Sign in to use this feature.

Years

Between: -

Subjects

remove_circle_outline
remove_circle_outline
remove_circle_outline
remove_circle_outline
remove_circle_outline
remove_circle_outline
remove_circle_outline
remove_circle_outline
remove_circle_outline

Journals

Article Types

Countries / Regions

remove_circle_outline
remove_circle_outline
remove_circle_outline
remove_circle_outline

Search Results (846)

Search Parameters:
Keywords = underwater targets

Order results
Result details
Results per page
Select all
Export citation of selected articles as:
17 pages, 5016 KB  
Article
Development and Application of a Polar Ice-Based Ecological Observation Buoy
by Xing Han, Guoxuan Liu, Liwei Kou and Yinke Dou
J. Mar. Sci. Eng. 2025, 13(12), 2387; https://doi.org/10.3390/jmse13122387 - 16 Dec 2025
Abstract
Addressing the current situation where in situ observations in the Arctic primarily target physical and a few biogeochemical parameters, leaving a gap in systematic direct observation of biological populations beneath sea ice, this study developed a polar ice-based ecological observation buoy system. Building [...] Read more.
Addressing the current situation where in situ observations in the Arctic primarily target physical and a few biogeochemical parameters, leaving a gap in systematic direct observation of biological populations beneath sea ice, this study developed a polar ice-based ecological observation buoy system. Building upon conventional meteorological and oceanographic hydrographic sensors, this system innovatively integrates an underwater imaging module and key technologies such as machine learning-based automatic fish target recognition and reliable dual-channel satellite data transmission in polar environments. Its successful deployment during the 2025 15th Chinese National Arctic Research Expedition verified the system’s stability. During the initial one-month operation period (designed for a monitoring cycle of not less than one year), the data return rates for conventional and image data reached 100% and 96.8%, respectively, achieving quasi-real-time continuous observation of physical and ecological parameters at the air–sea interface in the Arctic Ocean, and it is capable of acquiring not only physical parameters but also visual observations of under-ice fauna. The system successfully acquired and transmitted images containing suspected biological targets and reference objects, providing the first in situ, image-based biological observation dataset for the central Arctic Ocean. This work establishes a new methodological capability for direct ecological monitoring, offering essential equipment support for quantifying biological presence, studying population dynamics, and informing evidence-based polar ecosystem governance. Full article
(This article belongs to the Section Marine Ecology)
24 pages, 5537 KB  
Article
Research on Subsea Cluster Layout Optimization Method Considering Three-Dimensional Terrain Constraints
by Weizheng An, Wenze Liu, Xiaohui Song, Yingying Wang, Qiang Ma, Yangqing Lin and Yiyang Xue
J. Mar. Sci. Eng. 2025, 13(12), 2385; https://doi.org/10.3390/jmse13122385 - 16 Dec 2025
Abstract
Seabed topography is a key factor affecting the layout of underwater production systems. Developing a more scientific, intelligent, and integrated layout optimization method is the key to optimizing the layout of underwater production systems. To address the challenge of acquiring a more scientific, [...] Read more.
Seabed topography is a key factor affecting the layout of underwater production systems. Developing a more scientific, intelligent, and integrated layout optimization method is the key to optimizing the layout of underwater production systems. To address the challenge of acquiring a more scientific, intelligent, and integrated optimization method, this paper proposes a multi-level integrated optimization model that incorporates three-dimensional seabed topography, obstacle areas, target locations, pipeline paths, and manifold connection relationships, with the primary objective of minimizing total investment cost. A hybrid algorithm combining H-MOPSO (Hierarchical Multi-Objective Particle Swarm Optimization) with K-means-ILP clustering, dynamic programming, and TEWA* pathfinding is raised to collaboratively solve for the global optimal layout, achieving a coupled “target grouping-manifold connection-path optimization” design. Based on the actual oilfield seabed topography and target data, this paper carries out case analysis and algorithm comparison experiments. The results show that the optimization method in this paper can significantly improve the layout economy and cost accuracy under the premise of meeting the engineering constraints. Among them, the PLEM parallel connection method reduces the pipeline laying cost by 25.72% and the overall layout investment cost by 5.39% compared with the traditional manifold series scheme. Full article
(This article belongs to the Section Geological Oceanography)
Show Figures

