove_circle_outline
remove_circle_outline
remove_circle_outline

Article Types

Countries / Regions

remove_circle_outline
remove_circle_outline
remove_circle_outline
remove_circle_outline
remove_circle_outline
remove_circle_outline
remove_circle_outline

Search Results (1,403)

Search Parameters:
Keywords = water/solids ratio

Order results
Result details
Results per page
Select all
Export citation of selected articles as:
21 pages, 23211 KB  
Article
Performance Degradation Mechanism of New Grouting Filling Material Under Goaf Erosion Environment
by Han Yang, Junwu Xia, Yujing Wang, Yu Zhou, Kangjia Song and Siyong Tan
Materials 2025, 18(22), 5147; https://doi.org/10.3390/ma18225147 - 12 Nov 2025
Abstract
This study aims to resolve the “secondary activation” challenge when erecting structures over goaf zones by employing a novel grouting and filling material. It delves into the performance degradation of the innovative ECS soil grouting filling material (ESGF material) within the goaf’s ionic [...] Read more.
This study aims to resolve the “secondary activation” challenge when erecting structures over goaf zones by employing a novel grouting and filling material. It delves into the performance degradation of the innovative ECS soil grouting filling material (ESGF material) within the goaf’s ionic erosion context. Erosion tests were performed on ESGF material specimens with varying mix designs to mimic the sulfate and chloride erosion scenarios commonly encountered in practical engineering. The macro-mechanical properties and microstructural changes of ESGF materials under ionic erosion environment were systematically investigated by various testing methods, such as unconfined compressive strength (UCS), SEM, XRD, TG, FTIR, and Raman. The findings indicate that both sulfate and chloride erosion lead to a reduction in the strength of the ESGF material. As erosion progresses, the specimens experience a mass increase followed by a decrease, with their strength exhibiting a consistent downward trend. In sulfate erosion conditions, the buildup of expansion product like ettringite (AFt) and thaumasite (TSA) inflicts substantial internal structural damage. Conversely, Friedel’s salt, the primary product of chloride erosion, exhibits relatively weaker expansiveness, and chloride concentration exerts a less pronounced effect on material degradation. Moreover, the cementitious material content and the proportion of quick-setting component play a significant role in determining the ESGF material’s resistance to erosion. By adjusting the quick-setting components ratio in response to changes in the water content of soft soil, the anti-ion erosion performance of solidified soil can be effectively enhanced. Notably, curing with a 5% sulfate maintenance could significantly improve the erosion resistance of ESGF material. This suggests that ESGF materials can be used without concern for curing issues in high-salinity environments during grouting. The research addresses the root cause of goaf subsidence while facilitating the recycling of solid waste, offering an environmentally friendly solution. Full article
(This article belongs to the Section Advanced Materials Characterization)
Show Figures

Figure 1

21 pages, 3086 KB  
Review
Polymer-Based Artificial Solid Electrolyte Interphase Layers for Li- and Zn-Metal Anodes: From Molecular Engineering to Operando Visualization
by Jae-Hee Han and Joonho Bae
Polymers 2025, 17(22), 2999; https://doi.org/10.3390/polym17222999 - 11 Nov 2025
Abstract
Metal anodes promise improvements in energy density and cost; however, their performance is determined within the first several nanometers at the interface. This review reports on how polymer-based artificial solid electrolyte interphases (SEIs) are engineered to stabilize Li and aqueous-Zn anodes, and how [...] Read more.
Metal anodes promise improvements in energy density and cost; however, their performance is determined within the first several nanometers at the interface. This review reports on how polymer-based artificial solid electrolyte interphases (SEIs) are engineered to stabilize Li and aqueous-Zn anodes, and how these designs are now evaluated against operando readouts rather than post-mortem snapshots. We group the related molecular strategies into three classes: (i) side-chain/ionomer chemistry (salt-philic, fluorinated, zwitterionic) to increase cation selectivity and manage local solvation; (ii) dynamic or covalently cross-linked networks to absorb microcracks and maintain coverage during plating/stripping; and (iii) polymer–ceramic hybrids that balance modulus, wetting, and ionic transport characteristics. We then benchmark these choices against metal-specific constraints—high reductive potential and inactive Li accumulation for Li, and pH, water activity, corrosion, and hydrogen evolution reaction (HER) for Zn—showing why a universal preparation method is unlikely. A central element is a system of design parameters and operando metrics that links material parameters to readouts collected under bias, including the nucleation overpotential (ηnuc), interfacial impedance (charge transfer resistance (Rct)/SEI resistance (RSEI)), morphology/roughness statistics from liquid-cell or cryogenic electron microscopy (Cryo-EM), stack swelling, and (for Li) inactive-Li inventory. By contrast, planar plating/stripping and HER suppression are primary success metrics for Zn. Finally, we outline parameters affecting these systems, including the use of lean electrolytes, the N/P ratio, high areal capacity/current density, and pouch-cell pressure uniformity, and discuss closed-loop workflows that couple molecular design with multimodal operando diagnostics. In this view, polymer artificial SEIs evolve from curated “recipes” into predictive, transferable interfaces, paving a path from coin-cell to prototype-level Li- and Zn-metal batteries. Full article
(This article belongs to the Special Issue Advanced Preparation and Characterization of Polymer-Based Thin Films)
Show Figures

