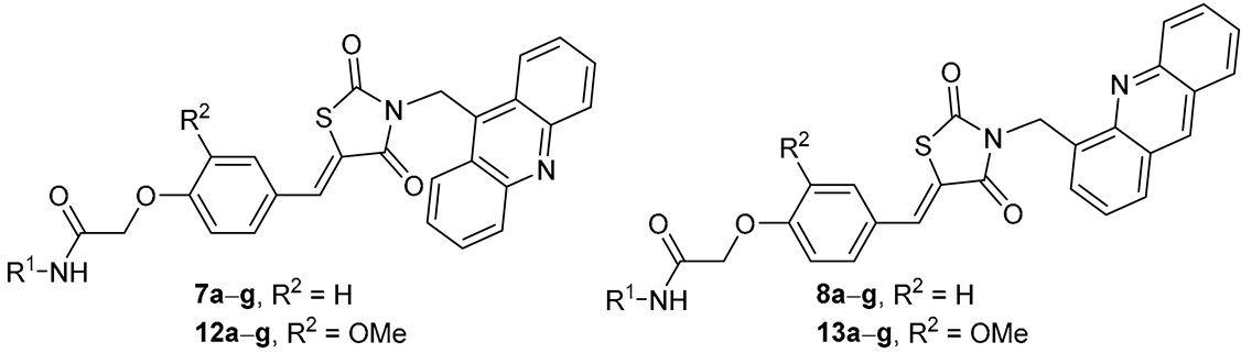
Abstract
This study focuses on the synthesis and structural characterization of new compounds that integrate thiazolidine-2,4-dione, acridine moiety, and an acetamide linker, aiming to leverage the synergistic effects of these pharmacophores for enhanced therapeutic potential. The newly designed molecules were efficiently synthesized through a multi-step process and subsequently transformed into their hydrochloride salts. Comprehensive spectroscopic techniques, including nuclear magnetic resonance (NMR), high-resolution mass spectrometry (HRMS), infrared (IR) spectroscopy, and elemental analysis, were employed to determine the molecular structures of the synthesized compounds. Biological evaluations were conducted to assess the therapeutic potential of the new compounds. The influence of these derivatives on the metabolic activity of various cancer cell lines was assessed, with IC50 values determined via MTT assays. An in-depth analysis of the structure–activity relationship (SAR) revealed intriguing insights into their cytotoxic profiles. Compounds with electron-withdrawing groups generally exhibited lower IC50 values, indicating higher potency. The presence of the methoxy group at the linking phenyl ring modulated both the potency and selectivity of the compounds. The variation in the acridine core at the nitrogen atom of the thiazolidine-2,4-dione core significantly affects the activity against cancer cell lines, with the acridin-9-yl substituent enhancing the compounds’ antiproliferative activity. Furthermore, compounds in their hydrochloride salt forms demonstrated better activity against cancer cell lines compared to their free base forms. Compounds 12c·2HCl (IC50 = 5.4 ± 2.4 μM), 13d (IC50 = 4.9 ± 2.9 μM), and 12f·2HCl (IC50 = 4.98 ± 2.9 μM) demonstrated excellent activity against the HCT116 cancer cell line, and compound 7d·2HCl (IC50 = 4.55 ± 0.35 μM) demonstrated excellent activity against the HeLa cancer cell line. Notably, only a few tested compounds, including 7e·2HCl (IC50 = 11.00 ± 2.2 μM), 7f (IC50 = 11.54 ± 2.06 μM), and 7f·2HCl (IC50 = 9.82 ± 1.92 μM), showed activity against pancreatic PATU cells. This type of cancer has a very high mortality due to asymptomatic early stages, the occurrence of metastases, and frequent resistance to chemotherapy. Four derivatives, namely, 7e·2HCl, 12d·2HCl, 13c·HCl, and 13d, were tested for their interaction properties with BSA using fluorescence spectroscopic studies. The values for the quenching constant (Ksv) ranged from 9.59 × 104 to 10.74 × 104 M−1, indicating a good affinity to the BSA protein.
1. Introduction
Cancer remains a leading cause of mortality worldwide. Developing new therapeutic agents that combine improved efficacy and reduced side effects is a major challenge in medicinal chemistry [1]. Researchers are actively exploring the incorporation of various molecular moieties into drug candidates to modulate their pharmacological properties while minimizing toxicity to normal tissue, which is a significant source of adverse effects [2,3]. Among the various chemical entities investigated for their therapeutic potential, thiazolidine-2,4-dione and acridine derivatives have attracted significant attention due to their broad spectrum of biological activities.
Thiazolidine-2,4-diones (Figure 1), which act as agonists of PPARγ (peroxisome proliferator-activated receptor), are well known for their ability to reduce serum glucose levels in patients with diabetes [4,5,6]. However, their clinical use has been restricted due to significant side effects and toxicity, largely attributed to the full agonistic activity at PPARγ’s binding site [7,8,9]. In addition to their metabolic effects, these PPARγ agonists have demonstrated the ability to induce apoptosis, arrest the cell cycle, and promote differentiation in various cancer cell lines. Extensive research has highlighted the antitumor potential of diverse thiazolidinone-2,4-diones across a wide range of tumor types (Figure 2) [10,11,12]. Recent studies suggest that thiazolidine-2,4-diones with a benzylidene double bond can induce apoptosis and cell cycle arrest independently of PPARγ activation [13,14]. Additionally, these compounds can inhibit glucose transporters (GLUTs), which are often upregulated in cancer cells, providing a selective mechanism to eliminate tumor cells [9,10]. The critical structural features of all these antitumor agents include aryl acetamido functionality (Ar–NH–CO–CH2) and thiazolidine-2,4-dione with a benzylidene double bond [9,10,15].
Figure 1.
Chemical structures of troglitazone, rosiglitazone, ciglitazone, and pioglitazone.
Figure 2.
Design strategy of novel acridine-thiazolidine-2,4-diones hybrids [10,16,17].
In parallel, the integration of an acridine core into thiazolidine-2,4-dione frameworks represents a novel and promising direction in drug development [16,18]. Acridine derivatives exhibit a wide range of biological activities, including antitumor [19,20,21], antibacterial [22,23], antiviral [24,25], and antifungal properties [22], making them valuable scaffolds for drug design. These compounds exert their effects through multiple pathways, such as DNA intercalation [26], inhibition of topoisomerases I/II [27,28], and reduction in drug resistance [29], highlighting their potential as multifaceted antitumor agents [30].
Based on these findings, the design of new antiproliferative agents should include three essential components: an acridine skeleton, thiazolidine-2,4-dione with a benzylidene double bond, and an aryl acetamido functionality (Figure 2). This study focuses on the synthesis and structural characterization of new compounds that integrate thiazolidine-2,4-dione, acridine moieties, and an acetamide linker, aiming to leverage the synergistic effects of these pharmacophores for enhanced therapeutic potential. The diverse bioactivity of each moiety provides a robust foundation for developing multifunctional compounds with superior efficacy and selectivity.
Comprehensive spectroscopic techniques, including nuclear magnetic resonance (NMR), high-resolution mass spectrometry (HRMS), and infrared (IR) spectroscopy, were employed to accurately determine the molecular structures of synthesized compounds.
Biological evaluations were conducted to assess the therapeutic potential of the new compounds. By integrating synthetic chemistry, spectroscopic analysis, and biological evaluation, this research aims to advance drug discovery efforts. The ultimate goal is to develop new compounds with promising pharmacological properties that can lead to next-generation therapeutic agents, addressing unmet medical needs and benefiting patient care.
2. Results and Discussion
Considering the structural features [10,16,17] mentioned in the Introduction section and to further probe the structure–activity relationship (SAR), we designed the structures of some novel derivatives incorporated with acridine, an aryl acetamido-ether linker (Ar–NH–CO–CH2–O), and thiazolidine-2,4-dione with benzylidene double bond residues (Figure 2).
2.1. Synthesis
The synthetic pathways adopted to obtain the target compounds are illustrated in Scheme 1 and Scheme 2. The synthesis of the new derivatives 7 and 8 started with commercially available anilines 1a–g (Scheme 1). First, anilines 1a–g were transformed into 2-chloro-N-phenylacetamides 2a–g using a bifunctional reagent, i.e., chloroacetyl chloride [5,31,32]. However, subsequent substitution reactions between 2-chloro-N-phenylacetamides 2a–g and 4-hydroxybenzaldehyde were unsuccessful; therefore, 2-bromo-N-phenylacetamides 3a–g, containing better leaving groups, were synthesized as described by Ang and coworkers [33]. The substitution reactions, which resulted in 2-(4-formylphenoxy)-N-phenylacetamides 4a–g and 2-(4-formyl-2-methoxyphenoxy)-N-phenylacetamides 5a–g in 54% to 87% yields, were performed in refluxing acetone in the presence of anhydrous potassium carbonate and a catalytic amount of potassium iodide [7]. The next step included Knoevenagel condensation of derivatives 4a–g and 5a–g with thiazolidine-2,4-dione (9) in toluene under the catalysis of piperidine and glacial acetic acid at 110 °C [5]. Although products 6a–d were obtained with high purity and excellent yields (78–87%), the reactions of 4e–g and 5a–g with thiazolidine-2,4-dione (9) were ineffective. Then, the introduction of acridine moiety via N-substitution on the thiazolidine-2,4-dione was accomplished. The reaction of 6a–d with 9-(bromomethyl)acridine was carried out in refluxing acetone in the presence of anhydrous sodium carbonate and a catalytic amount of potassium iodide to give 2-(4-{[(5Z)-3-[(acridin-9-yl)methyl]-2,4-dioxo-1,3-thiazolidin-5-ylidene]methyl}phenoxy)-N-phenylacetamides 7a–d with yields ranging from 54% to 56% (Scheme 1). However, when the derivatives 6a–d were similarly allowed to react with 4-(bromomethyl)acridine, the derivative 6a failed to react under these conditions, while the other derivatives, i.e., 6b–d, afforded the corresponding expected products 8b–d but in very low yields (16–38%, Scheme 1).
Scheme 1.
Linear synthesis of derivatives 7a–d and 8b–d. Reaction conditions: (i) chloroacetyl chloride, Et3N, CHCl3, 0 °C, and 2–3 h; (ii) bromoacetyl bromide, K2CO3, CH2Cl2, 0 °C, and 1 h; (iii) 4-hydroxybenzaldehyde or vaniline, K2CO3, KI, acetone, reflux, and 1–3 h; (iv) thiazolidine-2,4-dione (9), piperidine, glacial acetic acid, toluene, 110 °C, and 6–7 h; and (v) 9-(bromomethyl)acridine or 4-(bromomethyl)acridine, K2CO3, KI, acetone, reflux, and 3–7 h.
Scheme 2.
Convergent synthesis of derivatives 7a–g, 8a–g, 12a–g, and 13a–g. Reaction conditions: (i) KOH, EtOH, rt, 2 h, and 86%; (ii) 9-(bromomethyl)acridine or 4-(bromomethyl)acridine, DMF, 100 °C, and 1 h; (iii) piperidine, glacial acetic acid, EtOH, reflux, and 1–5 h; and (iv) HCl (g), EtOH, and rt.
Due to the issues associated with the final step of the linear synthesis, a convergent strategy was adopted, as outlined in Scheme 2. The first step involved the reaction of thiazolidine-2,4-dione (9) with KOH in ethanol at room temperature for 2 h. Subsequently, the potassium salt of thiazolidine-2,4-dione reacted with 9-(bromomethyl)acridine or 4-(bromomethyl)acridine, producing derivatives 10 and 11, respectively. Then, derivatives 10 and 11 were subjected to Knoevenagel condensation with 2-(4-formylphenoxy)-N-phenylacetamides 4a–g and 2-(4-formyl-2-methoxyphenoxy)-N-phenylacetamides 5a–g to form the final derivatives 7a–g, 8a–g, 12a–g, and 13a–g with yields higher than 60%, except derivative 12d (38%). Eventually, the final derivatives 7a–g, 8a–g, 12a–g, and 13a–g were transformed into hydrochlorides by bubbling HCl gas into their ethanolic suspensions (Scheme 2).