Figure 1

11 pages, 1261 KB  
Article
Effects of Sound Intensity and Frequency on Negative Phonotaxis in Adult Bighead Carp
by Yun Tan, Wangbin Hu, Wanshuang Yi, Zhengyang Tang, Chunhui Zhang, Shihong Zhu, Guosheng Yang and Lu Cai
Water 2025, 17(24), 3555; https://doi.org/10.3390/w17243555 - 15 Dec 2025
Abstract
To provide a theoretical basis for sound barrier technology for fish, the effects of sound intensity and frequency on negative phonotaxis in adult bighead carp, Hypophthalmichthys nobilis, (weight 1.42–2.20 kg, body length 45.1–54.8 cm) were tested using underwater sound equipment in a [...] Read more.
To provide a theoretical basis for sound barrier technology for fish, the effects of sound intensity and frequency on negative phonotaxis in adult bighead carp, Hypophthalmichthys nobilis, (weight 1.42–2.20 kg, body length 45.1–54.8 cm) were tested using underwater sound equipment in a pool with sound absorbing material to reduce sound reflection. There were two primary findings: (1) The cumulative times that fish remained in the high, medium and low sound intensity areas were significantly different (p < 0.001). The cumulative time decreased as sound intensity increased, demonstrating negative phonotaxis by the test fish towards high sound intensity. The cumulative time that fish remained in the high sound intensity area was less than in the control area and the difference was highly significant (p < 0.001). This strongly negative phonotaxic response can be exploited in developing sound barriers for guiding fish. Negative phonotaxis could be used to guide fish away from hazards and along migration routes, to help prevent exotic fish invasion, and to improve spawning success by preventing migration into tributaries where habitat has been severely impacted by dams or other human activities. (2) Adult H. nobilis respond differently to different frequencies of single-frequency sound. Higher-frequency sound (300–1000 Hz) produced a stronger negative phonotaxic response than lower-frequency sound (50–200 Hz), and the difference in cumulative times was highly significant (p < 0.001). Thus, high-frequency sound is more effective than low-frequency sound for producing negative phonotaxis. This research demonstrates that negative phonotaxis is affected by sound intensity and frequency. However, for a given application and target species, additional research should be carried out to determine the most effective combination of acoustic parameters. Full article
Show Figures

Figure 1

14 pages, 2582 KB  
Article
Seafood Object Detection Method Based on Improved YOLOv5s
by Nan Zhu, Zhaohua Liu, Zhongxun Wang and Zheng Xie
Sensors 2025, 25(24), 7546; https://doi.org/10.3390/s25247546 - 12 Dec 2025
Viewed by 147
Abstract
To address the issues of false positives and missed detections commonly observed in traditional underwater seafood object detection algorithms, this paper proposes an improved detection method based on YOLOv5s. Specifically, we introduce a Spatial–Channel Synergistic Attention (SCSA) module after the Fast Spatial Pyramid [...] Read more.
To address the issues of false positives and missed detections commonly observed in traditional underwater seafood object detection algorithms, this paper proposes an improved detection method based on YOLOv5s. Specifically, we introduce a Spatial–Channel Synergistic Attention (SCSA) module after the Fast Spatial Pyramid Pooling layer in the backbone network. This module adopts a synergistic mechanism where the channel attention guides spatial localization, and the spatial attention feeds back to optimize channel weights, dynamically enhancing the unique features of aquatic targets (such as sea cucumber folds) while suppressing seawater background interference. In addition, we replace some C3 modules in YOLOv5s with our designed three-scale convolution dual-path variable-kernel module based on Pinwheel-shaped Convolution (C3k2-PSConv). This module strengthens the model’s ability to capture multi-dimensional features of aquatic targets, especially in the feature extraction of small-sized and occluded targets, reducing the false detection rate while ensuring the model’s lightweight property. The enhanced model is evaluated on the URPC dataset, which contains real-world underwater imagery of echinus, starfish, holothurian, and scallop. The experimental results show that compared with the baseline model YOLOv5s, while maintaining real-time inference speed, the proposed method in this paper increases the mean average precision (mAP) by 2.3% and reduces the number of parameters by approximately 2.4%, significantly improving the model’s operational efficiency. Full article
(This article belongs to the Section Sensing and Imaging)
Show Figures