Figure 1

18 pages, 5613 KB  
Article
Preparation and Performance Study of Decanoic Acid–Stearic Acid Composite Phase-Change Ceramsite Aggregate
by Gui Yu, Qiang Yuan, Min Li, Jiaxing Tao, Jing Jiang and De Chen
Coatings 2025, 15(11), 1315; https://doi.org/10.3390/coatings15111315 - 11 Nov 2025
Abstract
In response to the problem of high energy consumption caused by inefficient temperature control of energy storage aggregates in traditional building envelope structures, this study developed a decanoic acid–stearic acid composite phase-change ceramsite aggregate to improve the thermal performance of buildings and promote [...] Read more.
In response to the problem of high energy consumption caused by inefficient temperature control of energy storage aggregates in traditional building envelope structures, this study developed a decanoic acid–stearic acid composite phase-change ceramsite aggregate to improve the thermal performance of buildings and promote the utilization of solid waste resources. Based on the theory of minimum melting, composite phase-change materials were screened through thermodynamic models. The capric acid–stearic acid (CA-SA) melt system, whose theoretical phase-transition temperature falls within the building indoor thermal environment control range (18–26 °C), was preferred as the experimental object of this study, and its characteristics were verified through step cooling curves and thermal property tests. Subsequently, the ceramsite adsorption process was optimized, and the encapsulation process was studied. Finally, the encapsulation performance was evaluated through thermal stability and stirring crushing rate tests. The results showed that the phase-transition temperature of the decanoic acid–stearic acid melt system was 24.83 °C, which accurately matched the indoor thermal environment control requirements. The ceramsite particles treated by a physical vibrating screen can reach equilibrium after 30 min of adsorption at room temperature and pressure, which is both efficient and economical. The encapsulation layer of sludge biochar cement slurry with a water–cement ratio of 0.5 and a biochar content of 3% has both thermal conductivity and encapsulation integrity. The thermal stability test showed that the percentage of leakage of sludge biochar cement slurry and epoxy resin encapsulated aggregates was 0%, and the thermal stability rating was “very stable”. However, the percentage of leakage of unencapsulated and spray-coated encapsulated aggregates was as high as 193% and 40%, respectively. The results of the mixing and crushing rate test show that although the mixing and crushing rate of sludge biochar cement slurry encapsulation is slightly higher, its production cost is much lower than that of epoxy resin, and it is also environmentally friendly. This study improves the thermal performance of buildings by using composite phase-change ceramsite aggregate, and simultaneously realizes the resource utilization of sludge biochar, providing a solution for building energy saving and efficiency that combines environmental and engineering value. Full article
(This article belongs to the Section Environmental Aspects in Colloid and Interface Science)
Show Figures

