Analysis of Direction-Finding Performance of Vector Hydrophones Based on Unmanned Underwater Vehicle Platforms and Application Research of Embodied Cognition Theory
Abstract
1. Introduction
2. Direction-Finding Error Analysis Model of Vector Hydrophones Based on UUV Platform
2.1. Traditional UUV Scattered Sound Field Model
2.2. Construction of the UUV Platform Embodied Cognition Model
3. Simulation of UUV Platform Scattered Sound Field and Analysis of ETF Characteristics
3.1. Scattered Sound Field at Different Frequencies
3.2. Spatial Distribution of Sound Field at Different Installation Distances of the Vector Hydrophone
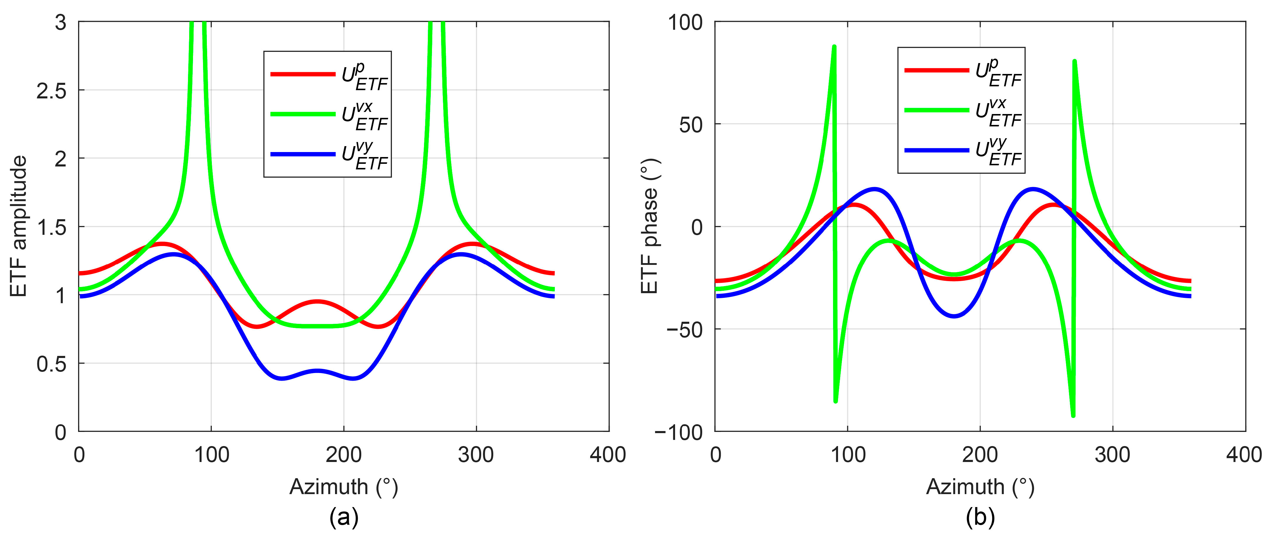
3.3. Analysis of ETF Characteristics
4. Direction-Finding Algorithms and Performance Analysis
4.1. Traditional Cross-Spectrum Direction-Finding Method
4.2. Embodied Cognition Direction-Finding Method
4.3. Comparative Analysis of Direction-Finding Performance
- 1.
- The complex interference patterns formed by the incident and scattered waves
- 2.
- High-order modal truncation error:
- 3.
- The embodied transfer function exhibits strong correlations with frequency and direction:
- 4.
- Distortion of the phase relationship between sound pressure and particle velocity:
5. Conclusions and Outlook
Author Contributions
Funding
Institutional Review Board Statement
Informed Consent Statement
Data Availability Statement
Acknowledgments
Conflicts of Interest
Correction Statement
Abbreviations
| ETF | Embodied transfer function |
| SNRs | Signal-to-noise ratios |
| UUV | Unmanned underwater vehicle |
References
- Fu, R.-Q.; Cao, Y.; Wang, X.-L. Current status and developing trend of sonar equipments for unmanned undersea vehicle. Ship Sci. Technol. 2020, 42, 82–87. [Google Scholar] [CrossRef]
- Hamilton, M.J.; Kemna, S.; Hughes, D. Antisubmarine warfare applications for autonomous underwater vehicles: The GLINT09 sea trial results. J. Field Robot. 2010, 27, 890–902. [Google Scholar] [CrossRef]
- Acoustic Research Laboratory (ARL). Lightweight Towed Array Technologies; Acoustic Research Laboratory, National University of Singapore: Singapore, 2020; Available online: https://arl.nus.edu.sg/lwat/ (accessed on 20 October 2025).
