Sign in to use this feature.

Years

Between: -

Subjects

remove_circle_outline
remove_circle_outline
remove_circle_outline
remove_circle_outline
remove_circle_outline
remove_circle_outline
remove_circle_outline
remove_circle_outline

Journals

Article Types

Countries / Regions

Search Results (148)

Search Parameters:
Keywords = underactuated robots

Order results
Result details
Results per page
Select all
Export citation of selected articles as:
26 pages, 5810 KB  
Article
A Classic and Fuzzy Parallel Hybrid Controller of PD-PI Type for a Two-Wheeled Self-Balancing Robot
by Ricardo Rojas-Galván, Josué A. Romero-Moreno, Roberto V. Carrillo-Serrano, José R. García-Martínez, Trinidad Martínez-Sánchez, Mario Trejo-Perea, José G. Ríos-Moreno and Juvenal Rodríguez-Reséndiz
Automation 2026, 7(2), 49; https://doi.org/10.3390/automation7020049 - 13 Mar 2026
Viewed by 69
Abstract
Two-wheeled self-balancing robots (TWSBRs) are difficult to control because they are nonlinear, unstable, and underactuated, particularly when balance, velocity regulation, and line tracking must be achieved simultaneously. This paper proposes a hybrid parallel control architecture for a line-following TWSBR operating on straight segments, [...] Read more.
Two-wheeled self-balancing robots (TWSBRs) are difficult to control because they are nonlinear, unstable, and underactuated, particularly when balance, velocity regulation, and line tracking must be achieved simultaneously. This paper proposes a hybrid parallel control architecture for a line-following TWSBR operating on straight segments, 90 curves, and a 15 slope. Balance stabilization is handled by a classical PD loop, while traslational velocity is regulated by an adaptive fuzzy PI controller, and line following is performed with an adaptive fuzzy PD controller. The fuzzy modules adjust the effective gains based on tracking errors, thereby improving robustness to disturbances, sensor noise, and changes in operating conditions. The complete strategy is implemented on a low-cost PIC18F4550 microcontroller. Experiments show that the fuzzy line-following controller reduces the orientation tracking error compared with a conventional controller. At 0.10ms, RMSE decreases from 0.042rad to 0.038rad, and at 0.175ms, it decreases from 0.083rad to 0.066rad. The fuzzy approach also improves IAE (1.317rads to 1.185rads) and ISE (0.242rad2s to 0.153rad2s) at 0.175ms, while maintaining similar maximum error (0.299rad to 0.261rad). Overall, the proposed hybrid scheme achieves better adaptability without retuning. These results support real-time deployment on resource-limited platforms. Full article
Show Figures

Figure 1

24 pages, 7472 KB  
Article
Walking on Uneven Terrain with Hexapod Robots Having Underactuated Legs and Articulated Body
by Ioan Doroftei
Biomimetics 2026, 11(2), 132; https://doi.org/10.3390/biomimetics11020132 - 11 Feb 2026
Viewed by 520
Abstract
Hexapod walking robots are a subject of intense research in the existing literature. To move effectively in natural terrain, these robots must be able to adapt to surface irregularities. While most existing designs employ sophisticated technical solutions for the leg mechanisms, none of [...] Read more.
Hexapod walking robots are a subject of intense research in the existing literature. To move effectively in natural terrain, these robots must be able to adapt to surface irregularities. While most existing designs employ sophisticated technical solutions for the leg mechanisms, none of these projects allow for combined roll and pitch movements of the body segments. This paper addresses this gap, presenting the concept of a hexapod robot with a body formed of three segments connected by two active universal joints. This unique architecture allows the robot to locomote on both sides and autonomously recover from a rollover event. The robot’s legs are underactuated, utilizing a passive spring element to simplify the mechanical design and control system while maintaining effective terrain adaptation capabilities. Experimental results are presented and discussed, validating the theoretical model and demonstrating the effectiveness of the proposed solution on varied terrains. Full article
(This article belongs to the Section Locomotion and Bioinspired Robotics)
Show Figures

