Minimum-Energy Trajectory Planning for an Underactuated Serial Planar Manipulator
Abstract
1. Introduction
2. Dynamic Model
3. Minimum-Energy Planning
3.1. Requirement of the Trajectory
3.2. Objective Function
3.3. Optimal Control Problem
4. Results
4.1. Experimental Setup
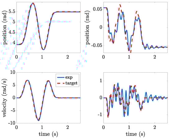
4.2. Test Case I
4.3. Test Case II
5. Conclusions
Author Contributions
Funding
Data Availability Statement
Acknowledgments
Conflicts of Interest
References
- Sachs, J.D.; Schmidt-Traub, G.; Mazzucato, M.; Messner, D.; Nakicenovic, N.; Rockström, J. Six transformations to achieve the sustainable development goals. Nat. Sustain. 2019, 2, 805–814. [Google Scholar] [CrossRef]
- Gonzalez-Torres, M.; Bertoldi, P.; Castellazzi, L.; Pérez-Lombard, L. Review of EU product energy efficiency policies: What have we achieved in 40 years? J. Clean. Prod. 2023, 421, 138442. [Google Scholar] [CrossRef]
- Carabin, G.; Wehrle, E.; Vidoni, R. A review on energy-saving optimization methods for robotic and automatic systems. Robotics 2017, 6, 39. [Google Scholar] [CrossRef]
- Hehenberger, P.; Habib, M.; Bradley, D. EcoMechatronics; Springer: Berlin/Heidelberg, Germany, 2023. [Google Scholar]
- Kroll, L.; Blau, P.; Wabner, M.; Frieß, U.; Eulitz, J.; Klärner, M. Lightweight components for energy-efficient machine tools. CIRP J. Manuf. Sci. Technol. 2011, 4, 148–160. [Google Scholar] [CrossRef]
- Meoni, F.; Carricato, M. Optimal selection of the motor-reducer unit in servo-controlled machinery: A continuous approach. Mechatronics 2018, 56, 132–145. [Google Scholar] [CrossRef]
- Boscariol, P.; Richiedei, D. Energy optimal design of servo-actuated systems: A concurrent approach based on scaling rules. Renew. Sustain. Energy Rev. 2022, 156, 111923. [Google Scholar] [CrossRef]
- Pasch, K.A.; Seering, W. On the drive systems for high-performance machines. J. Mech. Trans. Autom. Des. 1984, 106, 102–108. [Google Scholar] [CrossRef]
- Barreto, J.P.; Schöler, F.J.F.; Corves, B. The concept of natural motion for pick and place operations. In Proceedings of the New Advances in Mechanisms, Mechanical Transmissions and Robotics: Proceedings of The Joint International Conference of the XII International Conference on Mechanisms and Mechanical Transmissions (MTM) and the XXIII International Conference on Robotics (Robotics’ 16), Aachen, Germany, 26–27 October 2016; Springer: Berlin/Heidelberg, Germany, 2017; pp. 89–98. [Google Scholar]
- Scalera, L.; Palomba, I.; Wehrle, E.; Gasparetto, A.; Vidoni, R. Natural motion for energy saving in robotic and mechatronic systems. Appl. Sci. 2019, 9, 3516. [Google Scholar] [CrossRef]
- Palomba, I.; Wehrle, E.; Carabin, G.; Vidoni, R. Minimization of the energy consumption in industrial robots through regenerative drives and optimally designed compliant elements. Appl. Sci. 2020, 10, 7475. [Google Scholar] [CrossRef]
- Bettega, J.; Richiedei, D.; Tamellin, I.; Trevisani, A. Reducing energy consumption and driving torque in an underactuated robotic arm through natural motion. In Proceedings of the International Workshop IFToMM for Sustainable Development Goals, Bilbao, Spain, 22–23 June 2023; Springer: Berlin/Heidelberg, Germany, 2023; pp. 89–96. [Google Scholar]