Figure 1

21 pages, 9058 KB  
Article
Mechanical, Transportation, and Microstructural Characteristics and Application of High-Porosity Coal Mine Solid Waste Filling Materials: A Case Study
by Qiang Sun, Hongzhen Nie, Yong Han and Rui Zhao
Materials 2025, 18(22), 5098; https://doi.org/10.3390/ma18225098 - 10 Nov 2025
Viewed by 160
Abstract
The disposal of coal mine solid waste has always been a challenge in the coal mining production process, and the research and development of low-cost and high-performance filling materials is a prerequisite for achieving large-scale disposal of coal mine solid waste. The effects [...] Read more.
The disposal of coal mine solid waste has always been a challenge in the coal mining production process, and the research and development of low-cost and high-performance filling materials is a prerequisite for achieving large-scale disposal of coal mine solid waste. The effects of water–cement ratio, foaming agent dilution ratio, foam agent content, foam stabilizer content, and gypsum content on the mechanical properties, transportation characteristics, and microstructure of cement foam filling materials were studied by laboratory test methods. The optimal ratio of cement foam filling material for comprehensive performance was determined. On this basis, the mechanism of influence of fly ash content, gangue content, and gangue particle size on the mechanics, transportation characteristics, and microstructure of foam filling materials was further studied. The experimental results show that at fly ash contents below 30%, gangue content is less than 30%. The particle size of gangue is less than 0.6 mm, and the expansion ratio of coal mine solid waste foam filling material is about three times, which has good mechanical properties and transportation performance. The on-site test results show that the control effect of the surrounding rock in the goaf is good, achieving safe and efficient mining of the working face. Full article
(This article belongs to the Special Issue Low-Carbon Construction and Building Materials)
Show Figures

Figure 1

17 pages, 1709 KB  
Article
Iron Removal from Quartz Ore by Acid Leaching: From Lab- to Pilot-Scale
by Svetlana Zueva, Valentina Innocenzi, Nicolò Maria Ippolito, Ionela Birloaga, Francesco Vegliò and Francesco Ferella
Sustainability 2025, 17(22), 10008; https://doi.org/10.3390/su172210008 - 9 Nov 2025
Viewed by 152
Abstract
Quartz in high-purity form, i.e., with an iron content <100 mg/kg, has valuable properties such as superior UV transmission, thermal stability, and resistance to devitrification, which are highly useful for optical applications. In this study, acid leaching was tested to optimize the production [...] Read more.
Quartz in high-purity form, i.e., with an iron content <100 mg/kg, has valuable properties such as superior UV transmission, thermal stability, and resistance to devitrification, which are highly useful for optical applications. In this study, acid leaching was tested to optimize the production of optical-grade quartz from mined quartz, transforming an environmentally polluting process into a sustainable one, aligning with several United Nations Sustainable Development Goals (SDGs). Initially, when iron removal was obtained with direct, cross-current, and counter-current leaching methods, the results were unsatisfactory. However, a variation consisting of incorporating sulfuric acid regenerated via membrane filtration into the typical counter-current scheme was proven effective, reducing acid consumption and enhancing water recycling in the process, mitigating the environmental impact. The best optimized combination was the three-step counter-current method, with acid regeneration and fresh make-up after each cycle. The conditions were temperature 90 °C, solid-to-liquid ratio 30% wt/vol, time 3 h, and H2SO4 concentration of 1 M. The iron extraction yield was close to 89%. Full article
Show Figures

Figure 1

24 pages, 5586 KB  
Article
Mechanisms of Proppant Pack Instability and Flowback During the Entire Production Process of Deep Coalbed Methane
by Xianlu Cai, Zhiming Wang, Wenting Zeng, Tianhao Huang, Binwang Li, Pengyin Yan and Anna Dai
Processes 2025, 13(11), 3605; https://doi.org/10.3390/pr13113605 - 7 Nov 2025
Viewed by 194
Abstract
Deep coalbed methane (DCBM) reservoirs often experience severe proppant flowback during large-scale hydraulic fracturing, which undermines fracture conductivity and limits long-term recovery. The critical flowback velocity (CFVP) is the key parameter controlling proppant pack instability and flowback. In this study, the instability and [...] Read more.
Deep coalbed methane (DCBM) reservoirs often experience severe proppant flowback during large-scale hydraulic fracturing, which undermines fracture conductivity and limits long-term recovery. The critical flowback velocity (CFVP) is the key parameter controlling proppant pack instability and flowback. In this study, the instability and flowback behavior of proppant packs throughout the entire production process, from early water flowback to late gas-dominated stages, were systematically investigated. Proppant flowback under closure stress was simulated using a CFD–DEM approach to clarify the flowback process and mechanical mechanisms. Laboratory experiments on coal fracture surfaces under gas-liquid two-phase and gas-liquid-solid three-phase conditions were then conducted to quantify CFVP and its variation across different production stages. Finally, a semi-empirical CFVP predictive model was developed through dimensional analysis. Results show that proppant flowback proceeds through three distinct stages—no flowback, gradual flowback, and rapid flowback. Increasing fracture width reduces proppant pack stability and lowers CFVP but allows higher flow capacity, and within the typical gas and water production ranges of deep coalbed methane reservoirs, flowback is significantly reduced when the width exceeds about 8 mm. Closure stress enhances CFVP below 15 MPa but has little effect above this threshold, while higher stresses progressively stabilize the proppant pack and minimize flowback. Larger average proppant size raises CFVP and preserves conductivity, whereas higher gas–liquid ratios elevate CFVP and reduce flowback, with ratios above 40 sustaining consistently low flowback levels. These findings clarify the mechanisms and threshold conditions of proppant flowback, establish quantitative CFVP benchmarks, and deliver theoretical as well as experimental guidance for optimizing DCBM production. Full article
Show Figures