2.2. NMR Spectroscopy
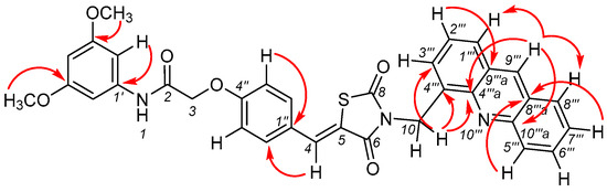
The compounds 7, 8, 12, and 13, along with their hydrochlorides 7·2HCl, 8·HCl, 12·2HCl, and 13·HCl, were studied using 1D and 2D NMR experiments to determine their structure and spectral assignments. In this discussion, we will focus on the spectrum of compound 8b. The 1H NMR spectrum of compound 8b contains six signals: two two-proton singlets at 4.80 ppm and 5.60 ppm from the methylene groups CH2-3 and CH2-10, three one-proton singlets at 10.10, 7.97, and 9.17 ppm from protons H-1, H-4, and H-9‴, and one six-proton singlet at 3.71 ppm of two equivalent methoxy groups. The proton bound to the nitrogen atom N-1 was distinguished based on the 1H,13C-HSQC spectra since there was no correlation with carbon in the spectra. The singlets of two methylene groups, i.e., CH2-3 and CH2-10, were distinguished based on HMBC spectra (Figure 3). The 4.80 ppm (CH2-3) singlet had an HMBC correlation with one carbonyl carbon at 166.1 ppm (C-2), and the 5.60 ppm (CH2-10) singlet had HMBC correlations with two carbonyl carbons at 165.9 and 167.5 ppm. To distinguish between the chemical shifts of the carbonyl carbons C-6 and C-8, as well as to differentiate between two singlets at 7.97 and 9.17 ppm from protons H-4 and H-9‴, HMBC correlation analysis was used. The HMBC correlation was observed between the proton H-4 (7.97 ppm) and the carbonyl carbon C-6 (165.9 ppm). Therefore, the singlet belonging to proton H-9‴ had a chemical shift of 9.17 ppm.
Figure 3.
Selected parts of the 1H,13C-HMBC spectrum of derivative 8b illustrating key correlations between protons H-1, H-3, H-4, H-10, methoxy groups protons, and their corresponding carbons.
The 1H,1H-COSY experiment, homonuclear coupling constants (from 1H NMR spectra), and characteristic splitting patterns were used to distinguish two spin systems of the acridin-4-yl fragment and two phenyl nuclei. Heteronuclear 1H,13C-HSQC spectra were used to determine the chemical shifts of protonated carbon atoms. The chemical shifts of the protons of the acridin-4-yl fragment were assigned based on HMBC correlations between the proton H-9‴ (9.17 ppm) and the carbons C-1‴ (128.1 ppm) and C-8‴ (128.5 ppm). The sequence of the protons of the two spin systems of the acridin-4-yl fragment was subsequently determined. Non-protonated carbon atoms of the acridin-4-yl fragment were assigned chemical shifts based on HMBC correlations (Figure 3). Crucial HMBC correlations for assigning chemical shifts to non-protonated carbons C-4‴ (132.1 ppm) and C-4‴a (146.1 ppm) were their correlations with the methylene protons CH2-10 (5.60 ppm). Carbon C-10‴a (147.7 ppm) was correlated with protons H-9‴ (9.17 ppm) and H-6‴ (7.89 ppm), carbon C-9‴a (126.0 ppm) was correlated with proton H-2‴ (7.55 ppm), and carbon C-8‴a (126.2 ppm) was correlated with protons H-5‴ (8.17 ppm) and H-7‴ (7.66 ppm) (Figure 4).
Figure 4.
Selected 1H,13C-HMBC correlations of derivative 8b.
The chemical shifts to protons H-2′,6′ (7.63 ppm) and H-4′ (6.25 ppm), as well as carbons C-2′,6′ (97.9 ppm) and C-4′ (95.7 ppm), were determined by analyzing the characteristic shape, homonuclear coupling constants, and integral values of multiplets of the 1,3,5-trisubstituted phenyl. The non-protonated carbons C-3′,5′ were determined by the only HMBC correlation between methoxy group protons (3.71 ppm) and carbons with a chemical shift of 160.5 ppm. Similarly, the correlation between protons H-2′,6′ (7.63 ppm) and carbon with a chemical shift of 140.0 ppm was used to determine carbon C-1′ (Figure 4).
In addition, HMBC correlations between proton H-4 (7.97 ppm) and carbon with a chemical shift of 132.2 ppm (C-2″,6″) helped distinguish the multiplets belonging to protons H-2″,6″ and protons H-3″,5″ of the last spin system AA′BB′ of the 1,4-disubstituted phenyl nucleus. The chemical shift of protons H-2″,6″ is 7.66 ppm, and that of protons H-3″,5″ is 7.18 ppm. Crucial HMBC correlations were observed between the methylene group protons CH2-3 (4.80 ppm) and carbon C-4″ (159.7 ppm), and protons H-3″,5″ (7.18 ppm) and carbon C-1″ (126.1 ppm) to assign chemical shifts to non-protonated carbons C-1″ and C-4″ (Figure 4).
The configuration of the double bond C4=C5 of derivatives 7, 8, 12, and 13 was determined based on heteronuclear coupling constants nJCH obtained from the 1H,13C-HMBC experiment measured without the suppression of the one-bond coupling constant 1JCH and the EXSIDE experiment (Figure 5) [34]. The values of the coupling constants 1JC4H4 as well as 3JC6H4 confirm the Z-configuration of the C4=C5 bond [35,36,37,38].
Figure 5.
Key heteronuclear coupling constants 1JC4H4 (experiment: 1H,13C-HMBC without suppression of the one-bond coupling constant) and 3JC6H4 (experiment: EXSIDE) for determining the Z-configuration of the C4=C5 bond of derivative 8b, together with previously determined vicinal coupling constants 3JC,Hcis and 3JC,Htrans (left).
By comparing selected 1H, 13C, and 15N chemical shifts of derivative 7 to derivative 8 and derivative 12 to derivative 13, more significant differences were observed only in the chemical shifts of protons H-4 and H-10 and carbons C-4, C-5, C-6, C-8, and C-10 (Table 1 and Table 2). We assume that the shift of the 1H NMR resonance lines of proton H-10 of derivative 7 to higher ppm values compared to derivative 8 is caused by the anisotropy of all three acridine aromatic rings. The proton H-10 of derivative 8 is influenced only by the anisotropy of the side and middle acridine rings. The chemical shift values of carbon C-10 of derivatives 7 and 12 are mainly influenced by the electron-acceptor effect of the nitrogen atom N-10‴ of acridine. Compared to the chemical shift of carbon C-10 of derivatives 8 and 13, it is more shielded, and it shifted to lower ppm values. The influence of nitrogen N-10‴ in derivatives 7 and 12 is also manifested by the higher polarization of the C4=C5 bond. For comparison, the difference in the chemical shifts of carbon atoms C4 and C5 for derivative 7a is 16.2, and for derivative 8a, it is only 14.4 (Table 1 and Table 2).
Table 1.
Comparison of selected 1H, 13C, and 15N NMR (DMSO-d6) chemical shifts of derivatives 7 and 8.
Table 2.
Comparison of selected 1H, 13C, and 15N NMR (DMSO-d6) chemical shifts of derivatives 12 and 13.
The structure of the hydrochloride derivatives 7, 8, 12, and 13 was confirmed by CHN analysis and NMR spectroscopy. CHN analysis revealed that derivatives 7 and 12 are bound to two molecules of HCl, while derivatives 8 and 13 are bound to only one molecule of HCl.
The assignment of chemical shifts to individual atoms of the hydrochloride derivatives 7, 8, 12, and 13 was conducted similarly as described above. Significant differences in chemical shifts were observed only in derivatives 7·2HCl and 12·2HCl compared to derivatives 7 and 12. The largest changes were evident for the hydrogen and carbon atoms of the acridin-9-yl fragment (Figure 6).
Figure 6.
Comparison of 1H NMR (600 MHz, DMSO-d6) spectra of derivatives 7b/7b·2HCl and 8b/8b·HCl.
In the 1H NMR spectra of hydrochlorides 7·2HCl and 12·2HCl, slight broadening of the resonance lines was observed. In the 13C NMR spectra, resonance lines of the C-3‴,6‴, C-4‴,5‴, C-4‴a,10‴a, and C-9‴ nuclei were not present (see NMR spectra in SI). However, in some cases, the chemical shifts of these atoms could be determined from 2D 1H,13C-HSQC and 1H,13C-HMBC spectra. Binding two molecules of HCl to molecule 7 resulted in the deshielding of the hydrogen and carbon nuclei and a shift of resonances to higher ppm values (Tables S1 and S2).
2.3. IR Spectroscopy
FTIR analysis was used to identify the characteristic functional groups of synthesized derivatives 7, 8, 12, and 13 and their hydrochlorides. Infrared spectroscopic characterization revealed the presence of all the expected signals related to the functional groups. Some of the primary vibration modes of 8a–g are shown in Figure 7, with the rest available in the ESI. The weak N–H stretching vibration originating from the amido group occurs in the range of 3420 to 3272 cm−1. Bands of very low intensity attributed to the C–H stretching vibrations are observed around 3070–2917 cm−1. The presence of the methoxy group of b and c series derivatives was confirmed by the appearance of weak absorption bands in the 2849–2824 cm−1 region, corresponding to the stretching OCH3 vibrations along with C–O stretching, which is sometimes observed as the splitting of the C–O vibration of the non-substituted derivatives (see IR spectrum of derivative 8c in Supporting Information). Two typical absorption bands are noticed in the spectral region of 1745–1673 cm−1 associated with C=O frequencies, with compound 8a showing a weak thiolactone band at 1742 cm−1 and a strong lactam band at 1673 cm−1. In lower spectral regions ranging from 1600 to 1400 cm−1, multiple mixed bands of aromatic C=C and C=N stretching vibrations appear with strong-to-medium intensity, together with C–H bending vibrations of acridine and aromatic moieties. For all derivatives with CF3 groups, strong bands are noticed at the frequencies of 1385–1294 cm−1, corresponding to C–CF3, C–C, and C–F stretching, sometimes overlapping with the C=C band. Further characteristic absorption bands appear around 1253–1243 cm−1, assigned as the C–O stretching vibrations, and in the lower region, C–N stretching vibrations at 1137–1041 cm−1 can be found. In the FTIR absorption spectra of nitro derivatives, two characteristic bands appear; the one at 1345–1320 cm−1 is assigned to the symmetric valence vibration of the C–NO2, and the antisymmetric one can be found around 1503 cm−1. A typical aromatic intense band appears around 755–738 cm−1, corresponding to the out-of-plane bending vibrations of aromatic hydrogens. The weak-to-medium peak in the range of 717 to 688 cm−1 indicated a C–S stretching vibration in the thiazolidinone ring.
Figure 7.
FTIR spectra of derivatives 8a–g.
2.4. Biological Activity
2.4.1. In Vitro Antitumor Activity
The assessment of cytotoxicity is fundamental in the development of novel anticancer agents. Herein, we present a comprehensive analysis of the cytotoxic properties of a series of compounds bearing diverse substituents (R1) on the phenyl ring, evaluated against a panel of cancer cell lines: lung adenocarcinoma (A549), hepatocellular carcinoma (Hep G2), ovarian adenocarcinoma (A2780), ovarian adenocarcinoma cisplatin-resistant (A2780cis), cervical adenocarcinoma (HeLa), triple-negative breast adenocarcinoma (MDA-MB-231), colorectal adenocarcinoma (HCT116), pancreas adenocarcinoma (PaTu8902), human melanoma (A2058), glioblastoma (U87), and acute T-lymphoblastic leukemia (Jurkat). The therapeutic safety of the newly synthesized molecules was assessed by evaluating their cytotoxicity on the two non-cancerous cell lines: epithelial breast cells (MCF-10A) and dermal fibroblasts (BJ-5ta) to display the selective cytotoxicity toward normal cells and cancer cells. IC50 values serve as a crucial metric for quantifying a compound’s ability to inhibit cell growth, with lower values indicating enhanced potency. Compounds with IC50 values exceeding 50 µM were considered ineffectual.