Figure 1

18 pages, 3480 KB  
Article
Development of an Underwater Vehicle-Manipulator System Based on Delta Parallel Mechanism
by Zhihao Xu, Yang Zhang, Zongyu Chang, Boyuan Huang, Yuanqiang Bing, Chengyu Zeng, Pinghu Ni, Yachen Feng and Haibo Wang
J. Mar. Sci. Eng. 2025, 13(12), 2361; https://doi.org/10.3390/jmse13122361 - 11 Dec 2025
Viewed by 191
Abstract
Underwater Vehicle-Manipulator Systems (UVMSs) play a critical role in various marine operations, where the choice of manipulator architecture significantly influences system performance. While serial robotic arms have been widely adopted in UVMS applications due to their operational flexibility, their inherent structural characteristics present [...] Read more.
Underwater Vehicle-Manipulator Systems (UVMSs) play a critical role in various marine operations, where the choice of manipulator architecture significantly influences system performance. While serial robotic arms have been widely adopted in UVMS applications due to their operational flexibility, their inherent structural characteristics present certain challenges in underwater environments. These challenges primarily stem from the cumulative effects of joint mechanisms and dynamic interactions with the fluid medium. In this context, we explore an innovative UVMS solution that incorporates the Delta parallel mechanism, which offers distinct advantages through its symmetrical architecture and unilateral motor configuration, particularly in maintaining operational stability. We develop a comprehensive framework that includes mechanical design optimization, implementation of distributed control systems, and formulation of closed-form kinematic models, with comparative analysis against conventional serial robotic arms. Experimental validation demonstrates the system’s effectiveness in underwater navigation, target acquisition, and object manipulation under operator-guided control. The results reveal substantial enhancements in motion consistency and gravitational stability compared to traditional serial-arm configurations, positioning the Delta-based UVMS as a viable solution for complex underwater manipulation tasks. Furthermore, this study provides a comparative analysis of the proposed Delta-based UVMS and conventional serial-arm systems, offering valuable design insights and performance benchmarks to inform future development and optimization of underwater manipulation technologies. Full article
Show Figures

Figure 1

14 pages, 2239 KB  
Article
Energy-Efficient Path Planning for Snake Robots Using a Deep Reinforcement Learning-Enhanced A* Algorithm
by Yang Gu, Zelin Wang and Zhong Huang
Biomimetics 2025, 10(12), 826; https://doi.org/10.3390/biomimetics10120826 - 10 Dec 2025
Viewed by 178
Abstract
Snake-like robots, characterized by their high flexibility and multi-joint structure, exhibit exceptional adaptability to complex terrains such as snowfields, jungles, deserts, and underwater environments. Their ability to navigate narrow spaces and circumvent obstacles makes them ideal for operations in confined or rugged environments. [...] Read more.
Snake-like robots, characterized by their high flexibility and multi-joint structure, exhibit exceptional adaptability to complex terrains such as snowfields, jungles, deserts, and underwater environments. Their ability to navigate narrow spaces and circumvent obstacles makes them ideal for operations in confined or rugged environments. However, efficient motion in such conditions requires not only mechanical flexibility but also effective path planning to ensure safety, energy efficiency, and overall task performance. Most existing path planning algorithms for snake-like robots focus primarily on finding the shortest path between the start and target positions while neglecting the optimization of energy consumption during real operations. To address this limitation, this study proposes an energy-efficient path planning method based on an improved A* algorithm enhanced with deep reinforcement learning: Dueling Double-Deep Q-Network (D3QN). An Energy Consumption Estimation Model (ECEM) is first developed to evaluate the energetic cost of snake robot motion in three-dimensional space. This model is then integrated into a new heuristic function to guide the A* search toward energy-optimal trajectories. Simulation experiments were conducted in a 3D environment to assess the performance of the proposed approach. The results demonstrate that the improved A* algorithm effectively reduces the energy consumption of the snake robot compared with conventional algorithms. Specifically, the proposed method achieves an energy consumption of 68.79 J, which is 3.39%, 27.26%, and 5.91% lower than that of the traditional A* algorithm (71.20 J), the bidirectional A* algorithm (94.61 J), and the weighted improved A* algorithm (73.11 J), respectively. These findings confirm that integrating deep reinforcement learning with an adaptive heuristic function significantly enhances both the energy efficiency and practical applicability of snake robot path planning in complex 3D environments. Full article
(This article belongs to the Section Locomotion and Bioinspired Robotics)
Show Figures