Graphical abstract

17 pages, 1552 KB  
Article
Ultrasound Impact on Extraction Yield and Properties of Starch and Polyphenols from Canna indica L. Rhizomes
by Vigna Nivetha Chandrasekaran, Charlotte Silvestre, Julien Antih, Prakash Maran Jeganathan, Karine Portet, Gaelle Vesta, Hippolyte Kodja, Thomas Petit, Kaies Souidi, Florence Bichon and Patrick Poucheret
Separations 2025, 12(11), 307; https://doi.org/10.3390/separations12110307 - 6 Nov 2025
Viewed by 171
Abstract
In this present study, the efficiency of ultrasound-assisted extraction (UAE) in increasing the yields of extraction of starch and polyphenols from Canna indica L. (Canna) rhizomes were analyzed, along with its influence on the physiochemical properties of the extracted compounds. Extraction parameters (temperature, [...] Read more.
In this present study, the efficiency of ultrasound-assisted extraction (UAE) in increasing the yields of extraction of starch and polyphenols from Canna indica L. (Canna) rhizomes were analyzed, along with its influence on the physiochemical properties of the extracted compounds. Extraction parameters (temperature, time, and solid-to-liquid ratio) were optimized through Box–Behnken response surface design (BBD). The physiochemical and functional properties of starch and polyphenols were investigated through scanning electron microscopy (SEM), the swelling and solubility index, oil and water absorption index, total polyphenol yield, and antioxidant activity assays (DPPH and ORAC). The starch yield obtained from Canna at the optimum extraction conditions (temperature 40 °C, time 10 min, and solid-to-liquid ratio 1:30 g/mL) was 19.81%. The obtained starch yield was found to be significantly higher than the yield attained through the conventional extraction method without adverse changes in the physicochemical and functional properties. The total polyphenol extraction yield from the Canna rhizome, through UAE, was significantly higher (1061.72 mg GAE/100 g) than that of the conventional method. The antioxidant activity of bioactive compounds was proportional to the attained polyphenol yield. Our results suggest that UAE optimized conditions efficiently and improved Canna starch and polyphenol extraction yields while preserving their functional properties. Full article
(This article belongs to the Special Issue Isolation and Identification of Biologically Active Natural Compounds)
Show Figures

Figure 1

18 pages, 2342 KB  
Article
Total Flavonoid Extraction from Baihao Yinzhen Utilizing Ultrasound-Assisted Deep Eutectic Solvent: Optimization of Conditions, Anti-Inflammatory, and Molecular Docking Analysis
by Ziqi Zhang, Yan Chu, Wanting Huang, Huan Chen, Shengbao Hong, Dingfeng Kong and Liyong Du
Cosmetics 2025, 12(6), 245; https://doi.org/10.3390/cosmetics12060245 - 5 Nov 2025
Viewed by 327
Abstract
Background: Despite extensive phytochemical research on white tea varieties, flavonoid profiling in Baihao Yinzhen remains scarce. The development of green and efficient extraction methods is essential to facilitate its potential application in cosmetic formulations. Methods: A deep eutectic solvent-based ultrasound-assisted extraction (DES-UAE) was [...] Read more.
Background: Despite extensive phytochemical research on white tea varieties, flavonoid profiling in Baihao Yinzhen remains scarce. The development of green and efficient extraction methods is essential to facilitate its potential application in cosmetic formulations. Methods: A deep eutectic solvent-based ultrasound-assisted extraction (DES-UAE) was developed for Baihao Yinzhen flavonoids. After screening of 14 DESs and optimizing the conditions via single-factor and response surface methodology, the extracts were analyzed by UPLC-MS. Anti-inflammatory activity was assessed in LPS-induced RAW264.7 cells by measuring TNF-α and IL-6 levels, with molecular docking simulating flavonoid–cytokine interactions; Results: Among 14 tested deep eutectic solvents, hydroxypropyl-β-cyclodextrin/lactic acid (HP-β-CD/La) was identified as the most effective solvent for flavonoid extraction. Under optimized conditions (HBD/HBA mass ratio 3:1, temperature 60 °C, water content 40%, solid–liquid ratio 1:19, extraction time 62 min), the maximum flavonoid yield reached 108.72 mg RE/g DW. The DES extract (2.5 μg/mL) significantly suppressed TNF-α and IL-6 secretion in LPS-stimulated RAW264.7 cells compared to the water extract. UPLC-MS identified five major flavonoid glycosides, and molecular docking revealed their strong binding affinities with TNF-α and IL-6 proteins. Conclusions: DES-UAE provides an efficient green method for flavonoid extraction. The extract demonstrates significant anti-inflammatory activity, supporting its potential as a natural cosmetic ingredient. This study aimed to develop an efficient and green DES-UAE method for the extraction of flavonoids from Baihao Yinzhen, in order to evaluate the antioxidant and anti-inflammatory activities of the extract and to explore the potential interaction mechanisms of key flavonoids with inflammatory targets via molecular docking. Full article
(This article belongs to the Section Cosmetic Formulations)
Show Figures

