Sign in to use this feature.

Years

Between: -

Subjects

remove_circle_outline
remove_circle_outline
remove_circle_outline
remove_circle_outline

Journals

Article Types

Countries / Regions

Search Results (18)

Search Parameters:
Keywords = thiazolidine-2,4-dione derivatives

Order results
Result details
Results per page
Select all
Export citation of selected articles as:
26 pages, 6425 KB  
Review
Review of Recent Advances in Thiazolidin-4-One Derivatives as Promising Antitubercular Agents (2021–Present)
by Wiktoria Drzał and Nazar Trotsko
Molecules 2025, 30(10), 2201; https://doi.org/10.3390/molecules30102201 - 17 May 2025
Cited by 7 | Viewed by 2497
Abstract
Tuberculosis (TB) remains one of the leading causes of mortality worldwide, exacerbated by the emergence of multidrug-resistant (MDR) and extensively drug-resistant (XDR) Mycobacterium tuberculosis strains. In the pursuit of novel therapeutic strategies, thiazolidin-4-one derivatives have gained significant attention due to their structural diversity [...] Read more.
Tuberculosis (TB) remains one of the leading causes of mortality worldwide, exacerbated by the emergence of multidrug-resistant (MDR) and extensively drug-resistant (XDR) Mycobacterium tuberculosis strains. In the pursuit of novel therapeutic strategies, thiazolidin-4-one derivatives have gained significant attention due to their structural diversity and broad-spectrum biological activities. This review provides a comprehensive summary of recent advances (2021–present) in the synthesis, structure–activity relationship (SAR), and mechanisms of action of thiazolidin-4-one derivatives as promising antitubercular agents. A detailed discussion of synthetic pathways is presented, including classical and multi-component reactions leading to various subclasses such as thiazolidine-2,4-diones, rhodanines, and pseudothiohydantoins. The SAR analysis highlights key functional groups that enhance antimycobacterial activity, such as halogen substitutions and heterocyclic linkers, while molecular docking and in vitro studies elucidate interactions with key Mtb targets including InhA, MmpL3, and DNA gyrase. Several compounds demonstrate potent inhibitory effects with MIC values lower than or comparable to first-line TB drugs, alongside favorable cytotoxicity profiles. These findings underscore the potential of thiazolidin-4-one scaffolds as a valuable platform for the development of next-generation antitubercular therapeutics. Full article
(This article belongs to the Special Issue Design, Synthesis, and Analysis of Potential Drugs, 3rd Edition)
Show Figures

