Next Article in Journal
MLLM-Search: A Zero-Shot Approach to Finding People Using Multimodal Large Language Models
Previous Article in Journal
PRONOBIS: A Robotic System for Automated Ultrasound-Based Prostate Reconstruction and Biopsy Planning
 
 
Font Type:
Arial Georgia Verdana
Font Size:
Aa Aa Aa
Line Spacing:
Column Width:
Background:
Review

Control Strategies for Two-Wheeled Self-Balancing Robotic Systems: A Comprehensive Review

by
Huaqiang Zhang
and
Norzalilah Mohamad Nor
*,†
Department of Mechanical Engineering, Faculty of Engineering, Universiti Sains Malaysia, Nibong Tebal 14300, Pulau Pinang, Malaysia
*
Author to whom correspondence should be addressed.
These authors contributed equally to this work.
Robotics 2025, 14(8), 101; https://doi.org/10.3390/robotics14080101
Submission received: 8 June 2025 / Revised: 19 July 2025 / Accepted: 24 July 2025 / Published: 26 July 2025
(This article belongs to the Section Industrial Robots and Automation)

Abstract

Two-wheeled self-balancing robots (TWSBRs) are underactuated, inherently nonlinear systems that exhibit unstable dynamics. Due to their structural simplicity and rich control challenges, TWSBRs have become a standard platform for validating and benchmarking various control algorithms. This paper presents a comprehensive and structured review of control strategies applied to TWSBRs, encompassing classical linear approaches such as PID and LQR, modern nonlinear methods including sliding mode control (SMC), model predictive control (MPC), and intelligent techniques such as fuzzy logic, neural networks, and reinforcement learning. Additionally, supporting techniques such as state estimation, observer design, and filtering are discussed in the context of their importance to control implementation. The evolution of control theory is analyzed, and a detailed taxonomy is proposed to classify existing works. Notably, a comparative analysis section is included, offering practical guidelines for selecting suitable control strategies based on system complexity, computational resources, and robustness requirements. This review aims to support both academic research and real-world applications by summarizing key methodologies, identifying open challenges, and highlighting promising directions for future development.

1. Introduction

With the advancement of computers, electronics, and manufacturing technologies, research on mobile robots has surged and found widespread application across various industries [1,2]. They serve as substitutes for humans in hazardous and challenging environments, such as post-disaster search and rescue operations, nuclear power plant maintenance, and battlefield surveillance, thereby ensuring personnel safety effectively [3]. Additionally, mobile robots play pivotal roles in extraterrestrial and deep-sea explorations and are increasingly utilized in everyday applications such as healthcare, medical rehabilitation, intelligent transportation systems, and entertainment [4,5].
According to their operational environments, mobile robots are categorized into ground-based, aerospace, and underwater types. Among ground mobile robots, classifications include footed, tracked, and wheeled robots [6,7]. Footed robots excel in terrain adaptability and obstacle traversal, yet their complex structure and challenging control systems constrain their widespread application [8]. Tracked robots encounter issues like high energy consumption and limited maneuverability due to their rigid steering mechanisms [9]. In contrast, wheeled robots are characterized by their simplicity, cost-effectiveness, speed, efficiency, and ease of maintenance. However, multi-wheeled robots face constraints such as complex structures and the inability to achieve zero-radius turns, which limits their use in crowded and narrow spaces [10].
In the late 1980s, Professor Kazuo Yamato from the Automation Department at Tokyo Telecom University in Japan proposed the concept of a TWSBR, depicted in Figure 1a. This type of robot possesses advantages that multi-wheeled mobile robots lack and can complement or even replace them in various applications [11]. The two wheels are coaxially arranged, providing zero-radius turning capability and maintaining dynamic balance continuously, thereby resisting interference and impacts that might overturn statically stable robots. Furthermore, its vertically oriented structure occupies minimal space, making it suitable for crowded indoor environments, while also facilitating greater vertical reach for interaction with humans [12]. Consequently, TWSBRs have seen rapid development in transportation, entertainment, and service sectors in recent years. Notable examples include “Segway” (Figure 1b) [13,14] and “uBot” (Figure 1c) [15,16], among others.
TWSBR represents a crucial example of nonlinear, unstable, underactuated mechanical systems. As shown in Figure 2, it serves as a suitable benchmark system for training and experimental verification of new control strategies in robotics and control theory. Moreover, as technology advances and the demand for automation solutions grows, TWSBRs are expected to play an increasingly important role in the transportation industry. Furthermore, an in-depth study of various control methods for TWSBRs can provide technical guidance for controlling nonlinear systems such as aircraft, spacecraft, precision instruments, and other nonlinear systems, which holds significant academic value.
This paper initially reviews the value and significance of studying TWSBRs. Subsequently, it examines the modeling and control of these robots, with a particular focus on the application of various controllers. The distinct features of TWSBR dynamics complicate their control beyond open-loop instability, thus precluding open-loop control methods. Specifically, they are non-minimum phase and underdriven. Due to the coupled dynamics of robot tilt and forward velocity, to move forward from equilibrium, it must first move backward before moving forward, allowing the intermediate body to tilt forward [17].
The remainder of this paper is organized as follows: Section 2 reviews the dynamic modeling approaches for TWSBRs, including physics-based, data-driven, linearization, and decoupling techniques. Section 3 provides a comprehensive classification and discussion of control methodologies ranging from classical linear controllers to advanced nonlinear, intelligent, adaptive, and optimization-based strategies. Section 4 introduces supporting techniques essential for practical control implementation, such as state estimation, observers, filters, and differentiators. Section 5 presents a comparative analysis and selection guidelines for various control strategies, aiming to support practical application and future research. Finally, Section 6 concludes the paper by summarizing the key findings and highlighting future research directions.

2. Dynamic Modeling of TWSBRs

Given the inherent static instability of the TWSBR, the primary challenge is to achieve self-balancing control [18]. To accomplish this, researchers typically develop dynamic and kinematic models of the robot, utilizing Newtonian mechanics, Lagrangian mechanics, and Kane’s method. Research on the modeling and control of balancing robots has been extensively applied, offering substantial theoretical and practical foundations for achieving stable, flexible, and efficient control of TWSBRs [19].

2.1. Physics-Based Modeling

Diverse modeling and labeling methods and processes typically lead to different mathematical models [20]. The model depicted in Figure 3 is just one example [21], yet the underlying principle remains consistent. This paper presents the application of Newton’s laws of mechanics, Lagrange’s theorem, and Kane’s equation as modeling methodologies. Despite variations in complexity and conditions among these methods, the foundational principles of constructing mathematical models are fundamentally rooted in these three approaches.

2.1.1. Newtonian Mechanics

The Newtonian mechanics approach models the robot’s mass, inertia, friction, and other related parameters. By employing equations such as Newton’s second law and the angular momentum theorem, this approach elucidates the relationship between the forces and moments experienced by the robot during movement. This approach establishes the equations of motion and mechanical model of the robot, thereby characterizing its dynamic behavior [22]. E. H. Karam et al. [23] employed the Newton–Euler method to model a TWSBR. They designed a robust controller for the TWSBR, utilizing a state-feedback-based sliding mode controller (SFSMC) to address balancing and tracking challenges. The SFSMC parameters were optimized through modified cuckoo search (MCS) and modified particle swarm optimization (MPSO) algorithms, enhancing performance in both processing time and response accuracy. Similarly, V. Mudeng et al. [24] utilized the Newton–Euler method to model a TWSBR and maintain its equilibrium. They implemented a proportional-integral-derivative (PID) controller for the self-balancing robot, achieving satisfactory results.

2.1.2. Lagrangian Mechanics

The Lagrangian mechanics approach models the robot’s potential energy, kinetic energy, and motion constraints. By employing the Lagrange equation to describe the robot’s mechanical behavior during movement, this approach can account for the system’s nonlinearity and complexity, making it well suited for modeling more sophisticated robotic systems [25]. In [26], the robot’s equations of motion were derived using Lagrangian mechanics and subsequently mapped to transfer functions in the complex s-domain. Control was implemented on an Arduino microcontroller through a zero-order hold discretization method. Similarly, in [27], C. Iwendi et al. employed Lagrangian equations to develop a robot model. Their study conducted experiments on the PD-PI navigation control of TWSBR, aiming to optimize obstacle avoidance. However, the parameters of the PD-PI control were not ideal, as the robot exhibited minor chattering at higher speeds. The Lagrangian function approach analyzes systems from an energy perspective, circumventing the need to address complex internal forces, thereby simplifying the modeling process.

2.1.3. Kane’s Method

The Kane modeling method is a mathematical approach utilized to model the dynamics of a TWSBR. It employs generalized coordinates and velocities to derive the system’s dynamic equations from the Lagrangian formulation, facilitating the handling of complex constraints and enabling straightforward extensions to more intricate robotic systems [28]. In [29], H. Ahmadi Jeyed et al. employed the Kane method to formulate a three-degrees-of-freedom (3-DOF) model of a TWSBR, detailing its longitudinal displacement, yaw, and pitch motions. They subsequently utilized a parametric approach to derive the state correlation coefficient (SDC) matrix for designing a nonlinear quadratic Gaussian (NLQG) controller, which demonstrated effective performance. The Kane method offers several advantages, including ease of comprehension and implementation, accuracy, efficiency, applicability to multi-body systems, robust scalability, and support for control design.

2.2. Linearization and State–Space Representation

The TWSBR exemplifies a classical nonlinear dynamic system, characterized by numerous nonlinear terms within its model. The linearization process simplifies this complexity into a linear model, thereby enhancing the feasibility of control design and analysis. Linearization entails approximating a nonlinear system with its linear counterpart. In the context of TWSBRs, various linearization methods exist, and this section introduces two commonly employed approaches.

2.2.1. Linearization from the Equilibrium Point

This approach presumes operation near the robot’s equilibrium point. Initially, the nonlinear dynamic model of the robot at this equilibrium point is established, and its Jacobian matrix is computed. Subsequently, the nonlinear model is approximated using this Jacobian matrix, with higher-order terms being neglected. This process yields a linearized state–space model suitable for controller design. In [30], the linearization of a nonlinear TWSBR model is detailed, where the equilibrium point is defined as the robot’s zero tilt angle, corresponding to the upright position. By employing Taylor series expansion, the nonlinear model is approximated to its linear form around this point. Similarly, Rigatos et al. [31] applies linearization around a temporary or equilibrium point, using Taylor series expansion and calculating the relevant Jacobian matrix. This linearization process facilitates the development of a linear feedback controller to stabilize the system near equilibrium.

2.2.2. Using State Feedback

This method employs state feedback to achieve linearization of the robot. First, the nonlinear dynamic equations of the robot are transformed into a state–space representation. Next, a state feedback controller is designed to keep the robot’s state near the equilibrium point, frequently using linear control methodologies such as linear quadratic regulators. In [32], the concept of partial feedback linearization is examined, transforming a nonlinear system into a linear one through feedback laws and variable adjustments. The system is represented as two chains of integrators per input, supplemented by three nonlinear equations describing internal dynamics. Similarly, Yushchenko et al. [33] utilize an explicit partial feedback linearization method to simplify the nonlinear TWSBR model by converting it into a linear system through differential outputs. This allows for control using a linear controller, thereby simplifying the design and implementation of complex systems. There are also alternative approaches to applying linearization techniques. Chwa et al. [34] introduces a method termed “backward-step-like feedback linearization,” a control strategy that linearizes system dynamics.
Regardless of the method employed, linearization remains an approximation process with inherent limitations. Practical applications frequently require experimental validation to verify the accuracy of the linearization, as well as the implementation of necessary adjustments and optimizations. Moreover, due to the significant nonlinearity of the TWSBR, the linearized model is applicable only locally, necessitating parameter adjustments for improved accuracy.