Figure 1

24 pages, 5484 KB  
Article
Performance and Environmental Assessment of Alkali-Activated Cements from Agricultural and Industrial Residues
by Rafaela Pollon, Giovani Jordi Bruschi, Suéllen Tonatto Ferrazzo, Arielle Cristina Fornari, Eduarda Razador Lazzari, Pedro Domingos Marques Prietto and Eduardo Pavan Korf
Constr. Mater. 2025, 5(4), 79; https://doi.org/10.3390/constrmater5040079 - 4 Nov 2025
Viewed by 255
Abstract
The growing concern with carbon dioxide emissions from the cement industry has driven the search for alternative binders with lower environmental impact. Among these, alkali-activated cements (AACs) stand out due to their ability to produce cementitious matrices from aluminosilicate precursors and alkaline activators. [...] Read more.
The growing concern with carbon dioxide emissions from the cement industry has driven the search for alternative binders with lower environmental impact. Among these, alkali-activated cements (AACs) stand out due to their ability to produce cementitious matrices from aluminosilicate precursors and alkaline activators. However, comparisons between One-Part and Two-Part systems remain limited. This study evaluated the technical feasibility of producing AAC using sugarcane bagasse ash (SCBA) as precursor, carbide lime (CL) as calcium source, and sodium hydroxide (NaOH) as activator. Different parameters were tested, including NaOH molarities (1.0–2.5 M), SCBA/CL ratios (9.00–1.50), curing times (3, 7, and 28 days), and preparation methods. Mortars were produced at constant water/solid ratio of 1.40 and cured at room temperature (23 °C). Unconfined compressive strength (UCS) and leaching tests were performed, along with statistical analysis and Scanning Electron Microscopy (SEM), X-ray Diffraction (XRD), and Fourier Transform Infrared Spectroscopy (FTIR) analyses. ACC synthesized by the Two-Part method (2.0 M NaOH, SCBA:CL 70:30) reached an UCS of 1.60 MPa at 28 days, compared to 1.39 MPa for the One-Part method. Curing time was identified as the most significant factor, followed by SCBA/CL ratio and activator molarity, while preparation method had minimal effect. The material developed alkali-activated gels, and leaching tests indicated no toxicity, although Ba concentrations exceeded regulatory limits for water quality. Potential applications include mine tailings stabilization, soil improvement, shallow foundations, and urban furniture production. Full article
Show Figures