- Leslie, C.B.; Kendall, J.M.; Jones, J.L. Hydrophone for measuring particle velocity. J. Acoust. Soc. Am. 1956, 28, 711–715. [Google Scholar] [CrossRef]
- D’Spain, G.L.; Hodgkiss, W.S.; Edmonds, G.L. Energetics of the deep ocean’s infrasonic sound field. J. Acoust. Soc. Am. 1991, 89, 1134–1158. [Google Scholar] [CrossRef]
- Shchurov, V.A. Coherent and diffusive fields of underwater acoustic ambient noise. J. Acoust. Soc. Am. 1991, 90, 991–1001. [Google Scholar] [CrossRef]
- Nehorai, A.; Paldi, E. Acoustic vector-sensor array processing. IEEE Trans. Signal Process. 1994, 42, 2481–2491. [Google Scholar] [CrossRef]
- Hochwald, B.; Nehorai, A. Identifiability in array processing models with vector-sensor applications. IEEE Trans. Signal Process. 1996, 44, 83–95. [Google Scholar] [CrossRef]
- Silvia, M.T.; Richards, R.T. A theoretical and experimental investigation of low-frequency acoustic vector sensors. In Proceedings of the Oceans ‘02 MTS/IEEE, Biloxi, MI, USA, 29–31 October 2002; IEEE: Piscataway, NJ, USA, 2002; pp. 1886–1897. [Google Scholar] [CrossRef]
- Benjamin, M.R.; Battle, D.; Eickstedt, D.; Schmidt, H.; Balasuriya, A. Autonomous control of an autonomous underwater vehicle towing a vector sensor array. In Proceedings of the 2007 IEEE International Conference on Robotics and Automation, Rome, Italy, 10–14 April 2007; IEEE: Piscataway, NJ, USA, 2007; pp. 4562–4569. [Google Scholar] [CrossRef]
- Terracciano, D.S.; Costanzi, R.; Guerrini, P.; Manzari, V.; Troiano, L.; Stifani, M.; Tesei, A.; Caiti, A. Bearing estimation in very shallow waters with an AUV mounted Acoustic Vector Sensor. In Proceedings of the OCEANS 2019—Marseille, Marseille, France, 17–20 June 2019; IEEE: Piscataway, NJ, USA, 2019; pp. 1–6. [Google Scholar] [CrossRef]
- Terracciano, D.S.; Costanzi, R.; Manzari, V.; Stifani, M.; Caiti, A. Passive bearing estimation using a 2-D acoustic vector sensor mounted on a hybrid autonomous underwater vehicle. IEEE J. Ocean. Eng. 2022, 47, 799–814. [Google Scholar] [CrossRef]
- Santos, P.J.M.; Felisberto, P.; Zabel, F.; Jesus, S.; Sebastião, L. Dual accelerometer vector sensor mounted on an autonomous underwater vehicle (AUV)—Experimental results. Proc. Meet. Acoust. 2017, 30, 055011. [Google Scholar] [CrossRef]
- Monteiro Marques, M.; Gatta, M.; Barreto, M.; Lobo, V.; Matos, A.; Ferreira, B.; Santos, P.J.; Felisberto, P.; Jesus, S.; Zabel, F.; et al. Assessment of a shallow water area in the tagus estuary using unmanned underwater vehicle (or AUV’s), vector-sensors, unmanned surface vehicles, and hexacopters—REX’17. In Proceedings of the 2018 OCEANS—MTS/IEEE Kobe Techno-Oceans (OTO), Kobe, Japan, 28–31 May 2018; IEEE: Piscataway, NJ, USA, 2018; pp. 1–5. [Google Scholar] [CrossRef]
- Felisberto, P.; Santos, P.; Zabel, F.; Jesus, S.M.; Sebastiao, L.; Pascoal, A. An AUV mounted vector-sensor for seismic surveying. In Proceedings of the 2018 OCEANS—MTS/IEEE Kobe Techno-Oceans (OTO), Kobe, Japan, 28–31 May 2018; IEEE: Piscataway, NJ, USA, 2018; pp. 1–5. [Google Scholar] [CrossRef]
- Geng, Y.; Zhang, G.; Liu, Y.; Zhang, J.; Jia, L.; Bai, Z.; Wang, J.; Zhang, W. Embedded UUV conformal MEMS vector hydrophone. Sens. Actuators A Phys. 2024, 378, 115802. [Google Scholar] [CrossRef]