Figure 1

21 pages, 18260 KB  
Article
Salient Object Detection Guided Fish Phenotype Segmentation in High-Density Underwater Scenes via Multi-Task Learning
by Jiapeng Zhang, Cheng Qian, Jincheng Xu, Xueying Tu, Xuyang Jiang and Shijing Liu
Fishes 2025, 10(12), 627; https://doi.org/10.3390/fishes10120627 - 6 Dec 2025
Viewed by 141
Abstract
Phenotyping technologies are essential for modern aquaculture, particularly for precise analysis of individual morphological traits. This study focuses on critical phenotype segmentation tasks for fish carcass and fins, which have significant applications in phenotypic assessment and breeding. In high-density underwater environments, fish frequently [...] Read more.
Phenotyping technologies are essential for modern aquaculture, particularly for precise analysis of individual morphological traits. This study focuses on critical phenotype segmentation tasks for fish carcass and fins, which have significant applications in phenotypic assessment and breeding. In high-density underwater environments, fish frequently exhibit structural overlap and indistinct boundaries, making it difficult for conventional segmentation methods to obtain complete and accurate phenotypic regions. To address these challenges, a double-branch segmentation network is proposed for fish phenotype segmentation in high-density underwater scenes. An auxiliary saliency object detection (SOD) branch is introduced alongside the primary segmentation branch to localize structurally complete targets and suppress interference from overlapping or incomplete fish while inter-branch skip connections further enhance the model’s focus on salient targets and their boundaries. The network is trained under a multi-task learning framework, allowing the branches to specialize in edge detection and accurate region segmentation. Experiments on large yellow croaker (Larimichthys crocea) images collected under real farming conditions show that the proposed method achieves Dice scores of 97.58% for carcass segmentation and 88.88% for fin segmentation. The corresponding ASD values are 0.590 and 0.364 pixels, and the HD95 values are 3.521 and 1.222 pixels. The method outperforms nine existing algorithms across key metrics, confirming its effectiveness and reliability for practical aquaculture phenotyping. Full article
(This article belongs to the Special Issue Application of Artificial Intelligence in Aquaculture)
Show Figures

Figure 1

28 pages, 3284 KB  
Article
Diffusion-Enhanced Underwater Debris Detection via Improved YOLOv12n Framework
by Jianghan Tao, Fan Zhao, Yijia Chen, Yongying Liu, Feng Xue, Jian Song, Hao Wu, Jundong Chen, Peiran Li and Nan Xu
Remote Sens. 2025, 17(23), 3910; https://doi.org/10.3390/rs17233910 - 2 Dec 2025
Viewed by 359
Abstract
Detecting underwater debris is important for monitoring the marine environment but remains challenging due to poor image quality, visual noise, object occlusions, and diverse debris appearances in underwater scenes. This study proposes UDD-YOLO, a novel detection framework that, for the first time, applies [...] Read more.
Detecting underwater debris is important for monitoring the marine environment but remains challenging due to poor image quality, visual noise, object occlusions, and diverse debris appearances in underwater scenes. This study proposes UDD-YOLO, a novel detection framework that, for the first time, applies a diffusion-based model to underwater image enhancement, introducing a new paradigm for improving perceptual quality in marine vision tasks. Specifically, the proposed framework integrates three key components: (1) a Cold Diffusion module that acts as a pre-processing stage to restore image clarity and contrast by reversing deterministic degradation such as blur and occlusion—without injecting stochastic noise—making it the first diffusion-based enhancement applied to underwater object detection; (2) an AMC2f feature extraction module that combines multi-scale separable convolutions and learnable normalization to improve representation for targets with complex morphology and scale variation; and (3) a Unified-IoU (UIoU) loss function designed to dynamically balance localization learning between high- and low-quality predictions, thereby reducing errors caused by occlusion or boundary ambiguity. Extensive experiments are conducted on the public underwater plastic pollution detection dataset, which includes 15 categories of underwater debris. The proposed method achieves a mAP50 of 81.8%, with 87.3% precision and 75.1% recall, surpassing eleven advanced detection models such as Faster R-CNN, RT-DETR-L, YOLOv8n, and YOLOv12n. Ablation studies verify the function of every module. These findings show that diffusion-driven enhancement, when coupled with feature extraction and localization optimization, offers a promising direction for accurate, robust underwater perception, opening new opportunities for environmental monitoring and autonomous marine systems. Full article
Show Figures