2.3. Decoupling Approaches

Underactuated decoupling addresses the complexities inherent in systems like TWSBRs, where the degrees of freedom are insufficient for direct control. This process involves implementing strategies through control methods or mechanical design to disentangle the interdependencies among different degrees of freedom. This approach enables more effective control of the system’s independent motions, thereby enhancing stability, control performance, and overall system efficiency.
In [35], a decoupling process is employed to separate the robot’s linear and rotational motions, enabling independent control of the two parallel motors, as illustrated in Figure 4. This method effectively enhances control performance in underactuated systems, reduces interdependencies among different degrees of freedom, and facilitates stable control. Da et al. [36] utilize a static decoupling approach. Similarly, Zheng et al. [37] employ decoupling technology to partition a complex system into simpler subsystems for independent control. The TWSBR exhibits coupling faults, where interdependent input variables mutually influence each other. In TWSBR applications, decoupled design entails segregating the robot’s balance and steering controls into two independent subsystems. Sun et al. [38] discuss the challenges in designing controllers for moving wheel inverted pendulums (MWIP), which stem from strong coupling among tilt, velocity, and swing angles, as illustrated in Figure 5.
In addition to the specific decoupling algorithms mentioned earlier, other approaches are discussed in works such as [39,40]. These studies elaborate on the canonical representation of symmetric underactuated mechanical systems. Specifically, they explore the conversion of asymmetric systems into cascaded nonlinear structures, consisting of interlinked subsystems where each subsystem’s output primarily serves as the input for the next. This research introduces essential algebraic criteria to facilitate this conversion, offering a global coordinate transformation capable of converting non-formal systems into specific cascaded nonlinear structures, as illustrated in Equations (1) and (2). The proposed transformation method aims to simplify the analysis and control of mechanical systems lacking adequate symmetry. These findings propose a method to coordinate the behavior of complex mechanical systems.
q ˙ 1 = p 1 p ˙ 1 = f 1 ( q , p ) + g 1 q 2 u q ˙ 2 = p 2 p ˙ 2 = f 2 ( q , p ) + g 2 q 2 u
where q = q 1 , q 2 R 2 , p = p 1 , p 2 R 2 , f i ’s and g i ’s are smooth functions, and g 2 q 2 0 , q 2 R . Then, the following global change in coordinates is as follows:
z 1 = q 1 0 q 2 g 1 ( s ) g 2 ( s ) d s z 2 = p 1 g 1 q 2 g 2 q 2 p 2 ξ 1 = q 2 ξ 2 = p 2
Hou et al. [41] investigated an optimal model for trajectory tracking control in an inverted pendulum robotic system. Within this framework, the coupled system’s state variables are intentionally separated into two distinct subsystems: the forward swing subsystem and the pitch angular velocity subsystem. The primary objective is to enable independent control of these subsystems, thereby enhancing trajectory tracking performance amidst unpredictable disturbances. Similarly, Qiu et al. [42] addressed the coupling issue by strategically aligning the shafts of the two motors in orthogonal directions. These innovative strategies for managing coupling issues contribute to robust control in complex systems characterized by interdependence.
Underactuated decoupling, a widely adopted control strategy in underactuated systems, significantly enhances system control performance and stability. However, it is crucial to tailor these decoupling methods to specific systems and application scenarios to optimize their effectiveness.

2.4. Data-Driven Modeling Approaches

2.4.1. Black Box Model

The black box model defines the TWSBR by its input–output relationship, allowing for predictive model construction through data collection without requiring a deep understanding of its internal mechanisms. In [43], a data-driven approach using feed-forward artificial neural networks (ANNs) establishes an accurate model for predicting robot outputs, demonstrating exceptional estimation of the robot’s nonlinear kinematics. The Mean Squared Error (MSE) and regression accuracy notably surpass those of previous research. Performance optimization is suggested by adjusting the neuron count during the tuning phase. Uddin et al. [44] demonstrates that a multilayer perceptron neural network can estimate the poses of TWSBRs, showing that networks with higher learning rates achieve superior pose estimation. A learning rate of 0.005 achieves estimation within 0.5 s, making it suitable for real-time recognition. The architecture of the three-layer neural network used for estimation is illustrated in Figure 6. The intelligent control system proposed in [45] uses neural network training for path planning, enabling mobile robots to follow Euler-elastic trajectories. This approach enhances control effectiveness and reduces training time compared to relying solely on experimental data.

2.4.2. Gray Box Model

The gray box model bridges the gap between black box and white box models by incorporating key components and the working mechanisms of systems like the TWSBR, facilitating the construction of models that analyze data between inputs and outputs. This approach enables prediction, response control, and explanation of system behavior. Chouhan et al. [46] introduce a technique employing Sugeno fuzzy logic to stabilize a TWSBR by computing inputs such as tilt angle, current acceleration, and velocity, and outputs such as final acceleration and velocity to ensure navigation stability. The method’s effectiveness, validated through theoretical and experimental results, demonstrates the T-S fuzzy logic controller’s ability to mitigate system nonlinearity. Additionally, Yu et al. [47] propose a novel PSO-based fuzzy control algorithm that uses a T-S fuzzy dynamic model to stabilize and optimize control gain for self-balancing TWSBRs, validated through computer simulation. Moness et al. [48] apply fuzzy logic to design five controllers for stabilizing and suppressing disturbances in a TWSBR, using Mamdani’s Fuzzy and Fusion-Based functions with dynamic and steady-state indexing for controller selection. Furthermore, Xu et al. [49] present a Takagi–Sugeno Type Fuzzy Logic Controller (FLC) for a TWSBR, integrating heuristic knowledge and model information. This controller was successfully applied in real-time for regulation and set-point control tasks, demonstrating the versatility of extending linear controllers to nonlinear models like FLC for improved performance. In summary, black box models focus on mapping inputs to outputs without needing detailed knowledge of internal mechanisms. In contrast, gray box models account for the system’s inner workings to some extent, allowing for an understanding of critical aspects while still focusing on prediction and control based on the input–output relationship.

3. Control Methodologies for TWSBRs: An Overview

The evolution of control theory is a continuous and iterative process, as illustrated in Figure 7, transitioning from classical control paradigms to the emergence of reinforcement learning and deep learning frameworks. This progression is largely driven by rapid advancements in hardware and computational capabilities, which are crucial for the realization of reinforcement learning methodologies. Nevertheless, this evolution does not render classical and modern control theories obsolete or incompatible with the demands of contemporary applications. On the contrary, the foundational principles and methodologies of both classical and modern control approaches have significantly contributed to the development of new paradigms. Furthermore, Figure 7 represents the historical development of control theory rather than the current applicability of each method.
In the context of two-wheeled self-balancing robots (TWSBRs), a comprehensive control taxonomy is presented in Figure 8, encompassing a broad range of strategies. These include classical linear techniques such as Proportional–Integral–Derivative (PID) control and Linear Quadratic Regulator (LQR) control, as well as nonlinear approaches like intelligent control, optimal control, robust control, adaptive control, and reinforcement learning-based control.

3.1. Linear Control Strategies

3.1.1. PID Control

Proportional–Integral–Derivative (PID) control is a widely adopted linear control strategy in engineering applications. It calculates the control signal u ( t ) based on the error signal e ( t ) , its integral, and derivative:
u ( t ) = K p · e ( t ) + K i · e ( t ) d t + K d · d e ( t ) d t
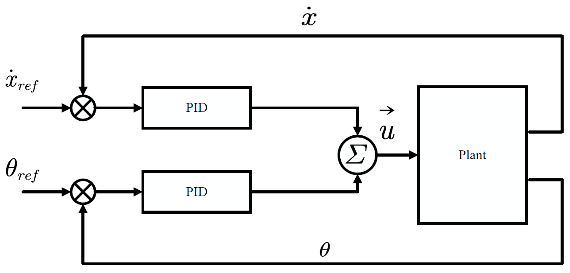
Despite the nonlinear nature of TWSBRs, PID controllers are effectively applied by linearizing the robot’s dynamics around an operating point. The two main configurations—cascade and parallel forms—are commonly used, as shown in Figure 9 and Figure 10.
Numerous studies have successfully applied PID control to self-balancing robots. For instance, Gad et al. [50] implemented cascaded PID loops in a MATLAB R2022b-Arduino-based system, achieving balance while carrying various payloads. Similarly, Paulescu et al. [51] and Nikita et al. [52] validated the basic PID controller in experimental prototypes. Although differences in robot configurations limit direct performance comparisons, these works confirm the practical effectiveness of PID control in TWSBR systems.
To enhance performance, advanced variants such as fractional-order PID (FOPID) controllers have been introduced. The Caputo-based FOPID formula is
u ( t ) = K p e ( t ) + 1 T i 0 t ( t τ ) α 1 e ( τ ) d τ + T d d α d t α e ( t )
Simulation results in [53,54] show improved robustness and tracking performance compared to standard PID control, especially under disturbances and slope conditions.
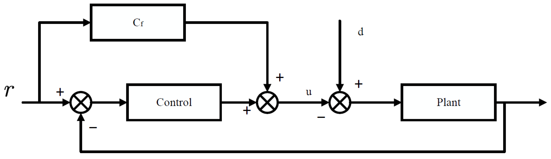
Another enhancement involves the use of two-degrees-of-freedom (2-DOF) PID controllers, which improve disturbance rejection and setpoint tracking. Figure 11 shows a feedforward-based 2-DOF control structure.
Azar et al. [55] and Peashsmart et al. [56] demonstrated that 2-DOF PID controllers outperform conventional PID in response speed and error reduction for TWSBRs.

3.1.2. LQR Control

Linear Quadratic Regulator (LQR) is a full-state feedback control strategy that minimizes a quadratic cost function to achieve optimal performance. It is widely applied to linear time-invariant systems and is suitable for balancing tasks in TWSBRs. The control objective is to minimize the cost function:
J = ( x T Q x + u T R u ) d t
Subject to the state–space system:
x ˙ = A x + B u
The optimal control law is
u = K x
Here, Q and R are positive definite weighting matrices for state and input penalties, respectively, and K is the gain matrix computed via the Riccati equation.
LQR has been extensively applied in TWSBR research. As illustrated in Figure 12, Thwin et al. [57] implemented LQR-based self-balancing, achieving upright stability through state–space design. Borja et al. [58] developed a low-cost TWSBR using LQR for enhanced efficiency, while Petcu et al. [59] combined LQR with a state observer to improve angle tracking and trajectory control. These works demonstrate LQR’s practicality for linearized TWSBR models.
Although LQR provides optimal performance under accurate system models, its effectiveness depends heavily on the selection of Q and R and the assumption of linear time-invariance. For larger tilt angles or more complex dynamics, advanced approaches such as state-dependent Riccati equation (SDRE) controllers may outperform LQR, as shown in [60]. However, due to LQR’s balance between simplicity and performance, it remains a widely used technique in TWSBR applications.

3.2. Nonlinear Control Strategies

3.2.1. The Neural Network

Neural networks (NNs) possess strong capabilities in nonlinear function approximation, learning, and generalization, making them particularly suitable for control tasks involving two-wheeled self-balancing robots (TWSBRs). Within control systems, NNs are commonly integrated as function approximators, adaptive compensators, or policy learners in end-to-end frameworks, as illustrated in Figure 13.
Rather than emphasizing theoretical distinctions such as RBF or BP architectures, recent research focuses on the practical deployment of neural networks directly within the control loop. These applications include:
  • Estimating unknown system dynamics or model uncertainties in adaptive or sliding mode control frameworks;
  • Learning inverse dynamics or optimal control policies in model-free settings;
  • Enhancing trajectory tracking performance and noise robustness in hybrid control strategies.
For instance, Gandarilla et al. [61] designed an adaptive NN to linearize the input–output dynamics for TWSBR trajectory tracking. Nghia et al. [62] proposed an NN-based adaptive sliding mode controller that employs a three-layer network to estimate system uncertainties in real-time, with an online update law derived using Lyapunov theory. Nguyen et al. [63] incorporated a disturbance-compensating NN into a sliding mode framework, while Maity et al. [64] demonstrated that a feedforward NN could outperform conventional PID controllers by achieving faster and smoother balancing.
Typical NN inputs include tilt angle, angular velocity, wheel speed, motor current, and in some cases, image data from RGB sensors. Outputs commonly represent torque commands, wheel velocities, or estimated control gains.
Hybrid schemes combining neural networks with classical controllers—such as NN-enhanced PID or SMC—are also widely adopted. In these systems, the NN compensates for modeling errors or unmodeled dynamics, thereby improving robustness and adaptivity under real-world conditions.
In summary, neural networks are playing an increasingly prominent role in advanced control strategies for TWSBRs, particularly in scenarios involving high nonlinearity, uncertainty, or limited model knowledge.