Figure 1

18 pages, 1015 KB  
Article
Evaluating the Cost-Effectiveness of Environmental Protection Plans in Quarrying Using the Social Return on Investment Framework
by Tochukwu A. Ngwu, Chinwe P. Oramah, Komsoon Somprasong and Chanapol Charoentanaworakun
Pollutants 2025, 5(4), 42; https://doi.org/10.3390/pollutants5040042 - 4 Nov 2025
Viewed by 303
Abstract
Environmental Protection Plans (EPPs) are vital for mitigating the socio-ecological impacts of quarry operations, especially in emerging economies like Thailand, where rapid industrialization often intensifies air, water, noise, and land degradation. This study applies the social return on investment (SROI) framework to evaluate [...] Read more.
Environmental Protection Plans (EPPs) are vital for mitigating the socio-ecological impacts of quarry operations, especially in emerging economies like Thailand, where rapid industrialization often intensifies air, water, noise, and land degradation. This study applies the social return on investment (SROI) framework to evaluate the cost-effectiveness of multi-domain EPPs implemented in a quarry. By applying compliance-based assessment and monetization of environmental and health co-benefits, annual economic outcomes were quantified for particulate matter (PM10), total dissolved solids (TDS), noise reduction, and carbon sequestration. The analysis revealed a high SROI ratio of 59.55:1, primarily driven by substantial health benefits from PM10 and noise abatement. This ratio also reflects consideration of investment from an annual operational cost, with a sensitivity analysis of incorporating an estimated capital expenditure, reducing the ratio to moderate value ranges of 5–10:1. A number of limitations, such as exclusion of capital costs, reliance on fixed proxies, and single-year scope, may overstate short-term returns, suggesting the application of stochastic methods for enhanced robustness. Overall, the findings demonstrate that EPPs deliver substantial economic and public health benefits, supporting their role in fostering community resilience and advancing sustainable operations in quarry sectors. Full article
Show Figures

Figure 1

18 pages, 2159 KB  
Article
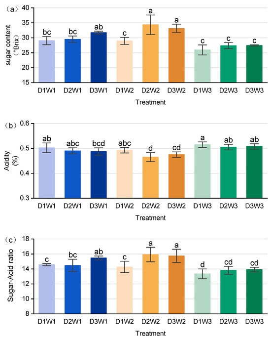
Improving Photosynthetic Characteristics and Enhancing Yield and Quality of Nanfeng Tangerine via Deep Irrigation in Red Soil Hilly Regions
by Zhenjing Tan, Siguo Liu, Zichen Jia, Jinjin Zhu, Yao Peng, Min Li, Huaming Zhang and You Hu
Agronomy 2025, 15(11), 2553; https://doi.org/10.3390/agronomy15112553 - 3 Nov 2025
Viewed by 327
Abstract
Seasonal drought and poor soil water retention are key constraints to citrus production in China’s red soil hilly regions. This study investigated the effects of deep-layer irrigation on photosynthetic characteristics, yield, and fruit quality in a typical Nanfeng Tangerine orchard in Jiangxi. A [...] Read more.
Seasonal drought and poor soil water retention are key constraints to citrus production in China’s red soil hilly regions. This study investigated the effects of deep-layer irrigation on photosynthetic characteristics, yield, and fruit quality in a typical Nanfeng Tangerine orchard in Jiangxi. A factorial experiment with three irrigation depths (D1: 25 cm, D2: 50 cm, D3: 100 cm) and three water levels (W1: severe deficit, W2: mild deficit, W3: full irrigation) was conducted. The D2W2 treatment was identified as optimal. It significantly enhanced the net photosynthetic rate by 88.14% and improved instantaneous water use efficiency by 25.93% compared to the poorest-performing treatments. Furthermore, D2W2 achieved the highest yield per plant (58.13 kg) and superior fruit quality (soluble solids: 34.37 °Brix; titratable acidity: 0.46%; sugar–acid ratio: 15.93), a result corroborated by its top TOPSIS score (0.95). In conclusion, deep-layer irrigation at 50 cm combined with a mild water deficit is the recommended strategy for synchronizing water conservation, yield increase, and quality improvement in Nanfeng honey tangerine orchard. Full article
Show Figures