Figure 1

20 pages, 4206 KB  
Article
High-Resolution Underwater Imaging via Richardson–Lucy Deconvolution Beamforming with Acoustic Frequency Comb Excitation
by Jie Li, Jiace Jia, Deyue Hong, Yi Zhu, Shuo Yang, Zhiwen Qian and Jingsheng Zhai
J. Mar. Sci. Eng. 2025, 13(12), 2290; https://doi.org/10.3390/jmse13122290 - 2 Dec 2025
Viewed by 237
Abstract
Underwater acoustic imaging is essential in marine science and engineering, enabling high-resolution detection and characterization of underwater structures and targets. However, conventional deconvolution beamforming methods using broadband signals often suffer from model mismatch, inter-frequency interference, and limited noise robustness. To overcome these challenges, [...] Read more.
Underwater acoustic imaging is essential in marine science and engineering, enabling high-resolution detection and characterization of underwater structures and targets. However, conventional deconvolution beamforming methods using broadband signals often suffer from model mismatch, inter-frequency interference, and limited noise robustness. To overcome these challenges, this study rigorously analyzes the point spread function of the imaging system and introduces Acoustic Frequency Comb (AFC) excitations to enhance resolution. By exploiting the autocorrelation characteristics of AFC signals and optimizing key parameters, imaging artifacts are effectively suppressed and the main-lobe width is narrowed, resulting in a 50% improvement in range resolution. Comparative analyses identify the Richardson–Lucy algorithm as the most effective in enhancing azimuthal resolution and maintaining robustness under array perturbations and low signal-to-noise ratios. Parametric studies further demonstrate that AFC excitation outperforms conventional linear frequency modulated pulses, achieving a 30% main-lobe width reduction, 10 dB sidelobe suppression, and a 14 dB noise decrease. Finally, tank experiments confirm the simulation results, showing that accurate PSF modeling enabled by AFC ensures high angular resolution. The discrete spectral structure facilitates more effective separation of signal and noise during iterative deconvolution, while excellent autocorrelation characteristics guarantee high range resolution, yielding superior overall imaging performance. Full article
Show Figures