3.2.2. Fuzzy Control

Fuzzy control, grounded in fuzzy logic, offers robust and adaptable control without requiring precise mathematical models. It effectively manages challenges posed by nonlinear, coupled, time-varying, and hysteresis-driven systems. Fuzzy control facilitates intuitive communication in diverse conditions using natural language.
  • The Mamdani-type fuzzy control, one of the earliest proposed methods, handles input and output fuzzification through fuzzy rules and reasoning. In this method, the IF part corresponds to the fuzzy input set, while the THEN part represents the fuzzy output set. Control output is determined through fuzzy logic and defuzzification processes.
  • The Takagi–Sugeno-type fuzzy control, based on the Takagi–Sugeno model, is a widely adopted method that uses fuzzy rules and linear functions to describe system behavior. Unlike the Mamdani type, its output is not a fuzzy set but a linear function, enabling more flexible modeling and control of nonlinear systems.
These are common types of fuzzy control, each with distinct characteristics and a specific scope of application. Selecting the appropriate type of fuzzy control based on specific control requirements and system characteristics ensures effective system control.
Rachmawati et al. [65] concluded that a TWSBR equipped with fuzzy logic control can maintain stability on slopes up to 15°. The system’s performance depends on parameters such as the size and shape of input and output membership functions, as well as the embedded rule inferences. Fuzzy logic control adjusts the motor’s PWM value to maintain balance. In another study, Mai et al. [66] developed the control theory, fuzzy logic control theory, position PD controller, and balance fuzzy controller for a TWSBR using a relational model. They optimized parameters of the relationship matrix to adjust the number of terms in the input and output variables of the fuzzy controller. However, further optimization is required for dynamic characteristic analysis of the adaptive fuzzy controller, including its impact on other objects. Additionally, Mai et al. [67] proposed and successfully implemented a Fuzzy-PID controller for a TWSBR using an STM32 Microcontroller. This controller integrates fuzzy logic and PID control to manage the robot’s balance and movement, demonstrating significant advantages.
The cited papers primarily focus on type I fuzzy control or its integration with other control methods. With advancements in fuzzy control theory, type II fuzzy control and more advanced variants are now being applied to TWSBRs.
Fathoni et al. [68] successfully achieved the three control objectives of balance, position, and yaw control for Googol’s TWSBR. The VU-IT2-FLC controller demonstrated superior control performance due to the optimized quasi-linear parameter variation method and variable universe theory. It exhibited minimal wobble and high responsiveness. In the presence of external disturbances, VU-IT2-FLC, utilizing Type II fuzzy sets, exhibited the most robust anti-interference capability. Bhatti et al. [69] employed an Adaptive Neuro-Fuzzy Inference System (ANFIS) to adapt controller gains for closed-loop dynamical systems based on battery power level, ensuring desired performance is maintained despite battery depletion. They validated the proposed method on an inherently unstable TWSBR, using a proportional-integral-derivative (PID) controller for pose stabilization. Experimental results verify the robustness of the proposed control scheme, maintaining the robot’s pose stability under battery discharge conditions. Shi et al. [70] successfully achieved the three control objectives of balance, position, and yaw control for the robot. They compared and combined three types of fuzzy controllers (LMI-IT2-FLC, VU-IT1FLC, and VU-IT2-FLC) to control GTWSBR, validating their approach through various simulation experiments. VU-IT2-FLC exhibited the best control performance due to the optimized quasi-linear variable parameter method and variable domain theory. The controller demonstrated minimal swing and a fast response. VU-IT2-FLC demonstrated the most robust anti-interference capability using Type II fuzzy sets against external disturbances. Zhao et al. [71] proposed four GT2FLCs to tune the balance and position of MTWSBR. To demonstrate the effectiveness of this method, three types of IT2FLC were presented: single-point IT2FLC, type 1 non-single-point IT2FLC, and interval type-2 non-single-point IT2FLC. Simulation results showed that NGT2FLC outperformed SGT2FLC, and GT2FLC outperformed IT2FLC under uncertainty. However, it is necessary to reduce the complexity of NGT2FLC and validate the proposed method through experiments.
In summary, type II fuzzy logic controllers offer clear advantages in addressing uncertainty and complexity compared to standard fuzzy controllers. They employ non-singleton membership functions to more accurately capture uncertainty, providing better adaptability, more robust decision-making capabilities, enhanced noise immunity, and superior performance in uncertain and complex systems. However, their computational complexity and design difficulty should be considered, and the selection of an appropriate control strategy should be based on the specific needs and characteristics of the application.

3.2.3. Backstepping Control

Backstepping control is a nonlinear method that stabilizes a system’s state and meets performance goals by incrementally constructing a virtual controller, as shown in Figure 14. This process involves modeling the system, defining stability objectives, and designing a virtual controller to guide the system toward an intermediate state. An intermediate controller generates the actual control signal by combining the virtual control and error using an error metric. This iterative approach uses a series of virtual and intermediate controllers to transition the system state systematically to a stable equilibrium. After each design stage, a stability analysis is performed to confirm system stability under the control strategy. The advantage of backstepping lies in its step-by-step, intuitive approach, which enhances system performance and stability by incorporating prior knowledge. However, its application in high-dimensional spaces can lead to significantly increased computational complexity.
Binh et al. [72] introduce an adaptive control method for tracking control of a Tractor Trailer Wheeled Mobile Robot (TTWMR). This method employs a backward technique from kinematics to dynamics and the Lyapunov direct approach to design various temporal state feedback controllers. Hadi et al. [73] provide a study on the motion of a mobile robot with a two-wheel differential drive in a slipping environment. The kinematic and dynamic models of the robot, both with and without sliding effects, are provided, and the control laws are designed using backstepping to guide the robot to the desired trajectory. Tsai et al. [74] propose an adaptive backstepping sliding mode controller using the fuzzy basis function network (FBFN) method for trajectory tracking of a TWSBR with variable parameters. Thao et al. [75] introduce a method for designing compatible controllers for TWSBRs. The proposed controller, based on nonlinear control methods (backstepping and sliding mode), performs better than PID multi-loop and pole-placed controllers in terms of fast response, good balance, and robustness against disturbances. Ruan et al. [76] present a two-loop cascaded adaptive controller that employs backstepping and fuzzy neural network (FNN) techniques to achieve self-balancing control of a TWSBR in unstable, nonlinear, and strongly coupled systems. The method uses FNNs to approximate an unknown nonlinear function and employs backstepping to design an adaptive controller. Tsai et al. [77] propose a backward-sliding mode leader–follower consensus cooperative formation control method for trajectory tracking and formation keeping. The law of backstepping sliding mode consensus cooperative formation control is derived by integrating concepts of graph theory, adaptive backstepping, and sliding mode control. Ahmad et al. [78] propose various control schemes for tracking the pitch and yaw angles of a TWSBR. The authors develop a mathematical model of the TWR using Lagrange’s and Kirchhoff’s current and voltage laws. They develop a control strategy consisting of a linear quadratic regulator (LQR) and iterative backstepping to track the desired response.

3.2.4. Adaptive Control

Adaptive control encompasses various methods designed to adjust controllers in response to changes in system model parameters, effectively addressing variations caused by robot loads and external conditions to optimize control outcomes. In the context of a TWSBR, Model Reference Adaptive Control (MRAC) can be used to represent the system through a combination of a reference model and unknown parameters. An adaptive algorithm estimates and compensates for these unknown parameters, dynamically adjusting system characteristics. Direct adaptive control methods estimate system parameters and adjust controller settings based on feedback measurements to accommodate real-time system changes, while indirect methods estimate system model parameters online and use these estimates to design controllers, ensuring effective adaptation in TWSBR control strategies.
Recent studies have proposed various approaches for enhancing the control of TWSBRs. Chen et al. [79] introduce a self-balancing device incorporating reaction wheels, optimizing its structural parameters. This paper also proposes metrics to evaluate the performance of such devices. Experimental findings reveal that although dual-loop PID control effectively balances the robot, it shows limitations in impact resistance and adaptability to continuous loads. Similarly, Chopd et al. [80] present a method utilizing a PD sliding mode controller for designing and controlling TWSBRs. This controller integrates a sliding mode pitch angle regulator and a PD position tracking controller, demonstrating robust performance and strong resistance to interference in both simulations and experiments. Furthermore, Tian et al. [81] explore control strategies for Different-Axis TWSBRs, focusing on straight-going and turning maneuvers. The study develops and evaluates a sliding mode controller (SMC) and an adaptive sliding mode controller (ASMC) using roll-angle feedback. Simulation results across various models highlight the ASMC’s capability to swiftly restore the upright position during straight movements and achieve precise roll-angle control during turns, outperforming conventional SMC methods.
Table 1 provides a detailed comparison of TWSBRs utilizing various adaptive control techniques proposed in the recent literature. The column “Adapt. Param.” in Table 1 denotes the adaptive parameters that are dynamically adjusted by the controller to compensate for system uncertainties or external disturbances, while “HW” refers to the hardware platform used for experimental validation. The table outlines various adaptive parameters tailored for tracking the robot’s state, describes the input–output models employed across different robot designs, and summarizes the hardware implementations used.

3.2.5. Sliding Mode Control

Sliding Mode Control (SMC), originally introduced by Utkin in the 1970s, is a well-established robust control approach for nonlinear systems with uncertainties and external disturbances. Its core concept is to force system trajectories onto a predefined sliding surface and maintain motion along it, achieving insensitivity to matched uncertainties and finite-time convergence [89]. Owing to its robustness and implementation simplicity, SMC has been widely adopted for controlling two-wheeled self-balancing robots (TWSBRs), which are underactuated and inherently unstable systems [90,91].
Nevertheless, classical first-order SMC suffers from high-frequency control switching known as chattering, which may excite unmodeled dynamics or damage actuators. To alleviate this issue, several enhanced variants have been proposed:
  • Terminal Sliding Mode Control (TSMC):Introduces nonlinear sliding manifolds to ensure faster convergence near the equilibrium and achieve finite-time stability [92].
  • Integral Sliding Mode Control (ISMC):Incorporates integral action in the sliding surface to guarantee zero steady-state error even under system uncertainties [93].
  • High-Order Sliding Mode Control (HOSMC):Like the super-twisting algorithm, this achieves chattering-free control by acting on higher derivatives of the sliding variable [94].
More recently, hybrid SMC frameworks have emerged that integrate SMC with intelligent techniques like fuzzy logic [86], neural networks [63], and optimization algorithms [95]. These methods aim to improve adaptivity and robustness, particularly in dynamic environments or when full system models are unavailable.
In the context of fractional calculus, Fractional-Order SMC (FOSMC) has also been explored to provide finer tuning of system dynamics, benefiting systems with memory and hereditary properties [96]. Hierarchical SMC (HSMC), as proposed in [6,97], further decomposes complex control tasks into multiple sliding layers, enabling effective multi-objective balancing and trajectory tracking for TWSBRs.
Extensive simulation and experimental studies have validated that SMC-based approaches outperform conventional linear methods (e.g., PID, LQR) in terms of robustness, disturbance rejection, and convergence speed for TWSBR applications [86,87]. Despite their advantages, challenges remain, including chattering suppression, gain tuning, and sensor noise sensitivity, which continue to motivate ongoing research in this domain.

3.3. Advanced and Optimization-Based Control Techniques

3.3.1. Model Predictive Control

Model Predictive Control (MPC) is a powerful advanced control strategy that addresses complex dynamic system challenges and has been widely applied across industrial and non-industrial domains, including robotics, process control, traffic systems, and energy management. Hazem et al. [98] developed an MPC-based control system for a heavy self-balancing two-wheeled robot, covering model identification, controller tuning, and MPC algorithm design. Laboratory experiments confirmed that the proposed MPC, based on a simplified two-state linear state–space model, effectively stabilized the robot. In a comparative study, Khatoon et al. [99] evaluated the performance of LQG and MPC controllers for real-time TWSBR control, concluding that MPC offers superior performance. Similarly, Azimi et al. [100] presented an MPC framework for TWSBRs and validated its effectiveness through simulation in Matlab. Zad et al. [101] proposed an optimal MPC design for self-balancing robots and demonstrated, via Matlab/Simulink R2016a simulations, its improved stability, reference tracking accuracy, and robustness against model disturbances.

3.3.2. Linear Quadratic Gaussian Control

Linear Quadratic Gaussian (LQG) control integrates Linear Quadratic (LQ) optimization and Kalman Filtering (KF), providing an optimal control framework for systems affected by process and measurement noise. Mohammed et al. [102] proposed an efficient LQG-based controller for two-wheeled self-balancing robots (TWSBRs), aiming to achieve system stabilization while mitigating noise effects. The controller parameters were optimally tuned using particle swarm optimization (PSO), and the results indicated that the PSO-LQG controller significantly improves motion performance, especially in both transient and steady-state behaviors.
Hazem et al. [98] further developed fuzzy-based Linear Quadratic Regulator (FLQR) and Linear Quadratic Gaussian (FLQG) controllers for stabilizing a double-link rotary inverted pendulum (DLRIP) system. Simulation results demonstrated that the nonlinear FLQR and FLQG controllers outperformed their classical counterparts in terms of settling time ( t s ), peak overshoot ( P O ), steady-state error ( e s s ), and root mean square error ( R M S E ).
Ahmadi et al. [29] introduced a nonlinear optimal controller based on the State-Dependent Riccati Equation (SDRE) technique for TWSBRs. Their approach used a parametric method to derive the State-Dependent Coefficient (SDC) matrix, forming the basis for designing a nonlinear LQG (NLQG) controller. The study confirmed the effectiveness of the proposed method in estimating and controlling three-degrees-of-freedom (3-DOF) TWSBRs under highly nonlinear conditions.
Additionally, Sengupta et al. [103] conducted a detailed analysis of constructing a dynamically stable self-balancing electric monowheel system using a reference model-based adaptive control structure. An LQG controller was employed to enhance system stability in the presence of external disturbances such as wind.

3.3.3. Linear Matrix Inequality-Based Control

In the control of two-wheeled self-balancing robots (TWSBRs), the Linear Matrix Inequality (LMI) framework plays a crucial role in designing robust and high-performance controllers. By expressing the system dynamics in a state–space form and employing LMI-based formulations, stability conditions and performance objectives can be efficiently addressed through convex optimization. This approach facilitates the synthesis of controllers that ensure fast response, robustness, and balance maintenance under external disturbances and modeling uncertainties.
Tahir et al. [104] compared observer-based LQR and LMI controllers for stabilizing a nonlinear inverted pendulum system. Simulation results and performance index analyses demonstrated the superior performance of the LMI-based controller, particularly due to its practicality and straightforward implementation. Sasaki et al. [105] developed a robust attitude controller for TWSBRs, focusing on maintaining target values for body inclination and wheel angular velocity during ramp-driving scenarios. LMI techniques were utilized to design a state-feedback controller that satisfies stability and robustness requirements, particularly in the presence of impulsive disturbances. He et al. [106] proposed a dual-loop robust control architecture for TWSBRs, incorporating two degrees of freedom to simultaneously address nominal performance and robustness. LMI solvability conditions were used to synthesize full-order H 2 / H controllers. This study also analyzed the trade-off curve between optimal H 2 and H performance indices, leading to the design of a hybrid controller that minimizes H 2 cost while satisfying H constraints.
Overall, LMI provides a powerful mathematical framework for control system synthesis and analysis. Its application in robotic systems has enabled the development of optimized controllers with guaranteed performance bounds. Nonetheless, further research is necessary to adapt LMI-based techniques to the specific nonlinearities, constraints, and task requirements of individual robotic platforms.