- Bruzzone, L.; Verotti, M.; Fanghella, P. Natural Motion of the RR-4R-R Manipulator: Effects of Trajectory Types and Parameters. In Proceedings of the International Workshop IFToMM for Sustainable Development Goals, Lamezia Terme, Italy, 9–11 June 2025; Springer: Berlin/Heidelberg, Germany, 2025; pp. 238–245. [Google Scholar]
- Richiedei, D.; Trevisani, A. Optimization of the energy consumption through spring balancing of servo-actuated mechanisms. J. Mech. Des. 2020, 142, 012301. [Google Scholar] [CrossRef]
- Scalera, L.; Carabin, G.; Vidoni, R.; Wongratanaphisan, T. Energy efficiency in a 4-DOF parallel robot featuring compliant elements. Int. J. Mech. Control 2019, 20, 49–57. [Google Scholar]
- Biagiotti, L.; Melchiorri, C. Trajectory Planning for Automatic Machines and Robots; Springer Science & Business Media: Berlin/Heidelberg, Germany, 2008. [Google Scholar]
- Richiedei, D.; Trevisani, A. Analytical computation of the energy-efficient optimal planning in rest-to-rest motion of constant inertia systems. Mechatronics 2016, 39, 147–159. [Google Scholar] [CrossRef]
- Carabin, G.; Vidoni, R. Energy-saving optimization method for point-to-point trajectories planned via standard primitives in 1-DoF mechatronic systems. Int. J. Adv. Manuf. Technol. 2021, 116, 331–344. [Google Scholar] [CrossRef]
- Van Oosterwyck, N.; Vanbecelaere, F.; Knaepkens, F.; Monte, M.; Stockman, K.; Cuyt, A.; Derammelaere, S. Energy optimal point-to-point motion profile optimization. Mech. Based Des. Struct. Mach. 2024, 52, 239–256. [Google Scholar] [CrossRef]
- Abe, A. An effective trajectory planning method for simultaneously suppressing residual vibration and energy consumption of flexible structures. Case Stud. Mech. Syst. Signal Process. 2016, 4, 19–27. [Google Scholar] [CrossRef]
- Von Stryk, O.; Bulirsch, R. Direct and indirect methods for trajectory optimization. Ann. Oper. Res. 1992, 37, 357–373. [Google Scholar] [CrossRef]
- Dona’, D.; Lenzo, B.; Rosati, G. Planning real-time energy efficient trajectories for a two degrees of freedom balanced serial manipulator. In Proceedings of the International Workshop IFToMM for Sustainable Development Goals, Bilbao, Spain, 22–23 June 2023; Springer: Berlin/Heidelberg, Germany, 2023; pp. 81–88. [Google Scholar]
- Dona’, D.; Lenzo, B.; Boscariol, P.; Rosati, G. A mixed direct/indirect method for generating energy-efficient motion laws for an inverted pendulum. In Proceedings of the IFToMM World Congress on Mechanism and Machine Science, Tokyo, Japan, 5–10 November 2023; Springer: Berlin/Heidelberg, Germany, 2023; pp. 322–331. [Google Scholar]
- De Luca, A.; Book, W.J. Robots with flexible elements. In Springer Handbook of Robotics; Springer: Berlin/Heidelberg, Germany, 2016; pp. 243–282. [Google Scholar]
- Lu, B.; Fang, Y.; Sun, N. Sliding mode control for underactuated overhead cranes suffering from both matched and unmatched disturbances. Mechatronics 2017, 47, 116–125. [Google Scholar] [CrossRef]
- Piva, G.; Richiedei, D.; Trevisani, A. Model inversion for trajectory control of reconfigurable underactuated cable-driven parallel robots. Nonlinear Dyn. 2025, 113, 8697–8712. [Google Scholar] [CrossRef]
- Siciliano, B.; Sciavicco, L.; Villani, L.; Oriolo, G. Robotics: Modelling, Planning and Control; Springer: Berlin/Heidelberg, Germany, 2009; Volume 0, pp. 1–623. [Google Scholar]
- Liberzon, D. Calculus of Variations and Optimal Control Theory: A Concise Introduction; Princeton University Press: Princeton, NJ, USA, 2011. [Google Scholar]