Graphical abstract

40 pages, 4858 KB  
Article
Design, Synthesis, and Characterization of Novel Thiazolidine-2,4-Dione-Acridine Hybrids as Antitumor Agents
by Monika Garberová, Zuzana Kudličková, Radka Michalková, Monika Tvrdoňová, Danica Sabolová, Slávka Bekešová, Michal Gramblička, Ján Mojžiš and Mária Vilková
Molecules 2024, 29(14), 3387; https://doi.org/10.3390/molecules29143387 - 18 Jul 2024
Cited by 5 | Viewed by 4089
Abstract
This study focuses on the synthesis and structural characterization of new compounds that integrate thiazolidine-2,4-dione, acridine moiety, and an acetamide linker, aiming to leverage the synergistic effects of these pharmacophores for enhanced therapeutic potential. The newly designed molecules were efficiently synthesized through a [...] Read more.
This study focuses on the synthesis and structural characterization of new compounds that integrate thiazolidine-2,4-dione, acridine moiety, and an acetamide linker, aiming to leverage the synergistic effects of these pharmacophores for enhanced therapeutic potential. The newly designed molecules were efficiently synthesized through a multi-step process and subsequently transformed into their hydrochloride salts. Comprehensive spectroscopic techniques, including nuclear magnetic resonance (NMR), high-resolution mass spectrometry (HRMS), infrared (IR) spectroscopy, and elemental analysis, were employed to determine the molecular structures of the synthesized compounds. Biological evaluations were conducted to assess the therapeutic potential of the new compounds. The influence of these derivatives on the metabolic activity of various cancer cell lines was assessed, with IC50 values determined via MTT assays. An in-depth analysis of the structure–activity relationship (SAR) revealed intriguing insights into their cytotoxic profiles. Compounds with electron-withdrawing groups generally exhibited lower IC50 values, indicating higher potency. The presence of the methoxy group at the linking phenyl ring modulated both the potency and selectivity of the compounds. The variation in the acridine core at the nitrogen atom of the thiazolidine-2,4-dione core significantly affects the activity against cancer cell lines, with the acridin-9-yl substituent enhancing the compounds’ antiproliferative activity. Furthermore, compounds in their hydrochloride salt forms demonstrated better activity against cancer cell lines compared to their free base forms. Compounds 12c·2HCl (IC50 = 5.4 ± 2.4 μM), 13d (IC50 = 4.9 ± 2.9 μM), and 12f·2HCl (IC50 = 4.98 ± 2.9 μM) demonstrated excellent activity against the HCT116 cancer cell line, and compound 7d·2HCl (IC50 = 4.55 ± 0.35 μM) demonstrated excellent activity against the HeLa cancer cell line. Notably, only a few tested compounds, including 7e·2HCl (IC50 = 11.00 ± 2.2 μM), 7f (IC50 = 11.54 ± 2.06 μM), and 7f·2HCl (IC50 = 9.82 ± 1.92 μM), showed activity against pancreatic PATU cells. This type of cancer has a very high mortality due to asymptomatic early stages, the occurrence of metastases, and frequent resistance to chemotherapy. Four derivatives, namely, 7e·2HCl, 12d·2HCl, 13c·HCl, and 13d, were tested for their interaction properties with BSA using fluorescence spectroscopic studies. The values for the quenching constant (Ksv) ranged from 9.59 × 104 to 10.74 × 104 M−1, indicating a good affinity to the BSA protein. Full article
Show Figures

Figure 1

23 pages, 4390 KB  
Article
Synthesis of Nitrostyrylthiazolidine-2,4-dione Derivatives Displaying Antileishmanial Potential
by Omar Khoumeri, Sébastien Hutter, Nicolas Primas, Caroline Castera-Ducros, Sandra Carvalho, Susan Wyllie, Mohamed Lotfi Efrit, Dimitri Fayolle, Marc Since, Patrice Vanelle, Pierre Verhaeghe, Nadine Azas and Hussein El-Kashef
Pharmaceuticals 2024, 17(7), 878; https://doi.org/10.3390/ph17070878 - 3 Jul 2024
Cited by 1 | Viewed by 2182
Abstract
A series of 61 thiazolidine-2,4-diones bearing a styryl group at position 5 was synthesized in 2–5 steps and their structure was proved by elemental and spectral analyses. The compounds obtained were evaluated in vitro against the promastigote stage of the kinetoplastid parasite Leishmania [...] Read more.
A series of 61 thiazolidine-2,4-diones bearing a styryl group at position 5 was synthesized in 2–5 steps and their structure was proved by elemental and spectral analyses. The compounds obtained were evaluated in vitro against the promastigote stage of the kinetoplastid parasite Leishmania infantum and the human HepG2 cell line, to determine selectivity indices and to compare their activities with those of antileishmanial reference drugs. The study of structure–activity relationships indicated the potential of some derivatives bearing a nitro group on the phenyl ring, especially when located at the meta position. Thus, among the tested series, compound 14c appeared as a hit compound with good antileishmanial activity (EC50 = 7 µM) and low cytotoxicity against both the hepatic HepG2 and macrophage THP-1 human cell lines (CC50 = 101 and 121 µM, respectively), leading to good selectivity indices (respectively, 14 and 17), in comparison with the reference antileishmanial drug compound miltefosine (EC50 = 3.3 µM, CC50 = 85 and 30 µM, SI = 26 and 9). Regarding its mechanism of action, among several possibilities, it was demonstrated that compound 14c is a prodrug bioactivated, predominantly by L. donovani nitroreductase 1, likely leading to the formation of cytotoxic metabolites that form covalent adducts in the parasite. Finally, compound 14c is lipophilic (measured CHI LogD7.7 = 2.85) but remains soluble in water (measured PBS solubility at pH7.4 = 16 µM), highlighting the antileishmanial potential of the nitrostyrylthiazolidine-2,4-dione scaffold. Full article
(This article belongs to the Special Issue Pyrazole and Thiazole Derivatives in Medicinal Chemistry)
Show Figures

