Sign in to use this feature.

Years

Between: -

Subjects

remove_circle_outline
remove_circle_outline
remove_circle_outline
remove_circle_outline
remove_circle_outline
remove_circle_outline
remove_circle_outline

Journals

Article Types

Countries / Regions

Search Results (49)

Search Parameters:
Keywords = walnut cultivars

Order results
Result details
Results per page
Select all
Export citation of selected articles as:
19 pages, 1704 KB  
Review
Unraveling Mechanisms of Enzymatic Browning in Nuts and Their Relationship with Pre- and Post-Harvest Factors: Management Strategies for Mitigation
by Gabriela Gavilán-CuiCui, Ricardo Lagos-Muñoz, Felix Miguel Ellena, Antonio Di Matteo, Filis Morina and Cristian Meriño-Gergichevich
Molecules 2025, 30(19), 3866; https://doi.org/10.3390/molecules30193866 - 24 Sep 2025
Cited by 1 | Viewed by 1440
Abstract
Enzymatic browning (EB) is a physiological alteration that compromises the sensory and commercial quality of tree nuts, significantly reducing their market value and functional compound content. Due to its complexity and economic impact, this review compiles updated information on mechanisms and factors driving [...] Read more.
Enzymatic browning (EB) is a physiological alteration that compromises the sensory and commercial quality of tree nuts, significantly reducing their market value and functional compound content. Due to its complexity and economic impact, this review compiles updated information on mechanisms and factors driving EB in tree nut species, as well as strategies for its prevention. The EB in tree nuts results from the oxidation of phenolic compounds (PCs) to brown pigments. This process is driven by enzymatic activity such as polyphenol oxidase (PPO), peroxidase (POD), and phenylalanine ammonium lyase (PAL) and strongly enhanced by cellular stress and associated regulation of gene expression. The EB has been documented in several tree nut species, including almonds, betel nuts, chestnuts, hazelnuts, macadamias, pecans, pistachios, and walnuts. This alteration developed both pre-harvest and post-harvest and was influenced by agronomic factors (such as cultivar, nutritional status, climatic conditions, and altitude) and handling (including shelling, storage, and processing). Mitigation strategies include the use of synthetic inhibitors, physical treatments, and the use of plant extracts rich in natural antioxidants, the latter perceived as more sustainable and safer alternatives. Full article
Show Figures

Figure 1

18 pages, 1967 KB  
Article
Optimizing Growth Regulator Concentrations for Cannabis sativa L. Micropropagation
by Gabrielle A. Johnson, Carissa L. Jackson, Antonio Timoteo, Papaiah Sardaru, Michael H. Foland, Purushothaman Natarajan and Sadanand A. Dhekney
Plants 2025, 14(16), 2586; https://doi.org/10.3390/plants14162586 - 20 Aug 2025
Viewed by 1784
Abstract
In this study, the effect of growth regulators on shoot proliferation and rooting were evaluated to develop an efficient micropropagation protocol for the Cannabis sativa L. cultivars ‘Cherry Soda’ and ‘Purple’. Apical meristems were isolated from actively growing shoots of stock plants and [...] Read more.
In this study, the effect of growth regulators on shoot proliferation and rooting were evaluated to develop an efficient micropropagation protocol for the Cannabis sativa L. cultivars ‘Cherry Soda’ and ‘Purple’. Apical meristems were isolated from actively growing shoots of stock plants and transferred to Driver and Kuniyuki Walnut (DKW) culture medium containing either 0.0, 0.5, 1.0, 2.0, or 5.0 μM meta-Topolin to study their shoot proliferation response. Resulting shoot cultures were transferred to medium containing varying levels of Indole Acetic Acid (IAA), Indole Butyric Acid (IBA), or Naphthalene Acetic Acid (NAA), solely or in combination, and were subjected to a 10-day dark incubation followed by a 16 h/8 h light/dark period to identify the best treatment for root production. Among the different shoot proliferation treatments studied, the maximum number of shoots was produced on the control medium that was devoid of any meta-Topolin. Cultures grown on medium containing 5.0 μM meta-Topolin exhibited hyperhydricity, where shoots appeared translucent and pale green in color; were characterized by water-soaked lesions; and leaves appeared curled and brittle in contrast to healthy looking cultures. Among the various rooting treatments studied, shoots grown in the dark for 10 days exhibited the highest frequency of rooting on medium containing 4.0 μM NAA or 6.0 μM IBA + 1.0 μM NAA. Full developed plants with a robust shoot and root system were transferred to soil, acclimatized under conditions for high humidity, and then transferred to ambient conditions in 4 weeks. The micropropagation protocol developed here allows for rapid multiplication of disease-free plants in C. sativa cultivars. Full article
(This article belongs to the Special Issue Plant Tissue Culture and Plant Regeneration—2nd Edition)
Show Figures