The results indicate that none of the studied compounds exhibited activity against the cancer cell lines A2780cis, MBA-MB-231, U87, and Jurkat within the observed concentration range. Therefore, the data were not included in Table 3 and Table 4.
In various cell lines, compounds containing an unsubstituted phenyl ring showed varying efficacy. Compound 12a·2HCl (IC50 = 6.55 ± 1.65 µM) demonstrated excellent efficacy against HCT116 cells. On the other hand, compound 7a·2HCl (IC50 = 13.10 ± 2.30 µM) showed moderate efficacy against HCT116 cells, and compound 12a·2HCl (IC50 = 14.95 ± 1.35 µM) exhibited moderate efficacy against A2780 cells. Both 7a·2HCl and 12a·2HCl also demonstrated activity against the non-cancerous cell lines MCF-10A and Bj-5ta.
Compounds containing the 3,5-dimethoxyphenyl group demonstrated significant efficacy. Compounds 12b (IC50 = 7.30 ± 3.40 µM) and 7b·2HCl (IC50 = 6.11 ± 1.20 µM) showed notable activity against HeLa cells. Additionally, moderate activity against the HeLa cell line was observed for derivatives 7b (IC50 = 11.35 ± 2.75 µM), 8b (IC50 = 12.03 ± 2.80 µM), and 12b·2HCl (IC50 = 11.92 ± 7.40 µM). It is also worth mentioning the activity of 12b (IC50 = 10.20 ± 2.10 µM) against HCT116 and of 12b·2HCl (IC50 = 15.00 ± 1.40 µM) against A2780. Unfortunately, derivatives containing a 3,5-dimethoxyphenyl ring showed low selectivity, displaying relatively high activity against non-cancerous cell lines MCF-10A and Bj-5ta.
The 3,4,5-trimethoxyphenyl substituent generally resulted in compounds with modest efficacy. For instance, compound 7c (IC50 = 6.80 ± 2.40 µM) showed efficacy against HeLa cells, while 12c·2HCl (IC50 = 5.40 ± 2.40 µM) exhibited high efficacy against HCT116 cells (Figure 8). Moderate efficacy was observed for compound 13c·HCl (IC50 = 14.60 ± 3.30 and 14.30 ± 6.43 µM) against A549 and HeLa cell lines.
Figure 8.
Cytotoxic profile of the most active derivatives of series c, d, and e against HeLa and HCT116 cancer cell lines.
Compounds with the 4-nitrophenyl substituent demonstrated noteworthy efficacy. Compound 12d (IC50 = 9.40 ± 0.30 µM) and 7d·2HCl (IC50 = 4.55 ± 0.35 µM) showed notable activity against the HeLa cell line, and 13d (IC50 = 4.90 ± 2.90 µM) and 7d·2HCl (IC50 = 8.60 ± 2.90 µM) displayed notable activity against the HCT116 cell line (Figure 8).
Compounds containing the 2-trifluoromethylphenyl substituent exhibited notable efficacy for 13e (IC50 = 9.90 ± 1.70 µM) and 7e·2HCl (IC50 = 8.90 ± 3.10 µM) against HCT116 cells, while 12e·2HCl (IC50 = 13.16 ± 4.90 µM) and 13e·HCl (IC50 = 13.70 ± 4.50 µM) showed moderate efficacy against HeLa cells (Figure 8). Compounds 12e (IC50 = 14.30 ± 1.80 µM) and 13e·HCl (IC50 = 14.50 ± 3.40 µM) displayed activity against HCT116 (Figure 8) and 7e·2HCl (IC50 = 11.00 ± 2.20 µM) against the PATU cell line.
Compounds bearing 3-trifluoromethylphenyl, namely, 7f (IC50 = 6.20 ± 1.30 µM) and 7f·2HCl (IC50 = 6.90 ± 0.20 µM) displayed efficacy against HeLa cells, while compounds 7f (IC50 = 8.80 ± 3.70 µM) and 12f·2HCl (IC50 = 4.98 ± 2.90 µM) showed efficacy against HCT116, and compound 7f·2HCl (IC50 = 9.82 ± 1.92 µM) showed efficacy against the PATU cell line. Moderate activity was observed for compounds 12f (IC50 = 11.50 ± 3.30 µM) and 13f·HCl (IC50 = 12.30 ± 4.90 µM) against the Hela cancer cell line. Next, compound 13f·HCl (IC50 = 14.30 ± 3.20 µM) showed activity against HCT116, and 7f (IC50 = 11.54 ± 2.06 µM) showed activity against PATU. These compounds showed very bad selectivity because they inhibited cell growth of the normal cell lines MCF-10A and Bj-5ta.
Among the compounds with the 3,5-ditrifluoromethylphenyl substituent, only compound 12g (IC50 = 6.70 ± 2.00 µM) showed activity against the HCT116 cell line. Additionally, there was very low selectivity.
It is important to note that only a few tested compounds, namely, 7e·2HCl, 7f, and 7f·2HCl, showed activity against pancreatic PATU cells. This type of cancer has a very high mortality due to asymptomatic early stages, the occurrence of metastases, and frequent resistance to chemotherapy.
These comparisons highlight the differential efficacy of compounds based on the substituent R1, underscoring the importance of structural modifications in modulating the potency of anticancer agents against specific cell lines.
2.4.2. Structure–Activity Relationship (SAR) Analysis
Structure–activity relationship (SAR) analysis involves examining how variations in chemical structure impact the activity of compounds. In the dataset provided, the SAR can be deduced by comparing the IC50 values of compounds with different substituents (R1) against various cell lines.
An in-depth analysis of the structure–activity relationship (SAR) for the compounds evaluated against a spectrum of cancer cell lines revealed intriguing insights into their cytotoxic profiles. Compounds with 3-trifluoromethylphenyl, 2-trifluoromethylphenyl, or 3,5-dimethoxyphenyl tend to have lower IC50 values across multiple cell lines compared to compounds with unsubstituted phenyl. Conversely, compounds featuring the 4-nitrophenyl substituent generally exhibit diminished activity. However, compounds with 3,5-dimethoxyphenyl and 3-trifluoromethylphenyl showed low selectivity, while compounds with 3,4,5-trimethoxyphenyl, 4-nitrophenyl, and 2-trifluoromethylphenyl displayed high selectivity. This suggests that these groups enhance the antiproliferative activity of the compounds, possibly by increasing their interaction with cellular targets or enhancing their cellular uptake. Moreover, specific substitutions on the aromatic ring may contribute to the selectivity of compounds toward cancer cells, potentially by targeting pathways or receptors overexpressed in cancer cells (Figure 9).
Figure 9.
Schematic representation of the results of our SAR study.
Compounds with larger substituents or a higher electron density on R1 generally exhibit lower IC50 values, suggesting increased potency. For example, compounds with 3,4,5-trimethoxyphenyl or 3,5-bistrifluoromethylphenyl tend to have lower IC50 values. This implies that bulkier or more electron-rich substituents may enhance the interaction of the compounds with their molecular targets, leading to improved antiproliferative activity.
Substitution at position 3″ on the second phenyl ring by a methoxy group has a significant impact on the activity of these molecules. The presence of the methoxy group at this position appears to modulate both the potency and selectivity of the compounds, likely by influencing the electronic properties and steric interactions within the cellular environment (Figure 9).
The variation in the substituent, either acridin-9-yl or acridine-4-yl, at the nitrogen atom of the thiazolidine-2,4-dione core significantly affects the activity against cancer cell lines. The acridin-9-yl substituent typically enhances the compounds’ antiproliferative activity, potentially due to its planar structure which may facilitate better intercalation with DNA or interaction with other cellular targets (Figure 9).
Furthermore, compounds in their hydrochloride salt forms demonstrated better activity against cancer cell lines compared to their free base forms. This increased activity could be attributed to several factors, including improved solubility in aqueous environments, which enhances bioavailability and cellular uptake.
Overall, SAR analysis revealed the importance of substituent effects on the antiproliferative activity and selectivity of the compounds. Understanding these relationships can guide the design and optimization of future compounds with improved efficacy and reduced toxicity for cancer therapy.
Table 3.
IC50 values [μM] ± SD of the tested compounds 7, 8, 12, and 13 on the cell lines after 48 h of incubation.
Table 3.
IC50 values [μM] ± SD of the tested compounds 7, 8, 12, and 13 on the cell lines after 48 h of incubation.
| Cmpd. | R1 | ![]() | ||||||||
|---|---|---|---|---|---|---|---|---|---|---|
| IC50 [µM] | ||||||||||
| MCF-10A | Bj-5ta | A549 | Hep G2 | A2780 | HeLa | HCT116 | PATU | A2058 | ||
| 7a | Ph | >50 | >50 | >50 | >50 | >50 | 24.27 ± 3.8 | 37.6 ± 4.2 | >50 | >50 |
| 7b | 3,5-diMeOPh | 28.8 ± 2.3 | >50 | 34.6 ± 5.4 | >50 | >50 | 11.35 ± 2.75 | 34.5 ± 2.98 | >50 | >50 |
| 7c | 3,4,5-triMeOPh | 14.5 ± 2.5 | >50 | >50 | >50 | >50 | 6.8 ± 2.4 | >50 | >50 | >50 |
| 7d | 4-NO2Ph | >50 | >50 | >50 | >50 | >50 | 20.05 ± 2.95 | >50 | >50 | >50 |
| 7e | 2-CF3Ph | >50 | >50 | >50 | >50 | >50 | >50 | 22.3 ± 4.6 | >50 | >50 |
| 7f | 3-CF3Ph | 9.8 ± 1.9 | 32.6 ± 7.4 | 16.4 ± 1.85 | 28.1 ± 5.5 | >50 | 6.2 ± 1.3 | 8.8 ± 3.7 | 11.54 ± 2.06 | >50 |
| 7g | 3,5-diCF3Ph | >50 | >50 | 18.95 ± 3.85 | >50 | >50 | 20.9 ± 2.8 | 18.0 ± 1.2 | >50 | >50 |
| 12a | Ph | >50 | >50 | >50 | >50 | >50 | 18.65 ± 0.45 | >50 | >50 | >50 |
| 12b | 3,5-diMeOPh | 15.6 ± 2.6 | >50 | 34.54 ± 5.4 | >50 | >50 | 7.3 ± 3.4 | 10.2 ± 2.1 | >50 | >50 |
| 12c | 3,4,5-triMeOPh | >50 | >50 | >50 | >50 | >50 | 19.9 ± 2.05 | 15.1 ± 2.0 | >50 | >50 |
| 12d | 4-NO2Ph | >50 | >50 | 31.2 ± 1.1 | >50 | >50 | 9.4 ± 0.3 | 14.6 ± 1.7 | >50 | >50 |
| 12e | 2-CF3Ph | >50 | >50 | 31.1 ± 4.2 | >50 | >50 | 28.2 ± 3.7 | 14.3 ± 1.8 | >50 | >50 |
| 12f | 3-CF3Ph | >50 | >50 | >50 | >50 | >50 | 11.5 ± 3,3 | >50 | >50 | >50 |
| 12g | 3,5-diCF3Ph | >50 | >50 | >50 | >50 | >50 | 20.7 ± 5.3 | 6.7 ± 2.0 | >50 | >50 |
| 8a | Ph | >50 | >50 | >50 | >50 | >50 | 21.06 ± 7.2 | 26.9 ± 1.85 | >50 | >50 |
| 8b | 3,5-diMeOPh | >50 | >50 | >50 | >50 | >50 | 12.03 ± 2.8 | >50 | >50 | >50 |
| 8c | 3,4,5-triMeOPh | >50 | >50 | >50 | >50 | >50 | >50 | >50 | >50 | >50 |
| 8d | 4-NO2Ph | >50 | >50 | >50 | >50 | >50 | 44.9 ± 4.2 | 47.6 ± 3.8 | >50 | >50 |
| 8e | 2-CF3Ph | >50 | >50 | >50 | >50 | >50 | 43.3 ± 5.2 | 24.3 ± 3.8 | >50 | >50 |
| 8f | 3-CF3Ph | >50 | >50 | >50 | >50 | >50 | 27.65 ± 4.6 | 25.1± 7.8 | >50 | >50 |
| 8g | 3,5-diCF3Ph | >50 | >50 | >50 | >50 | >50 | >50 | >50 | >50 | >50 |
| 13a | Ph | >50 | >50 | >50 | >50 | >50 | 41.9 ± 5.7 | >50 | >50 | 49.15 ± 0.85 |
| 13b | 3,5-diMeOPh | 43.6 ± 3.3 | 41.7 ± 0.8 | 38.9 ± 2.1 | >50 | >50 | 25.7 ± 3.45 | 44.7 ± 4.1 | >50 | 34.35 ± 2.45 |
| 13c | 3,4,5-triMeOPh | >50 | >50 | >50 | >50 | >50 | 44.2 ± 4.1 | 23.1 ± 5.7 | >50 | 42.5 ± 0.25 |
| 13d | 4-NO2Ph | >50 | 38.45 ± 4.5 | 46.9 ± 3.1 | >50 | >50 | 36.2 ± 5.23 | 4.9 ± 2.9 | >50 | 38.05 ± 1.65 |
| 13e | 2-CF3Ph | 14.9 ± 0.16 | >50 | >50 | >50 | >50 | 26.65 ± 3.8 | 9.9 ± 1.7 | >50 | 35.2 ± 2.87 |
| 13f | 3-CF3Ph | 28.9 ± 5.6 | >50 | >50 | >50 | >50 | 21.8 ± 6.4 | 36.3 ± 4.6 | >50 | 31.9 ± 4.1 |
| 13g | 3,5-diCF3Ph | >50 | >50 | >50 | >50 | >50 | 17.7 ± 2.9 | 24.9 ± 3.5 | >50 | >50 |
| Cisplatin [39] | 25.9 ± 2.1 | 31.0 ± 0.7 | 17.3 ± 2.2 | 14.0 ± 2.8 | NT | 30.4 ± 1.4 | 14.5 ± 2.5 | 20.7 ± 3.1 | 18.8 ± 5.5 | |
Table 4.