Graphical abstract

29 pages, 4979 KB  
Article
Synthesis and Biological Evaluation of a Series of New Hybrid Amide Derivatives of Triazole and Thiazolidine-2,4-dione
by Igor B. Levshin, Alexander Yu. Simonov, Alexey A. Panov, Natalia E. Grammatikova, Alexander I. Alexandrov, Eslam S. M. O. Ghazy, Vasiliy A. Ivlev, Michael O. Agaphonov, Alexey B. Mantsyzov and Vladimir I. Polshakov
Pharmaceuticals 2024, 17(6), 723; https://doi.org/10.3390/ph17060723 - 3 Jun 2024
Cited by 4 | Viewed by 2984
Abstract
A series of hybrid compounds with triazole and thiazolidine nuclei connected by a linker has been synthesized and extensively studied. Various synthetic methods for the target compounds have been tested. A microbiological assessment of the obtained compounds was carried out on strains of [...] Read more.
A series of hybrid compounds with triazole and thiazolidine nuclei connected by a linker has been synthesized and extensively studied. Various synthetic methods for the target compounds have been tested. A microbiological assessment of the obtained compounds was carried out on strains of pathogenic fungi C. albicans, C. non-albicans, multidrug-resistant C. auris, Rhizopus arrhizus, Aspergillus spp. and some dermatophytes and other yeasts. The lowest obtained MIC values for target compounds lie between 0.003 µg/mL and 0.5 µg/mL and therefore the compounds are not inferior or several times better than commercial azole drugs. The length of the acylpiperazine linker has a limited effect on antifungal activity. Some bioisosteric analogues were tested in microbiological analysis, but turned out to be weaker than the leader in activity. The highest activity was demonstrated by a compound with para-chlorobenzylidene substituent in the thiazolidine fragment. Molecular modelling was used to predict binding modes of synthesized molecules and rationalize experimentally observed SAR. The leader compound is twice more effective in inhibiting the formation of germ tubes by Candida albicans yeast cells compared to voriconazole. An increased level of Pdr5, an azoles drug efflux pump was observed, but the increase is lower than that caused by azoles. The results can be useful for further development of more powerful and safe antifungal agents. Full article
(This article belongs to the Section Medicinal Chemistry)
Show Figures

Figure 1

26 pages, 6047 KB  
Article
Computer-Aided Strategy on 5-(Substituted benzylidene) Thiazolidine-2,4-Diones to Develop New and Potent PTP1B Inhibitors: QSAR Modeling, Molecular Docking, Molecular Dynamics, PASS Predictions, and DFT Investigations
by Nour-El Houda Derki, Aicha Kerassa, Salah Belaidi, Maroua Derki, Imane Yamari, Abdelouahid Samadi and Samir Chtita
Molecules 2024, 29(4), 822; https://doi.org/10.3390/molecules29040822 - 10 Feb 2024
Cited by 5 | Viewed by 2947
Abstract
A set of 5-(substituted benzylidene) thiazolidine-2,4-dione derivatives was explored to study the main structural requirement for the design of protein tyrosine phosphatase 1B (PTP1B) inhibitors. Utilizing multiple linear regression (MLR) analysis, we constructed a robust quantitative structure–activity relationship (QSAR) model to predict inhibitory [...] Read more.
A set of 5-(substituted benzylidene) thiazolidine-2,4-dione derivatives was explored to study the main structural requirement for the design of protein tyrosine phosphatase 1B (PTP1B) inhibitors. Utilizing multiple linear regression (MLR) analysis, we constructed a robust quantitative structure–activity relationship (QSAR) model to predict inhibitory activity, resulting in a noteworthy correlation coefficient (R2) of 0.942. Rigorous cross-validation using the leave-one-out (LOO) technique and statistical parameter calculations affirmed the model’s reliability, with the QSAR analysis revealing 10 distinct structural patterns influencing PTP1B inhibitory activity. Compound 7e(ref) emerged as the optimal scaffold for drug design. Seven new PTP1B inhibitors were designed based on the QSAR model, followed by molecular docking studies to predict interactions and identify structural features. Pharmacokinetics properties were assessed through drug-likeness and ADMET studies. After that density functional theory (DFT) was conducted to assess the stability and reactivity of potential diabetes mellitus drug candidates. The subsequent dynamic simulation phase provided additional insights into stability and interactions dynamics of the top-ranked compound 11c. This comprehensive approach enhances our understanding of potential drug candidates for treating diabetes mellitus. Full article
(This article belongs to the Section Computational and Theoretical Chemistry)
Show Figures