- Cheng, N.; Li, H.; Wang, R.; Zhang, P.; Jia, L.; Zhang, G.; Zhang, W.; Yang, Y. Design and simulation study of a MEMS-based three-dimensional combined hydrophone for UUV applications. Sens. Rev. 2025, 45, 428–442. [Google Scholar] [CrossRef]
- Stinco, P.; Tesei, A.; Ferri, G.; Biagini, S.; Micheli, M.; Garau, B.; LePage, K.D.; Troiano, L.; Grati, A.; Guerrini, P. Passive acoustic signal processing at low frequency with a 3-D acoustic vector sensor hosted on a buoyancy glider. IEEE J. Ocean. Eng. 2021, 46, 283–293. [Google Scholar] [CrossRef]
- Zhang, X.-C.; Wang, C.; Sun, Q.; Wang, W. Influences by underwater glider on measuring direction of vector hydrophone. Tech. Acoust. 2017, 36, 327–328. [Google Scholar]
- Levin, D.; Habets, E.A.P.; Gannot, S. Maximum likelihood estimation of direction of arrival using an acoustic vector-sensor. J. Acoust. Soc. Am. 2012, 131, 1240–1248. [Google Scholar] [CrossRef] [PubMed]
- Wu, Y.; Hu, Z.; Luo, H.; Hu, Y. Source number detectability by an acoustic vector sensor linear array and performance analysis. IEEE J. Ocean. Eng. 2014, 39, 769–778. [Google Scholar] [CrossRef]
- Liang, G.-L.; Zhang, K.; Fu, J.; Zhang, Y.; Li, L. Research on high-resolution direction-of-arrival estimation based on an acoustic vector-hydrophone. Acta Armamentarii 2011, 32, 986–990. [Google Scholar]
- Zeng, X.; Sun, G.; Li, Y.; Huang, H. Several approaches of DOA estimation for single vector hydrophone. Chin. J. Sci. Instrum. 2012, 33, 499–507. [Google Scholar] [CrossRef]
- Liu, A.; Yang, D.; Shi, S.; Li, S.; Li, Y. Roust direction of arrival estimation method with high accuracy for single vector sensor. Acta Acust. 2020, 45, 466–474. [Google Scholar]
- Wang, C.; Wang, W.; Yuan, M.; Zhang, X.; Lyu, Y. Analysis of target detection performance for a single vector hydrophone windowed histogram algorithm. J. Appl. Acoust. 2021, 40, 316–322. [Google Scholar] [CrossRef]
- Pan, Y.; Wu, X.; Wang, Q.; Cao, H.; Qu, T. Research on embodied cognitive for sonar detection technology. Tech. Acoust. 2025, 44, 1–12. [Google Scholar] [CrossRef]
- Cao, H.; Wang, W.; Su, L.; Ni, H.; Gerstoft, P.; Ren, Q.; Ma, L. Deep transfer learning for underwater direction of arrival using one vector sensor. J. Acoust. Soc. Am. 2021, 149, 1699–1711. [Google Scholar] [CrossRef]
- Zeng, F.; Han, Y.; Yang, H.; Yang, D.; Zheng, F. Single vector hydrophone DOA estimation: Leveraging deep learning with CNN-CBAM. Arch. Acoust. 2025, 50, 187–198. [Google Scholar] [CrossRef]
- Bozzi, F.A.; Jesus, S.M. Vector sensor steering-dependent performance in an underwater acoustic communication field experiment. Sensors 2022, 22, 8332. [Google Scholar] [CrossRef]
- Wear, K.A.; Shah, A.; Baker, C. Correction for hydrophone spatial averaging artifacts for circular sources. IEEE Trans. Ultrason. Ferroelectr. Freq. Control. 2020, 67, 2674–2691. [Google Scholar] [CrossRef]
- Tran-Van-Nhieu, M. Scattering from a ribbed finite cylindrical shell. J. Acoust. Soc. Am. 2001, 110, 2858–2866. [Google Scholar] [CrossRef]
- Alzahabi, B.; Almic, E. Sound radiation of cylindrical sheells. Int. J. Multiphys. 2011, 5, 173–186. [Google Scholar] [CrossRef]
- Faran, J.J. Sound scattering by solid cylinders and spheres. J. Acoust. Soc. Am. 1951, 23, 405–418. [Google Scholar] [CrossRef]