Figure 1

23 pages, 9802 KB  
Article
Influence of the Semicircular Cycle in a Labyrinth Weir on the Discharge Coefficient
by Erick Dante Mattos-Villarroel, Waldo Ojeda-Bustamante, Carlos Díaz-Delgado, Humberto Salinas-Tapia, Carlos Francisco Bautista-Capetillo, Jorge Flores-Velázquez and Cruz Ernesto Aguilar-Rodríguez
Water 2025, 17(21), 3151; https://doi.org/10.3390/w17213151 - 3 Nov 2025
Viewed by 358
Abstract
The labyrinth weir is an effective hydraulic structure, offering high discharge efficiency and economic advantages, making it a suitable option for dam construction or rehabilitation projects. Owing to its complex geometry, significant research efforts have been dedicated to enhancing its hydraulic performance. Since [...] Read more.
The labyrinth weir is an effective hydraulic structure, offering high discharge efficiency and economic advantages, making it a suitable option for dam construction or rehabilitation projects. Owing to its complex geometry, significant research efforts have been dedicated to enhancing its hydraulic performance. Since the beginning of this century, Computational Fluid Dynamics (CFD) has emerged as a vital approach, complementing traditional methods in the design of hydraulic structures. This study employs CFD ANSYS FLUENT to examine the discharge coefficient of a semicircular labyrinth weir, featuring a cyclic arrangement and a half-round crest profile. The numerical models and simulations address two-phase flow (air and water) under incompressible and free-surface conditions. The CFD ANSYS FLUENT approach used is multiphase flow modeling using the Volume of Fluid method to track the free water surface. For turbulence effects, it is complemented with the standard k-ε model and the Semi-Implicit Method for Pressure Linked Equations algorithm for pressure–velocity coupling. In addition, for boundary conditions, the flow velocity was defined as the inlet to the channel and atmospheric pressure as the outlet, and the walls of the channel and weir are considered solid, stationary, and non-sliding walls. The model was validated with experimental data reported in the literature. The results indicate that the semicircular labyrinth weir achieves greater discharge capacity when the headwater ratio HT/P increases for HT/P ≤ 0.25. A regression analysis mathematical model was also developed, using the HT/P ratio, to predict the discharge coefficient for 0.05 ≤ HT/P ≤ 1. Relative to other geometrical configurations, the semicircular labyrinth weir demonstrated a discharge capacity that was up to 88% higher than that of the trapezoidal labyrinth weir. Both weir and cycle efficiency were assessed, and maximum weir efficiency was observed when HT/P ≤ 0.1, while cycle efficiency peaked at HT/P ≤ 0.25. The geometric configuration under analysis demonstrated greater economic efficiency by providing a reduced total length and enhanced discharge capacity relative to trapezoidal designs, especially when the sidewall angle α is considered as α ≤ 12°. The study concludes by presenting a design sequence detailing the required concrete volume for construction, which is subsequently compared to the specifications of a trapezoidal labyrinth weir. Full article
(This article belongs to the Section Hydraulics and Hydrodynamics)
Show Figures

Figure 1

17 pages, 6477 KB  
Article
Hydrogeochemical Evolution and Ecological Irrigation Evaluation of Mine Water in an Arid Coal Region: A Case Study from Northwest China
by Hao Wang, Hongbo Shang, Tiantian Wang, Jiankun Xue, Xiaodong Wang, Zhenfang Zhou and Qiangmin Wang
Water 2025, 17(21), 3132; https://doi.org/10.3390/w17213132 - 31 Oct 2025
Viewed by 276
Abstract
Investigating ecological irrigation risks associated with mine water utilization is of great significance for alleviating water resource shortages in arid mining regions of western China, thereby supporting efficient coal extraction and coordinated ecological development. In this study, a representative mining area in Xinjiang [...] Read more.
Investigating ecological irrigation risks associated with mine water utilization is of great significance for alleviating water resource shortages in arid mining regions of western China, thereby supporting efficient coal extraction and coordinated ecological development. In this study, a representative mining area in Xinjiang was investigated to reveal the evolution patterns of mine water quality under arid geo-environmental conditions in western China and to systematically assess environmental risks induced by ecological irrigation. Surface water, groundwater, and mine water samples were collected to study ion ratio coefficients, hydrochemical characteristics, and evolution processes. Based on this, a multi-index analysis was employed to evaluate ecological irrigation risks and establish corresponding risk control measures. The results show that the total dissolved solids (TDS) of mine water in the study area are all greater than 1000 mg/L. The evolution of mine water quality is mainly controlled by water–rock interaction and is affected by evaporation and concentration. The main ions Na+, Cl, Ca2+, and SO42− originate from the dissolution of halite, gypsum, and anorthite. If the mine water is directly used for irrigation without treatment, the soluble sodium content, sodium adsorption ratio, salinity hazard, and magnesium adsorption ratio will exceed the limits, leading to the accumulation of Na+ in the soil, affecting plant photosynthesis, and posing potential threats to the groundwater environment. Given the evolution process of mine water quality and the potential risks of direct use for irrigation, measures can be taken across three aspects: nanofiltration combined with reverse osmosis desalination, adoption of drip irrigation and intermittent irrigation technologies, and selection of drought-tolerant vegetation. These measures can reduce the salt content of mine water, decrease the salt accumulation in the soil layer, and lower the risk of groundwater pollution, thus reducing the environmental risks of ecological irrigation with mine water. The research will provide an important theoretical basis for the scientific utilization and management of mine water resources in arid areas by revealing the evolution law of mine water quality in arid areas and clarifying its ecological irrigation environmental risks. Full article
Show Figures