Figure 1

13 pages, 4153 KB  
Article
In Vitro and In Vivo Biological Evaluation of Indole-thiazolidine-2,4-dione Derivatives as Tyrosinase Inhibitors
by Li Lu, Chunmei Hu, Xiaofeng Min, Zhong Liu, Xuetao Xu and Lishe Gan
Molecules 2023, 28(22), 7470; https://doi.org/10.3390/molecules28227470 - 7 Nov 2023
Cited by 15 | Viewed by 2183
Abstract
Tyrosinase is an important rate-limiting enzyme in melanin biosynthesis. To find potential tyrosinase inhibitors with anti-melanogenic activity, a series of indole-thiazolidine-2,4-dione derivatives 5a~5z were synthesized by incorporating indole with thiazolidine-2,4-dione into one compound and assayed for their biological activities. All compounds [...] Read more.
Tyrosinase is an important rate-limiting enzyme in melanin biosynthesis. To find potential tyrosinase inhibitors with anti-melanogenic activity, a series of indole-thiazolidine-2,4-dione derivatives 5a~5z were synthesized by incorporating indole with thiazolidine-2,4-dione into one compound and assayed for their biological activities. All compounds displayed tyrosinase inhibitory activities and 5w had the highest anti-tyrosinase inhibitory activity with an IC50 value of 11.2 μM. Inhibition kinetics revealed 5w as a mixed-type tyrosinase inhibitor. Fluorescence quenching results indicated that 5w quenched tyrosinase fluorescence in a static process. CD spectra and 3D fluorescence spectra results suggested that the binding of 5w with tyrosinase could change the conformation and microenvironment of tyrosinase. Molecular docking also represented the binding between 5w and tyrosinase. Moreover, 5w could inhibit tyrosinase activity and melanogenesis both in B16F10 cells and the zebrafish model. Therefore, compound 5w could serve as a tyrosinase inhibitor with anti-melanogenic activity. Full article
(This article belongs to the Section Natural Products Chemistry)
Show Figures

Figure 1

17 pages, 2744 KB  
Article
Novel TDP1 Inhibitors: Disubstituted Thiazolidine-2,4-Diones Containing Monoterpene Moieties
by Dmitry I. Ivankin, Tatyana E. Kornienko, Marina A. Mikhailova, Nadezhda S. Dyrkheeva, Alexandra L. Zakharenko, Chigozie Achara, Jóhannes Reynisson, Victor M. Golyshev, Olga A. Luzina, Konstantin P. Volcho, Nariman F. Salakhutdinov and Olga I. Lavrik
Int. J. Mol. Sci. 2023, 24(4), 3834; https://doi.org/10.3390/ijms24043834 - 14 Feb 2023
Cited by 5 | Viewed by 3307
Abstract
Tyrosyl-DNA-phosphodiesterase 1 (TDP1) is a promising target for antitumor therapy; the use of TDP1 inhibitors with a topoisomerase 1 poison such as topotecan is a potential combination therapy. In this work, a novel series of 3,5-disubstituted thiazolidine-2,4-diones was synthesized and tested against TDP1. [...] Read more.
Tyrosyl-DNA-phosphodiesterase 1 (TDP1) is a promising target for antitumor therapy; the use of TDP1 inhibitors with a topoisomerase 1 poison such as topotecan is a potential combination therapy. In this work, a novel series of 3,5-disubstituted thiazolidine-2,4-diones was synthesized and tested against TDP1. The screening revealed some active compounds with IC50 values less than 5 μM. Interestingly, compounds 20d and 21d were the most active, with IC50 values in the submicromolar concentration range. None of the compounds showed cytotoxicity against HCT-116 (colon carcinoma) and MRC-5 (human lung fibroblasts) cell lines in the 1–100 μM concentration range. Finally, this class of compounds did not sensitize cancer cells to the cytotoxic effect of topotecan. Full article
Show Figures