IC50 values [μM] ± SD of the tested compounds 7·2HCl, 8·HCl, 12·2HCl, and 13·HCl on the cell lines after 48 h of incubation.
Table 4.
IC50 values [μM] ± SD of the tested compounds 7·2HCl, 8·HCl, 12·2HCl, and 13·HCl on the cell lines after 48 h of incubation.
| Cmpd. | R | ![]() | ||||||||
|---|---|---|---|---|---|---|---|---|---|---|
| IC50 [µM] | ||||||||||
| MCF-10A | Bj-5ta | A549 | Hep G2 | A2780 | HeLa | HCT116 | PATU | A2058 | ||
| 7a·2HCl | Ph | 17.6 ± 4.3 | 29.9 ± 7.2 | 16.96 ± 1.35 | >50 | >50 | 17.7 ± 4.04 | 13.1 ± 2.3 | >50 | >50 |
| 7b·2HCl | 3,5-diMeOPh | 11.35 ± 2.05 | 34.5 ± 5.5 | 21.95 ± 3.35 | >50 | >50 | 6.11 ± 1.2 | 17.4 ± 1.74 | >50 | >50 |
| 7c·2HCl | 3,4,5-triMeOPh | >50 | >50 | >50 | >50 | >50 | 21.44 ± 5.8 | 16.95 ± 1.75 | >50 | >50 |
| 7d·2HCl | 4-NO2Ph | >50 | >50 | >50 | >50 | >50 | 4.55 ± 0.35 | 8.6 ± 2.9 | >50 | >50 |
| 7e·2HCl | 2-CF3Ph | >50 | >50 | 34.3 ± 5.7 | >50 | >50 | 20.5 ± 3.8 | 8.9 ± 3.1 | 11.0 ± 2.2 | >50 |
| 7f·2HCl | 3-CF3Ph | 7.7 ± 1.5 | 39.5 ± 6.5 | 33.95 ± 6.05 | 27.4 ± 5.9 | >50 | 6.9 ± 0.2 | 15.2 ± 3.4 | 9.82 ± 1.92 | >50 |
| 7g·2HCl | 3,5-diCF3Ph | 13.23 ± 3.2 | >50 | 32.4 ± 7.6 | >50 | >50 | 19.3 ± 4.6 | >50 | >50 | >50 |
| 12a·2HCl | Ph | 19.3 ± 1.1 | 35.5 ± 4.5 | >50 | >50 | 14.95 ± 1.35 | 18.2 ± 5.1 | 6.55 ± 1.65 | >50 | >50 |
| 12b·2HCl | 3,5-diMeOPh | 12.4 ± 1.9 | 29.6 ± 4.4 | >50 | >50 | 15.0 ± 1.4 | 11.92 ± 7.4 | 27.3 ± 3.75 | >50 | >50 |
| 12c·2HCl | 3,4,5-triMeOPh | >50 | >50 | >50 | >50 | >50 | 20.24 ± 5.4 | 5.4 ± 2.4 | >50 | >50 |
| 12d·2HCl | 4-NO2Ph | NT | >50 | >50 | >50 | NT | 19.32 ± 5.5 | 17.6 ± 4.5 | 30.8 ± 6.2 | >50 |
| 12e·2HCl | 2-CF3Ph | >50 | >50 | >50 | >50 | >50 | 13.16 ± 4.9 | 29.25 ± 3.7 | >50 | >50 |
| 12f·2HCl | 3-CF3Ph | >50 | >50 | >50 | >50 | >50 | 19.36 ± 6.48 | 4.98 ± 2.9 | >50 | >50 |
| 12g·2HCl | 3,5-diCF3Ph | >50 | >50 | >50 | >50 | >50 | 25.14 ± 6.4 | 26.65 ± 9.01 | >50 | >50 |
| 8a·HCl | Ph | NT | >50 | >50 | >50 | NT | 42.6 ± 0.75 | >50 | >50 | >50 |
| 8b·HCl | 3,5-diMeOPh | >50 | >50 | >50 | >50 | >50 | 47.9 ± 1.4 | 32.4 ± 6.3 | >50 | >50 |
| 8c·HCl | 3,4,5-triMeOPh | NT | >50 | >50 | >50 | NT | >50 | >50 | >50 | >50 |
| 8d·HCl | 4-NO2Ph | NT | >50 | >50 | >50 | NT | >50 | >50 | >50 | >50 |
| 8e·HCl | 2-CF3Ph | NT | >50 | >50 | >50 | NT | >50 | >50 | >50 | >50 |
| 8f·HCl | 3-CF3Ph | NT | >50 | >50 | >50 | NT | >50 | >50 | >50 | >50 |
| 8g·HCl | 3,5-diCF3Ph | 45.0 ± 2.8 | >50 | >50 | >50 | >50 | 45.2 ± 3.5 | 26.3 ± 3.4 | >50 | >50 |
| 13a·HCl | Ph | NT | >50 | >50 | >50 | NT | >50 | >50 | >50 | >50 |
| 13b·HCl | 3,5-diMeOPh | NT | >50 | >50 | >50 | NT | 45.5 ± 2.9 | >50 | >50 | >50 |
| 13c·HCl | 3,4,5-triMeOPh | NT | >50 | 14.6 ± 3.3 | 23.4 ± 3.4 | NT | 14.3 ± 6.4 | >50 | >50 | >50 |
| 13d·HCl | 4-NO2Ph | NT | >50 | >50 | >50 | NT | >50 | >50 | >50 | >50 |
| 13e·HCl | 2-CF3Ph | NT | >50 | 42.8 ± 5.4 | >50 | NT | 13.7 ± 4.5 | 14.5 ± 3.4 | 39.8 ± 7.1 | >50 |
| 13f·HCl | 3-CF3Ph | NT | >50 | 38.25 ± 7.35 | >50 | NT | 12.3 ± 4.9 | 14.3 ± 3.2 | 43.7 ± 5.8 | >50 |
| 13g·HCl | 3,5-diCF3Ph | NT | >50 | >50 | >50 | NT | 34.7 ± 6.4 | >50 | >50 | >50 |
| Cisplatin [39] | 25.9 ± 2.1 | 31.0 ± 0.7 | 17.3 ± 2.2 | 14.0 ± 2.8 | NT | 30.4 ± 1.4 | 14.5 ± 2.5 | 20.7 ± 3.1 | 18.8 ± 5.5 | |
2.4.3. Fluorescence Quenching Studies
Human serum albumin (HSA) and bovine serum albumin (BSA) play vital roles in drug transport and are frequently investigated as model proteins of blood plasma [40,41]. Fluorescence spectroscopy effectively provides detailed information on the binding mode, mechanism, and binding constants of various ligands or small molecules to proteins.
BSA contains 582 amino acid residues, including tyrosine (Tyr), phenylalanine (Phe), and tryptophan (Trp). The tryptophan residues located at positions 134 and 212 being predominantly responsible for its intrinsic fluorescence due to their higher quantum yield than the other amino acids [41,42,43]. When excitation occurs at 280 nm, both Trp and Tyr contribute to the fluorescence of the protein [44]. In this study, we investigated the interaction of newly synthesized derivatives (7e·2HCl, 12d·2HCl, 13c·HCl, and 13d), which have promising anticancer properties, with BSA. BSA (1 μM) was titrated with increasing concentration of acridine derivatives, and fluorescence spectra were recorded in the range of 300–500 nm (Figure 10). The fluorescence quenching for the quencher (Q) and protein interaction was analyzed using the Stern–Volmer equation [45,46]:
where F0 and F denote the fluorescence intensities in the absence and presence of the quencher Q, respectively. Ksv is the Stern–Volmer constant, kq is the bimolecular quenching rate constant (kq = Ksv/τ0), and τ0 is the lifetime of BSA in the absence of quencher, which is equal to 10−8 s for the tryptophan fluorescence of proteins [46].
Figure 10.
Fluorescence spectra of BSA upon the addition of 7e·2HCl (0–9 μM), 12d·2HCl (0–10 μM), 13c·2HCl (0–11 μM), and 13d (0–9 μM) at 24 °C. Inset: Stern–Volmer plot.
The results (Figure 10) show that the intrinsic fluorescence of BSA was successfully suppressed by the addition of different concentrations of all studied acridine derivatives.
BSA exhibits a strong emission band of about 350 nm upon excitation at 280 nm. The gradual addition of acridine derivative to BSA resulted in decreased fluorescence emission with increasing concentration of the examined derivatives. Table 5 presents the calculated Ksv and kq values for the interaction of acridine derivatives with BSA.
Table 5.
Stern–Volmer quenching constant (Ksv) and kq values for BSA–acridine derivative system.
The acridine derivative 7e·2HCl had the highest Ksv value, while the lowest Ksv value was determined for derivative 13d. The studied compounds exhibited a tenfold higher Ksv constant than acridine-thiosemicarbazone derivatives investigated by da Silva Filho et al. [47]. Values for the quenching constant (Ksv) ranged from 9.59 × 104 to 10.74 × 104 M−1, indicating an appropriate affinity to the BSA protein.
3. Experimental
3.1. General
All the reagents were used as supplied without further purification. The progress of the reaction was monitored by analytical thin-layer chromatography using TLC sheets ALUGRAM-SIL G/UV254 (Macherey Nagel, Düren, Germany). Purification by flash chromatography was performed using silica gel (60 Å and 230–400 mesh, Merck, Darmstadt, Germany) with the indicated eluent. Melting points were determined on a StuartTM melting point apparatus SMP10 (Bibby Scientific Ltd. Staffordshire, United Kingdom) and were uncorrected. However, during the melting point determination, it was observed that some compounds underwent decomposition before reaching their true melting point. As a result, the definitive melting points could not be obtained for these derivatives, and only decomposition points (d) were observed.
3.2. General Synthetic Procedure for Compounds 2a–d
To the solution of the corresponding amine (500 mg) in CHCl3 (10 mL), triethylamine (1.05 equiv.) was added. Subsequently, the mixture was cooled to 0 ⁰C, and the solution of chloroacetyl chloride (1.05 equiv.) in CHCl3 (2 mL) was added dropwise. The reaction was controlled using TLC for about 2 h. Then, the solvent was evaporated. The product was extracted into EtOAc and washed with an aqueous solution of NaHCO3. The combined organic phases were dried over anhydrous Na2SO4 and then evaporated under a vacuum.