Figure 1

21 pages, 6405 KB  
Article
Methyl Jasmonate Orchestrates Multi-Pathway Antioxidant Defense to Enhance Salt Stress Tolerance in Walnut (Juglans regia L.)
by Ruining Nie, Chengxu Wu, Xinying Ji, Ao Li, Xu Zheng, Jiajia Tang, Leyuan Sun, Yi Su and Junpei Zhang
Antioxidants 2025, 14(8), 974; https://doi.org/10.3390/antiox14080974 - 8 Aug 2025
Cited by 2 | Viewed by 1042
Abstract
Walnut (Juglans regia L.), an ecologically and economically important species, requires the elucidation of its salt stress response mechanisms for improved salt tolerance breeding. This study elucidates the physiological and molecular mechanisms through which exogenous methyl jasmonate (MeJA) mitigates salt stress in [...] Read more.
Walnut (Juglans regia L.), an ecologically and economically important species, requires the elucidation of its salt stress response mechanisms for improved salt tolerance breeding. This study elucidates the physiological and molecular mechanisms through which exogenous methyl jasmonate (MeJA) mitigates salt stress in walnut, providing novel strategies for salt-tolerant cultivar development. This integrated study combined physiological, biochemical, and multi-omics analyses to decipher how exogenous MeJA enhances ROS scavenging through the synergistic activation of phenylalanine (Phe), tryptophan (Trp), and α-linolenic acid pathways, establishing a multilevel antioxidant defense network. MeJA treatment effectively mitigated salt stress-induced oxidative damage, as demonstrated by a significant 16.83% reduction in malondialdehyde (MDA) content, concurrent 11.60%, 10.73% and 22.25% increases in superoxide dismutase (SOD), peroxidase (POD), and catalase (CAT) activities, respectively, the elevation of osmoregulatory soluble sugars (SS), and 1.2- to 2.0-fold upregulation of key antioxidant enzyme genes (SOD, POD, APX, GPX, DHAR) and elevated osmoregulatory substances (soluble sugars, SS). Improved photosynthetic parameters (Pn, Gs) and chlorophyll fluorescence efficiency (Fv/Fm) collectively indicated reduced oxidative stress (improved by 7.97–23.71%). Joint metabolomic-transcriptomic analyses revealed MeJA-enhanced ROS scavenging via the coordinated regulation of Phe, Trp, and α-linolenic acid pathways. In summary, MeJA significantly enhanced reactive oxygen species (ROS) scavenging efficiency and comprehensive antioxidant capacity in walnut seedlings through the synergistic regulation of key metabolic pathways, effectively mitigating salt stress. These findings establish a crucial mechanistic foundation for understanding plant salt stress responses and advance the utilization of MeJA-mediated strategies for the genetic improvement of salinity tolerance in walnut. Future research should prioritize optimizing MeJA application protocols and functionally validating key regulatory genes for breeding applications. Full article
(This article belongs to the Special Issue Oxidative Stress in Plant Stress and Plant Physiology)
Show Figures

Graphical abstract

20 pages, 4640 KB  
Article
Metabolite Profile and Metabolic Network Analysis of Walnuts (Juglans regia L.) in Response to Chilling Stress
by Kai Liu, Yang Li, Yaxin Sang, Yaru Zhang, Xiuhong An, Hongxia Wang and Ruifen Zhang
Metabolites 2025, 15(6), 394; https://doi.org/10.3390/metabo15060394 - 12 Jun 2025
Cited by 1 | Viewed by 890
Abstract
Background: Walnut (Juglans regia L.) is a species of considerable ecological, social, and economic importance. However, comprehensive metabolomic investigations into walnut cultivars under chilling stress remain scarce. Methods: In this study, we utilized LC-MS/MS-based non-targeted metabolomics to analyze differential metabolites in two [...] Read more.
Background: Walnut (Juglans regia L.) is a species of considerable ecological, social, and economic importance. However, comprehensive metabolomic investigations into walnut cultivars under chilling stress remain scarce. Methods: In this study, we utilized LC-MS/MS-based non-targeted metabolomics to analyze differential metabolites in two walnut cultivars exposed to chilling stress at 0.5 °C for 0 and 48 h. Results: A total of 1504 metabolites were identified, including 871 in positive ion mode and 633 in negative ion mode. Specifically, 160 and 287 differential metabolites were detected in ‘Qingxiang’ and ‘Liaoning No.8’, respectively, under positive ion mode. In negative ion mode, 83 and 206 differential metabolites were identified in ‘Qingxiang’ and ‘Liaoning No.8’, respectively. These metabolites were primarily associated with α-linolenic acid metabolism, phenylpropanoid biosynthesis, flavonoid biosynthesis, and phenylalanine metabolism, and multiple candidate genes were obtained that exhibit significant correlations with metabolites, suggesting their critical roles in the walnut’s response to chilling stress. Conclusions: This study proposes a metabolic network for walnut leaves under chilling stress, enriching our understanding of the metabolic adaptation mechanisms of walnuts to low-temperature conditions. It lays a foundation for investigating the regulatory mechanisms of metabolite synthesis under cold stress and provides important theoretical insights for breeding cold-resistant walnut cultivars. Full article
(This article belongs to the Section Plant Metabolism)
Show Figures