3.4. Artificial Intelligence

Artificial intelligence (AI) has emerged as a transformative enabler in the control of two-wheeled self-balancing robots (TWSBRs), addressing the challenges posed by their underactuated and nonlinear dynamics. In particular, reinforcement learning (RL), deep learning (DL), and traditional machine learning (ML) techniques have shown considerable promise in enhancing the adaptability, autonomy, and perception capabilities of TWSBRs.

3.4.1. Reinforcement Learning (RL)

Reinforcement learning focuses on enabling an agent to learn optimal control policies through interaction with its environment. It is particularly well suited for TWSBRs, where precise dynamic modeling is often difficult. RL allows the robot to acquire control strategies through trial-and-error, adapting to various operational conditions.
Several RL algorithms have been applied to TWSBRs, including Q-learning, Deep Q-Networks (DQN), and Proximal Policy Optimization (PPO). These methods have shown the ability to learn balancing and navigation behaviors autonomously. Some studies have integrated RL with classical controllers (e.g., PID, LQR, or SMC) to combine the learning efficiency of RL with the stability and structure of traditional control methods. For instance, Guo et al. [107] employed feedback-based RL to solve LQR problems without relying on an accurate model, while Sinaei et al. [108] used RL to automatically tune PID parameters.

3.4.2. Deep Learning (DL)

Deep learning, a subset of ML, is particularly effective at extracting high-level features from complex, high-dimensional data. Convolutional Neural Networks (CNNs) and residual networks such as ResNet have been widely used in vision-based tasks for TWSBRs. These models allow the robot to perceive and interpret its surroundings using RGB or depth images, enabling functionalities such as obstacle avoidance, visual servoing, and path tracking.
For instance, Li et al. [109,110] implemented CNNs and ResNet-18 architectures to process RGB-D inputs and generate steering commands. Kotz et al. [111] combined DL with RL using VGG16 and MobileNetV2 for state estimation, leveraging both perception and decision-making capabilities.

3.4.3. Machine Learning (ML)

Machine learning approaches beyond DL, such as artificial neural networks (ANNs), are commonly employed for tasks like system identification, sensor fusion, and parameter adaptation. These methods are computationally lighter than DL and can be suitable for real-time implementation on embedded platforms. For example, Unluturk et al. [112] used ANN-based controllers on STM32 platforms to improve the balance performance of TWSBRs, achieving up to 55.62% improvement in lean angle response.
In recent research, various advanced control methods have been proposed for TWSBRs. Guo et al. [107] introduced a feedback-based reinforcement learning approach that achieves optimal control without precise knowledge of system parameters. Krishna et al. [113] developed the “Epersist” framework, integrating PID control with deep reinforcement learning, noted for its efficiency and cost-effectiveness in comparison to existing frameworks. Qian et al. [114] presented a dynamic balance control method based on adaptive machine learning, significantly enhancing robot stability and reliability. Additionally, Hsu et al. [115] proposed a vision-based system enabling a TWSBR to track black lines using real-time visual feedback, demonstrating effective control in practical scenarios.
The application of AI in TWSBR control provides significant advantages in terms of learning ability, adaptability, and generalization. However, challenges remain in real-time implementation, data efficiency, training stability, and integration with embedded hardware. Particularly for deep RL methods, large-scale training and careful hyperparameter tuning are essential, and transferring learned policies from simulation to real-world hardware (i.e., sim-to-real gap) is non-trivial.
Table 2 summarizes recent representative works involving AI-based TWSBR control. The studies are categorized based on the learning paradigm—reinforcement learning, deep learning, and machine learning—and highlight the associated neural network architectures, computational platforms, and hardware implementations.

4. Supporting Techniques for Control Implementation

4.1. Differentiator, Filter, and Observer

In TWSBR applications, signal processing techniques like observers, differentiators, and filters play a crucial role. Observers estimate the robot’s real-time state, differentiators calculate angular velocity, and filters reduce sensor signal noise, ensuring stable and precise control. However, effective implementation requires comprehensive consideration of robot dynamics, sensor performance, and control algorithms to meet system performance expectations. Figure 15 illustrates the structure of observer control. Jmel et al. [121] propose a novel adaptive observer-based output feedback control method for a TWSBR affected by unknown parameters. This method integrates a high-gain control approach with state feedback and an adaptive observer to estimate the robot’s undisclosed state and body weight accurately. Simulation results vividly demonstrate the efficacy of the tracking control scheme developed for managing mass changes in the robot. Furthermore, Jmel et al. [122] introduce an adaptive observer-based output feedback control method tailored for the same robot, addressing uncertainties like unknown terrain dips through an adaptive high-gain observer. This approach ensures robust tracking control despite varying terrain inclinations and frictional disturbances. Jmel et al. [123] propose another adaptive observer-based output feedback control method, focusing on estimating the robot’s state and body weight, complemented by a PID control method to generate precise control signals. Simulation findings validate the observer’s effectiveness in managing mass changes in the robot. Additionally, Petcu et al. [59] discuss two control methods for a TWSBR: LQR control using a state observer and PID control with a stabilized vertical angle, both implemented and validated using Matlab-Simulink simulations. Finally, Iwendi et al. [27] conclude with the successful implementation of a TWSBR in a sensed environment (SE) using Proportional-Derivative-Proportional-Integral (PD-PI) navigation control based on the Kalman filter algorithm, ensuring stable navigation with two wheels.

4.2. Optimization and Multi-Objective Optimization Algorithms

Optimization and multi-objective optimization algorithms are mathematical and computational methods used to solve a wide range of problems. Optimization algorithms are employed to find optimal or approximate solutions and are widely applied in engineering, science, economics, and other fields. Their goal is to minimize or maximize one or more objective functions. Common algorithms include gradient descent, genetic algorithms, and particle swarm optimization, among others. Multi-objective optimization algorithms address problems with multiple conflicting objectives, aiming to find a set of balanced solutions known as the Pareto front. These algorithms identify trade-offs between multiple objectives to obtain a set of solutions, where no single solution is optimal across all objectives.
Faheem et al. [124] demonstrate that for nonlinear systems like TWSBRs, the proposed fractional-order PID (FOPID) controller outperforms both classical PID and PSO-tuned FOPID controllers, offering enhanced stability and control. The Nelder–Mead (N-M) technique proved more efficient than the particle swarm optimization (PSO) technique for tuning FOPID controller parameters. Kien et al. [125] present a robust optimal controller for TWSBRs using particle swarm optimization (PSO). The PSO algorithm is employed to derive low-order robust controllers from high-order ones. Jithendra et al. [126] introduce a PSO-based tanh super-twisting sliding mode controller (PSO-STSMC) for balancing a TWSBR using a LEGO EV3 model (TWIP). The study concludes that the proposed PSO-STSMC controller effectively balances the upright position of the LEGO EV3 TWIP and outperforms traditional SMC. Mohsin et al. [127] present an optimal control method for enhancing the stability of a TWSBR under perturbation effects. This method optimizes the robot controller parameters using a proportional-integral-derivative (PID) controller designed with a particle swarm optimization (PSO) approach.

4.3. Feedforward Control Strategies

Feedforward control is a proactive strategy that improves system performance by anticipating system behavior based on known reference inputs or modeled disturbances, rather than relying solely on reactive error correction as in traditional feedback control. In the context of two-wheeled self-balancing robots (TWSBRs), feedforward control has been widely employed to enhance trajectory tracking, motion planning, and disturbance rejection, particularly in scenarios involving predictable or repetitive dynamics.
Unlike feedback mechanisms, which act in response to deviations from the desired output, feedforward controllers compute control actions in advance, using reference trajectories, inverse dynamics, or disturbance estimations. This anticipatory nature allows the system to respond promptly to planned changes, thereby reducing overshoot, enhancing transient behavior, and improving tracking accuracy.
Feedforward strategies have been successfully incorporated into various TWSBR control architectures, including the following:
  • Trajectory tracking: Feedforward terms derived from reference velocity or acceleration profiles enable precise tracking of complex trajectories [43,128].
  • Cascaded control structures:In hierarchical or multi-loop frameworks, feedforward components in the inner loop can significantly reduce the control effort required from the outer-loop feedback controller [129].
  • Disturbance compensation:When disturbances such as terrain slopes or payload variations can be predicted or measured in advance, feedforward compensation enables preemptive mitigation [6].
Numerous studies have demonstrated the efficacy of feedforward components in enhancing the control performance of TWSBRs. For instance, Maity et al. [64] implemented a feedforward neural network trained via backpropagation to stabilize a self-balancing robot, reporting improved performance over traditional PID methods. Ruan and Chen [130] proposed a feedback-error learning scheme inspired by cerebellar models, in which the feedforward pathway operates adaptively to complement feedback control. Similarly, Khan et al. [43] employed feedforward neural networks for system identification and trajectory prediction, demonstrating accurate forecasting of nonlinear dynamics in real-time control.
Nevertheless, due to its reliance on accurate modeling and limited capacity to handle unexpected perturbations, feedforward control is seldom used in isolation. It is most effective when integrated with feedback control in a two-degrees-of-freedom (2-DOF) configuration. In such architectures, the feedforward path accounts for predictable system responses, while the feedback loop ensures robustness, stability, and correction of residual errors.

5. Comparative Analysis and Discussion

5.1. Advantages and Limitations of Controllers

To provide a comprehensive comparison of various control techniques applied to two-wheeled self-balancing robots (TWSBRs), we have analyzed key performance indicators such as complexity, robustness, adaptability, model dependency, and real-time feasibility. These criteria are crucial for evaluating control strategies in practical robotic applications.
Table 3 presents a unified comparison across nine widely adopted control methods. Each control strategy is assessed qualitatively, using standardized terminology (e.g., Low, Medium, High, Very High) to ensure consistent benchmarking.
In general, classical PID controllers are known for their implementation simplicity and excellent real-time performance. However, they suffer from poor adaptability and robustness in highly nonlinear or uncertain environments. Fractional-order PID (FOPID) controllers improve flexibility and tuning capability but still rely heavily on accurate modeling.
Advanced methods such as LQR and MPC offer optimal control under constraints but require high model fidelity. MPC, in particular, provides excellent handling of system constraints and predictive behavior, albeit with increased computational burden.
Nonlinear and intelligent approaches, such as fuzzy logic and neural networks, offer strong adaptability and robustness in uncertain conditions. However, neural networks and reinforcement learning (RL) demand significant training data and computational resources, limiting their real-time feasibility.
Sliding mode control (SMC)- and linear matrix inequality (LMI)-based strategies present a good trade-off between robustness and model reliance. SMC is especially favored for handling external disturbances and parameter uncertainty.
Figure 16 further illustrates these insights via a radar chart, visualizing how each strategy performs across the five primary criteria. The visualization helps highlight the strengths and trade-offs inherent in each method.

5.2. Guidelines for Control Method Selection

While numerous control strategies have been applied to TWSBR systems, selecting the most appropriate method depends largely on the specific application requirements. A comparative understanding is crucial for practitioners, especially those new to the field, to make informed decisions. Table 4 provides a high-level recommendation matrix aligning typical TWSBR scenarios with suitable control techniques.
The following key factors should be considered when choosing a control strategy:
  • System complexity and task objectives: For example, LQR and PID are often sufficient for structured environments and set-point regulation, while MPC and RL may be better suited for dynamic, trajectory-based tasks requiring predictive or adaptive behaviors.
  • Computational resources:Methods like PID and SMC are suitable for deployment on low-cost microcontrollers, whereas deep reinforcement learning typically requires high-end computing platforms with GPU acceleration.
  • Robustness and adaptability:If robustness to disturbances and model uncertainties is essential, SMC and MPC provide reliable performance, whereas RL and adaptive control can offer flexibility in unstructured environments at the cost of increased complexity.
  • Ease of implementation and tuning: Classical methods like PID and SMC are straightforward to implement and tune manually. In contrast, learning-based methods (e.g., RL, DL) may involve intensive training and hyperparameter optimization.
This comparative insight aims to balance theoretical understanding with practical application, supporting readers in selecting the most effective control solution for their specific TWSBR deployment context.

6. Challenges and Future Directions

Despite the substantial progress in control strategies for two-wheeled self-balancing robots (TWSBRs), several key challenges remain. These include the demand for enhanced robustness in unstructured environments, the integration of intelligent perception for autonomous operation, and the trade-off between control performance and computational cost in embedded platforms.
Firstly, while many control algorithms (e.g., SMC, MPC, RL) demonstrate strong robustness in simulation, their real-world applicability is often hindered by modeling inaccuracies, unmodeled dynamics, and environmental disturbances. Adaptive and learning-based control methods have shown promise, but their stability guarantees and convergence remain active research areas.
Secondly, autonomous navigation and interaction with dynamic environments require tight coupling between control, perception, and decision-making. As TWSBRs are increasingly deployed in real-world scenarios—such as warehouse logistics, smart hospitals, and hazardous area inspections—the need for integrated systems that combine SLAM, vision-based navigation, and semantic understanding grows substantially. For example, Zhao et al. [131] presented a TWSBR system for groundwater pump station inspection using LiDAR SLAM and integrated environmental perception and autonomous control.
Thirdly, many state-of-the-art controllers demand high computational resources, which challenge their deployment on low-cost embedded platforms. Future research should explore lightweight AI-enhanced control strategies, real-time system optimization, and hardware-software co-design to enable efficient deployment.
Moreover, experimental validation remains limited in many academic studies. More open-source hardware platforms, publicly available datasets, and benchmark tasks would significantly accelerate algorithmic validation and benchmarking.
In summary, the next generation of TWSBR research should emphasize hybrid intelligent control frameworks, real-time embedded deployment, and application-driven validation to meet the demands of increasingly complex, dynamic, and human-centric environments.