2-Chloro-N-phenylacetamide (2a). Beige solid. Yield: 880 mg (97%). Mp. 133–135 °C (134–137 °C [48]). 1H NMR (400 MHz, CDCl3): δ 8.24 (br s, 1H, NH), 7.55 (dd, J = 8.6, 1.1 Hz, 2H, H-2,6), 7.37 (t, J = 7.2 Hz, 2H, H-3,5), 7.18 (t, J = 7.2 Hz, 1H, H-4), and 4.20 (s, 2H, CH2) ppm.
2-Chloro-N-(3,5-dimethoxyphenyl)acetamide (2b). Light brown solid. Yield: 710 mg (95%). Mp. 98–100 °C (97–98 °C [48]). 1H NMR (400 MHz, CDCl3): δ 8.18 (br s, 1H, NH), 6.78 (d, J = 2.2 Hz, 2H, H-2,6), 6.29 (t, J = 2.2 Hz, 1H, H-4), 4.17 (s, 2H, CH2), and 3.79 (s, 6H, OCH3) ppm.
2-Chloro-N-(3,4,5-trimethoxyphenyl)acetamide (2c). Light brown solid. Yield: 695 mg (98%). Mp. 118–120 °C (115–117 °C [49]). 1H NMR (400 MHz, CDCl3): δ 8.16 (br s, 1H, NH), 6.84 (s, 2H, H-2,6), 4.19 (s, 2H, CH2), 3.87 (s, 6H, OCH3), and 3.83 (s, 3H, OCH3) ppm.
2-Chloro-N-(4-nitrophenyl)acetamide (2d). Dark orange solid. Yield: 746 mg (96%). Mp. 188–189 °C (188–190 °C [50]). 1H NMR (400 MHz, CDCl3): δ 8.53 (br s, 1H, NH), 8.26 (d, J = 9.2 Hz, 2H, H-3,5), 7.78 (d, J = 9.2 Hz, 2H, H-2,6), and 4.25 (s, 2H, CH2) ppm.
3.3. General Synthetic Procedure for Compounds 3a–g
Procedure 1 (for compounds 3a–d): To the solution of the corresponding amine (500 mg) in DCM (10 mL), the anhydrous K2CO3 (1.2 equiv.) was added. Subsequently, the mixture was cooled to 0 ⁰C, and the solution of bromoacetyl bromide (1.2 equiv.) in DCM (3 mL) was added dropwise. The reaction was controlled using TLC for about 1 h. Then, the phases were separated, and the aqueous phase was extracted with DCM (2 × 15 mL). The combined organic phases were dried over anhydrous Na2SO4 and then evaporated under a vacuum.
Procedure 2 (for compounds 3e–g): To the solution of the corresponding amine (500 mg) in DCM (10 mL), the anhydrous K2CO3 (1.2 equiv.) was added. Subsequently, the mixture was cooled to 0 ⁰C, and the solution of bromoacetyl bromide (1.2 equiv.) in DCM (3 mL) was added dropwise. The reaction was controlled using TLC for about 1 h. After the reaction was complete, the reaction mixture was filtered, the filtrate was evaporated, and the product was crystallized using a DCM/nHex system.
2-Bromo-N-phenylacetamide (3a). White solid. Yield: 1103 mg (96%). Mp. 130–132 (CH2Cl2, 127–128 °C [51], 123–124 °C [52]). 1H NMR (400 MHz, CDCl3): δ 8.17 (br s, 1H, NH), 7.53 (d, J = 7.5 Hz, 2H, H-2,6), 7.36 (t, J = 7.4 Hz, 2H, H-3,5), 7.17 (t, J = 7.4 Hz, 1H, H-4), and 4.02 (s, 2H, CH2) ppm.
2-Bromo-N-(3,5-dimethoxyphenyl)acetamide (3b). White solid. Yield: 858 mg (96%). Mp. 99–100 (CH2Cl2, 90–93 °C [53]). 1H NMR (400 MHz, CDCl3): δ 8.08 (br s, 1H, NH), 6.76 (d, J = 2.2 Hz, 2H, H-2,6), 6.29 (t, J = 2.2 Hz, 1H, H-4), 4.01 (s, 2H, CH2), and 3.79 (s, 6H, OCH3) ppm.
2-Bromo-N-(3,4,5-trimethoxyphenyl)acetamide (3c). White solid. Yield: 813 mg (98%). Mp. 125–127 (CH2Cl2, 125–126 °C [52]). 1H NMR (400 MHz, CDCl3): δ 8.07 (br s, 1H, NH), 6.82 (s, 2H, H-2,6), 4.02 (s, 2H, CH2), 3.86 (s, 6H, OCH3), and 3.83 (s, 3H, OCH3) ppm.
2-Bromo-N-(4-nitrophenyl)acetamide (3d). Yellow solid. Yield: 919 mg (98%). Mp. 173–175 (CH2Cl2, 165–166 °C [52]). 1H NMR (400 MHz, CDCl3): δ 8.39 (br s, 1H, NH), 8.26 (d, J = 9.2 Hz, 2H, H-3,5), 7.76 (d, J = 9.2 Hz, 2H, H-2,6), and 4.07 (s, 2H, CH2) ppm.
2-Bromo-N-(2-(trifluoromethyl)phenyl)acetamide (3e). White solid. Yield: 743 mg (85%). Mp. 105–107 (CH2Cl2/nHex, 104–106 °C [54]). 1H NMR (400 MHz, DMSO-d6): δ 10.01 (s, 1H, NH), 7.76 (d, J = 7.9 Hz, 1H, H-3), 7.71 (t, J = 7.7 Hz, 1H, H-5), 7.50 (m, 2H, H-4, H-6), and 4.10 (s, 2H, CH2) ppm.
2-Bromo-N-(3-(trifluoromethyl)phenyl)acetamide (3f). White solid. Yield: 700 mg (80%). Mp. 78–80 (CH2Cl2/nHex, 83–84 °C [54]). 1H NMR (400 MHz, DMSO-d6): δ 10.75 (s, 1H, NH), 8.07 (s, 1H, H-2), 7.76 (d, J = 7.7 Hz, 1H, H-6), 7.58 (t, J = 7.7 Hz, 1H, H-5), 7.45 (d, J = 7.7 Hz, 1H, H-4), and 4.07 (s, 2H, CH2) ppm.
N-(3,5-Bis(trifluoromethyl)phenyl)-2-bromoacetamide (3g). White solid. Yield: 626 mg (82%). Mp. 104–105 (CH2Cl2/nHex, 95–96 °C [52]). 1H NMR (400 MHz, DMSO-d6): δ 10.06 (s, 1H, NH), 8.24 (s, 2H, H-2,6), 7.83 (br s, 1H, H-4), and 4.10 (s, 2H, CH2) ppm.
3.4. General Synthetic Procedure for Compounds 4a–g and 5a–g
To a solution of 4-hydroxybenzaldehyde (200 mg, 1.64 mmol) or vaniline (200 mg, 1.31 mmol) in acetone (5 mL), anhydrous K2CO3 was added (1.2 equiv.), and the mixture was stirred for 20 min. Then, the corresponding 2-bromo-N-phenylacetamide 3a–g (1.0 equiv.) and KI (0.2 equiv.) were added. The reaction mixture was stirred under reflux at 65–70 °C. The course of the reaction was monitored by TLC (nHex:EtOAc, v/v 1:2). After the completion of the reaction, the formed precipitate was filtered and dried.
2-(4-Formylphenoxy)-N-phenylacetamide (4a). White solid. Yield: 280 mg (67%). Mp. 129–130 °C (nHex/EtOAc, 118–120 °C [1]). 1H NMR (600 MHz, DMSO-d6): δ 10.16 (s, 1H, H-1), 9.88 (s, 1H, H-4), 7.89 (d, J = 8.9 Hz, 2H, H-2″,6″), 7.62 (d, J = 8.6 Hz, 2H, H-2′,6′), 7.33 (t, J = 8.5 Hz, 2H, H-3′,5′), 7.19 (d, J = 8.9 Hz, 2H, H-3″,5″), 7.08 (t, J = 7.3 Hz, 1H, H-4′), and 4.85 (s, 2H, H-3) ppm.
N-(3,5-Dimethoxyphenyl)-2-(4-formylphenoxy)acetamide (4b). White solid. Yield: 336 mg (65%). Mp. 131–133 °C (nHex/EtOAc). IR νmax 3396, 1681, 1595, 1426, 1247, 1160, 1055, 821, 685, 617 cm−1. 1H NMR (600 MHz, DMSO-d6): δ 10.10 (s, 1H, H-1), 9.88 (s, 1H, H-4), 7.89 (d, J = 8.9 Hz, 2H, H-3″,5″), 7.18 (d, J = 8.9 Hz, 2H, H-2″,6″), 6.89 (d, J = 2.3 Hz, 2H, H-2′,6′), 6.25 (t, J = 2.3 Hz, 1H, H-4′), 4.83 (s, 2H, H-3), and 3.71 (s, 6H, 2 × OCH3) ppm. 13C NMR (151 MHz, DMSO-d6): δ 191.3 (C-4), 165.9 (C-2), 162.7 (C-4″), 160.5 (3′,5′), 140.0 (C-1′), 131.7 (C-3″,5″), 130.1 (C-1″), 115.2 (C-2″,6″), 97.9 (C-2′,6′), 95.7 (C-4′), 67.0 (C-3), and 55.1 (OCH3) ppm. HRMS: m/z [M + H]+ for C17H17NO5 calc. 316.11795; exp. 316.11832.
2-(4-Formylphenoxy)-N-(3,4,5-trimethoxyphenyl)acetamide (4c). White solid. Yield: 393 mg (69%). Mp. 143–144 °C (nHex/EtOAc). IR νmax 3406, 1681, 1596, 1504, 1229, 1127, 1006, 849, 640 cm−1. 1H NMR (600 MHz, DMSO-d6): δ 10.08 (s, 1H, H-1), 9.88 (s, 1H, H-4), 7.90 (d, J = 8.8 Hz, 2H, H-3″,5″), 7.18 (d, J = 8.7 Hz, 2H, H-2″,6″), 7.03 (s, 2H, H-2′,6′), 4.82 (s, 2H, H-3), 3.74 (s, 6H, 2 × OCH3), and 3.62 (s, 3H, OCH3) ppm. 13C NMR (151 MHz, DMSO-d6): δ 191.4 (C-4), 165.7 (C-2), 162.8 (C-4″), 152.7 (C-3′,5′), 134.5 (C-1′), 133.8 (C-4′), 131.8 (C-3″,5″), 130.1 (C-1″), 115.2 (C-2″,6″), 97.4 (C-2′,6′), 67.1 (C-3), 60.1 (OCH3), and 55.8 (2 × OCH3) ppm. HRMS: m/z [M + H]+ for C18H19NO6 calc. 346.12851; exp. 346.1288.
2-(4-Formylphenoxy)-N-(4-nitrophenyl)acetamide (4d). Yellow solid. Yield: 477 mg (97%). Mp. 189–191 °C (nHex/CHCl3). 1H NMR (600 MHz, DMSO-d6): δ 10.79 (s, 1H, H-1), 9.88 (s, 1H, H-4), 8.25 (d, J = 9.3 Hz, 2H, H-3′,5′), 7.89 (m, 4H, H-2′,6′, H-2″,6″), 7.19 (d, J = 8.8 Hz, 2H, H-3″,5″), and 4.94 (s, 2H, H-3) ppm. 13C NMR (151 MHz, DMSO-d6): δ 191.3 (C-4), 166.9 (C-2), 162.6 (C-4″), 144.5 (C-4′), 142.6 (C-1′), 131.7 (C-2″,6″), 130.2 (C-1″), 125.0 (C-3′,5′), 119.3 (C-2′,6′), 115.2 (C-3″,5″), and 67.0 (C-3) ppm.