Figure 1

28 pages, 1366 KB  
Article
Yield and Quality of Walnuts Subjected to Deficit Irrigation in Mountainous Water-Starved Environments
by Víctor Hugo Durán Zuazo, Belén Cárceles Rodríguez, Esther Sendra, Ángel Antonio Carbonell-Barrachina, Leontina Lipan, Francisca Hernández, Baltasar Gálvez Ruiz and Iván Francisco García-Tejero
Plants 2025, 14(12), 1777; https://doi.org/10.3390/plants14121777 - 10 Jun 2025
Viewed by 3666
Abstract
Walnut (Juglans regia L.) exhibits a high sensitivity to water deficit, making it crucial to comprehend this characteristic in order to optimize irrigation strategies to improve its productivity. Deficit irrigation is widely used under drought conditions to achieve water savings goals. This [...] Read more.
Walnut (Juglans regia L.) exhibits a high sensitivity to water deficit, making it crucial to comprehend this characteristic in order to optimize irrigation strategies to improve its productivity. Deficit irrigation is widely used under drought conditions to achieve water savings goals. This study examines the impact of sustained deficit irrigation (SDI) strategies—applying 33%, 50%, or 75% of the crop water demand—on yield and quality parameters of two walnut cultivars (Chandler and Cisco) over a three-year monitoring period. These treatments were compared against control trees receiving full irrigation at 100% of crop water requirements (C100). The nut yield was significantly and proportionally reduced under the SDI treatments. In the experiment, the average yield for cv. Chandler amounted to 6.7, 6.4, and 12.2 kg tree−1 under SDI33, SDI50, and SDI75, respectively, which were less than 13.9 kg tree−1 in the C100 plot. Similarly, cv. Cisco yielded 8.0, 11.6, 11, and 15.6 kg tree−1 under SDI33, SDI50, SDI75, and C100, respectively. These findings indicate that the cultivar Cisco exhibits greater tolerance to moderate and intermediate levels of water deficit. Furthermore, the SDI treatments notably influenced several morphological and physicochemical kernel parameters. The key affected attributes include the weight, size, color, profiles of specific sugars, and mineral content (notably potassium, iron, and zinc), as well as the composition of unsaturated fatty acids (palmitoleic and cis-vaccenic) and polyunsaturated fatty acids (linoleic and α-linolenic), with pronounced effects observed particularly under the SDI75 treatment. Thus, deficit irrigation did not drastically affect the kernel quality parameters, and it is also possible to augment them by selecting the appropriate water stress level. Therefore, for both walnut cultivars, approximately 25% of the irrigation water (SDI75), equivalent to an average of 1681 m3 ha−1, can be conserved relative to the total crop water requirement without negatively impacting walnut tree performance in the short to medium term. Here, we show the key role of adjusting irrigation practices by stressing the benefits of SDI that can save water, foster water productivity, and boost walnut health-promoting phytochemicals. Full article
(This article belongs to the Section Crop Physiology and Crop Production)
Show Figures