Figure 1

40 pages, 4430 KB  
Review
Thiazolidin-2,4-Dione Scaffold: An Insight into Recent Advances as Antimicrobial, Antioxidant, and Hypoglycemic Agents
by Harsh Kumar, Navidha Aggarwal, Minakshi Gupta Marwaha, Aakash Deep, Hitesh Chopra, Mohammed M. Matin, Arpita Roy, Talha Bin Emran, Yugal Kishore Mohanta, Ramzan Ahmed, Tapan Kumar Mohanta, Muthupandian Saravanan, Rakesh Kumar Marwaha and Ahmed Al-Harrasi
Molecules 2022, 27(19), 6763; https://doi.org/10.3390/molecules27196763 - 10 Oct 2022
Cited by 45 | Viewed by 8105
Abstract
Heterocyclic compounds containing nitrogen and sulfur, especially those in the thiazole family, have generated special interest in terms of their synthetic chemistry, which is attributable to their ubiquitous existence in pharmacologically dynamic natural products and also as overwhelmingly powerful agrochemicals and pharmaceuticals. The [...] Read more.
Heterocyclic compounds containing nitrogen and sulfur, especially those in the thiazole family, have generated special interest in terms of their synthetic chemistry, which is attributable to their ubiquitous existence in pharmacologically dynamic natural products and also as overwhelmingly powerful agrochemicals and pharmaceuticals. The thiazolidin-2,4-dione (TZD) moiety plays a central role in the biological functioning of several essential molecules. The availability of substitutions at the third and fifth positions of the Thiazolidin-2,4-dione (TZD) scaffold makes it a highly utilized and versatile moiety that exhibits a wide range of biological activities. TZD analogues exhibit their hypoglycemic activity by improving insulin resistance through PPAR-γ receptor activation, their antimicrobial action by inhibiting cytoplasmic Mur ligases, and their antioxidant action by scavenging reactive oxygen species (ROS). In this manuscript, an effort has been made to review the research on TZD derivatives as potential antimicrobial, antioxidant, and antihyperglycemic agents from the period from 2010 to the present date, along with their molecular mechanisms and the information on patents granted to TZD analogues. Full article
Show Figures

Figure 1

7 pages, 2560 KB  
Short Note
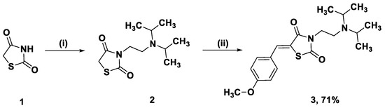
3-(2-Diisopropylaminoethyl)-5-(4-methoxybenzylidene)thiazolidine-2,4-dione
by Serhii Holota, Ihor Yushyn, Andrzej Gzella and Roman Lesyk
Molbank 2022, 2022(3), M1394; https://doi.org/10.3390/M1394 - 24 Jun 2022
Viewed by 2738
Abstract
Thiazolidine-2,4-dione core is widely used in the medicinal chemistry of different types of potential drug-like small molecules. In the present work, the synthesis of a novel non-condensed thiazolidine-2,4-dione-bearing derivative is reported by the two-step cost-effective approach including alkylation and Knoevenagel condensation. The structure [...] Read more.
Thiazolidine-2,4-dione core is widely used in the medicinal chemistry of different types of potential drug-like small molecules. In the present work, the synthesis of a novel non-condensed thiazolidine-2,4-dione-bearing derivative is reported by the two-step cost-effective approach including alkylation and Knoevenagel condensation. The structure of the synthesized 3-(2-diisopropylaminoethyl)-5-(4-methoxybenzylidene)thiazolidine-2,4-dione was determined and characterized using 1H, 13C NMR, LC-MS spectra and the X-ray diffraction method. Full article
Show Figures