Graphical abstract

16 pages, 3579 KB  
Article
Design and Analysis of an Under-Actuated Adaptive Mechanical Gripper
by Yulong Wei, Jiangtao Yu and Ping Huo
Machines 2026, 14(2), 175; https://doi.org/10.3390/machines14020175 - 3 Feb 2026
Viewed by 367
Abstract
Robotic grippers play a crucial role in pick-and-place tasks, as their performance directly affects the robot’s operational efficiency, stability, and safety. In industrial applications, such as coal gangue sorting, the target objects have irregular shapes and sharp surfaces, which pose challenges to the [...] Read more.
Robotic grippers play a crucial role in pick-and-place tasks, as their performance directly affects the robot’s operational efficiency, stability, and safety. In industrial applications, such as coal gangue sorting, the target objects have irregular shapes and sharp surfaces, which pose challenges to the gripper’s grasping ability. To solve these problems, an adaptive under-actuated gripper based on rope control is designed. The gripper is simple to control and combines the excellent features of both rigid and flexible grippers. To analyze the characteristics of the gripper, both mathematical analysis and holding force experiments are conducted. The results show that the gripper can generate a greater holding force when grasping larger objects with a constant input air pressure. Furthermore, irregularly shaped testing objects, including coal lumps and ores, are selected to conduct grasping experiments. The gripper achieves a 100% grasping success rate with a load of up to four times the object’s weight suspended beneath it and shows the ability to reliably grasp irregularly shaped objects in high-speed pick-and-place tasks with a payload of four times the object’s weight. Meanwhile, the gripper has a passive anti-collision ability due to the special outer contour of the distal finger when subjected to unexpected, sudden force. Full article
(This article belongs to the Section Machine Design and Theory)
Show Figures

Figure 1

28 pages, 990 KB  
Article
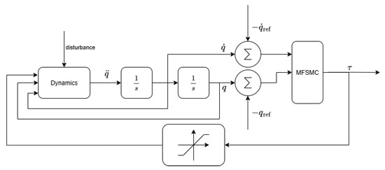
Robust Finite-Time Control of Multi-Link Manipulators: A Data-Driven Model-Free Approach
by Xiaoang Zhang and Quanmin Zhu
Machines 2026, 14(2), 146; https://doi.org/10.3390/machines14020146 - 26 Jan 2026
Cited by 1 | Viewed by 423
Abstract
In recognising both the emerging industrial applications of multi-link robotic manipulators and the inherent challenges of modelling and controlling their highly complex nonlinear dynamics, this work proposes a completely model-free terminal sliding mode control (MFTSMC) design approach to reduce the sensitivity and complexity [...] Read more.
In recognising both the emerging industrial applications of multi-link robotic manipulators and the inherent challenges of modelling and controlling their highly complex nonlinear dynamics, this work proposes a completely model-free terminal sliding mode control (MFTSMC) design approach to reduce the sensitivity and complexity often associated with model-based routines. Consequently, the proposed design achieves strong robustness, simplicity, and good operation tuning by eliminating the need for system modelling and enabling direct operator–machine interaction. Simulink simulations on a 3-link case subjected to different disturbance conditions (free, low-frequency, high-frequency, and mixed) show rapid dynamic convergence, good tracking precision, and strong disturbance rejection. The system reaches the sliding surface within 0.07 s, maintains steady-state errors around 102, and achieves a smooth torque response with low energy costs. The benchmark results confirm the finite-time convergence and demonstrate that the proposed framework is practical and scalable for multi-DOF systems and has potential for underactuated manipulators. It should be noted that a generalised dynamic model for a planar n-link manipulator is presented in the study for (1) the ground truth of the manipulator in simulation (not for the MFTSMC design), (2) the model-based controller designs in comparison to the MFTSMC, and (3) understanding the dynamic characteristics. Full article
(This article belongs to the Section Robotics, Mechatronics and Intelligent Machines)
Show Figures