- Überall, H.; Doolittle, R.D.; McNicholas, J.V. Use of sound pulses for a study of circumferential waves. J. Acoust. Soc. Am. 1966, 39, 564–578. [Google Scholar] [CrossRef]
- Thelen, E.; Schöner, G.; Scheier, C.; Smith, L.B. The dynamics of embodiment: A field theory of infant perseverative reaching. Behav. Brain Sci. 2001, 24, 1–34. [Google Scholar] [CrossRef] [PubMed]
- Hawkes, M.; Nehrai, A. Acoustic vector-sensor processing in the presence of a reflecting boundary. IEEE Trans. Signal Process. 2000, 48, 2981–2993. [Google Scholar] [CrossRef]
- Zhang, L.; Tian, T.; Meng, C. Identifying multiple targets by a single vector hydrophone based on the cross-spectrum goniometry. Ship Sci. Technol. 2009, 31, 18–20. [Google Scholar] [CrossRef]











| Target Azimuth | Traditional Methods (Average Error) | Embodied Cognition Method (Average Error) |
|---|---|---|
| 15° | 4.8 | 1.8 |
| 45° | 12.6 | 7.2 |
| 60° | 16.1 | 14.9 |
| 120° | 18.4 | 15.8 |
| 135° | 4.9 | 1.0 |
| 150° | 3.4 | 1.3 |
| 170° | 1.7 | 1.1 |
| Target Azimuth | Traditional Methods (Average Error) | Embodied Cognition Method (Average Error) |
|---|---|---|
| 15° | 3.2 | 1.2 |
| 45° | 7.6 | 3.0 |
| 60° | 13.3 | 11.9 |
| 120° | 13.9 | 12.5 |
| 135° | 7.2 | 4.3 |
| 150° | 4.4 | 1.4 |
| 170° | 2.9 | 1.2 |
| Target Azimuth | Traditional Methods (Average Error) | Embodied Cognition Method (Average Error) |
|---|---|---|
| 15° | 7.2 | 4.8 |
| 45° | 14.9 | 14.3 |
| 60° | 16.2 | 15.4 |
| 120° | 7.9 | 6.9 |
| 135° | 11.4 | 10.3 |
| 150° | 9.1 | 8.0 |
| 170° | 2.5 | 1.2 |
Disclaimer/Publisher’s Note: The statements, opinions and data contained in all publications are solely those of the individual author(s) and contributor(s) and not of MDPI and/or the editor(s). MDPI and/or the editor(s) disclaim responsibility for any injury to people or property resulting from any ideas, methods, instructions or products referred to in the content. |
© 2025 by the authors. Licensee MDPI, Basel, Switzerland. This article is an open access article distributed under the terms and conditions of the Creative Commons Attribution (CC BY) license (https://creativecommons.org/licenses/by/4.0/).
Share and Cite
Zhang, H.; Zhang, H.; Zhang, L.; Tang, B. Analysis of Direction-Finding Performance of Vector Hydrophones Based on Unmanned Underwater Vehicle Platforms and Application Research of Embodied Cognition Theory. Sensors 2025, 25, 7239. https://doi.org/10.3390/s25237239
Zhang H, Zhang H, Zhang L, Tang B. Analysis of Direction-Finding Performance of Vector Hydrophones Based on Unmanned Underwater Vehicle Platforms and Application Research of Embodied Cognition Theory. Sensors. 2025; 25(23):7239. https://doi.org/10.3390/s25237239
Chicago/Turabian StyleZhang, Hu, Honggang Zhang, Linsen Zhang, and Bo Tang. 2025. "Analysis of Direction-Finding Performance of Vector Hydrophones Based on Unmanned Underwater Vehicle Platforms and Application Research of Embodied Cognition Theory" Sensors 25, no. 23: 7239. https://doi.org/10.3390/s25237239
APA StyleZhang, H., Zhang, H., Zhang, L., & Tang, B. (2025). Analysis of Direction-Finding Performance of Vector Hydrophones Based on Unmanned Underwater Vehicle Platforms and Application Research of Embodied Cognition Theory. Sensors, 25(23), 7239. https://doi.org/10.3390/s25237239