Graphical abstract

23 pages, 3297 KB  
Article
Antifungal Thiazolidines: Synthesis and Biological Evaluation of Mycosidine Congeners
by Igor B. Levshin, Alexander Y. Simonov, Sergey N. Lavrenov, Alexey A. Panov, Natalia E. Grammatikova, Alexander A. Alexandrov, Eslam S. M. O. Ghazy, Nikita A. Savin, Peter V. Gorelkin, Alexander S. Erofeev and Vladimir I. Polshakov
Pharmaceuticals 2022, 15(5), 563; https://doi.org/10.3390/ph15050563 - 1 May 2022
Cited by 25 | Viewed by 5101
Abstract
Novel derivatives of Mycosidine (3,5-substituted thiazolidine-2,4-diones) are synthesized by Knoevenagel condensation and reactions of thiazolidines with chloroformates or halo-acetic acid esters. Furthermore, 5-Arylidene-2,4-thiazolidinediones and their 2-thioxo analogs containing halogen and hydroxy groups or di(benzyloxy) substituents in 5-benzylidene moiety are tested for antifungal activity [...] Read more.
Novel derivatives of Mycosidine (3,5-substituted thiazolidine-2,4-diones) are synthesized by Knoevenagel condensation and reactions of thiazolidines with chloroformates or halo-acetic acid esters. Furthermore, 5-Arylidene-2,4-thiazolidinediones and their 2-thioxo analogs containing halogen and hydroxy groups or di(benzyloxy) substituents in 5-benzylidene moiety are tested for antifungal activity in vitro. Some of the synthesized compounds exhibit high antifungal activity, both fungistatic and fungicidal, and lead to morphological changes in the Candida yeast cell wall. Based on the use of limited proteomic screening and toxicity analysis in mutants, we show that Mycosidine activity is associated with glucose transport. This suggests that this first-in-class antifungal drug has a novel mechanism of action that deserves further study. Full article
(This article belongs to the Topic Compounds with Medicinal Value)
Show Figures

Graphical abstract

23 pages, 10217 KB  
Article
Design, Molecular Docking, Synthesis, Anticancer and Anti-Hyperglycemic Assessments of Thiazolidine-2,4-diones Bearing Sulfonylthiourea Moieties as Potent VEGFR-2 Inhibitors and PPARγ Agonists
by Mohamed A. Abdelgawad, Khaled El-Adl, Sanadelaslam S. A. El-Hddad, Mostafa M. Elhady, Nashwa M. Saleh, Mohamed M. Khalifa, Fathalla Khedr, Mohamed Alswah, AbdElAziz A. Nayl, Mohammed M. Ghoneim and Nour E. A. Abd El-Sattar
Pharmaceuticals 2022, 15(2), 226; https://doi.org/10.3390/ph15020226 - 14 Feb 2022
Cited by 50 | Viewed by 4391
Abstract
Newly designed thiazolidine-2,4-diones 37ac were synthesized, and their anticancer activities were screened against three cancer lines. They showed potent activities against HepG2 compared to the other HCT116 and MCF-7 tumor cell lines. Compounds 7c and 6c were detected as [...] Read more.
Newly designed thiazolidine-2,4-diones 37ac were synthesized, and their anticancer activities were screened against three cancer lines. They showed potent activities against HepG2 compared to the other HCT116 and MCF-7 tumor cell lines. Compounds 7c and 6c were detected as highly effective derivatives against MCF-7 (IC50 = 7.78 and 8.15 µM), HCT116 (IC50 = 5.77 and 7.11 µM) and HepG2 (IC50 = 8.82 and 8.99 µM). The highly effective derivatives 6ac and 7ac were tested against VERO normal cell lines. All derivatives were evaluated for their VEGFR-2 inhibitory actions and demonstrated high to low activities, with IC50 values varying from 0.08 to 0.93 µM. Moreover, derivatives 5ac, 6ac and 7ac were assessed to verify their in vitro binding affinities to PPARγ and insulin-secreting activities. Finally, docking studies were performed to explore their affinities and binding modes toward both VEGFR-2 and PPARγ receptors. Full article
(This article belongs to the Special Issue Heterocyclic Compounds and Their Application in Therapy)
Show Figures