Figure 1

22 pages, 9230 KB  
Article
Underwater Sound Source Depth Estimation Using Deep Learning and Vector Acoustic Features
by Biao Wang, Chao Chen, Xuejie Bi and Kang Yang
J. Mar. Sci. Eng. 2025, 13(12), 2284; https://doi.org/10.3390/jmse13122284 - 29 Nov 2025
Viewed by 310
Abstract
Accurate estimation of underwater sound source depth plays a crucial role in ocean acoustic monitoring, underwater target localization, and marine environment exploration. This study exploits the capability of vector hydrophones to simultaneously and co-locally acquire both scalar and vector components of the underwater [...] Read more.
Accurate estimation of underwater sound source depth plays a crucial role in ocean acoustic monitoring, underwater target localization, and marine environment exploration. This study exploits the capability of vector hydrophones to simultaneously and co-locally acquire both scalar and vector components of the underwater sound field. Based on the study of the line spectrum interference structure characteristics of the underwater sound field, the vertical sound intensity flux of the underwater sound source is extracted. Additionally, a parallel BiLSTM and ResNet network structure is proposed to train this feature and achieve depth estimation of underwater sound sources. Experimental results show that under ±10% and ±15% errors in the source–hydrophone distance, the proposed model maintains stable performance within a signal-to-noise ratio (SNR) range of −15 dB to +15 dB. Compared with the LSTM model, the ResNet model, and the matched-field processing (MFP) algorithm, the average RMSE of our model is reduced by 72.4%, 54.0%, and 64.1%, respectively. Furthermore, under 5% and 10% frequency estimation errors, the average RMSE of the proposed model within the same SNR range is reduced by 47.7%, 20.3%, and 79.3%, respectively. It effectively estimates the depth of underwater sound sources, with estimation errors below 5 m under non-extreme SNR conditions. These results fully demonstrate the robustness and effectiveness of the proposed method under practical uncertainties in the ocean environment. Full article
(This article belongs to the Section Ocean Engineering)
Show Figures

Figure 1

20 pages, 11242 KB  
Article
Analysis of Direction-Finding Performance of Vector Hydrophones Based on Unmanned Underwater Vehicle Platforms and Application Research of Embodied Cognition Theory
by Hu Zhang, Honggang Zhang, Linsen Zhang and Bo Tang
Sensors 2025, 25(23), 7239; https://doi.org/10.3390/s25237239 - 27 Nov 2025
Viewed by 306
Abstract
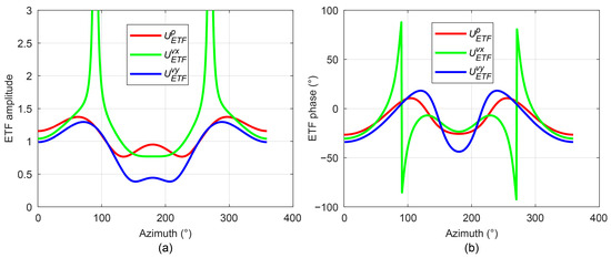
To address the problem of platform scattering interference in direction finding using vector hydrophones mounted on unmanned underwater vehicle (UUV) platforms, this paper introduces a direction-finding error compensation method based on embodied transfer function (ETF) correction within the framework of embodied cognition theory. [...] Read more.
To address the problem of platform scattering interference in direction finding using vector hydrophones mounted on unmanned underwater vehicle (UUV) platforms, this paper introduces a direction-finding error compensation method based on embodied transfer function (ETF) correction within the framework of embodied cognition theory. By establishing an analytical model of the scattered sound field of an infinite rigid cylinder, the influence mechanism of the UUV platform on the sound pressure and vibration velocity measurements of the vector hydrophone is systematically investigated, and the concepts of sound pressure ETF and vibration velocity ETF are defined. The research results indicate that at an operating frequency of 800 Hz, the ETF-based direction-finding method reduces the average direction-finding error from 8.8° to 6.2°, representing a performance improvement of 30.2%. Moreover, when the target lies near the transverse, the direction-finding error of the embodied model remains below 1.5°. This study provides novel theoretical support and a technical framework for achieving high-precision direction finding of vector hydrophones mounted on UUV platforms. Full article
(This article belongs to the Section Remote Sensors)
Show Figures