Figure 1

26 pages, 1942 KB  
Article
Harnessing the Potential of Walnut Leaves from Nerpio: Unveiling Extraction Techniques and Bioactivity Through Caenorhabditis elegans Studies
by Amel Hamdi, Miguel Angel Córdoba-Rojano, Jose Manuel Monje-Moreno, Elisa Guillén-Izquierdo, Rocío Rodríguez-Arcos, Ana Jiménez-Araujo, Manuel Jesús Muñoz-Ruiz and Rafael Guillén-Bejarano
Foods 2025, 14(6), 1048; https://doi.org/10.3390/foods14061048 - 19 Mar 2025
Cited by 3 | Viewed by 1503
Abstract
This study used Juglans regia leaves from the Gran Jefe variety; this indigenous cultivar from Nerpio is highly valued for its quality and distinct characteristics. This type of walnut is traditionally cultivated in the region and is noted for its organoleptic properties and [...] Read more.
This study used Juglans regia leaves from the Gran Jefe variety; this indigenous cultivar from Nerpio is highly valued for its quality and distinct characteristics. This type of walnut is traditionally cultivated in the region and is noted for its organoleptic properties and adaptation to local climatic conditions. Two solvents were tested to determine the optimal extraction conditions for phenolic compounds: 80% ethanol and water. Direct homogenization with an Ultra-Turrax, direct ultrasound, and indirect ultrasound treatments were compared for ethanol extraction. Water extractions were conducted using direct and indirect ultrasound, infusion, and decoction. Compared to water extraction, 80% ethanol proved to be more efficient. Extracting phenolic compounds from ’Gran Jefe’ walnut leaves was most effective when using direct extraction methods without either ultrasound assistance or indirect ultrasound treatment. The main compounds identified were trans-3-caffeoylquinic acid and quercetin-3-hexoside isomer 1. The ethanolic extract obtained through direct extraction was selected to study further the bioactivities of ’Gran Jefe’ walnut leaves using C. elegans as an in vivo model. Results indicated that the leaf extract enhanced thermal and oxidative stress resistance, promoted fertility, and exhibited neuroprotective effects in models of Alzheimer’s and Parkinson’s diseases. The observed bioactivities were attributed to the free phenolics present in the ethanolic extract. Full article
(This article belongs to the Section Food Engineering and Technology)
Show Figures

Graphical abstract

15 pages, 620 KB  
Article
Host Jumps and Pathogenicity of Botryosphaeriaceae Species on Grapevines (Vitis vinifera) in Chile
by Yadira Hernández, Mauricio Lolas, Karina Elfar, Akif Eskalen, Felipe Gainza-Cortés and Gonzalo A. Díaz
Microorganisms 2025, 13(2), 331; https://doi.org/10.3390/microorganisms13020331 - 3 Feb 2025
Cited by 1 | Viewed by 1806
Abstract
Botryosphaeria dieback disease is a significant grapevine trunk disease (GTD) caused by species of Botryosphaeriaceae in Chile and worldwide. Moreover, Botryosphaeriaceae have been described attacking fruit and nut crops in Chile. However, it remains unknown whether fungal isolates from tree hosts have the [...] Read more.
Botryosphaeria dieback disease is a significant grapevine trunk disease (GTD) caused by species of Botryosphaeriaceae in Chile and worldwide. Moreover, Botryosphaeriaceae have been described attacking fruit and nut crops in Chile. However, it remains unknown whether fungal isolates from tree hosts have the potential to infect grapevines in Chile. The aggressiveness and potential cross infection of species of Botryosphaeriaceae collected from crops (grapevines, apples, blueberries, and walnuts), was assessed on grapevines. Plant materials, including nursery cuttings, lignified canes, and green shoots of grapevine cultivars (Cabernet Sauvignon, Syrah, Sauvignon Blanc, Malbec, Aspirant Bouschet, and Merlot), were inoculated with Diplodia mutila, D. seriata, Dothiorella sarmentorum, Lasiodiplodia theobromae, Neofusicoccum arbuti, and N. parvum, under greenhouse and vineyard conditions. Regardless of the origin of the isolates, most species of Botryosphaeriaceae were pathogenic on plant materials, causing necrotic lesions of mean lengths from 11.9 to 86.2 mm using mycelial suspension and from 24.8 to 253.7 mm with mycelial plugs. Notably, Neofusicoccum species were the most aggressive, regardless of host origin. Other less aggressive species included L. theobromae, D. mutila, and D. seriata isolated from apple and walnut. This study highlights the potential of species of Botryosphaeriaceae from alternative fruit hosts as inoculum sources for grapevines in Chile. Full article
(This article belongs to the Special Issue Plant Pathogens: Monitoring, Identification and Biological Control)
Show Figures