2-(4-Formylphenoxy)-N-[2-(trifluoromethyl)phenyl]acetamide (4e). White needles. Yield: 284 mg (54%). Mp. 90–91 °C (nHex/CH2Cl2). IR νmax 3420, 1707, 1592, 1292, 1098, 828, 761, 643, 505 cm−1. 1H NMR (600 MHz, DMSO-d6): δ 9.90 (s, 1H, H-4), 9.82 (s, 1H, H-1), 7.91 (d, J = 8.7 Hz, 2H, H-3″,5″), 7.77 (d, J = 8.0 Hz, 1H, H-3′), 7.71 (t, J = 7.7 Hz, 1H, H-5′), 7.63 (d, J = 8.0 Hz, 1H, H-6′), 7.49 (t, J = 7.6 Hz, 1H, H-4′), 7.19 (d, J = 8.7 Hz, 2H, H-2″,6″), and 4.90 (s, 2H, H-3) ppm. 13C NMR (151 MHz, DMSO-d6): δ 191.4 (C-4), 167.0 (C-2), 162.4 (C-1″), 134.6 (C-1′), 133.2 (C-5′), 131.7 (C-3″,5″), 130.3 (C-4″), 129.4 (C-6′), 127.0 (C-4′), 126.4 (C-3′), 123.6 (q, J = 273.4 Hz, CF3), 115.2 (C-2″,6″), and 66.9 (C-3) ppm. HRMS: m/z [M + H]+ for C16H12F3NO3 calc. 324.0842; exp. 324.08447.
2-(4-Formylphenoxy)-N-[3-(trifluoromethyl)phenyl]acetamide(4f). White solid. Yield: 415 mg (78%). Mp. 120–121 °C (nHex/EtOAc). IR νmax 3270, 3114, 1721, 1678, 1602, 1564, 1446, 1254, 1193, 1106, 827, 793, 697, 509 cm−1. 1H NMR (600 MHz, DMSO-d6): δ 10.49 (s, 1H, H-1), 9.89 (s, 1H, H-4), 8.11 (br s, 1H, H-2′), 7.90 (d, J = 8.8 Hz, 2H, H-3″,5″), 7.86 (d, J = 8.3 Hz, 1H, H-6′), 7.58 (t, J = 8.0 Hz, 1H, H-5′), 7.45 (d, J = 7.8 Hz, 1H, H-4′), 7.20 (d, J = 8.8 Hz, 2H, H-2″,6″), and 4.90 (s, 2H, H-3) ppm. 13C NMR (151 MHz, DMSO-d6): δ 191.4 (C-4), 166.6 (C-2), 162.6 (C-1″), 139.1 (C-1′), 131.7 (C-3″,5″), 130.2 (C-5′), 130.1 (C-4″), 129.5 (q, J = 31.6 Hz, C-3′), 124.1 (q, J = 272.3 Hz, CF3), 123.2 (C-6′), 120.1 (q, J = 3.9 Hz, C-4′), 115.7 (q, J = 4.1 Hz, C-2′), 115.2 (C-2″,6″), and 67.0 (C-3) ppm. HRMS: m/z [M + H]+ for C16H12F3NO3 calc. 324.0842; exp. 324.08441.
N-[3,5-Bis(trifluoromethyl)phenyl]-2-(4-formylphenoxy)acetamide (4g). White needles. Yield: 456 mg (71%). Mp. 139–141 °C (nHex/EtOAc). IR νmax 3403, 3046, 1690, 1604, 1378, 1278, 1239, 1161, 1125, 1109, 886, 702 cm−1. 1H NMR (600 MHz, DMSO-d6): δ 10.78 (s, 1H, H-1), 9.89 (s, 1H, H-4), 8.35 (br s, 2H, H-2′,6′), 7.90 (d, J = 8.7 Hz, 2H, H-3″,5″), 7.82 (br s, 1H, H-4′), 7.22 (d, J = 8.7 Hz, 2H, H-2″,6″), and 4.93 (s, 2H, H-3) ppm. 13C NMR (151 MHz, DMSO-d6): δ 191.4 (C-4), 167.2 (C-2), 162.5 (C-1″), 140.2 (C-1′), 131.8 (C-3″,5″), 130.8 (q, J = 32.9 Hz, C-3′,5′), 130.3 (C-4″), 123.2 (q, J = 272.7 Hz, CF3), 119.5 (C-2′,6′), 116.7 (C-4′), 115.3 (C-2″,6″), and 66.9 (C-3) ppm. HRMS: m/z [M + H]+ for C17H11F6NO3 calc. 392.07159; exp. 392.0719.
2-(4-Formyl-2-methoxyphenoxy)-N-phenylacetamide (5a). White solid. Yield: 221 mg (59%). Mp. 152–154 °C (CH2Cl2/MeOH, 148–149 °C [55]). 1H NMR (400 MHz, DMSO-d6): δ 10.20 (s, 1H, H-1), 9.85 (s, 1H, H-4), 7.60 (dd, J = 8.6, 1.3 Hz, 2H, H-2′,6′), 7.54 (dd, J = 8.3, 1.9 Hz, 1H, H-6″), 7.45 (d, J = 1.9 Hz, 1H, H-2″), 7.32 (t, J = 8.5 Hz, 2H, H-3′,5′), 7.12 (d, J = 8.3 Hz, 1H, H-5″), 7.08 (t, J = 7.4 Hz, 1H, H-4′), 4.85 (s, 2H, H-3), and 3.88 (s, 3H, OCH3) ppm.
N-(3,5-Dimethoxyphenyl)-2-(4-formyl-2-methoxyphenoxy)acetamide (5b). White needles. Yield: 390 mg (86%). Mp. 169 °C (nHex/CHCl3). IR νmax 3394, 3073, 2911, 1677, 1611, 1449, 1417, 1286, 1152, 1131, 1033, 835, 803, 646, 574, 509 cm−1. 1H NMR (600 MHz, DMSO-d6): δ 10.13 (s, 1H, H-1), 9.85 (s, 1H, H-4), 7.54 (dd, J = 8.2, 1.9 Hz, 1H, H-5″), 7.45 (d, J = 1.9 Hz, 1H, H-3″), 7.11 (d, J = 8.2 Hz, 1H, H-6″), 6.86 (d, J = 2.3 Hz, 2H, H-2′,6′), 6.24 (t, J = 2.3 Hz, 1H, H-4′), 4.83 (s, 2H, H-3), 3.88 (s, 3H, OCH3), and 3.71 (s, 6H, 2 × OCH3) ppm. 13C NMR (151 MHz, DMSO-d6): δ 191.4 (C-4), 165.9 (C-2), 160.5 (C-3′,5′), 152.8 (C-1″), 149.3 (C-2″), 140.0 (C-1′), 130.3 (C-4″), 125.6 (C-5″), 112.8 (C-6″), 110.1 (C-3″), 97.7 (C-2′,6′), 95.7 (C-4′), 67.6 (C-3), 55.6 (OCH3), and 55.1 (OCH3) ppm. HRMS: m/z [M + H]+ for C18H19NO6 calc. 346.12851; exp. 346.1292.
2-(4-Formyl-2-methoxyphenoxy)-N-(3,4,5-trimethoxyphenyl)acetamide (5c). White solid. Yield: 331 mg (67%). Mp. 158–159 °C (CH2Cl2/MeOH). IR νmax 3256, 2934, 2837, 1678, 1589, 1509, 1226, 1129, 1031, 971, 813, 782 cm−1. 1H NMR (600 MHz, DMSO-d6): δ 10.12 (s, 1H, H-1), 9.85 (s, 1H, H-4), 7.54 (dd, J = 8.3, 1.9 Hz, 1H, H-5″), 7.45 (d, J = 1.9 Hz, 1H, H-3″), 7.12 (d, J = 8.3 Hz, 1H, H-6″), 7.00 (s, 2H, H-2′,6′), 4.83 (s, 2H, H-3), 3.88 (s, 3H, OCH3), 3.73 (s, 6H, 2 × OCH3), and 3.62 (s, 3H, OCH3) ppm. 13C NMR (151 MHz, DMSO-d6): δ 191.4 (C-4), 165.7 (C-2), 152.8 (C-1″), 152.7 (C-3′,5′), 149.3 (C-2″), 134.5 (C-1′), 133.7 (C-4′), 130.3 (C-4″), 125.6 (C-5″), 112.8 (C-6″), 110.1 (C-3″), 97.1 (C-2′,6′), 67.6 (C-3), 60.1 (OCH3), 55.7 (OCH3), and 55.6 (OCH3) ppm. HRMS: m/z [M + H]+ for C19H21NO7 calc. 376.13908; exp. 376.1391.
2-(4-Formyl-2-methoxyphenoxy)-N-(4-nitrophenyl)acetamide (5d). Light yellow solid. Yield: 364 mg (84%). Mp. 161–164 °C (CHCl3/nHex). 1H NMR (400 MHz, DMSO-d6): δ 9.85 (s, 1H, H-4), 8.24 (d, J = 9.3 Hz, 2H, H-3′,5′), 7.85 (d, J = 9.3 Hz, 2H, H-2′,6′), 7.53 (dd, J = 8.3, 1.9 Hz, 1H, H-6″), 7.45 (d, J = 1.9 Hz, 1H, H-2″), 7.13 (d, J = 8.3 Hz, 1H, H-5″), 4.94 (s, 2H, H-3), and 3.88 (s, 3H, OCH3) ppm.
2-(4-Formyl-2-methoxyphenoxy)-N-(2-(trifluoromethyl)phenyl)acetamide (5e). White solid. Yield: 384 mg (83%). Mp. 152–153 °C (EtOAc/nHex, 155–156 °C [55]). 1H NMR (400 MHz, DMSO-d6): δ 9.87 (s, 1H, H-4), 9.63 (s, 1H, H-1), 7.81 (d, J = 8.2 Hz, 1H, H-6′), 7.77 (d, J = 7.4 Hz, 1H, H-3′), 7.71 (t, J = 7.7 Hz, 1H, H-5′), 7.57 (dd, J = 8.3, 1.9 Hz, 1H, H-6″), 7.46 (m, 2H, H-4′, H-2″), 7.17 (d, J = 8.3 Hz, 1H, H-5″), 4.91 (s, 2H, H-3), and 3.88 (s, 3H, OCH3) ppm.
2-(4-Formyl-2-methoxyphenoxy)-N-(3-(trifluoromethyl)phenyl)acetamide (5f). White solid. Yield: 381 mg (82%). Mp. 123–124 °C (EtOAc/nHex, 120–121 °C [55]). 1H NMR (400 MHz, DMSO-d6): δ 10.57 (s, 1H, H-1), 9.85 (s, 1H, H-4), 8.10 (s, 1H, H-2′), 7.81 (dd, J = 8.1, 2.0 Hz, 1H, H-6′), 7.58 (t, J = 8.0 Hz, 1H, H-5′), 7.54 (dd, J = 8.3, 1.9 Hz, 1H, H-6″), 7.44 (m, 2H, H-4′, H-2″), 7.13 (d, J = 8.3 Hz, 1H, H-5″), 4.90 (s, 2H, H-3), and 3.88 (s, 3H, OCH3) ppm.
N-[3,5-Bis(trifluoromethyl)phenyl]-2-(4-formyl-2-methoxyphenoxy)acetamide (5g). White solid. Yield: 380 mg (69%). Mp. 164–165 °C (MeOH/Et2O). IR νmax 3390, 3047, 1702, 1682, 1590, 1543, 1510, 1377, 1268, 1122, 887, 812, 680 cm−1. 1H NMR (600 MHz, DMSO-d6): δ 10.86 (s, 1H, H-1), 9.86 (s, 1H, H-4), 8.30 (br s, 2H, H-2′,6′), 7.81 (br s, 1H, H-4′), 7.53 (dd, J = 8.3, 1.9 Hz, 1H, H-5″), 7.46 (d, J = 1.9 Hz, 1H, H-3″), 7.16 (d, J = 8.3 Hz, 1H, H-6″), 4.93 (s, 2H, H-3), and 3.88 (s, 3H, OCH3) ppm. 13C NMR (151 MHz, DMSO-d6): δ 191.4 (C-4), 167.3 (C-2), 152.6 (C-1″), 149.4 (C-2″), 140.3 (C-1′), 130.8 (q, J = 32.8 Hz, C-3′,5′), 130.5 (C-4″), 125.5 (C-5″), 123.2 (q, J = 272.7 Hz, CF3), 119.2 (br s, C-2′,6′), 116.6 (C-4′), 113.1 (C-6″), 110.2 (C-3″), 67.5 (C-3), and 55.7 (OCH3) ppm. HRMS: m/z [M + H]+ for C18H13F6NO4 calc. 422.08215; exp. 422.0821.