Figure 1

28 pages, 9738 KB  
Article
Design and Evaluation of an Underactuated Rigid–Flexible Coupled End-Effector for Non-Destructive Apple Harvesting
by Zeyi Li, Zhiyuan Zhang, Jingbin Li, Gang Hou, Xianfei Wang, Yingjie Li, Huizhe Ding and Yufeng Li
Agriculture 2026, 16(2), 178; https://doi.org/10.3390/agriculture16020178 - 10 Jan 2026
Viewed by 439
Abstract
In response to the growing need for efficient, stable, and non-destructive gripping in apple harvesting robots, this study proposes a novel rigid–flexible coupled end-effector. The design integrates an underactuated mechanism with a real-time force feedback control system. First, compression tests on ‘Red Fuji’ [...] Read more.
In response to the growing need for efficient, stable, and non-destructive gripping in apple harvesting robots, this study proposes a novel rigid–flexible coupled end-effector. The design integrates an underactuated mechanism with a real-time force feedback control system. First, compression tests on ‘Red Fuji’ apples determined the minimum damage threshold to be 24.33 N. A genetic algorithm (GA) was employed to optimize the geometric parameters of the finger mechanism for uniform force distribution. Subsequently, a rigid–flexible coupled multibody dynamics model was established to simulate the grasping of small (70 mm), medium (80 mm), and large (90 mm) apples. Additionally, a harvesting experimental platform was constructed to verify the performance. Results demonstrated that by limiting the contact force of the distal phalange region silicone (DPRS) to 24 N via active feedback, the peak contact forces on the proximal phalange region silicone (PPRS) and middle phalange region silicone (MPRS) were effectively maintained below the damage threshold across all three sizes. The maximum equivalent stress remained significantly below the fruit’s yield limit, ensuring no mechanical damage occurred, with an average enveloping time of approximately 1.30 s. The experimental data showed strong agreement with the simulation, with a mean absolute percentage error (MAPE) of 5.98% for contact force and 5.40% for enveloping time. These results confirm that the proposed end-effector successfully achieves high adaptability and reliability in non-destructive harvesting, offering a valuable reference for agricultural robotics. Full article
(This article belongs to the Section Agricultural Technology)
Show Figures

Figure 1

28 pages, 3446 KB  
Article
Reaction Wheel Pendulum Stabilization Using Various State-Space Representations
by Jacek Michalski, Mikołaj Mrotek, Tymoteusz Tomczak, Jakub Wojciechowski and Dariusz Pazderski
Electronics 2025, 14(23), 4719; https://doi.org/10.3390/electronics14234719 - 29 Nov 2025
Viewed by 687
Abstract
This paper addresses the problem of stabilizing an inverted pendulum actuated by a reaction wheel, a system relevant for robotic balancing platforms and aerospace applications. The study compares several state-space representations of the system and examines their implications for controller synthesis and parameter [...] Read more.
This paper addresses the problem of stabilizing an inverted pendulum actuated by a reaction wheel, a system relevant for robotic balancing platforms and aerospace applications. The study compares several state-space representations of the system and examines their implications for controller synthesis and parameter identification. A unified nonlinear model formulation is introduced, enabling a structural Lyapunov-based robustness analysis that reveals how variations in the gravitational gain affect closed-loop stability. Control strategies based on pole placement and Linear Quadratic Regulator (LQR) design are implemented and compared across the different representations. The analysis highlights a robustness–fidelity trade-off between model complexity and sensitivity to parameter uncertainty, providing insight that extends beyond the specific laboratory setup. Theoretical results are validated on a real laboratory platform. The controllers are evaluated in both upright and downward equilibrium configurations, and the influence of parameter shifts is assessed experimentally using global identification and performance indices. The work offers general modeling and robustness guidelines for reaction-wheel-based stabilization systems and related underactuated nonlinear mechanisms. Full article
(This article belongs to the Section Systems & Control Engineering)
Show Figures