Figure 1

25 pages, 9623 KB  
Article
Cold Hardiness and Physio-Biochemical Responses of Annual Branches in Five Early-Fruiting Walnut Varieties (Juglans regia L.) Under Simulated Low-Temperature Stress
by Zitong Ni, Haifang Hu and Guiqing Xu
Horticulturae 2025, 11(1), 72; https://doi.org/10.3390/horticulturae11010072 - 10 Jan 2025
Cited by 1 | Viewed by 1669
Abstract
As global climate change escalates, horticultural crops, especially walnuts, face increased vulnerability to frost damage. Cold hardiness—a crucial trait for survival—is influenced by complex physiological and biochemical mechanisms. This study assessed the cold hardiness of five walnut cultivars—‘Xinxin 2’, ‘Wen 81’, ‘Wen 185’, [...] Read more.
As global climate change escalates, horticultural crops, especially walnuts, face increased vulnerability to frost damage. Cold hardiness—a crucial trait for survival—is influenced by complex physiological and biochemical mechanisms. This study assessed the cold hardiness of five walnut cultivars—‘Xinxin 2’, ‘Wen 81’, ‘Wen 185’, ‘Zha 343’, and ‘Xinzaofeng’—under simulated low-temperature stress, focusing on differences in freezing tolerance. One-year branches were gradually cooled to temperatures as low as −30 °C. Key physiological metrics, including electrolyte leakage (EL) and regrowth (RG) potential, along with biochemical metrics like antioxidant enzyme activities and osmoregulatory compounds, were used to evaluate cold hardiness. A comprehensive cold resistance indicator, derived using the subordination function method, highlighted cultivar resilience. Results showed significant variation in cold tolerance, with ‘Wen 185’ and ‘Wen 81’ exhibiting superior resilience, while ‘Xinxin 2’ was the most susceptible. Logistic regression analysis of relative electrolyte conductivity (REC) data estimated the semi-lethal temperature (LT50), identifying ‘Wen 81’ as the most cold-tolerant cultivar (LT50 = −21.73 °C). Antioxidant enzymes and osmoregulatory compounds were crucial for maintaining cellular stability and recovery after freezing. These findings offer practical insights for breeding cold-resistant cultivars and strategies to mitigate frost damage. Full article
(This article belongs to the Special Issue Orchard Management: Strategies for Yield and Quality)
Show Figures

Figure 1

19 pages, 2799 KB  
Article
Analysis of Genetic Diversity and Relationships of Local Walnut Populations in the Western Caspian Region of the North Caucasus
by Ivan Suprun, Ilya Stepanov and Dzhalaludin Anatov
Horticulturae 2025, 11(1), 65; https://doi.org/10.3390/horticulturae11010065 - 9 Jan 2025
Cited by 3 | Viewed by 1585
Abstract
Common walnut (Juglans regia L.) is a valuable nut crop widely distributed within the temperate climate zone. It has several secondary centers of origin associated with refugia formed during the LGM (Last Glacial Maximum) period, one of which was presumably located in [...] Read more.
Common walnut (Juglans regia L.) is a valuable nut crop widely distributed within the temperate climate zone. It has several secondary centers of origin associated with refugia formed during the LGM (Last Glacial Maximum) period, one of which was presumably located in the Caucasus region. Currently, walnut populations of the Caucasus are studied fragmentarily, especially in the northeast. Our study is aimed at investigating the genetic diversity, population structure, and possible walnut introduction processes in the Caspian region of the Northeast Caucasus (Dagestan). Genotyping using 11 SSR markers was performed for 158 samples from local walnut populations. Also, to identify the introduction facts, 42 varieties of different geographical origin were added to research. The SSR markers genetic diversity in the analysis of population varied from four to 20 alleles per locus, with an average value of 9.82. Analysis of the genetic structure revealed significant genetic differences between the subpopulations of the Mountain and Flatland Dagestan. Presumably, the structure of the gene pool could have been influenced by terrain factors and ethnocultural characteristics. Subpopulations of Flatland Dagestan have an intermediate position between the western cultivars and the gene pool of Mountain Dagestan, which subpopulations showed significant genetic isolation. In the studied samples set of population selections, the established introduction facts were rare. We have suggested that a significant part of the walnut gene pool from Mountain Dagestan has an autochthonous origin from plants that survived the LGM in the Caucasian refugia. Our results are the basis for further studies of the local gene pool and verification of hypothesis about the presence of an indigenous germplasm preserved in this region from the LGM period. Full article
(This article belongs to the Section Genetics, Genomics, Breeding, and Biotechnology (G2B2))
Show Figures