7. Conclusions

This paper presents a comprehensive review of control strategies developed for two-wheeled self-balancing robots (TWSBRs). As underactuated and highly nonlinear systems, TWSBRs serve as an effective platform for testing and validating a wide range of classical, modern, and intelligent control algorithms. The reviewed methods include traditional linear control (PID, LQR), robust nonlinear schemes (SMC, MPC), intelligent and data-driven approaches (fuzzy logic, neural networks, reinforcement learning), and hybrid techniques that integrate multiple paradigms. Furthermore, state estimation and observer-based techniques are examined as crucial enablers for real-time feedback control.
To enhance the utility of this review, a comparative analysis is conducted, offering practical guidelines for selecting appropriate control strategies based on various application scenarios and constraints. This makes the review not only a theoretical summary but also a practical reference for system designers and researchers.
Future research may benefit from exploring hybrid control architectures that leverage the interpretability and simplicity of classical methods alongside the adaptability and learning capacity of modern AI techniques. Additionally, topics such as multi-sensor fusion, sim-to-real transfer in reinforcement learning, and edge deployment for real-time control remain promising directions for the next generation of TWSBR systems.

Author Contributions

Conceptualization, H.Z. and N.M.N.; methodology, H.Z.; software, H.Z.; validation, H.Z. and N.M.N.; formal analysis, H.Z.; investigation, H.Z.; resources, H.Z.; data curation, H.Z.; writing—original draft preparation, H.Z.; writing—review and editing, H.Z. and N.M.N.; visualization, H.Z.; supervision, N.M.N.; project administration, N.M.N.; funding acquisition, not applicable. All authors have read and agreed to the published version of the manuscript.

Funding

This research received no external funding.

Acknowledgments

The authors gratefully acknowledge the Department of Mechanical Engineering, Universiti Sains Malaysia, for providing technical support and laboratory facilities during the course of this research.

Conflicts of Interest

The authors declare no conflicts of interest.

Abbreviations

The following abbreviations are used in this manuscript:
2-DOF         Two Degrees of Freedom
A2CAdvantage Actor-Critic
ABCArtificial Bee Colony
AIArtificial Intelligence
ANNArtificial Neural Network
ASMCAdaptive Sliding Mode Control
BPNNBackpropagation Neural Network
CNNConvolutional Neural Network
CSAClonal Selection Algorithm
DEDifferential Evolution
DLDeep Learning
DHTSMCDual Hierarchical Terminal Sliding Mode Control
DQNDeep Q-Network
FLCFuzzy Logic Controller
FLQGFuzzy Linear Quadratic Gaussian
FLQRFuzzy Linear Quadratic Regulator
FNNFuzzy Neural Network
FOPIDFractional-Order Proportional-Integral-Derivative
FOSMCFractional-Order Sliding Mode Control
GAGenetic Algorithm
GT2FLCGeneral Type-2 Fuzzy Logic Controller
HH-Infinity Control
H2H2 Performance Index
HOSMCHigh-Order Sliding Mode Control
HSMCHierarchical Sliding Mode Control
HTSMCHierarchical Terminal Sliding Mode Control
IT2FLCInterval Type-2 Fuzzy Logic Controller
ITAEIntegral of Time-weighted Absolute Error
JSJellyfish Search
JSOJellyfish Search Optimization
KFKalman Filter
LMILinear Matrix Inequality
LQLinear Quadratic
LQGLinear Quadratic Gaussian
LQRLinear Quadratic Regulator
MDHTSMCModified Dual Hierarchical Terminal Sliding Mode Control
MPCModel Predictive Control
MRACModel Reference Adaptive Control
MSEMean Squared Error
MTWSBRModified Two-Wheeled Self-Balancing Robot
MWIPMoving Wheel Inverted Pendulum
NGT2FLCNon-Singleton General Type-2 FLC
NLQGNonlinear Linear Quadratic Gaussian
NMNelder–Mead
PDProportional-Derivative
PD-PIProportional-Derivative Proportional-Integral
PIDProportional-Integral-Derivative
POPeak Overshoot
PPOProximal Policy Optimization
PSOParticle Swarm Optimization
Q-learningQ-Learning Reinforcement Algorithm
ResNet-18Residual Neural Network with 18 Layers
RBFNNRadial Basis Function Neural Network
RMSERoot Mean Squared Error
SDREState-Dependent Riccati Equation
SESensed Environment
SMCSliding Mode Control
TSMCTerminal Sliding Mode Control
STSMCSuper-Twisting Sliding Mode Control
TWIPTwo-Wheeled Inverted Pendulum
TWSBRTwo-Wheeled Self-Balancing Robot
VGG16Visual Geometry Group 16-layer CNN Model
VU-IT1FLCVariable Universe Interval Type-1 Fuzzy Logic Controller
VU-IT2FLCVariable Universe Interval Type-2 Fuzzy Logic Controller