Figure 1

20 pages, 11704 KB  
Article
Design and Experimental Research of an Underactuated Rigid–Flexible Coupling Mechanical Gripper
by Hongyi Liu, Yuhang Chen, Yubo Hu, Zhi Hu, Jie Liu, Xuejia Huang, Shuo Yao and Yigen Wu
Machines 2025, 13(11), 1068; https://doi.org/10.3390/machines13111068 - 20 Nov 2025
Cited by 1 | Viewed by 771
Abstract
Designing a mechanical gripper, achieving the combined capabilities of high loading capacity, flexible environmental adaptability, and dexterous kinematic performance, is highly desired in human–machine interaction and industrial production efficiency improvement, yet this combination of grasping encounters irreconcilable challenges. Although rigid–flexible coupled mechanical grippers [...] Read more.
Designing a mechanical gripper, achieving the combined capabilities of high loading capacity, flexible environmental adaptability, and dexterous kinematic performance, is highly desired in human–machine interaction and industrial production efficiency improvement, yet this combination of grasping encounters irreconcilable challenges. Although rigid–flexible coupled mechanical grippers exhibit promising advantages compared with conventional rigid mechanical grippers and pure soft grippers, they still get stuck in problems of grasping stability owing to the mechanical mismatch between rigid and flexible materials. Inspired by the hybrid structure of the human finger, we designed an underactuated rigid–flexible coupled mechanical gripper (U-RFCG) to expand the grasping range of existing mechanical grippers. We utilized an embedded flexible microcolumn array to couple the rigid underactuated fingers with a flexible silicone rubber finger segment and integrated a flexible silicone rubber cavity into each rigid–flexible coupling finger segment, thereby addressing issues such as slippage and fracture at the coupling interface of the rigid–flexible structure. This design enables the mechanical gripper to possess the superior characteristics of both rigid and flexible grippers, along with simple execution control. We established mathematical models to analyze the static and kinematic properties of the fingers. Based on these models, we optimized the dimensional parameters of the underactuated links to ensure reasonable contact force distribution and stable motion. Repeated experiments demonstrated that the contact force exerted by each phalanx consistently stabilized at approximately 3.58 N during operation. Lastly, we integrated the U-RFCG into a 3D motion platform. Our mechanical gripper demonstrates significant adaptability and high load capacity for grasping various objects, including irregular cauliflowers, fragile fried instant noodles, and heavy cabbages. It successfully handled objects spanning a weight range of 30–1500 g without causing damage to them. These results confirm that our design balances load capacity and grasping safety through the synergy of rigid and flexible properties, providing a new solution for robotic grasping in complex scenarios. Full article
Show Figures

Figure 1

26 pages, 5220 KB  
Article
Comparative Analysis of Model-Based and Data-Driven Control for Tendon-Driven Robotic Fingers
by Kanat Suleimenov, Akim Kapsalyamov, Beibit Abdikenov, Aiman Ozhikenova, Yerbolat Igembay and Kassymbek Ozhikenov
Mathematics 2025, 13(22), 3669; https://doi.org/10.3390/math13223669 - 16 Nov 2025
Viewed by 677
Abstract
The control of tendon-driven robotic fingers presents significant challenges due to their inherent underactuation, coupled with complex non-linear dynamics arising from tendon elasticity, friction, and external disturbances. Therefore, achieving precise control of finger motion and contact interactions necessitates advanced modeling, estimation, and control [...] Read more.
The control of tendon-driven robotic fingers presents significant challenges due to their inherent underactuation, coupled with complex non-linear dynamics arising from tendon elasticity, friction, and external disturbances. Therefore, achieving precise control of finger motion and contact interactions necessitates advanced modeling, estimation, and control strategies capable of addressing uncertainties in tendon tension, routing, and elasticity. This paper presents a comprehensive comparative study of three distinct control paradigms: feedback linearization with Proportional-Derivative (FBL-PD) control, feedback linearization with super-twisting sliding-mode algorithm (FBL-STA), and deep-deterministic reinforcement learning (DDPG-RL), for the precise trajectory tracking of a three-link tendon-driven robotic finger. Through extensive simulations, the performance of each controller is rigorously evaluated based on trajectory-tracking accuracy and robustness to varying disturbances. The results indicate that under disturbance-free conditions, the FBL-PD and FBL-STA controllers, when properly tuned, achieve precise tracking of the reference trajectory; however, they produce noticeably noisy control signals. When subjected to external disturbances, these controllers exhibit increased sensitivity, producing even noisier responses. In contrast, the DDPG-RL maintains smooth control dynamics and achieves sufficiently accurate tracking in both scenarios. This comparative analysis elucidates the strengths and weaknesses of each control strategy, offering critical insights and practical guidelines for the design and implementation of advanced control systems for dexterous tendon-driven robotic fingers. Full article
(This article belongs to the Special Issue Applications of Mathematical Methods in Robotic Systems)
Show Figures