3.5. General Synthetic Procedure for Compounds 6a–d
To a suspension of 4a–d (100 mg) in dry toluene (3 mL), thiazolidine-2,4-dione (9, 1.0 equiv.) and 3 drops of glacial acetic acid and piperidine were added. The reaction mixture was stirred at 110–120 °C for 6–7 h. The course of the reaction was monitored by TLC (DCM:MeOH, v/v 9:1). After the completion of the reaction, the reaction mixture was cooled to room temperature, and the formed precipitate was filtered, washed with a small amount of toluene, and dried.
2-(4-{[(5Z)-2,4-Dioxo-1,3-thiazolidin-5-ylidene]methyl}phenoxy)-N-phenylacetamide (6a). Yellow solid. Yield: 112 mg (81%). Mp. 257–259 °C (toluene), 218–221 °C [5]. 1H NMR (600 MHz, DMSO-d6): δ 12.52 (s, 1H, H-7), 10.14 (s, 1H, H-1), 7.75 (s, 1H, H-4), 7.62 (d, J = 7.3 Hz, 2H, H-2′,6′), 7.58 (d, J = 8.9 Hz, 2H, H-2″,6″), 7.32 (t, J = 8.5 Hz, 2H, H-3′,5′), 7.15 (d, J = 8.9 Hz, 2H, H-3″,5″), 7.08 (t, J = 7.4 Hz, 1H, H-4′), and 4.80 (s, 2H, H-3) ppm.
N-(3,5-Dimethoxyphenyl)-2-(4-{[(5Z)-2,4-dioxo-1,3-thiazolidin-5-ylidene]methyl}phenoxy)acetamide (6b). Pale yellow solid. Yield: 154 mg (87%). Mp. 254–256 °C (toluene). IR νmax 3396, 3105, 2937, 2840, 1682, 1595, 1549, 1426, 1311, 1260, 1160, 1012, 854 cm−1. 1H NMR (600 MHz, DMSO-d6): δ 10.09 (s, 1H, H-1), 7.74 (s, 1H, H-4), 7.58 (d, J = 8.9 Hz, 2H, H-2″,6″), 7.14 (d, J = 8.9 Hz, 2H, H-3″,5″), 6.89 (d, J = 2.3 Hz, 2H, H-2′,6′), 6.24 (t, J = 2.3 Hz, 1H, H-4′), 4.78 (s, 2H, H-3), and 3.71 (s, 6H, 2 × OCH3) ppm. 13C NMR (151 MHz, DMSO-d6): δ 168.1 (C-8), 167.7 (C-6), 166.2 (C-2), 160.5 (C-3′,5′), 159.5 (C-4″), 140.0 (C-1′), 132.0 (C-2″,6″), 131.6 (C-4), 126.2 (C-1″), 121.0 (C-5), 115.6 (C-3″,5″), 98.0 (C-2′,6′), 95.8 (C-4′), 67.1 (C-3), and 55.2 (OCH3) ppm.
2-(4-{[(5Z)-2,4-Dioxo-1,3-thiazolidin-5-ylidene]methyl}phenoxy)-N-(3,4,5-trimethoxyphenyl)acetamide (6c). Yellow solid. Yield: 145 mg (76%). Mp. 202–204 °C (toluene). IR νmax 3340, 2997, 2837, 1737, 1697, 1667, 1597, 1504, 1412, 1230, 1125, 1014, 999, 822, 689 cm−1. 1H NMR (600 MHz, DMSO-d6): δ 10.06 (s, 1H, H-1), 7.73 (s, 1H, H-4), 7.58 (d, J = 8.9 Hz, 2H, H-2″,6″), 7.15 (d, J = 8.9 Hz, 2H, H-3″,5″), 7.03 (s, 2H, H-2′,6′), 4.77 (s, 2H, H-3), 3.73 (s, 6H, OCH3), and 3.61 (s, 3H, OCH3) ppm. 13C NMR (151 MHz, DMSO-d6): δ 168.4 (C-6), 168.4 (C-8), 166.0 (C-2), 159.4 (C-4″), 152.8 (C-3′,5′), 134.5 (C-1′), 133.8 (C-4′), 132.0 (C-2″,6″), 131.2 (C-4), 126.3 (C-1″), 121.5 (C-5), 115.6 (C-3″,5″), 97.5 (C-2′,6′), 67.1 (C-3), 60.2 (OCH3), and 55.8 (OCH3) ppm. HRMS: m/z [M + H]+ for C21H20N2O7S calc. 445.1064; calc. 445.1066.
2-(4-{[(5Z)-2,4-Dioxo-1,3-thiazolidin-5-ylidene]methyl}phenoxy)-N-(4-nitrophenyl)acetamide (6d). Pale yellow solid. Yield: 148 mg (87%). Mp. 292–294 °C (toluene). IR νmax 3372, 3041, 1737, 1692, 1591, 1508, 1342, 1256, 1180, 1150, 852, 689 cm−1. 1H NMR (600 MHz, DMSO-d6): δ 12.52 (br s, 1H, H-7), 10.76 (s, 1H, H-1), 8.24 (d, J = 9.2 Hz, 2H, H-3′,5′), 7.89 (d, J = 9.2 Hz, 2H, H-2′,6′), 7.73 (s, 1H, H-4), 7.58 (d, J = 8.9 Hz, 2H, H-2″,6″), 7.16 (d, J = 8.9 Hz, 2H, H-3″,5″), and 4.89 (s, 2H, H-3) ppm. 13C NMR (151 MHz, DMSO-d6): δ 168.3 (C-6), 168.1 (C-8), 167.1 (C-2), 159.3 (C-4″), 144.5 (C-1′), 142.6 (C-4′), 132.0 (C-2″,6″), 131.2 (C-4), 126.3 (C-1″), 125.0 (C-3′,5′), 121.4 (C-5), 119.3 (C-2′,6′), 115.6 (C-3″,5″), and 67.0 (C-3) ppm. HRMS: m/z [M + H]+ for C18H13N3O6S calc. 400.05978; exp. 400.0596.
3.6. General Synthetic Procedure for Compounds 10 and 11
To a suspension of the potassium salt of thiazolidine-2,4-dione (300 mg, 1.10 mmol) in N,N-dimethylformamide (5 mL), 9-(bromomethyl)acridine (171 mg, 1.10 mmol) or 4-(bromomethyl)acridine (171 mg, 1.10 mmol) was added. The reaction mixture was stirred at 100 °C for 1 h. The course of the reaction was monitored by TLC (nHex:EtOAc, v/v 2:1). After the completion of the reaction, the reaction mixture was poured into crushed ice, and the formed precipitate was filtered, washed with water, and dried.
3-(Acridin-9-ylmethyl)thiazolidine-2,4-dione (10). Yellow solid. Yield: 566 mg (95%). Mp. 196–198 °C (chloroform, 196–197 °C [16]). 1H NMR (400 MHz, DMSO-d6): δ 8.42 (d, J = 8.3 Hz, 2H, H-1′,8′), 8.17 (d, J = 8.1 Hz, 2H, H-4′,5′), 7.85 (ddd, J = 8.7, 6.5, 1.2 Hz, 2H, H-3′,6′), 7.67 (ddd, J = 8.9, 6.5, 1.3 Hz, 2H, H-2′,7′), 5.75 (s, 2H, H-6), and 4.22 (s, 2H, H-5) ppm.
3-(Acridin-4-ylmethyl)thiazolidine-2,4-dione (11). Pale orange solid. Yield: 572 mg (96%). Mp. 150–151 °C (chloroform). IR νmax 2990, 2921, 2359, 2341, 1741, 1661, 1374, 1306, 1154, 896 cm−1. 1H NMR (600 MHz, DMSO-d6): δ 9.16 (s, 1H, H-9′), 8.20 (d, J = 8.1 Hz, 1H, H-8′), 8.18 (d, J = 8.4 Hz, 1H, H-5′), 8.12 (dd, J = 8.5, 1.4 Hz, 1H, H-1′), 7.90 (ddd, J = 8.4, 6.5, 1.4 Hz, 1H, H-6′), 7.66 (ddd, J = 8.1, 6.6, 1.1 Hz, 1H, H-7′), 7.56 (dd, J = 8.4, 6.8 Hz, 1H, H-2′), 7.50 (dd, J = 6.8, 1.4 Hz, 1H, H-3′), 5.46 (s, 2H, H-6), and 4.38 (s, 2H, H-5) ppm. 13C NMR (151 MHz, DMSO-d6): δ 172.4 (C-4), 172.2 (C-2), 147.6 (C-10′a), 146.0 (C-4′a), 136.7 (C-9′), 132.2 (C-4′), 130.8 (C-6′), 129.2 (C-5′), 128.5 (C-8′), 128.0 (C-1′), 126.5 (C-3′), 126.1 (C-7′), 126.1 (C-8′a), 125.9 (C-9′a), 125.2 (C-2′), 41.8 (C-6), and 34.2 (C-5) ppm.
3.7. General Synthetic Procedure for Compounds 7, 8, 12, and 13
Procedure 1 (for compounds 7a–d and 8a–d, Scheme 1): To a suspension of acetamide 6a–d (50 mg) in dry acetone (3 mL), anhydrous K2CO3 (1.2 equiv.), KI (0.2 equiv.), and 9-(bromomethyl)acridine (1.0 equiv.) or 4-(bromomethyl)acridine (1.0 equiv.) were added. The reaction mixture was stirred at 65–70 °C for the appropriate time (7a: 3 h, 7b,c: 6 h, 7d: 7 h, 8a: 7 h, and 8b–d: 6 h). The course of the reaction was monitored by TLC (DCM). After the completion of the reaction, the reaction mixture was evaporated under reduced pressure, and the crude product was suspended in water, filtered, and dried. Products 7a–d and 8a–d were crystallized using DMSO/MeOH.
Procedure 2 (for compounds 7a–g, 8a–g, 12a–g, 13a–g, Scheme 2): To a suspension of acetamide 4a–g or 5a–g (50 mg) in dry ethanol (3 mL), derivative 10 or 11 (1.0 equiv.) and 3 drops of piperidine and glacial acetic acid were added. The reaction mixture was stirred and refluxed for the appropriate time (7a: 1 h, 7b,e–g: 2 h, 7c: 3 h, 7d: 4 h; 8a: 2 h, 8b–g: 3 h, 12a–e: 5 h, 12f: 4 h, 12g: 3 h, 13a,d–f: 4 h, and 13b,c,g: 5 h). The course of the reaction was monitored by TLC (nHex:EtOAc, v/v 2:1). After the reaction was completed, the reaction mixture was cooled, and the formed precipitate was filtered, washed with absolute ethanol, and dried.