Figure 1

16 pages, 7359 KB  
Article
Comprehensive Evaluation of Cryptic Juglans Genotypes: Insight from Molecular Markers and Phylogenetic Analysis
by Sajjad Sajjad, Muhammad Islam, Khushi Muhammad, Sajid-ul Ghafoor, Irfan Ullah, Asif Khan, Muhammad Siraj, Abdulwahed Fahad Alrefaei, Jawad Ali Shah and Sajid Ali
Genes 2024, 15(11), 1417; https://doi.org/10.3390/genes15111417 - 31 Oct 2024
Cited by 2 | Viewed by 3095
Abstract
Background/Objectives: The current research work aimed to evaluate the cryptic walnut genotypes of the Hazara region in Pakistan by using DNA barcoding and phylogenetic analysis. Methods: Based on morphological traits such as nut size, nut shape, and the number of leaflets, five genotypes [...] Read more.
Background/Objectives: The current research work aimed to evaluate the cryptic walnut genotypes of the Hazara region in Pakistan by using DNA barcoding and phylogenetic analysis. Methods: Based on morphological traits such as nut size, nut shape, and the number of leaflets, five genotypes were chosen and samples were collected for the current study. For molecular analysis, gDNA was isolated from the fresh leaves, and the five most effective angiosperm-specific markers, ITS2, rbcLa, rbcLc, rpoC1, and UBE3, were utilized. Based on amplification, sequencing, and identification success rates, ITS2 and UBE3 were recorded as the most efficient markers followed by rbcLa, rbcLc, and rpoC1. Results: During phylogenetic analysis, the query genotype-1 based on ITS2 and genotype-2 based on UBE3 clustered with (KF454101.1-Juglans regia) and (KC870919.1-J. regia) with bootstraps of 56 and 100, respectively. Genotype-3 based on rbcla clustered in a major clade with J. regia L., cultivars (MN397935.1 J. regia ‘Vina’) and (MN397934.1-J. regia ‘Serr’), (MN397933.1 J. regia ‘Pedro’), (MN397932.1 J. regia ‘Lara’), (MN397931.1 J. regia ‘Howard’), and (MN397930.1 J. regia ‘Hartley’) with bootstrap of 100. Meanwhile, genotype-4 and genotype-5 based on rbclc and rpoC1 clustered with (MN397935.1 J. regia ‘Vina’) and (MN397934.1 J. regia ‘Serr’), across the database sequences. To clarify the taxonomic status of cryptic walnut genotypes, it is necessary to combine diverse DNA barcodes. The results of ITS2 and UBE3, followed by rbcL barcoding markers, are promising taxonomic tools for cryptic walnut genotypes in Pakistan. Conclusions: It has been determined that the genotypes of walnuts in the study area are both J. regia L. and its cultivars and that the accuracy of discrimination regarding the genus Juglans L. is greater than 90%. The reported DNA barcodes are recommended for the correct identification and genetic evaluation of Juglans taxa and its population. Full article
(This article belongs to the Special Issue Bioinformatics of Plant)
Show Figures

Figure 1

15 pages, 1514 KB  
Article
Short Cold Storage as a Sustainable Postharvest Handling Method for Natural Enrichment in Antioxidants of Fresh and Dried Walnut Kernels—Cultivar Effect
by Miltiadis V. Christopoulos, Mina Kafkaletou, Anna Velliou and Eleni Tsantili
Sustainability 2024, 16(11), 4727; https://doi.org/10.3390/su16114727 - 1 Jun 2024
Cited by 4 | Viewed by 2573
Abstract
Fresh (raw, non-dried) walnuts (kernel moisture > 17%) have unique sensory and nutritional attributes but a narrow time availability due to their rapid deterioration during storage. In the present study, the storage (1 °C, 90% RH) potential of fresh walnuts for 20 and [...] Read more.
Fresh (raw, non-dried) walnuts (kernel moisture > 17%) have unique sensory and nutritional attributes but a narrow time availability due to their rapid deterioration during storage. In the present study, the storage (1 °C, 90% RH) potential of fresh walnuts for 20 and 40 days was assessed in relation to cultivar (Chandler, Hartley, Ioli) and the form of exposure to storage (shelled or in-shell). The effect of low-temperature exposure (at 1 °C for 0, 10 and 20 days) before nut drying was also examined. Fresh walnuts from different cultivars showed diverse quality (size, color) and physiological (respiration, weight loss) traits. Using a very low storage temperature (1 °C) was feasible to store fresh walnuts marginally up to 40 days without losing the ‘fresh’ character. The form of in-shell storage compared with shelled ones helped to determine the retention of kernel moisture and had a mild protective role in the prevention of kernel browning. The storage of fresh walnuts at 1 °C resulted in increased total phenolics (TP, by 26% in average) and antioxidant capacity (by 46%, in average) of the kernels, supporting the improvement of nutritional value due to low temperatures. The dried kernels after this short cold storage showed increased TP levels by 35–40% in comparison with conventional dried ones. Therefore, the 10 d cold exposure could be proposed as a sustainable step for incorporation in the regular postharvest handling chain for the natural enrichment of fresh and dried kernels in antioxidants. Full article
(This article belongs to the Section Sustainable Food)
Show Figures