Figure 1

10 pages, 1019 KB  
Proceeding Paper
Backstepping-Based Trajectory Control for a Three-Rotor UAV: A Nonlinear Approach for Stable and Precise Flight
by Imam Barket Ghiloubi, Marco Rinaldi, Yattou El Fadili and Oumaima Gharsa
Eng. Proc. 2025, 118(1), 54; https://doi.org/10.3390/ECSA-12-26573 - 7 Nov 2025
Viewed by 301
Abstract
Ensuring precise trajectory tracking and stability in unconventional UAVs is a critical challenge in aerial robotics. This paper investigates a three-rotor UAV with complex underactuated dynamics and develops a nonlinear backstepping controller. The UAV model highlights the essential role of onboard sensors, since [...] Read more.
Ensuring precise trajectory tracking and stability in unconventional UAVs is a critical challenge in aerial robotics. This paper investigates a three-rotor UAV with complex underactuated dynamics and develops a nonlinear backstepping controller. The UAV model highlights the essential role of onboard sensors, since position and angular velocity measurements are fundamental for feedback and must be continuously exploited by the control law. Using these sensor-based signals in simulation, the proposed controller achieves accurate trajectory tracking, fast convergence, and stable behavior. The study emphasizes that sensor integration is crucial for enabling reliable autonomous flight of unconventional UAVs. Full article
Show Figures

Figure 1

21 pages, 5241 KB  
Article
A Rigid–Flexible Coupling Gripper with High Grasping Adaptability
by Yigen Wu, Xuejia Huang, Yubo Hu, Bingnan Guo, Zikang Wu, Yuhang Chen, Xueqi Hu and Ruyi Du
Actuators 2025, 14(11), 529; https://doi.org/10.3390/act14110529 - 31 Oct 2025
Viewed by 914
Abstract
Nowadays, grippers are extensively employed to interact with dynamic and variable objects. Therefore, enhancing the adaptability of grippers is crucial for improving production efficiency and product quality. To address the trade-off between load capacity and interaction safety in rigid and soft grippers, this [...] Read more.
Nowadays, grippers are extensively employed to interact with dynamic and variable objects. Therefore, enhancing the adaptability of grippers is crucial for improving production efficiency and product quality. To address the trade-off between load capacity and interaction safety in rigid and soft grippers, this paper proposes a rigid–flexible coupling gripper with high grasping adaptability based on an underactuated structure. We conduct static analysis on the underactuated mechanism, followed by dimensional optimization using a genetic algorithm. After optimization, the grasping force error at each knuckle is reduced to 2 N, and the total grasping force reaches 38 N. The soft actuators, integrated with a rigid framework, not only increase the contact area during grasping but also mitigate the excessive concentration of contact forces, significantly improving the compliance of the gripper. Additionally, to tackle the issue of weak interfacial bonding strength caused by rigidity mismatch between rigid components and soft materials, this paper proposes a novel method of applying embedded microstructures to enhance the interfacial toughness of rigid–flexible coupling. The elastic deformation of these microstructures ensures strong interfacial connection strength both under tensile and shear stresses. Lastly, a robotic grasping platform is developed to carry out diverse grasping experiments. Experimental results show that the underactuated linkage mechanism and the flexible structure can collaboratively adjust grasping strategies when handling objects of various types, enabling stable manipulation while preventing object damage. This design effectively expands the operational applicability of the gripper. Full article
(This article belongs to the Special Issue Soft Robotics: Actuation, Control, and Application)
Show Figures