References

  1. Nguyen, V.-T.; Duong, D.-N.; Phan, D.-H.; Bui, T.-L.; HoangVan, X.; Tan, P.-X. Adaptive Nonlinear PD Controller of Two-Wheeled Self-Balancing Robot with External Force. Comput. Mater. Contin. 2024, 81, 2337–2356. [Google Scholar] [CrossRef]
  2. Papadimitriou, K.D.; Murasovs, N.; Giannaccini, M.E.; Aphale, S.S. Genetic Algorithm-based Control of a Two-Wheeled Self-Balancing Robot. J. Intell. Robot. Syst. 2025, 111, 34. [Google Scholar] [CrossRef]
  3. Yan, C.; Li, X. Research on Stability Control System of Two-Wheel Heavy-Load Self-Balancing Vehicles in Complex Terrain. Appl. Sci. 2024, 14, 7682. [Google Scholar] [CrossRef]
  4. Elias, G.H.S. Optimal Control for Two-Wheeled Self-Balancing Robot Based on Butterfly Optimization Algorithm. Int. J. Eng. Technol. 2024, 13, 294–300. [Google Scholar] [CrossRef]
  5. Rubio, F.; Valero, F.; Llopis-Albert, C. A Review of Mobile Robots: Concepts, Methods, Theoretical Framework, and Applications. Int. J. Adv. Robot. Syst. 2019, 16, 1729881419839596. [Google Scholar] [CrossRef]
  6. Zhang, H.; Mohamad Nor, N.; Umar, S.N.H. Modified Dual Hierarchical Terminal Sliding Mode Control Design for Two-Wheeled Self-Balancing Robot. Electronics 2025, 14, 2692. [Google Scholar] [CrossRef]
  7. Zhang, S.; Yao, J.-T.; Wang, Y.-B.; Liu, Z.-S.; Xu, Y.-D.; Zhao, Y.-S. Design and motion analysis of reconfigurable wheel-legged mobile robot. Def. Technol. 2022, 18, 1023–1040. [Google Scholar] [CrossRef]
  8. Guo, Y.; Guo, J.; Liu, L.; Liu, Y.; Leng, J. Bioinspired multimodal soft robot driven by a single dielectric elastomer actuator and two flexible electroadhesive feet. Extrem. Mech. Lett. 2022, 53, 101720. [Google Scholar] [CrossRef]
  9. Khan, M.B.; Chuthong, T.; Do, C.D.; Thor, M.; Billeschou, P.; Larsen, J.C.; Manoonpong, P. iCrawl: An inchworm-inspired crawling robot. IEEE Access 2020, 8, 200655–200668. [Google Scholar] [CrossRef]
  10. Wang, P.; Tang, Q.; Sun, T.; Dong, R. Research on stability of the four-wheeled robot for emergency obstacle avoidance on the slope. Recent Patents Eng. 2021, 15, 127–141. [Google Scholar] [CrossRef]
  11. Olmez, Y.; Koca, G.O.; Akpolat, Z.H. Clonal selection algorithm based control for two-wheeled self-balancing mobile robot. Simul. Model. Pract. Theory 2022, 118, 102552. [Google Scholar] [CrossRef]
  12. Ünker, F. Proportional control moment gyroscope for two-wheeled self-balancing robot. J. Vib. Control 2021, 28, 2310–2318. [Google Scholar] [CrossRef]
  13. Voth, D. Segway to the Future [autonomous mobile robot]. IEEE Intell. Syst. 2005, 20, 5–8. [Google Scholar] [CrossRef]
  14. Delgado-Spíndola, A.; Campa, R.; Bugarin, E.; Soto, I. Design and real-time implementation of a nonlinear regulation controller for the RMP-100 Segway TWIP. Mechatronics 2021, 79, 102668. [Google Scholar] [CrossRef]
  15. Zhao, J.; Cui, X.; Zhu, Y.; Tang, S. A new self-reconfigurable modular robotic system ubot: Multi-mode locomotion and self-reconfiguration. In Proceedings of the 2011 IEEE International Conference on Robotics and Automation, Shanghai, China, 9–13 May 2011; pp. 1020–1025. [Google Scholar] [CrossRef]
  16. Cui, X.; Zhu, Y.; Zhao, J.; Piao, S.; Yang, E. Bio-inspired locomotion control for ubot self-reconfigurable modular robot. In Proceedings of the 2023 International Conference on Control, Automation and Diagnosis (ICCAD), Rome, Italy, 10–12 May 2023; pp. 1–6. [Google Scholar] [CrossRef]
  17. Jamil, O.; Jamil, M.; Ayaz, Y.; Ahmad, K. Modeling, control of a two-wheeled self-balancing robot. In Proceedings of the 2014 International Conference on Robotics and Emerging Allied Technologies in Engineering (iCREATE), Islamabad, Pakistan, 22–24 April 2014; pp. 191–199. [Google Scholar] [CrossRef]
  18. Juang, H.-S.; Lum, K.-Y. Design and control of a two-wheel self-balancing robot using the arduino microcontroller board. In Proceedings of the 2013 10th IEEE International Conference on Control and Automation (ICCA), Hangzhou, China, 12–14 June 2013; pp. 634–639. [Google Scholar] [CrossRef]
  19. Mahler, B.; Haase, J. Mathematical model and control strategy of a two-wheeled self-balancing robot. In Proceedings of the IECON 2013-39th Annual Conference of the IEEE Industrial Electronics Society, Vienna, Austria, 10–13 November 2013; pp. 4198–4203. [Google Scholar]
  20. Uddin, N. Lyapunov-based control system design of two-wheeled robot. In Proceedings of the 2017 International Conference on Computer, Control, Informatics and Its Applications (IC3INA), Jakarta, Indonesia, 23–26 October 2017; pp. 121–125. [Google Scholar] [CrossRef]
  21. Chen, J.; Wang, H. Design of a LEGO NXT two-wheeled self-balanced robot based on inverted pendulum model. Appl. Mech. Mater. 2013, 341–342, 737–742. [Google Scholar] [CrossRef]
  22. Junfeng, W.; Wanying, Z. Research on control method of two-wheeled self-balancing robot. In Proceedings of the 2011 Fourth International Conference on Intelligent Computation Technology and Automation, Shenzhen, China, 28–29 March 2011. [Google Scholar] [CrossRef]
  23. Karam, E.H.; Habeeb, R.; Mjeed, N.M. A new approach in design of sliding mode controller by optimization state feedback for two wheeled self balancing robot. Int. J. Open Inf. Technol. 2020, 8, 39–44. [Google Scholar]
  24. Mudeng, V.; Hassanah, B.; Priyanto, Y.T.K.; Saputra, O. Design and simulation of two-wheeled balancing mobile robot with pid controller. Int. J. Sustain. Transp. Technol. 2020, 3, 12–19. [Google Scholar] [CrossRef]
  25. Goher, K.M.; Tokhi, M.O. A New Configuration of Two-Wheeled Inverted Pendulum: A Lagrangian-Based Mathematical Approach. In Proceedings of the 4th Annual IEEE Systems Conference, San Diego, CA, USA, 5–8 April 2010; pp. 524–528. [Google Scholar] [CrossRef]
  26. Velagić, J.; Kovač, I.; Panjević, A.; Osmanović, A. Design and control of two-wheeled and self-balancing mobile robot. In Proceedings of the 2021 International Symposium ELMAR, Zadar, Croatia, 13–15 September 2021; pp. 77–82. [Google Scholar] [CrossRef]
  27. Iwendi, C.; Alqarni, M.A.; Anajemba, J.H.; Alfakeeh, A.S.; Zhang, Z.; Bashir, A.K. Robust Navigational Control of a Two-Wheeled Self-Balancing Robot in a Sensed Environment. IEEE Access 2019, 7, 82337–82348. [Google Scholar] [CrossRef]
  28. Thanjavur, K.; Rajagopalan, R. Ease of dynamic modelling of wheeled mobile robots (wmrs) using kane’s approach. In Proceedings of the International Conference on Robotics and Automation, Albuquerque, NM, USA, 25 April 1997; Volume 4, pp. 2926–2931. [Google Scholar]
  29. Jeyed, H.A.; Ghaffari, A. A Nonlinear Optimal Control Based on the SDRE Technique for the Two-Wheeled Self-Balancing Robot. Aust. J. Mech. Eng. 2022, 20, 722–730. [Google Scholar] [CrossRef]
  30. Bature, A.A.; Buyamin, S.; Ahmad, M.N.; Muhammad, M. A comparison of controllers for balancing two wheeled inverted pendulum robot. Int. J. Mech. Mechatronics Eng. 2014, 14, 62–68. [Google Scholar]
  31. Rigatos, G.; Busawon, K.; Pomares, J.; Abbaszadeh, M. Nonlinear optimal control for the wheeled inverted pendulum system. Robotica 2020, 38, 29–47. [Google Scholar] [CrossRef]
  32. Pathak, K.; Franch, J.; Agrawal, S.K. Velocity and position control of a wheeled inverted pendulum by partial feedback linearization. IEEE Trans. Robot. 2005, 21, 505–513. [Google Scholar] [CrossRef]
  33. Glushchenko, A.; Lastochkin, K.; Petrov, V. Development of two-wheeled balancing robot optimal control system based on its feedback linearization. In Proceedings of the 2019 International Multi-Conference on Industrial Engineering and Modern Technologies (FarEastCon), Vladivostok, Russia, 1–4 October 2019; pp. 1–6. [Google Scholar] [CrossRef]
  34. Chwa, D. Tracking control of differential-drive wheeled mobile robots using a backstepping-like feedback linearization. IEEE Trans. Syst. Man Cybern.-Part Syst. Humans 2010, 40, 1285–1295. [Google Scholar] [CrossRef]
  35. Wang, F.-C.; Chen, Y.-H.; Wang, Z.-J.; Liu, C.-H.; Lin, P.-C.; Yen, J.-Y. Decoupled multi-loop robust control for a walk-assistance robot employing a two-wheeled inverted pendulum. Machines 2021, 9, 205. [Google Scholar] [CrossRef]
  36. da Silva, A.R.; Sup, F.C. A robotic walker based on a two-wheeled inverted pendulum. J. Intell. Robot. Syst. 2017, 86, 17–34. [Google Scholar] [CrossRef]
  37. Zheng, Z.; Teng, M. Modeling and decoupling control for two-wheeled self-balancing robot. In Proceedings of the 2016 Chinese Control and Decision Conference (CCDC), Yinchuan, China, 28–30 May 2016; pp. 5263–5267. [Google Scholar] [CrossRef]
  38. Sun, W.; Su, S.-F.; Xia, J.; Wu, Y. Adaptive tracking control of wheeled inverted pendulums with periodic disturbances. IEEE Trans. On Cybern. 2018, 50, 1867–1876. [Google Scholar] [CrossRef]
  39. Olfati-Saber, R. Normal forms for underactuated mechanical systems with symmetry. IEEE Trans. Autom. Control. 2002, 47, 305–308. [Google Scholar] [CrossRef]
  40. Olfati-Saber, R. Global configuration stabilization for the vtol aircraft with strong input coupling. IEEE Trans. Autom. Control. 2002, 47, 1949–1952. [Google Scholar] [CrossRef]
  41. Hou, M.; Zhang, X.; Chen, D.; Xu, Z. Hierarchical sliding mode control combined with nonlinear disturbance observer for wheeled inverted pendulum robot trajectory tracking. Appl. Sci. 2023, 13, 4350. [Google Scholar] [CrossRef]
  42. Chiu, C.-H.; Hung, Y.-T.; Peng, Y.-F. Design of a decoupling fuzzy control scheme for omnidirectional inverted pendulum real-world control. IEEE Access 2021, 9, 26083–26092. [Google Scholar] [CrossRef]
  43. Khan, M.A.; Baig, D.E.Z.; Ali, H.; Ashraf, B.; Khan, S.; Wadood, A.; Kamal, T. Efficient system identification of a two-wheeled robot (twr) using feed-forward neural networks. Electronics 2022, 11, 3584. [Google Scholar] [CrossRef]
  44. Uddin, N. System identification of two-wheeled robot dynamics using neural networks. J. Phys. Conf. Ser. 2020, 1577, 012034. [Google Scholar] [CrossRef]
  45. Bozek, P.; Karavaev, Y.L.; Ardentov, A.A.; Yefremov, K.S. Neural network control of a wheeled mobile robot based on optimal trajectories. Int. J. Adv. Robot. Syst. 2020, 17, 1729881420916077. [Google Scholar] [CrossRef]
  46. Chouhan, A.S.; Parhi, D.R.; Chhotray, A. Control and balancing of two-wheeled mobile robots using sugeno fuzzy logic in the domain of ai techniques. In Emerging Trends in Engineering, Science and Manufacturing (ETESM-2018); Indira Gandhi Institute of Technology, Sarang: Odisha, India, 2018. [Google Scholar]
  47. Yu, G.-R.; Leu, Y.-K.; Huang, H.-T. Pso-based fuzzy control of a self-balancing two-wheeled robot. In Proceedings of the 2017 Joint 17th World Congress of International Fuzzy Systems Association and 9th International Conference on Soft Computing and Intelligent Systems (IFSA-SCIS), Otsu, Japan, 27–30 June 2017; pp. 1–5. [Google Scholar] [CrossRef]
  48. Moness, M.; Mahmoud, D.; Hussein, A. Real-time mamdani-like fuzzy and fusion-based fuzzy controllers for balancing two-wheeled inverted pendulum. J. Ambient. Intell. Humaniz. Comput. 2020, 13, 3577–3593. [Google Scholar] [CrossRef]
  49. Xu, J.-X.; Guo, Z.-Q.; Lee, T.H. Design and implementation of a takagi–sugeno-type fuzzy logic controller on a two-wheeled mobile robot. IEEE Trans. Ind. Electron. 2012, 60, 5717–5728. [Google Scholar] [CrossRef]
  50. Gad, O.M.M.; Saleh, S.Z.M.; Bulbul, M.A.; Khadraoui, S. Design and control of two wheeled self balancing robot (twsbr). In Proceedings of the 2022 Advances in Science and Engineering Technology International Conferences (ASET), Dubai, United Arab Emirates, 21–24 February 2022; pp. 1–6. [Google Scholar] [CrossRef]
  51. Paulescu, F.-C.; Szeidert, I.; Filip, I.; Vasar, C. Two-wheeled self-balancing robot. In Proceedings of the 2021 IEEE 15th International Symposium on Applied Computational Intelligence and Informatics (SACI), Timisoara, Romania, 19–21 May 2021; pp. 33–38. [Google Scholar] [CrossRef]
  52. Nikita, T.; Prajwal, K. Pid controller based two wheeled self balancing robot. In Proceedings of the 2021 5th International Conference on Trends in Electronics and Informatics (ICOEI), Tirunelveli, India, 3–5 June 2021; pp. 1–4. [Google Scholar] [CrossRef]
  53. Singh, D.; Padhy, P. Design and tuning of pi λ d μ controller for higher order process using pso-nm. In Proceedings of the 2017 Innovations in Power and Advanced Computing Technologies (i-PACT), Vellore, India, 21–22 April 2017; pp. 1–5. [Google Scholar] [CrossRef]
  54. Zhang, J.; Zhao, T.; Guo, B.; Dian, S. Fuzzy fractional-order pid control for two-wheeled self-balancing robots on inclined road surface. Syst. Sci. Control. Eng. 2022, 10, 289–299. [Google Scholar] [CrossRef]
  55. Azar, A.T.; Ammar, H.H.; Barakat, M.H.; Saleh, M.A.; Abdelwahed, M.A. Self-balancing robot modeling and control using two degree of freedom pid controller. In Proceedings of the International Conference on Advanced Intelligent Systems and Informatics 2018; Springer: Berlin/Heidelberg, Germany, 2019; pp. 64–76. [Google Scholar]
  56. Peash, S.M.; Das, P.; Ghosh, A.; Islam, N.; Tanjid, A.; Oaishi, H.P.; Paul, B.; Islam, M.M. A smart approach to control a two-wheeled self balancing robot using a pid controller with two degree of freedom. In Proceedings of the 5th International Conference on Mechanical, Industrial and Materials Engineering 2022 (ICMIME2022), Rajshahi, Bangladesh, 20–22 December 2022. [Google Scholar]