Figure 1

13 pages, 2032 KB  
Article
Description of Phenological Events of Persian Walnut (Juglans regia L.) according to the Extended BBCH Scale and Historical Scales
by Julie Robin, Anthony Bernard, Lisa Albouy, Sibylle Papillon, Eloise Tranchand, Marie-Neige Hebrard, Jean-Baptiste Philibert, Marine Barbedette, Sadia Schafleitner, Bénédicte Wenden, Teresa Barreneche, Marine Delmas, Fabrice Lheureux and Julien Toillon
Horticulturae 2024, 10(4), 402; https://doi.org/10.3390/horticulturae10040402 - 16 Apr 2024
Cited by 4 | Viewed by 5447
Abstract
Walnut trees are grown worldwide for their edible fruits, which have high nutritional value. To address climate change, researchers have studied walnut phenology to create cultivars adapted to warmer climates. The objective of this study is to propose a scale for phenological Persian [...] Read more.
Walnut trees are grown worldwide for their edible fruits, which have high nutritional value. To address climate change, researchers have studied walnut phenology to create cultivars adapted to warmer climates. The objective of this study is to propose a scale for phenological Persian walnut observations using the Biologische Bundesanstalt, Bundessortenamt, und CHemische Industrie (BBCH) codification and alignment with historical alphameric scales. Here, the principal growth stages (PGSs) of Persian walnut (Juglans regia L.) are described using stages from a previously available alphanumeric scale. This standardised phenological scale describes Persian walnut growth from the dormant vegetative state through reproductive budding and senescence. This phenological scale is expected to increase the efficiency of walnut phenological monitoring. Fifty-seven stages are used to describe the life cycle of Persian walnut in this BBCH scale. Of these 57 stages, 3 stages are dedicated to seed germination (PGS-0), 4 stages are dedicated to bud development (PGS-0), 7 stages are dedicated to leaf development (PGS-1), 4 stages are dedicated to stem elongation (PGS-3), 8 stages are dedicated to inflorescence emergence (PGS-5), 5 stages are dedicated to male flowering (PGS-6), 5 stages are dedicated to female flowering (PGS-6), 5 stages are dedicated to fruit development (PGS-7), 12 stages are dedicated to fruit ripening (PGS-8), and 4 stages are dedicated to leaf senescence (PGS-9). Full article
Show Figures

Graphical abstract

11 pages, 1459 KB  
Review
Hazelnut and Walnut Nutshell Features as Emerging Added-Value Byproducts of the Nut Industry: A Review
by Carlos Manterola-Barroso, Daniela Padilla Contreras, Gabrijel Ondrasek, Jelena Horvatinec, Gabriela Gavilán CuiCui and Cristian Meriño-Gergichevich
Plants 2024, 13(7), 1034; https://doi.org/10.3390/plants13071034 - 6 Apr 2024
Cited by 18 | Viewed by 5775
Abstract
The hard-shelled seed industry plays an important role in the global agricultural economy. In fact, only considering hazelnut and walnut, the global nut supply is over 5.6 tons. As a result considerable amounts are produced year by year, burnt or discarded as waste, [...] Read more.
The hard-shelled seed industry plays an important role in the global agricultural economy. In fact, only considering hazelnut and walnut, the global nut supply is over 5.6 tons. As a result considerable amounts are produced year by year, burnt or discarded as waste, bypassing a potential source of valuable compounds or features. This review deals with the recent scientific literature on their chemical composition as well as functional applications as an approach to sustain the utilization of the main byproduct derived from industry. Indeed, nutshells have received great interest due to their lignin, antioxidant, physical and mechanical features. It was found that these properties vary among cultivars and localities of plantation, influencing physical and structural features. The inconsistencies regarding the above-mentioned properties of nutshells lead to exploring the status of hazelnut and walnut shell applications in sustainable bio-economy chains. In fact, in terms of potential applications, the state of the art links their use to the construction industry and the manufacture of materials, such as resin or plastic composites, particleboards or construction panels, or vital infrastructure and as a filler in cement pavements. However, their current use continues bypassing their great antioxidant potential and their interesting chemical and mechanical features. Full article
(This article belongs to the Section Phytochemistry)
Show Figures