Figure 1

24 pages, 10828 KB  
Article
Data-Driven Twisted String Actuation for Lightweight and Compliant Anthropomorphic Dexterous Hands
by Zhiyao Zheng, Jingwei Zhan, Zhaochun Li, Yucheng Wang, Chanchan Xu and Xiaojie Wang
Biomimetics 2025, 10(9), 621; https://doi.org/10.3390/biomimetics10090621 - 15 Sep 2025
Cited by 1 | Viewed by 1566
Abstract
Anthropomorphic dexterous hands are crucial for robotic interaction in unstructured environments, yet their performance is often constrained by traditional actuation systems, which suffer from excessive weight, complexity, and limited compliance. Twisted String Actuators (TSAs) offer a promising alternative due to their high transmission [...] Read more.
Anthropomorphic dexterous hands are crucial for robotic interaction in unstructured environments, yet their performance is often constrained by traditional actuation systems, which suffer from excessive weight, complexity, and limited compliance. Twisted String Actuators (TSAs) offer a promising alternative due to their high transmission ratio, lightweight design, and inherent compliance. However, their strong nonlinearity under variable loads poses significant challenges for high-precision control. This study presents an integrated approach combining data-driven modeling and biomimetic mechanism innovation to overcome these limitations. First, a data-driven modeling approach based on a dual hidden-layer Back Propagation Neural Network (BPNN) is proposed to predict TSA displacement under variable loads (0.1–4.2 kg) with high accuracy. Second, a lightweight, underactuated five-finger dexterous hand is developed, featuring a biomimetic three-phalanx structure and a tendon-spring transmission mechanism, achieving an ultra-lightweight design. Finally, a comprehensive experimental platform validates the system’s performance, demonstrating precise bending angle prediction (via integrated BPNN–kinematic modeling), versatile gesture replication, and robust grasping capabilities (with a maximum fingertip force of 7.4 N). This work not only advances TSA modeling for variable-load applications but also provides a new paradigm for designing high-performance, lightweight dexterous hands in robotics. Full article
(This article belongs to the Special Issue Advanced Service Robots: Exoskeleton Robots 2025)
Show Figures

Figure 1

34 pages, 12322 KB  
Article
A Mechatronic Design Procedure for Self-Balancing Vehicles According to the MBSE Approach
by Paolo Righettini, Roberto Strada, Filippo Cortinovis and Jasmine Santinelli
Machines 2025, 13(9), 826; https://doi.org/10.3390/machines13090826 - 7 Sep 2025
Viewed by 974
Abstract
Several types of self-balancing vehicles have been successfully developed and commercialized in the past two decades, both as manned vehicles and as autonomous mobile robots. At the same time, due to their characteristic instability and underactuation, a large body of research has been [...] Read more.
Several types of self-balancing vehicles have been successfully developed and commercialized in the past two decades, both as manned vehicles and as autonomous mobile robots. At the same time, due to their characteristic instability and underactuation, a large body of research has been devoted to their control. However, despite this practical and theoretical interest, the current publicly available literature does not cover their systematic design and development. In particular, overall processes that lead to a finished vehicle starting from a set of requirements and specifications have not been examined in the literature. Within this context, this paper contributes a comprehensive mechatronic, dynamics-based procedure for the design of this class of vehicles; to promote clarity of exposition, the procedure is systematically presented using Model-Based Systems Engineering tools and principles. In particular, the proposed design method is developed and formalized starting from an original description of the vehicle, which is treated as a complex system composed of several interconnected multi-domain components that exchange power and logical flows through suitable interfaces. A key focus of this work is the analysis of these exchanges, with the goal of defining a minimal set of quantities that should be necessarily considered to properly design the vehicle. As a salient result, the design process is organized in a logical sequence of steps, each having well-defined inputs and outputs. The procedure is also graphically outlined using standardized formalisms. The design method is shown to cover all the mechanical, electrical, actuation, measurement and control components of the system, and to allow the unified treatment of a large variety of different vehicle variants. The procedure is then applied to a specific case study, with the goal of developing the detailed design of a full-scale vehicle. The main strengths of the proposed approach are then widely highlighted and discussed. Full article
(This article belongs to the Section Robotics, Mechatronics and Intelligent Machines)
Show Figures