Figure 1

21 pages, 4901 KB  
Article
Multimodal Underwater Sensing of Octocoral Populations and Anthropogenic Impacts in a Conservation-Priority Area (NE Aegean Sea, Greece)
by Maria Sini, Jennifer C. A. Pistevos, Angeliki Bosmali, Artemis Manoliou, Athanasios Nikolaou, Giulia Pitarra, Ivan T. Petsimeris, Olympos Andreadis, Thomas Hasiotis, Antonios D. Mazaris and Stelios Katsanevakis
J. Mar. Sci. Eng. 2025, 13(12), 2237; https://doi.org/10.3390/jmse13122237 - 24 Nov 2025
Viewed by 438
Abstract
Coralligenous assemblages are among the most diverse habitats of the Mediterranean Sea, yet those of the north-eastern basin remain understudied despite their vulnerability to human impacts and climate change. We applied a multimodal underwater sensing approach to map coralligenous formations, assess gorgonian populations [...] Read more.
Coralligenous assemblages are among the most diverse habitats of the Mediterranean Sea, yet those of the north-eastern basin remain understudied despite their vulnerability to human impacts and climate change. We applied a multimodal underwater sensing approach to map coralligenous formations, assess gorgonian populations and evaluate the effects of marine litter in a conservation-priority area (NE Aegean Sea, Greece). Side-scan sonar enabled seafloor mapping and guided targeted Remotely Operated Vehicle (ROV) surveys. ROV-based distance sampling and imagery provided quantitative data on Eunicella cavolini and Paramuricea clavata, including density, size structure, and injuries, alongside systematic documentation of marine litter. Gorgonians formed monospecific ecological facies, segregated by location—P. clavata occurred deeper than E. cavolini. Densities were low (E. cavolini: 0.35 colonies m−2, P. clavata: 1.46 colonies m−2) and small colonies (<10 cm) were rare, suggesting limited recruitment. However, the presence of large colonies indicates stable environmental conditions that support long-term persistence, as reproductive output increases with colony size. Colony injuries were minor, but marine litter was abundant, dominated by fishing lines and ropes entangled with gorgonians and sponges. These findings highlight the value of acoustic–optical integration for non-destructive monitoring and provide essential baselines for conservation under EU directives. Full article
(This article belongs to the Section Marine Ecology)
Show Figures

Figure 1

21 pages, 6349 KB  
Article
PLPGR-Net: Photon-Level Physically Guided Restoration Network for Underwater Laser Range-Gated Image
by Qing Tian, Longfei Hu, Zheng Zhang and Qiang Yang
J. Mar. Sci. Eng. 2025, 13(12), 2217; https://doi.org/10.3390/jmse13122217 - 21 Nov 2025
Viewed by 315
Abstract
Underwater laser range-gated imaging (ULRGI) effectively suppresses backscatter from water bodies through a time-gated photon capture mechanism, significantly extending underwater detection ranges compared to conventional imaging techniques. However, as imaging distance increases, rapid laser power attenuation causes localized pixel loss in captured images. [...] Read more.
Underwater laser range-gated imaging (ULRGI) effectively suppresses backscatter from water bodies through a time-gated photon capture mechanism, significantly extending underwater detection ranges compared to conventional imaging techniques. However, as imaging distance increases, rapid laser power attenuation causes localized pixel loss in captured images. To address ULRGI’s limitations in multi-frame stacking—particularly poor real-time performance and artifact generation—this paper proposes the Photon-Level Physically Guided Underwater Laser-Gated Image Restoration Network (PLPGR-Net). To overcome image degradation caused by water scattering and address the challenge of strong coupling between target echo signals and scattering noise, we designed a three-branch architecture driven by photon-level physical priors. This architecture comprises: scattering background suppression module, sparse photon perception module, and enhanced U-Net high-frequency information recovery module. By establishing a multidimensional physical constraint loss system, we guide image reconstruction across three dimensions—pixels, features, and physical laws—ensuring the restored results align with underwater photon distribution characteristics. This approach significantly enhances operational efficiency in critical applications such as underwater infrastructure inspection and cultural relic detection. Comparative experiments using proprietary datasets and state-of-the-art denoising and underwater image restoration algorithms validate the method’s outstanding performance in deeply integrating physical interpretability with deep learning generalization capabilities. Full article
(This article belongs to the Special Issue Advancements in Deep-Sea Equipment and Technology, 3rd Edition)
Show Figures