Figure 1

17 pages, 2060 KB  
Article
‘Sorrento’ and ‘Tulare’ Walnut Cultivars: Morphological Traits and Phytochemical Enhancement of Their Shell Waste
by Elvira Ferrara, Danilo Cice, Simona Piccolella, Assunta Esposito, Milena Petriccione and Severina Pacifico
Molecules 2024, 29(4), 805; https://doi.org/10.3390/molecules29040805 - 9 Feb 2024
Cited by 3 | Viewed by 2353
Abstract
Walnut processing generates considerable quantities of by-products that could be reprocessed into value-added products that have food and non-food applications. In this context, the aim of this study is to characterize the ‘Sorrento’ and ‘Tulare’ walnut cultivars using the UPOV guidelines and analyze [...] Read more.
Walnut processing generates considerable quantities of by-products that could be reprocessed into value-added products that have food and non-food applications. In this context, the aim of this study is to characterize the ‘Sorrento’ and ‘Tulare’ walnut cultivars using the UPOV guidelines and analyze the chemical composition and antioxidant activity of their shells. Insight into the chemical composition of the different granulometric fractions of walnut shell, obtained by sieving, was obtained following ultrasound-assisted extraction by Ultra-High-Performance Liquid Chromatography–High-Resolution Mass Spectrometry (UHPLC-HRMS). The total phenolic, flavonoid, and tannin content and antiradical capacity, obtained by DPPH and ABTS assays, and the Fe(III) reducing power of the extracts were also evaluated. The UHPLC-HRMS analysis indicated the presence of thirty-two compounds ascribable to four major classes of specialized metabolites. Furthermore, the extraction efficiency of gallic acid, ellagic acid derivatives, as well as glansreginin A, increased with the decrease in shell matrix particle size in contrast to chlorogenic acids and flavonoid glycosides. This is the first study to highlight new knowledge on the chemical composition of walnut shells. The results obtained demonstrate the feasibility of recovering valuable bioactive components from agro-waste that may be further valorized. Full article
Show Figures

Figure 1

24 pages, 7553 KB  
Article
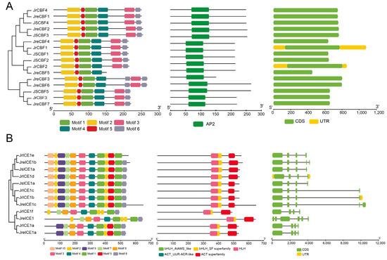
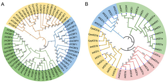
Genome-Wide Identification of the CBF Gene Family and ICE Transcription Factors in Walnuts and Expression Profiles under Cold Conditions
by Huijuan Zhou, Jiayu Ma, Hengzhao Liu and Peng Zhao
Int. J. Mol. Sci. 2024, 25(1), 25; https://doi.org/10.3390/ijms25010025 - 19 Dec 2023
Cited by 16 | Viewed by 3620
Abstract
Cold stress impacts woody tree growth and perennial production, especially when the temperature rapidly changes in late spring. To address this issue, we conducted the genome-wide identification of two important transcription factors (TFs), CBF (C-repeat binding factors) and ICE (inducers of CBF expression), [...] Read more.
Cold stress impacts woody tree growth and perennial production, especially when the temperature rapidly changes in late spring. To address this issue, we conducted the genome-wide identification of two important transcription factors (TFs), CBF (C-repeat binding factors) and ICE (inducers of CBF expression), in three walnut (Juglans) genomes. Although the CBF and ICE gene families have been identified in many crops, very little systematic analysis of these genes has been carried out in J. regia and J. sigillata. In this study, we identified a total of 16 CBF and 12 ICE genes in three Juglans genomes using bioinformatics analysis. Both CBF and ICE had conserved domains, motifs, and gene structures, which suggests that these two TFs were evolutionarily conserved. Most ICE genes are located at both ends of the chromosomes. The promoter cis-regulatory elements of CBF and ICE genes are largely involved in light and phytohormone responses. Based on 36 RNA sequencing of leaves from four walnut cultivars (‘Zijing’, ‘Lvling’, ‘Hongren’, and ‘Liao1’) under three temperature conditions (8 °C, 22 °C, and 5 °C) conditions in late spring, we found that the ICE genes were expressed more highly than CBFs. Both CBF and ICE proteins interacted with cold-related proteins, and many putative miRNAs had interactions with these two TFs. These results determined that CBF1 and ICE1 play important roles in the tolerance of walnut leaves to rapid temperature changes. Our results provide a useful resource on the function of the CBF and ICE genes related to cold tolerance in walnuts. Full article
(This article belongs to the Section Molecular Plant Sciences)
Show Figures

Figure 1

Back to TopTop