Figure 1

17 pages, 10583 KB  
Article
Characterization and Optimization of a Differential System for Underactuated Robotic Grippers
by Sebastiano Angelella, Virginia Burini, Silvia Logozzo and Maria Cristina Valigi
Machines 2025, 13(8), 717; https://doi.org/10.3390/machines13080717 - 12 Aug 2025
Viewed by 1131
Abstract
This paper delves into the potential of an optimized differential system within an underactuated tendon-driven soft robotic gripper, a crucial component that enhances the grasping abilities by allowing fingers to secure objects adapting to different shapes and geometries. The original version of the [...] Read more.
This paper delves into the potential of an optimized differential system within an underactuated tendon-driven soft robotic gripper, a crucial component that enhances the grasping abilities by allowing fingers to secure objects adapting to different shapes and geometries. The original version of the differential system exhibited a certain degree of deformability, which introduced some functional advantages. In particular, its flexibility allowed for more delicate grasping operations by acting as a force reducer and enabling a more gradual application of contact forces, an essential feature when handling fragile objects. Nonetheless, while these benefits are noteworthy, a rigid differential remains more effective for achieving firm and secure grasps. The primary goal of this study is to analyze the differential’s performance through FEM simulations and deformation experiments, assessing its structural behavior under various conditions. Additionally, the research explores an innovative differential geometry aimed at striking the ideal balance, ensuring a robust grasp while retaining a controlled degree of deformability. By refining the differential’s design, this study seeks to enhance the efficiency of underactuated soft robotic grippers, ultimately enhancing their capabilities in handling diverse objects ensuring a compliant and secure grasp with optimized efficiency. Full article
Show Figures

Figure 1

32 pages, 5721 KB  
Review
Control Strategies for Two-Wheeled Self-Balancing Robotic Systems: A Comprehensive Review
by Huaqiang Zhang and Norzalilah Mohamad Nor
Robotics 2025, 14(8), 101; https://doi.org/10.3390/robotics14080101 - 26 Jul 2025
Cited by 9 | Viewed by 5938
Abstract
Two-wheeled self-balancing robots (TWSBRs) are underactuated, inherently nonlinear systems that exhibit unstable dynamics. Due to their structural simplicity and rich control challenges, TWSBRs have become a standard platform for validating and benchmarking various control algorithms. This paper presents a comprehensive and structured review [...] Read more.
Two-wheeled self-balancing robots (TWSBRs) are underactuated, inherently nonlinear systems that exhibit unstable dynamics. Due to their structural simplicity and rich control challenges, TWSBRs have become a standard platform for validating and benchmarking various control algorithms. This paper presents a comprehensive and structured review of control strategies applied to TWSBRs, encompassing classical linear approaches such as PID and LQR, modern nonlinear methods including sliding mode control (SMC), model predictive control (MPC), and intelligent techniques such as fuzzy logic, neural networks, and reinforcement learning. Additionally, supporting techniques such as state estimation, observer design, and filtering are discussed in the context of their importance to control implementation. The evolution of control theory is analyzed, and a detailed taxonomy is proposed to classify existing works. Notably, a comparative analysis section is included, offering practical guidelines for selecting suitable control strategies based on system complexity, computational resources, and robustness requirements. This review aims to support both academic research and real-world applications by summarizing key methodologies, identifying open challenges, and highlighting promising directions for future development. Full article
(This article belongs to the Section Industrial Robots and Automation)
Show Figures

Figure 1

15 pages, 1795 KB  
Article
Minimum-Energy Trajectory Planning for an Underactuated Serial Planar Manipulator
by Domenico Dona’, Jason Bettega, Iacopo Tamellin, Paolo Boscariol and Roberto Caracciolo
Robotics 2025, 14(7), 98; https://doi.org/10.3390/robotics14070098 - 18 Jul 2025
Cited by 3 | Viewed by 1186
Abstract
Underactuated robotic systems are appealing for industrial use due to their reduced actuator number, which lowers energy consumption and system complexity. Underactuated systems are, however, often affected by residual vibrations. This paper addresses the challenge of generating energy-optimal trajectories while imposing theoretical null [...] Read more.
Underactuated robotic systems are appealing for industrial use due to their reduced actuator number, which lowers energy consumption and system complexity. Underactuated systems are, however, often affected by residual vibrations. This paper addresses the challenge of generating energy-optimal trajectories while imposing theoretical null residual (and yet practical low) vibration in underactuated systems. The trajectory planning problem is cast as a constrained optimal control problem (OCP) for a two-degree-of-freedom revolute–revolute planar manipulator. The proposed method produces energy-efficient motion while limiting residual vibrations under motor torque limitations. Experiments compare the proposed trajectories to input shaping techniques (ZV, ZVD, NZV, NZVD). Results show energy savings that range from 12% to 69% with comparable and negligible residual oscillations. Full article
(This article belongs to the Special Issue Adaptive and Nonlinear Control of Robotics)
Show Figures

Figure 1

Back to TopTop