Figure 1

22 pages, 8757 KB  
Article
Multi-Variable Optimization of Sustainable Alkali-Activated Mortar with High Waste Concrete Powder Dosage for Enhanced Drying Shrinkage Resistance
by Zhen Zou, Han Gao, Yingda Zhang, Jiehong Li, Miao Li and Yang Yu
Buildings 2025, 15(21), 3903; https://doi.org/10.3390/buildings15213903 - 28 Oct 2025
Viewed by 287
Abstract
This study presents a comprehensive strategy for mitigating drying shrinkage of alkali-activated slag mortar (AASM) with the high-dosage incorporation of waste concrete powder (WCP). Response surface methodology (RSM) coupled with microstructural analysis is used to investigate the synergistic effects of WCP particle size [...] Read more.
This study presents a comprehensive strategy for mitigating drying shrinkage of alkali-activated slag mortar (AASM) with the high-dosage incorporation of waste concrete powder (WCP). Response surface methodology (RSM) coupled with microstructural analysis is used to investigate the synergistic effects of WCP particle size (R), activator modulus (AM), activator content (AC), and water to solid ratio (W/S) on shrinkage behavior and matrix development. The optimized mix—WCP-R = 33.6 µm, AM = 1.23, AC = 6.03%. and W/S = 0.49—exhibits a 120-day drying shrinkage of only 1450.1 µε, significantly lower than that of conventional AASM. Microstructural observations reveal that coarser WCP particles act predominantly as fillers, enhancing stability, whereas finer particles promote gel formation but increase shrinkage. A high AM (1.6) refines the pore structure by reducing large pores (>0.05 µm), while a low W/S (0.46) decreases total porosity to 7.67%, collectively restricting moisture transport. The coexistence of C-(A)-S-H gel and hydrotalcite improves matrix integrity. Notably, this optimized HWAASM achieves a substantially reduced carbon footprint of 180 kg CO2-eq/t, underscoring its significant environmental advantage. The findings advance the understanding of shrinkage mechanisms in high-WCP-AASM and offer an eco-friendly route for valorizing construction waste and developing low-carbon building materials. Full article
(This article belongs to the Section Building Materials, and Repair & Renovation)
Show Figures

Figure 1

12 pages, 1831 KB  
Article
Efficient and Thorough Oxidation of Bisphenol A via Non-Radical Pathways Activated by SOx2−-Modified Mn2O3
by Fei Pei, Jiajie Dong, Xin’e Yan, Youwen Xu and Songyuan Yao
Crystals 2025, 15(11), 922; https://doi.org/10.3390/cryst15110922 - 27 Oct 2025
Viewed by 243
Abstract
It is generally found that enhancement in catalytic activity comes at the expense of selectivity or stability. In this study, an SOx2−-modified Mn2O3 (SO-Mn2O3) solid catalyst was prepared using a simple oxalate precipitation [...] Read more.
It is generally found that enhancement in catalytic activity comes at the expense of selectivity or stability. In this study, an SOx2−-modified Mn2O3 (SO-Mn2O3) solid catalyst was prepared using a simple oxalate precipitation method. This catalyst exhibited not only high catalytic activity but also high selectivity and good cycling stability. The degradation ratio of bisphenol A (BPA) under SO-Mn2O3 activated potassium peroxymonosulfate (PMS) achieved over 99% within 10 min, and the mineralization ratio increased to 83.2%. Particularly, the degradation rate for BPA under the SO-Mn2O3/PMS system was 15 times that of Mn2O3. Furthermore, the degradation ratio remained at 93.3% after five consecutive cycles. Multiple experimental characterizations confirmed that the introduction of SOx2− into Mn2O3 shifted the oxidative degradation pathway from a mixture of radical and non-radical routes to a predominantly non-radical pathway. This suppressed radical generation promoted the selective formation of high-valence metallic-oxo (Mn(V)=O) species and singlet oxygen (1O2), thereby significantly enhancing the catalytic activity. In addition, the SO-Mn2O3/PMS system exhibited broad applicability towards the degradation of other phenolic pollutants, strong anti-interference capability against complex water matrices, and suitability for efficient removal of organic contaminants in such environments. This research offers new perspectives for the design of selective catalysts for PMS activation. Full article
(This article belongs to the Section Inorganic Crystalline Materials)
Show Figures

Figure 1

Back to TopTop