  57. Thwin, L.M.M.; Chan, Y. Application of lqr control for two-wheel self-balancing robot. J. Myanmar Acad. Arts Sci. 2020, 28, 263–272. [Google Scholar]
  58. Borja, J.; Alvarado, I.; de la Peña, D.M. Low cost two-wheels self-balancing robot for control education powered by stepper motors. IFAC-PapersOnLine 2020, 53, 17518–17523. [Google Scholar] [CrossRef]
  59. Petcu, R.; Andreescu, G.-D. Two-wheeled inverted-pendulum self-balancing robot with lqr or pid control. In Proceedings of the 2022 IEEE 10th Jubilee International Conference on Computational Cybernetics and Cyber-Medical Systems (ICCC), Reykjavík, Iceland, 6–9 July 2022; pp. 000345–000350. [Google Scholar] [CrossRef]
  60. Karthika, B.; Jisha, V. Nonlinear optimal control of a two wheeled self balancing robot. In Proceedings of the 2020 5th IEEE International Conference on Recent Advances and Innovations in Engineering (ICRAIE), Jaipur, India, 1–3 December 2020; pp. 1–6. [Google Scholar] [CrossRef]
  61. Gandarilla, I.; Montoya-Cháirez, J.; Santibáñez, V.; Aguilar-Avelar, C. Moreno-Valenzuela, J. Trajectory tracking control of a self-balancing robot via adaptive neural networks. Eng. Technol. Int. J. 2022, 35, 101259. [Google Scholar] [CrossRef]
  62. Nghia, V.B.V.; Thien, T.V.; Son, N.N.; Long, M.T. Adaptive neural sliding mode control for two wheel self balancing robot. Int. J. Dyn. Control. 2022, 10, 771–784. [Google Scholar] [CrossRef]
  63. Nguyen, D.-M.; Van-Tiem, N.; Nguyen, T.-T. A neural network combined with sliding mode controller for the two-wheel self-balancing robot. IAES Int. J. Artif. Intell. 2021, 10, 592. [Google Scholar] [CrossRef]
  64. Maity, A.; Bhargava, S. Design and implementation of a self-balancing two-wheeled robot driven by a feed-forward backpropagation neural network. Int. Res. J. Eng. Technol. 2020, 7, 3876–3881. [Google Scholar]
  65. Rachmawati, I.D.; Rusimamto, P.W. Perancangan dan implementasi fuzzy logic control untuk pengaturan kestabilan gerak pada two wheels self balancing. J. Tek. Elektro 2020, 9, 717–723. [Google Scholar]
  66. Mai, T.A.; Anisimov, D.; Dang, T.S.; Dinh, V.N. Development of a microcontroller-based adaptive fuzzy controller for a two-wheeled self-balancing robot. Microsyst. Technol. 2018, 24, 3677–3687. [Google Scholar] [CrossRef]
  67. Mai, T.A.; Dang, T.S.; Anisimov, D.; Fedorova, E. Fuzzy-pid controller for two wheels balancing robot based on stm32 microcontroller. In Proceedings of the 2019 International Conference on Engineering Technologies and Computer Science (EnT), Moscow, Russia, 26–27 March 2019; pp. 20–24. [Google Scholar] [CrossRef]
  68. Fathoni, K.; Pratama, A.P.; Salim, N.A.; Sulistyawan, V.N. Implementasi kendali keseimbangan gerak two wheels self balancing robot menggunakan fuzzy logic. J. Tek. Elektro 2021, 13, 89–97. [Google Scholar] [CrossRef]
  69. Bhatti, O.S.; Rizwan, M.; Shiokolas, P.S.; Ali, B. Genetically optimized anfis-based pid controller design for posture-stabilization of self-balancing-robots under depleting battery conditions. J. Control Eng. Appl. Inform. 2019, 21, 22–33. [Google Scholar]
  70. Shi, B.; Xu, S.; Zhao, G. Variable universe type-ii fuzzy logic control design for the googol’s two-wheeled self-balancing robot. In Proceedings of the 2020 Chinese Automation Congress (CAC), Shanghai, China, 6–8 November 2020; pp. 1500–1505. [Google Scholar] [CrossRef]
  71. Zhao, T.; Yu, Q.; Dian, S.; Guo, R.; Li, S. Non-singleton general type-2 fuzzy control for a two-wheeled self-balancing robot. Int. Fuzzy Syst. 2019, 21, 1724–1737. [Google Scholar] [CrossRef]
  72. Binh, N.T.; Tung, N.A.; Nam, D.P.; Quang, N.H. An adaptive backstepping trajectory tracking control of a tractor trailer wheeled mobile robot. Int. J. Control. Autom. Syst. 2019, 17, 465–473. [Google Scholar] [CrossRef]
  73. Hadi, N.H.; Younus, K.K. Path tracking and backstepping control for a wheeled mobile robot (wmr) in a slipping environment. In IOP Conference Series: Materials Science and Engineering; IOP Publishing: Bristol, UK, 2020; Volume 671, p. 012005. [Google Scholar]
  74. Tsai, C.-C.; Ju, S.-Y.; Hsieh, S.-M. Trajectory tracking of a self-balancing two-wheeled robot using backstepping sliding-mode control and fuzzy basis function networks. In Proceedings of the 2010 IEEE/RSJ International Conference on Intelligent Robots and Systems, Taipei, Taiwan, 18–22 October 2010; pp. 3943–3948. [Google Scholar]
  75. Thao, N.G.M.; Dat, M.T.; Nghia, D.H.; Phuc, N.H. Nonlinear controllers for two-wheeled self-balancing robot. In Proceedings of the ASEAN Symposium on Automatic Control 2011 (ASAC 2011), Ho Chi Minh City, Vietnam, 8–9 November 2011; pp. 8–13. [Google Scholar]
  76. Ruan, X.; Cai, J. Fuzzy backstepping controllers for two-wheeled self-balancing robot. In Proceedings of the 2009 International Asia Conference on Informatics in Control, Automation and Robotics, Bangkok, Thailand, 1–2 February 2009; pp. 166–169. [Google Scholar] [CrossRef]
  77. Tsai, C.-C.; Li, Y.-X.; Tai, F.-C. Backstepping sliding-mode leader-follower consensus formation control of uncertain networked heterogeneous nonholonomic wheeled mobile multirobots. In Proceedings of the 2017 56th Annual Conference of the Society of Instrument and Control Engineers of Japan (SICE), Kanazawa, Japan, 19–22 September 2017; pp. 1407–1412. [Google Scholar] [CrossRef]
  78. Ahmad, E.; Rehman, A.u.; Khan, O.; Haseeb, M.; Ali, N. Backstepping control design for two-wheeled self balancing robot. In Proceedings of the 2018 1st International Conference on Power, Energy and Smart Grid (ICPESG), Mirpur Azad Kashmir, Pakistan, 9–10 April 2018; pp. 1–6. [Google Scholar]
  79. Chen, J.-X.; He, N.; He, L. Adaptive double fuzzy anti-integral saturation pid control for self-balancing robot with reaction wheel. In Proceedings of the 2022 IEEE 17th International Conference on Control & Automation (ICCA), Naples, Italy, 27–30 June 2022; pp. 56–61. [Google Scholar]
  80. Cho, B.; Bang, R. A PD Sliding Mode Controller for Two-Wheeled Self-Balancing Robot. J. Sci. Technol.-Tech. Univ. 2011, 83B, 60–66. [Google Scholar]
  81. Tian, J.; Ding, J.; Tai, Y.; Ma, Z. Control of different-axis two-wheeled self-balancing vehicles. IEEE Access 2020, 8, 158839–158851. [Google Scholar] [CrossRef]
  82. Zheng, Y.; Zhao, H.; He, C. Nash game-based adaptive robust control design optimization for the underactuated mechanical system with fuzzy evidence theory. Optim. Control. Appl. Methods 2023, 44, 1251–1277. [Google Scholar] [CrossRef]
  83. Su, Y.; Wang, T.; Zhang, K.; Yao, C.; Wang, Z. Adaptive nonlinear control algorithm for a self-balancing robot. IEEE Access 2019, 8, 3751–3760. [Google Scholar] [CrossRef]
  84. Chen, L.; Wang, H.; Huang, Y.; Ping, Z.; Yu, M.; Zheng, X.; Ye, M.; Hu, Y. Robust hierarchical sliding mode control of a two-wheeled self-balancing vehicle using perturbation estimation. Mech. Syst. Signal Process. 2020, 139, 106584. [Google Scholar] [CrossRef]
  85. Lin, S.-C.; Tsai, C.-C.; Huang, H.-C. Nonlinear adaptive sliding-mode control design for two-wheeled human transportation vehicle. In Proceedings of the 2009 IEEE International Conference on Systems, Man and Cybernetics, San Antonio, TX, USA, 11–14 October 2009; pp. 1965–1970. [Google Scholar]
  86. Pang, H.; Liu, M.; Hu, C.; Zhang, F. Adaptive sliding mode attitude control of two-wheel mobile robot with an integrated learning-based rbfnn approach. Neural Comput. Appl. 2022, 34, 14959–14969. [Google Scholar] [CrossRef]
  87. Song, Y.; Guo, L.; Xing, B. Cascade sliding mode and rbf network self-adaption controller design for a two-wheeled robot. In Proceedings of the 2016 IEEE International Conference on Information and Automation (ICIA), Ningbo, China, 1–3 August 2016; pp. 1659–1663. [Google Scholar]
  88. Yue, M.; Wei, X.; Li, Z. Adaptive sliding-mode control for two-wheeled inverted pendulum vehicle based on zero-dynamics theory. Nonlinear Dyn. 2014, 76, 459–471. [Google Scholar] [CrossRef]
  89. Trentin, J.F.S.; Santos, D.A. Predefined-time global sliding mode control design for a 3d pendulum. Nonlinear Dyn. 2022, 109, 1693–1704. [Google Scholar] [CrossRef]
  90. Arani, M.S.; Orimi, H.E.; Xie, W.-F.; Hong, H. Sliding mode control design of a two-wheel inverted pendulum robot: Simulation, design and experiments. In Advances in Motion Sensing and Control for Robotic Applications: Selected Papers from the Symposium on Mechatronics, Robotics, and Control (SMRC’18)-CSME International Congress 2018, Toronto, Canada, 27–30 May 2018; Springer: Berlin/Heidelberg, Germany, 2019; pp. 93–107. [Google Scholar]
  91. Ghahremani, A.; Khalaji, A.K. Simultaneous regulation and velocity tracking control of a two-wheeled self-balancing robot. In Proceedings of the 2023 International Conference on Control, Automation and Diagnosis (ICCAD), Rome, Italy, 10–12 May 2023; pp. 1–6. [Google Scholar]
  92. Irfan, S.; Mehmood, A.; Razzaq, M.T.; Iqbal, J. Advanced sliding mode control techniques for inverted pendulum: Modelling and simulation. Eng. Sci. Technol. Int. J. 2018, 21, 753–759. [Google Scholar] [CrossRef]
  93. Xu, J.-X.; Guo, Z.-Q.; Lee, T.H. Design and implementation of integral sliding-mode control on an underactuated two-wheeled mobile robot. IEEE Trans. Ind. Electron. 2013, 61, 3671–3681. [Google Scholar] [CrossRef]
  94. Huang, J.; Zhang, M.; Ri, S.; Xiong, C.; Li, Z.; Kang, Y. High-order disturbance-observer-based sliding mode control for mobile wheeled inverted pendulum systems. IEEE Trans. Ind. Electron. 2019, 67, 2030–2041. [Google Scholar] [CrossRef]
  95. Yetayew, T.T.; Tesfaye, D.G. Genetic algorithm tuned super twisted sliding mode controller (stsmc) for self-balancing control of a two-wheel electric scooter. In Advances of Science and Technology: 9th EAI International Conference, ICAST 2021, Hybrid Event, Bahir Dar, Ethiopia, 27–29 August 2021; Proceedings, Part I; Springer: Berlin/Heidelberg, Germany, 2022; pp. 269–287. [Google Scholar]
  96. Xue, H.; Fang, Q.; Zhong, J.; Shao, Z.P. Time-delayed fractional order adaptive sliding mode control for two-wheel self-balancing vehicles. Comput. Intell. Neurosci. 2020, 2020, 4529131. [Google Scholar] [CrossRef] [PubMed]
  97. Zheng, N.; Zhang, Y.; Guo, Y.; Zhang, X. Hierarchical fast terminal sliding mode control for a self-balancing two-wheeled robot on uneven terrains. In Proceedings of the 2017 36th Chinese Control Conference (CCC), Dalian, China, 26–28 July 2017; pp. 4762–4767. [Google Scholar]
  98. Hazem, Z.B.; Fotuhi, M.J.; Bingül, Z. Development of a fuzzy-lqr and fuzzy-lqg stability control for a double link rotary inverted pendulum. J. Frankl. Inst. 2020, 357, 10529–10556. [Google Scholar] [CrossRef]
  99. Khatoon, S.; Chaturvedi, D.K.; Hasan, N.; Istiyaque, M. Optimal controller design for two wheel mobile robot. In Proceedings of the 2018 3rd International Innovative Applications of Computational Intelligence on Power, Energy and Controls with Their Impact on Humanity (CIPECH), Ghaziabad, India, 1–2 November 2018; pp. 1–5. [Google Scholar] [CrossRef]
  100. Azimi, M.M.; Koofigar, H.R. Model predictive control for a two wheeled self balancing robot. In Proceedings of the 2013 First RSI/ISM International Conference on Robotics and Mechatronics (ICRoM), Tehran, Iran, 13–15 February 2013; pp. 152–157. [Google Scholar] [CrossRef]
  101. Zad, H.S.; Ulasyar, A.; Zohaib, A.; Hussain, S.S. Optimal controller design for self-balancing two-wheeled robot system. In Proceedings of the 2016 International Conference on Frontiers of Information Technology (FIT), Islamabad, Pakistan, 19–21 December 2016; pp. 11–16. [Google Scholar] [CrossRef]
  102. Mohammed, I.K.; Noaman, M.N. Optimal control approach for robot system using lqg technique. J. Eur. Des Syst. Autom. 2022, 55, 671. [Google Scholar] [CrossRef]
  103. Sengupta, I.; Gupta, S.; Deb, D.; Ozana, S. Dynamic stability of an electric monowheel system using lqg-based adaptive control. Appl. Sci. 2021, 11, 9766. [Google Scholar] [CrossRef]
  104. Tahir, N.M.; Muhammad, M.; Idi, M.; Buyamin, S.; Maijama’a, L.; Yarima, S.I.M. Comparative analysis of observer-based lqr and lmi controllers of an inverted pendulum. Bull. Electr. Eng. Inform. 2020, 9, 2244–2252. [Google Scholar] [CrossRef]
  105. Sasaki, M.; Tochigi, H.; Njeri, W.; Hayashi, H.; Muguro, J.; Matsushita, K.; Ngetha, H. Robust posture tracking control of stable coaxial two-wheeled agv using the approximate inverse system and LMI. J. Appl. Sci. Eng. Technol. Dev. 2020, 6, 24–42. [Google Scholar]
  106. He, T.; Chen, X.; Zhu, G.G. A dual-loop robust control scheme with performance separation: Theory and experimental validation. IEEE Trans. Ind. Electron. 2022, 69, 13483–13493. [Google Scholar] [CrossRef]
  107. Guo, L.; Rizvi, S.A.A.; Lin, Z. Optimal control of a two-wheeled self-balancing robot by reinforcement learning. Int. J. Robust Nonlinear Control. 2021, 31, 1885–1904. [Google Scholar] [CrossRef]
  108. Sinaei, K.; Yazdi, M. Pid controller tuning with deep reinforcement learning policy gradient methods. In Proceedings of the 29th Intermational Conference of Iranian Society of Mechanical Engineers & 8th Conference on Thermal Power Plants, Tehran, Iran, 25–27 May 2021; pp. 25–27. [Google Scholar]