Figure 1

13 pages, 29693 KB  
Article
Corrosion Inhibition Properties of Thiazolidinedione Derivatives for Copper in 3.5 wt.% NaCl Medium
by Hassane Lgaz, Sourav Kr. Saha, Han-seung Lee, Namhyun Kang, Fatima Zahra Thari, Khalid Karrouchi, Rachid Salghi, Khalid Bougrin and Ismat Hassan Ali
Metals 2021, 11(11), 1861; https://doi.org/10.3390/met11111861 - 19 Nov 2021
Cited by 16 | Viewed by 3828
Abstract
Copper is the third-most-produced metal globally due to its exceptional mechanical and thermal properties, among others. However, it suffers serious dissolution issues when exposed to corrosive mediums. Herein, two thiazolidinedione derivatives, namely, (Z)-5-(4-methylbenzylidene)thiazolidine-2,4-dione (MTZD) and (Z)-3-allyl-5-(4-methylbenzylidene)thiazolidine-2,4-dione (ATZD), were synthesized [...] Read more.
Copper is the third-most-produced metal globally due to its exceptional mechanical and thermal properties, among others. However, it suffers serious dissolution issues when exposed to corrosive mediums. Herein, two thiazolidinedione derivatives, namely, (Z)-5-(4-methylbenzylidene)thiazolidine-2,4-dione (MTZD) and (Z)-3-allyl-5-(4-methylbenzylidene)thiazolidine-2,4-dione (ATZD), were synthesized and applied for corrosion protection of copper in 3.5 wt.% NaCl medium. The corrosion inhibition performance of tested compounds was evaluated at different experimental conditions using electrochemical impedance spectroscopy (EIS), potentiodynamic polarization curves (PPC) and atomic force microscopy (AFM). EIS results revealed that the addition of studied inhibitors limited the dissolution of copper in NaCl solution, leading to a high polarization resistance compared with the blank solution. In addition, PPC suggested that tested compounds had a mixed-type effect, decreasing anodic and cathodic corrosion reactions. Moreover, surface characterization by AFM indicated a significant decrease in surface roughness of copper after the addition of inhibitors. Outcomes from the present study suggest that ATZD (IE% = 96%) outperforms MTZD (IE% = 90%) slightly, due to the presence of additional –C3H5 unit (–CH2–CH = CH2) in the molecular scaffold of MTZD. Full article
(This article belongs to the Special Issue Surface Coating with Organic-Inorganic Hybrid Materials on Metals)
Show Figures

Figure 1

17 pages, 813 KB  
Article
Synthesis and Antimicrobial Activity of a New Series of Thiazolidine-2,4-diones Carboxamide and Amino Acid Derivatives
by Rakia Abd Alhameed, Zainab Almarhoon, Sarah I. Bukhari, Ayman El-Faham, Beatriz G. de la Torre and Fernando Albericio
Molecules 2020, 25(1), 105; https://doi.org/10.3390/molecules25010105 - 27 Dec 2019
Cited by 24 | Viewed by 5230
Abstract
Novel thiazolidine-2,4-dione carboxamide and amino acid derivatives were synthesized in excellent yield using OxymaPure/N,N′-diisopropylcarbodimide coupling methodology and were characterized by chromatographic and spectrometric methods, and elemental analysis. The antimicrobial and antifungal activity of these derivatives was evaluated against two Gram-positive bacteria [...] Read more.
Novel thiazolidine-2,4-dione carboxamide and amino acid derivatives were synthesized in excellent yield using OxymaPure/N,N′-diisopropylcarbodimide coupling methodology and were characterized by chromatographic and spectrometric methods, and elemental analysis. The antimicrobial and antifungal activity of these derivatives was evaluated against two Gram-positive bacteria (Staphylococcus aureus and Bacillus subtilis), two-Gram negative bacteria (Escherichia coli and Pseudomonas aeruginosa), and one fungal isolate (Candida albicans). Interestingly, several samples demonstrated weak to moderate antibacterial activity against Gram-negative bacteria, as well as antifungal activity. However, only one compound namely, 2-(5-(3-methoxybenzylidene)-2,4-dioxothiazolidin-3-yl)acetic acid, showed antibacterial activity against Gram-positive bacteria, particularly S. aureus. Full article
(This article belongs to the Collection Heterocyclic Compounds)
Show Figures