- Bryson, A.E. Applied Optimal Control: Optimization, Estimation and Control; Routledge: London, UK, 2018. [Google Scholar]
- Gillis, J.; Vandewal, B.; Pipeleers, G.; Swevers, J. Effortless modeling of optimal control problems with rockit. In Proceedings of the 39th Benelux Meeting on Systems and Control, Elspeet, The Netherlands, 10–12 March 2020. [Google Scholar]
- Singhose, W. Command shaping for flexible systems: A review of the first 50 years. Int. J. Precis. Eng. Manuf. 2009, 10, 153–168. [Google Scholar] [CrossRef]
- Boscariol, P.; Richiedei, D.; Tamellin, I. Residual vibration suppression in uncertain systems: A robust structural modification approach to trajectory planning. Robot. Comput.-Integr. Manuf. 2022, 74, 102282. [Google Scholar] [CrossRef]
- Singhose, W.; Ooten Biediger, E.; Chen, Y.H.; Mills, B. Reference command shaping using specified-negative-amplitude input shapers for vibration reduction. J. Dyn. Sys. Meas. Control 2004, 126, 210–214. [Google Scholar] [CrossRef][Green Version]
- Vaughan, J.; Yano, A.; Singhose, W. Comparison of robust input shapers. J. Sound Vib. 2008, 315, 797–815. [Google Scholar] [CrossRef]














| Parameter | Unit | Value |
|---|---|---|
| kg | ||
| kg | ||
| kg | ||
| m | ||
| m | ||
| m | ||
| m | ||
| kg m2 | ||
| kg m2 | ||
| kg m2 | ||
| Nms/rad | ||
| Nms/rad | ||
| Nm | ||
| Nm | ||
| Nm/rad | ||
| H | ||
| Nm/A |
| Quantity | Unit | Test-Case I | Test-Case II |
|---|---|---|---|
| rad | |||
| rad | |||
| s |
| Trajectory Type | Energy Consumption (J) | Oscillations (rad) |
|---|---|---|
| optimal | ||
| ZV | ||
| ZVD | ||
| NZV | ||
| NZVD |
| Trajectory Type | Energy Consumption (J) | Peak Oscillation (rad) |
|---|---|---|
| optimal | ||
| ZV | ||
| ZVD | ||
| NZV | ||
| NZVD |
Disclaimer/Publisher’s Note: The statements, opinions and data contained in all publications are solely those of the individual author(s) and contributor(s) and not of MDPI and/or the editor(s). MDPI and/or the editor(s) disclaim responsibility for any injury to people or property resulting from any ideas, methods, instructions or products referred to in the content. |
© 2025 by the authors. Licensee MDPI, Basel, Switzerland. This article is an open access article distributed under the terms and conditions of the Creative Commons Attribution (CC BY) license (https://creativecommons.org/licenses/by/4.0/).
Share and Cite
Dona’, D.; Bettega, J.; Tamellin, I.; Boscariol, P.; Caracciolo, R. Minimum-Energy Trajectory Planning for an Underactuated Serial Planar Manipulator. Robotics 2025, 14, 98. https://doi.org/10.3390/robotics14070098
Dona’ D, Bettega J, Tamellin I, Boscariol P, Caracciolo R. Minimum-Energy Trajectory Planning for an Underactuated Serial Planar Manipulator. Robotics. 2025; 14(7):98. https://doi.org/10.3390/robotics14070098
Chicago/Turabian StyleDona’, Domenico, Jason Bettega, Iacopo Tamellin, Paolo Boscariol, and Roberto Caracciolo. 2025. "Minimum-Energy Trajectory Planning for an Underactuated Serial Planar Manipulator" Robotics 14, no. 7: 98. https://doi.org/10.3390/robotics14070098
APA StyleDona’, D., Bettega, J., Tamellin, I., Boscariol, P., & Caracciolo, R. (2025). Minimum-Energy Trajectory Planning for an Underactuated Serial Planar Manipulator. Robotics, 14(7), 98. https://doi.org/10.3390/robotics14070098