  109. Li, C.-H.G.; Zhou, L.-P. Training end-to-end steering of a self-balancing mobile robot based on rgb-d image and deep convNet. In Proceedings of the 2020 IEEE/ASME International Conference on Advanced Intelligent Mechatronics (AIM), Boston, MA, USA, 6–9 July 2020; pp. 898–903. [Google Scholar]
  110. Li, C.-H.G.; Zhou, L.-P.; Chao, Y.-H. Self-balancing two-wheeled robot featuring intelligent end-to-end deep visual-steering. IEEE/ASME Trans. Mechatronics 2020, 26, 2263–2273. [Google Scholar] [CrossRef]
  111. Kötz, L.; Almgren, J. Control and Camera-Based State Estimation Using Machine Vision and Machine Learning—A Comparison Study in IMU-Replacing Neural Networks on a Wheeled Inverted Pendulum System. Master’s Thesis, Chalmers University of Technology, Gothenburg, Sweden, 2023. [Google Scholar]
  112. Unluturk, A.; Aydogdu, O. Machine learning based self-balancing and motion control of the underactuated mobile inverted pendulum with variable load. IEEE Access 2022, 10, 104706–104718. [Google Scholar] [CrossRef]
  113. Krishna, G.S.; Sumith, D.; Akshay, G. Epersist: A two-wheeled self balancing robot using pid controller and deep reinforcement learning. In Proceedings of the 2022 22nd International Conference on Control, Automation and Systems (ICCAS), Jeju, Republic of Korea, 27 November–1 December 2022; pp. 1488–1492. [Google Scholar]
  114. Qian, Q.; Wu, J.; Wang, Z. Dynamic balance control of two-wheeled self-balancing pendulum robot based on adaptive machine learning. Int. J. Wavelets Multiresolut. Inf. Process. 2020, 18, 1941002. [Google Scholar] [CrossRef]
  115. Hsu, C.-F.; Su, C.-T.; Kao, W.-F.; Lee, B.-K. Vision-based line-following control of a two-wheel self-balancing robot. In Proceedings of the 2018 International Conference on Machine Learning and Cybernetics (ICMLC), Chengdu, China, 15–18 July 2018; Volume 1, pp. 319–324. [Google Scholar]
  116. Ataç, E.; Yıldız, K.; Ülkü, E.E. Use of pid control during education in reinforcement learning on two wheel balance robot. Gazi Univ. J. Sci. Part C Des. Technol. 2021, 9, 597–607. [Google Scholar] [CrossRef]
  117. Rahman, M.M.; Rashid, S.H.; Hossain, M. Implementation of q learning and deep q network for controlling a self balancing robot model. Robot. Biomimetics 2018, 5, 8. [Google Scholar] [CrossRef]
  118. Farias, G.; Garcia, G.; Montenegro, G.; Fabregas, E.; Dormido-Canto, S.; Dormido, S. Reinforcement learning for position control problem of a mobile robot. IEEE Access 2020, 8, 152941–152951. [Google Scholar] [CrossRef]
  119. Zhu, X.; Deng, Y.; Zheng, X.; Zheng, Q.; Liang, B.; Liu, Y. Online reinforcement-learning-based adaptive terminal sliding mode control for disturbed bicycle robots on a curved pavement. Electronics 2022, 11, 3495. [Google Scholar] [CrossRef]
  120. Srichandan, A.; Dhingra, J.; Hota, M.K. An improved q-learning approach with kalman filter for self-balancing robot using openai. J. Control Autom. Electr. Syst. 2021, 32, 1521–1530. [Google Scholar] [CrossRef]
  121. Jmel, I.; Dimassi, H.; Hadj Said, S.; M’Sahli, F. Adaptive observer-based output feedback control for two-wheeled self-balancing robot. Math. Probl. Eng. 2020, 2020, 5162172. [Google Scholar] [CrossRef]
  122. Jmel, I.; Dimassi, H.; Hadj-Said, S.; M’Sahli, F. Adaptive observer-based sliding mode control for a two-wheeled self-balancing robot under terrain inclination and disturbances. Math. Probl. Eng. 2021, 2021, 8853441. [Google Scholar] [CrossRef]
  123. Jmel, I.; Dimassi, H.; Hadj-Said, S.; Msahli, F. An adaptive observer for two wheeled self-balancing robot with a varying center of mass. In Proceedings of the 2019 19th International Conference on Sciences and Techniques of Automatic Control and Computer Engineering (STA), Sousse, Tunisia, 24–26 March 2019; pp. 467–472. [Google Scholar] [CrossRef]
  124. Faheem, F.; Anwaar, H.; Zahid, S.; Waseem, H.; Gondal, R.M.; Sarfraz, M. Fractional order controller design for self-balancing two-wheeled robot and performance comparison using different optimization techniques. In Proceedings of the 2022 International Conference on Electrical Engineering and Sustainable Technologies (ICEEST), Lahore, Pakistan, 14–15 December 2022; pp. 1–8. [Google Scholar] [CrossRef]
  125. Kien, V.N.; Duy, N.T.; Du, D.H.; Huy, N.P.; Quang, N.H. Robust optimal controller for two-wheel self-balancing vehicles using particle swarm optimization. Int. J. Mech. Eng. Robot. Res. 2023, 12, 16–22. [Google Scholar] [CrossRef]
  126. Jithendra, R.; Mija, S. Pso-super twisting smc for balancing the twip using lego ev3 model. In Proceedings of the 2023 4th International Conference for Emerging Technology (INCET), Belgaum, India, 26–28 May 2023; pp. 1–7. [Google Scholar] [CrossRef]
  127. Mohsin, H.H.; Aldair, A.A.; Al-Hussaibi, W.A. Optimal proportional integral derivative controller for two-wheeled self-balanced mobile robots based on particle swarm algorithm. Univ. Thi-Qar J. Eng. Sci. 2022, 12, 63–69. [Google Scholar] [CrossRef]
  128. Yang, S.; Pang, H.; Liu, L.; Zheng, L.; Wang, L.; Liu, M. A RISE-based asymptotic prescribed performance trajectory tracking control of two-wheeled self-balancing mobile robot. Nonlinear Dyn. 2024, 112, 15327–15348. [Google Scholar] [CrossRef]
  129. Alayasrah, M.M.; Al-Qaisi, A.; Sharkas, M. Dual Loop Control for a Two-Wheeled Balancing Robot. In Proceedings of the 2005 International Conference on Mechatronics, Istanbul, Turkey, 20–23 September 2005; pp. 237–242. [Google Scholar]
  130. Ruan, X.; Chen, J. On-line NNAC for two-wheeled self-balancing robot based on feedback-error-learning. In Proceedings of the 2010 2nd International Workshop on Intelligent Systems and Applications (ISA), Wuhan, China, 22–23 May 2010; pp. 1–4. [Google Scholar] [CrossRef]
  131. Zhao, J.; Li, J.; Zhou, J. Research on two-round self-balancing robot slam based on the gmapping algorithm. Sensors 2023, 23, 2489. [Google Scholar] [CrossRef] [PubMed]
Figure 1. TWSBRs.
Figure 1. TWSBRs.
Robotics 14 00101 g001
Figure 2. Structural diagram of a TWSBR.
Figure 2. Structural diagram of a TWSBR.
Robotics 14 00101 g002
Figure 3. Schematic diagram of a TWSBR.
Figure 3. Schematic diagram of a TWSBR.
Robotics 14 00101 g003
Figure 4. The decoupling process of the TWIP system. (a) Feedback control system of TWIP. (b) Block diagram with a decoupling matrix. (c) Combined system with a decoupling matrix.
Figure 4. The decoupling process of the TWIP system. (a) Feedback control system of TWIP. (b) Block diagram with a decoupling matrix. (c) Combined system with a decoupling matrix.
Robotics 14 00101 g004
Figure 5. Decoupling of the MWIP model.
Figure 5. Decoupling of the MWIP model.
Robotics 14 00101 g005
Figure 6. The neural network of three layers.
Figure 6. The neural network of three layers.
Robotics 14 00101 g006
Figure 7. The development of control theory.
Figure 7. The development of control theory.
Robotics 14 00101 g007
Figure 8. Detailed control classification.
Figure 8. Detailed control classification.
Robotics 14 00101 g008
Figure 9. The PID parallel form control of TWSBR.
Figure 9. The PID parallel form control of TWSBR.
Robotics 14 00101 g009
Figure 10. The PID cascade form control of TWSBR.
Figure 10. The PID cascade form control of TWSBR.
Robotics 14 00101 g010
Figure 11. Two-degrees-of-freedom control algorithms.
Figure 11. Two-degrees-of-freedom control algorithms.
Robotics 14 00101 g011
Figure 12. LQR control.
Figure 12. LQR control.
Robotics 14 00101 g012
Figure 13. Neural network-based control architecture.
Figure 13. Neural network-based control architecture.
Robotics 14 00101 g013
Figure 14. Backstepping control for TWSBR.
Figure 14. Backstepping control for TWSBR.
Robotics 14 00101 g014
Figure 15. The observer control.
Figure 15. The observer control.
Robotics 14 00101 g015
Figure 16. Radar chart comparing various control strategies for two-wheeled self-balancing robots (TWSBRs) across five key evaluation dimensions: complexity, robustness, adaptability, model dependency, and real-time feasibility.
Figure 16. Radar chart comparing various control strategies for two-wheeled self-balancing robots (TWSBRs) across five key evaluation dimensions: complexity, robustness, adaptability, model dependency, and real-time feasibility.
Robotics 14 00101 g016
Table 1. Comparison of adaptive control strategies for TWSBRs.
Table 1. Comparison of adaptive control strategies for TWSBRs.
No.AuthorsYearMethodInputOutputAdapt. Param.Remarks/HW
1Zheng et al. [82]2023Nash game τ r , τ l β , x m , α v ^ No HW; compensates system uncertainty
2Su et al. [83]2019Adapt. control U L , U R x ˙ W , θ ˙ , δ ˙ X ^ k | k NVIDIA TX2; handles CG shifts
3Chen et al. [84]2020HSMC u p , u y X ˙ R M , θ ˙ p , θ ˙ y f ^ 1 , f ^ 2 MCU; PE-based disturbance rejection
4Lin et al. [85]2009HSMC C l , C r X ˙ R M , θ ˙ p , θ ˙ y K ^ ˙ 1 , K ^ ˙ 0 , δ ^ ˙ DSP-TMS320; PE technique used
5Pang et al. [86]2022MPLM + RBFNNu θ f ^ No HW; reduces dithering, improves accuracy
6Song et al. [87]2018Cascade SMC + RBF τ r , τ l q 1 , q 2 , q 3 g ^ No HW; RBF for model uncertainties
7Yue et al. [88]2014SMC T W , T V ϕ , v , θ α ^ ˙ No HW; online mechanical parameter tuning
Table 2. Summary of AI-based control strategies for TWSBRs, categorized by learning paradigm.
Table 2. Summary of AI-based control strategies for TWSBRs, categorized by learning paradigm.
No.AuthorsYearLearning ArchitectureHardwarePlatformRemarksKey Feature
Reinforcement Learning (RL)
1Emrah et al. [116]2021Q-learningSTM32F4NoTraining time reduced by 60%Efficient convergence
2Rahman et al. [117]2018DQNNoNoRequires hyperparameter tuningDeep RL implementation
3Guo et al. [107]2021Q-learningNoNoFeedback RL solving LQRRL-based optimal control
4Farias et al. [118]2020Q-learningNoNoImproved with more iterationsIterative policy refinement
5Sinaei et al. [108]2021A2C, PPONoNoAutomatic tuning of PIDModel-free PID tuning
6Zhu et al. [119]2022PPONoNoOnline TSMC tuning via GDRL-tuned sliding mode
7Srichandan et al. [120]2021Q-learning + KFNoNoKalman filter improves estimationState estimation enhancement
Deep Learning (DL)
8Li et al. [109]2020CNNNoi7-7700HQ, GTX1050RGB-D environment understandingVisual perception
9Li et al. [110]2020ResNet-18Arduino Unoi7-7700HQ, GTX1050Depth image based ConvNet for steeringImage-based control
10Kotz et al. [111]2023VGG16, MobileNetV2Raspberry Pi 3RTX A2000State estimation via vision+RLVision-integrated RL
Machine Learning (ML)
11Unluturk et al. [112]2022ANNSTM32F103C8T6NoLean angle improvement up to 55%ANN-based stabilization
Table 3. Comparison of common control strategies for TWSBRs.
Table 3. Comparison of common control strategies for TWSBRs.
Control StrategyComplexityRobustnessAdaptabilityModel DependencyReal-Time FeasibilityTypical Applications
PIDLowLowLowHighExcellentBasic balance and low-speed tasks
FOPIDMediumMediumMediumHighGoodImproved control with flexibility
LQRMediumMediumLowHighExcellentOptimal control with known model
Fuzzy LogicMediumHighHighLowGoodUncertain environments
Neural NetworksHighHighHighLowPoorLearning-based control
SMCMediumHighMediumMediumGoodRobust tracking, disturbance rejection
MPCHighHighHighHighMediumConstrained optimal control
LMIHighHighLowHighMediumTheoretical guarantees
Reinforcement LearningHighHighVery HighLowPoorAutonomous adaptive control
Table 4. Control strategy recommendation based on typical TWSBR application contexts.
Table 4. Control strategy recommendation based on typical TWSBR application contexts.
Application ScenarioPID/LQRSMC/MPCAdaptive/FuzzyRL/DL
Structured environment, low cost
Dynamic tasks, nonlinear model
Strong disturbances
Limited computational resources
High adaptability required
Learning-based perception tasks
Disclaimer/Publisher’s Note: The statements, opinions and data contained in all publications are solely those of the individual author(s) and contributor(s) and not of MDPI and/or the editor(s). MDPI and/or the editor(s) disclaim responsibility for any injury to people or property resulting from any ideas, methods, instructions or products referred to in the content.

Share and Cite

MDPI and ACS Style

Zhang, H.; Mohamad Nor, N. Control Strategies for Two-Wheeled Self-Balancing Robotic Systems: A Comprehensive Review. Robotics 2025, 14, 101. https://doi.org/10.3390/robotics14080101

AMA Style

Zhang H, Mohamad Nor N. Control Strategies for Two-Wheeled Self-Balancing Robotic Systems: A Comprehensive Review. Robotics. 2025; 14(8):101. https://doi.org/10.3390/robotics14080101

Chicago/Turabian Style

Zhang, Huaqiang, and Norzalilah Mohamad Nor. 2025. "Control Strategies for Two-Wheeled Self-Balancing Robotic Systems: A Comprehensive Review" Robotics 14, no. 8: 101. https://doi.org/10.3390/robotics14080101

APA Style

Zhang, H., & Mohamad Nor, N. (2025). Control Strategies for Two-Wheeled Self-Balancing Robotic Systems: A Comprehensive Review. Robotics, 14(8), 101. https://doi.org/10.3390/robotics14080101

Note that from the first issue of 2016, this journal uses article numbers instead of page numbers. See further details here.

Article Metrics

Back to TopTop