Graphical abstract

19 pages, 729 KB  
Article
New Phenolic Derivatives of Thiazolidine-2,4-dione with Antioxidant and Antiradical Properties: Synthesis, Characterization, In Vitro Evaluation, and Quantum Studies
by Gabriel Marc, Anca Stana, Smaranda Dafina Oniga, Adrian Pîrnău, Laurian Vlase and Ovidiu Oniga
Molecules 2019, 24(11), 2060; https://doi.org/10.3390/molecules24112060 - 30 May 2019
Cited by 47 | Viewed by 5734
Abstract
Oxidative stress has been incriminated in the physiopathology of many diseases, such as diabetes, cancer, atherosclerosis, and cardiovascular and neurodegenerative diseases. There is a great interest in developing new antioxidants that could be useful for preventing and treating conditions for which oxidative stress [...] Read more.
Oxidative stress has been incriminated in the physiopathology of many diseases, such as diabetes, cancer, atherosclerosis, and cardiovascular and neurodegenerative diseases. There is a great interest in developing new antioxidants that could be useful for preventing and treating conditions for which oxidative stress is suggested as the root cause. The thiazolidine-2,4-dione derivatives have been reported to possess various pharmacological activities and the phenol moiety is known as a pharmacophore in many naturally occurring and synthetic antioxidants. Twelve new phenolic derivatives of thiazolidine-2,4-dione were synthesized and physicochemically characterized. The antioxidant capacity of the synthesized compounds was assessed through several in vitro antiradical, electron transfer, and Fe2+ chelation assays. The top polyphenolic compounds 5f and 5l acted as potent antiradical and electron donors, with activity comparable to the reference antioxidants used. The ferrous ion chelation capacity of the newly synthesized compounds was modest. Several quantum descriptors were calculated in order to evaluate their influence on the antioxidant and antiradical properties of the compounds and the chemoselectivity of the radical generation reactions has been evaluated. The correlation with the energetic level of the frontier orbitals partially explained the antioxidant activity, whereas a better correlation was found while evaluating the O–H bond dissociation energy of the phenolic groups. Full article
Show Figures

Graphical abstract

18 pages, 3535 KB  
Article
5-Arylidene(chromenyl-methylene)-thiazolidinediones: Potential New Agents against Mutant Oncoproteins K-Ras, N-Ras and B-Raf in Colorectal Cancer and Melanoma
by Cristina Nastasă, Radu Tamaian, Ovidiu Oniga and Brîndușa Tiperciuc
Medicina 2019, 55(4), 85; https://doi.org/10.3390/medicina55040085 - 31 Mar 2019
Cited by 24 | Viewed by 3851
Abstract
Background and objectives: Cancer represents the miscommunication between and within the body cells. The mutations of the oncogenes encoding the MAPK pathways play an important role in the development of tumoral diseases. The mutations of KRAS and BRAF oncogenes are involved in colorectal [...] Read more.
Background and objectives: Cancer represents the miscommunication between and within the body cells. The mutations of the oncogenes encoding the MAPK pathways play an important role in the development of tumoral diseases. The mutations of KRAS and BRAF oncogenes are involved in colorectal cancer and melanoma, while the NRAS mutations are associated with melanoma. Thiazolidine-2,4-dione is a versatile scaffold in medicinal chemistry and a useful tool in the development of new antitumoral compounds. The aim of our study was to predict the pharmacokinetic/pharmacodynamic properties, the drug-likeness and lead-likeness of two series of synthetic 5-arylidene(chromenyl-methylene)-thiazolidinediones, the molecular docking on the oncoproteins K-Ras, N-Ras and B-Raf, and to investigate the cytotoxicity of the compounds, in order to select the best structural profile for potential anticancer agents. Materials and Methods: In our paper we studied the cytotoxicity of two series of thiazolidine-2,4-dione derivatives, their ADME-Tox properties and the molecular docking on a mutant protein of K-Ras, two isoforms of N-Ras and an isoform of B-Raf with 16 mutations. Results: The heterocyclic compounds strongly interact with K-Ras and N-Ras right after their posttranslational processing and/or compete with GDP for the nucleotide-binding site of the two GTPases. They are less active against the GDP-bound states of the two targets. All derivatives have a similar binding pattern in the active site of B-Raf. Conclusions: The data obtained encourage the further investigation of the 5-arylidene(chromenyl-methylene)-thiazolidinediones as potential new agents against the oncoproteins K-Ras, N-Ras and B-Raf. Full article
Show Figures

Graphical abstract

Back to TopTop