Figure 1

25 pages, 5494 KB  
Article
UW-YOLO-Bio: A Real-Time Lightweight Detector for Underwater Biological Perception with Global and Regional Context Awareness
by Wenhao Zhou, Junbao Zeng, Shuo Li and Yuexing Zhang
J. Mar. Sci. Eng. 2025, 13(11), 2189; https://doi.org/10.3390/jmse13112189 - 18 Nov 2025
Viewed by 348
Abstract
Accurate biological detection is crucial for autonomous navigation of underwater robots, yet severely challenged by optical degradation and scale variation in marine environments. While image enhancement and domain adaptation methods offer some mitigation, they often operate as disjointed preprocessing steps, potentially introducing artifacts [...] Read more.
Accurate biological detection is crucial for autonomous navigation of underwater robots, yet severely challenged by optical degradation and scale variation in marine environments. While image enhancement and domain adaptation methods offer some mitigation, they often operate as disjointed preprocessing steps, potentially introducing artifacts and compromising downstream detection performance. Furthermore, existing architectures struggle to balance accuracy, computational efficiency, and robustness across the extreme scale variability of marine organisms in challenging underwater conditions. To overcome these limitations, we propose UW-YOLO-Bio, a novel framework built upon the YOLOv8 architecture. Our approach integrates three dedicated modules: (1) The Global Context 3D Perception Module (GCPM), which captures long-range dependencies to mitigate occlusion and noise without the quadratic cost of self-attention; (2) The Channel-Aggregation Efficient Downsampling Block (CAEDB), which preserves critical information from low-contrast targets during spatial reduction; (3) The Regional Context Feature Pyramid Network (RCFPN), which optimizes multi-scale fusion with contextual awareness for small marine organisms. Extensive evaluations on DUO, RUOD, and URPC datasets demonstrate state-of-the-art performance, achieving an average improvement in mAP50 of up to 2.0% across benchmarks while simultaneously reducing model parameters by 8.3%. Notably, it maintains a real-time inference speed of 61.8 FPS, rendering it highly suitable for deployment on resource-constrained autonomous underwater vehicles (AUVs). Full article
Show Figures

Figure 1

20 pages, 2397 KB  
Article
IMM-DeepSort: An Adaptive Multi-Model Kalman Framework for Robust Multi-Fish Tracking in Underwater Environments
by Ying Yu, Yan Li and Shuo Li
Fishes 2025, 10(11), 592; https://doi.org/10.3390/fishes10110592 - 18 Nov 2025
Viewed by 291
Abstract
Multi-object tracking (MOT) is a critical task in computer vision, with widespread applications in intelligent surveillance, behavior analysis, autonomous navigation, and marine ecological monitoring. In particular, accurate tracking of underwater fish plays a significant role in scientific fishery management, biodiversity assessment, and behavioral [...] Read more.
Multi-object tracking (MOT) is a critical task in computer vision, with widespread applications in intelligent surveillance, behavior analysis, autonomous navigation, and marine ecological monitoring. In particular, accurate tracking of underwater fish plays a significant role in scientific fishery management, biodiversity assessment, and behavioral analysis of marine species. However, MOT remains particularly challenging due to low visibility, frequent occlusions, and the highly non-linear, burst-like motion of fish. To address these challenges, this paper proposes an improved tracking framework that integrates Interacting Multiple Model Kalman Filtering (IMM-KF) into DeepSORT, forming a self-adaptive multi-object tracking algorithm tailored for underwater fish tracking. First, a lightweight YOLOv8n (You Only Look Once v8 nano) detector is employed for target localization, chosen for its balance between detection accuracy and real-time efficiency in resource-constrained underwater scenarios. The tracking stage incorporates two complementary motion models—Constant Velocity (CV) for regular cruising and Constant Acceleration (CA) for rapid burst swimming. The IMM mechanism dynamically evaluates the posterior probability of each model given the observations, adaptively selecting and fusing predictions to maintain both responsiveness and stability. The proposed method is evaluated on a real-world underwater fish dataset collected from the East China Sea, comprising 19 species of marine fish annotated in YOLO format. Experimental results show that the IMM-DeepSORT framework outperforms the original DeepSORT in terms of MOTA, MOTP, and IDF1. In particular, it significantly reduces false matches and improves tracking continuity, demonstrating the method’s effectiveness and reliability in complex underwater multi-target tracking scenarios. Full article
(This article belongs to the Special Issue Technology for Fish and Fishery Monitoring)
Show Figures

Figure 1

Back to TopTop