2-(4-{[(5Z)-3-[(Acridin-9-yl)methyl]-2,4-dioxo-1,3-thiazolidin-5-ylidene]methyl}phenoxy)-N-phenylacetamide (7a). Pale yellow solid. Yield: 42 mg (55%, procedure 1), 84 mg (79%, procedure 2). Mp. 249–250 °C (EtOH). IR νmax 3273, 3062, 1741, 1673, 1596, 1538, 1505, 1252, 1179,1058, 756, 717 cm−1. 1H NMR (600 MHz, DMSO-d6): δ 10.13 (s, 1H, H-1), 8.46 (d, J = 9.0 Hz, 2H, H-1‴,8‴), 8.18 (d, J = 8.7 Hz, 2H, H-4‴,5‴), 7.89 (s, 1H, H-4), 7.86 (ddd, J = 8.8, 6.5, 1.2 Hz, 2H, H-3‴,6‴), 7.68 (ddd, J = 8.8, 6.5, 1.2 Hz, 2H, H-2‴,7‴), 7.60 (d, J = 7.3 Hz, 2H, H-2′,6′), 7.56 (d, J = 9.0 Hz, 2H, H-2″,6″), 7.31 (dd, J = 8.6, 7.3 Hz, 2H, H-3′,5′), 7.13 (d, J = 9.0 Hz, 2H, H-3″,5″), 7.07 (tt, J = 7.3, 1.2 Hz, 1H, H-4′), 5.92 (s, 2H, H-10), and 4.79 (s, 2H, H-3) ppm. 13C NMR (151 MHz, DMSO-d6): δ 167.5 (C-8), 166.0 (C-2), 165.7 (C-6), 159.9 (C-4″), 148.1 (C-4‴a,10‴a), 138.3 (C-1′), 137.7 (C-9‴), 133.8 (C-4), 132.4 (C-2″,6″), 130.1 (C-3‴,6‴), 129.9 (C-4‴,5‴), 128.8 (C-3′,5′), 126.5 (C-2‴,7‴), 125.9 (C-1″), 125.2 (C-8‴a,9‴a), 124.7 (C-1‴,8‴), 123.8 (C-4′), 119.7 (C-2′,6′), 117.6 (C-5), 115.7 (C-3″,5″), 67.0 (C-3), and 38.3 (C-10) ppm. 15N NMR (61 MHz, DMSO-d6): δ −250.8 (N-1) and −211.8 (N-7) ppm. HRMS: m/z [M + H]+ for C32H23N3O4S calc. 546.1482; exp. 546.1489.
2-(4-{[(5Z)-3-[(Acridin-9-yl)methyl]-2,4-dioxo-1,3-thiazolidin-5-ylidene]methyl}phenoxy)-N-(3,5-dimethoxyphenyl)acetamide (7b). Pale yellow solid. Yield: 40 mg (54%, procedure 1), 73 mg (75%, procedure 2). Mp. 280–282 °C (EtOH). IR νmax 3408, 2838, 1736, 1682, 1593, 1542, 1510, 1254, 1186, 1153, 1058, 748, 716 cm−1. 1H NMR (600 MHz, DMSO-d6): δ 10.09 (s, 1H, H-1), 8.46 (d, J = 9.0 Hz, 2H, H-1‴,8‴), 8.18 (d, J = 8.7 Hz, 2H, H-4‴,5‴), 7.90 (s, 1H, H-4), 7.86 (ddd, J = 8.7, 6.5, 1.2 Hz, 2H, H-3‴,6‴), 7.69 (ddd, J = 8.9, 6.5, 1.2 Hz, 2H, H-2‴,7‴), 7.57 (d, J = 9.0 Hz, 2H, H-2″,6″), 7.12 (d, J = 9.0 Hz, 2H, H-3″,5″), 6.87 (d, J = 2.3 Hz, 2H, H-2′,6′), 6.24 (t, J = 2.3 Hz, 1H, H-4′), 5.92 (s, 2H, H-10), 4.77 (s, 2H, H-3), and 3.70 (s, 6H, 2 × OCH3) ppm. 13C NMR (151 MHz, DMSO-d6): δ 167.5 (C-8), 166.1 (C-2), 165.7 (C-6), 160.5 (C-3′,5′), 159.9 (C-4″), 148.1 (C-4‴a,10‴a), 140.0 (C-1′), 137.7 (C-9‴), 133.8 (C-4), 132.4 (C-2″,6″), 130.1 (C-3‴,6‴), 129.9 (C-4‴,5‴), 126.5 (C-2‴,7‴), 125.8 (C-1″), 125.2 (C-8‴a,9‴a), 124.7 (C-1‴,8‴), 117.5 (C-5), 115.7 (C-3″,5″), 97.9 (C-2′,6′), 95.7 (C-4′), 67.0 (C-3), 55.1 (OCH3), and 38.3 (C-10) ppm. 15N (61 MHz, DMSO-d6): δ −250.1 (N-1) and −211.7 (N-7) ppm. HRMS: m/z [M + H]+ for C34H27N3O6S calc. 606.16933; exp. 606.1702.
2-(4-{[(5Z)-3-[(Acridin-9-yl)methyl]-2,4-dioxo-1,3-thiazolidin-5-ylidene]methyl}phenoxy)-N-(3,4,5-trimethoxyphenyl)acetamide (7c). Pale yellow solid. Yield: 40 mg (56%, procedure 1), 74 mg (83%, procedure 2). Mp. 248–249 °C (EtOH). IR νmax 3406, 2942, 2825, 1737, 1681, 1589, 1542, 1510, 1234, 1186, 1183, 1126, 1055, 750, 716 cm−1. 1H NMR (600 MHz, DMSO-d6): δ 10.08 (s, 1H, H-1), 8.46 (d, J = 9.0 Hz, 2H, H-1‴,8‴), 8.18 (d, J = 8.6 Hz, 2H, H-4‴,5‴), 7.90 (s, 1H, H-4), 7.86 (ddd, J = 8.7, 6.5, 1.2 Hz, 2H, H-3‴,6‴), 7.68 (ddd, J = 8.9, 6.5, 1.2 Hz, 2H, H-2‴,7‴), 7.57 (d, J = 9.0 Hz, 2H, H-2″,6″), 7.13 (d, J = 9.0 Hz, 2H, H-3″,5″), 7.02 (s, 2H, H-2′,6′), 5.92 (s, 2H, H-10), 4.77 (s, 2H, H-3), 3.72 (s, 6H, 2 × OCH3), and 3.61 (s, 3H, OCH3) ppm. 13C NMR (151 MHz, DMSO-d6): δ 167.5 (C-8), 165.8 (C-2), 165.7 (C-6), 159.9 (C-4″), 152.7 (C-3′,5′), 148.1 (C-4‴a,10‴a), 137.7 (C-9‴), 134.5 (C-1′), 133.8 (C-4), 133.7 (C-4′), 132.4 (C-2″,6″), 130.1 (C-3‴,6‴), 129.9 (C-4‴,5‴), 126.4 (C-2‴,7‴), 125.9 (C-1″), 125.2 (C-8‴a,9‴a), 124.7 (C-1‴,8‴), 117.5 (C-5), 115.7 (C-3″,5″), 97.3 (C-2′,6′), 67.0 (C-3), 60.1 (OCH3), 55.7 (OCH3), and 38.3 (C-10) ppm. 15N (61 MHz, DMSO-d6): δ −250.9 (N-1), −211.7 (N-7), and −70.9 (N-10‴) ppm. HRMS: m/z [M + H]+ for C35H29N3O7S calc. 636.1799; exp. 636.1809.
2-(4-{[(5Z)-3-[(Acridin-9-yl)methyl]-2,4-dioxo-1,3-thiazolidin-5-ylidene]methyl}phenoxy)-N-(4-nitrophenyl)acetamide (7d). Pale yellow solid. Yield: 21 mg (28%, procedure 1), 70 mg (70%, procedure 2). Mp. 293–294 °C (EtOH). IR νmax 3068, 1737, 1687, 1592, 1544, 1503, 1331, 1243, 1181, 1042, 750, 714 cm−1. 1H NMR (600 MHz, DMSO-d6): δ 10.77 (s, 1H, H-1), 8.46 (d, J = 9.0 Hz, 2H, H-1‴,8‴), 8.24 (d, J = 9.2 Hz, 2H, H-3′,5′), 8.18 (d, J = 8.7 Hz, 2H, H-4‴,5‴), 7.90 (s, 1H, H-4), 7.87 (d, J = 9.2 Hz, 2H, H-2′,6′), 7.86 (ddd, J = 8.7, 6.5, 1.2 Hz, 2H, H-3‴,6‴), 7.68 (ddd, J = 8.8, 6.5, 1.2 Hz, 2H, H-2‴,7‴), 7.57 (d, J = 9.0 Hz, 2H, H-2″,6″), 7.14 (d, J = 9.0 Hz, 2H, H-3″,5″), 5.92 (s, 2H, H-10), and 4.88 (s, 2H, H-3) ppm. 13C NMR (151 MHz, DMSO-d6): δ 167.5 (C-8), 167.1 (C-2), 165.7 (C-6), 159.7 (C-4″), 148.1 (C-4‴a,10‴a), 144.5 (C-1′), 142.6 (C-4′), 137.7 (C-9‴), 133.8 (C-4), 132.4 (C-2″,6″), 130.1 (C-3‴,6‴), 129.9 (C-4‴,5‴), 126.4 (C-2‴,7‴), 125.9 (C-1″), 125.2 (C-8‴a,9‴a), 125.0 (C-3′,5′), 124.7 (C-1‴,8‴), 119.3 (C-2′,6′), 117.6 (C-5), 115.7 (C-3″,5″), 66.9 (C-3), and 38.3 (C-10) ppm. 15N (61 MHz, DMSO-d6): δ −248.6 (N-1), −211.7 (N-7), and −70.9 (N-10‴) ppm. HRMS: m/z [M + H]+ for C32H22N4O6S calc. 591.13328; exp. 591.1348.
2-(4-{[(5Z)-3-[(Acridin-9-yl)methyl]-2,4-dioxo-1,3-thiazolidin-5-ylidene]methyl}phenoxy)-N-[2-(trifluoromethyl)phenyl]acetamide (7e). Pale yellow solid. Yield: 67 mg (73%). Mp. 256–257 °C (d, EtOH). IR νmax 3419, 3038, 2917, 1736, 1681, 1590, 1538, 1500, 1321, 1253, 1178, 1058, 765, 750, 716 cm−1. 1H NMR (600 MHz, DMSO-d6): δ 9.78 (s, 1H, H-1), 8.47 (d, J = 8.9 Hz, 2H, H-1‴,8‴), 8.19 (d, J = 8.7 Hz, 2H, H-4‴,5‴), 7.91 (s, 1H, H-4), 7.86 (t, J = 7.6 Hz, 2H, H-3‴,6‴), 7.75 (d, J = 7.9 Hz, 1H, H-3′), 7.69 (m, 3H, H-5′,2‴,7‴), 7.62 (d, J = 8.1 Hz, 1H, H-6′), 7.58 (d, J = 8.5 Hz, 2H, H-2″,6″), 7.47 (t, J = 7.7 Hz, 1H, H-4′), 7.14 (d, J = 8.4 Hz, 2H, H-3″,5″), 5.93 (s, 2H, H-10), and 4.84 (s, 2H, H-3) ppm. 13C NMR (151 MHz, DMSO-d6): δ 167.4 (C-8), 167.1 (C-2), 165.7 (C-6), 159.5 (C-4″), 148.1 (C-4‴a,10‴a), 137.6 (C-9‴), 134.6 (C-1′), 133.8 (C-4), 133.2 (C-5′), 132.3 (C-2″,6″), 130.0 (C-3‴,6‴), 129.9 (C-4‴,5‴), 129.3 (C-6′), 126.9 (C-4′), 126.4 (C-2‴,7‴), 126.4 (C-3′), 126.0 (C-1″), 125.1 (C-8‴a,9‴a), 124.7 (C-1‴,8‴), 124.5 (C-2′), 117.7 (C-5), 115.7 (C-3″,5″), 66.8 (C-3), and 38.3 (C-10) ppm. 15N (61 MHz, DMSO-d6): δ −259.5 (N-1) and −211.7 (N-7) ppm.
2-(4-{[(5Z)-3-[(Acridin-9-yl)methyl]-2,4-dioxo-1,3-thiazolidin-5-ylidene]methyl}phenoxy)-N-[3-(trifluoromethyl)phenyl]acetamide (7f). Pale yellow solid. Yield: 70 mg (76%). Mp. 250–251 °C (d, EtOH). IR νmax 3585, 3401, 3068, 2919, 1740, 1686, 1595, 1549, 1509, 1338, 1257, 1184, 1049, 765, 750, 715 cm−1. 1H NMR (600 MHz, DMSO-d6): δ 10.47 (s, 1H, H-1), 8.46 (d, J = 8.8 Hz, 2H, H-1‴,8‴), 8.18 (d, J = 8.6 Hz, 2H, H-4‴,5‴), 8.10 (s, 1H, H-2′), 7.90 (s, 1H, H-4), 7.85 (m, 3H, H-6′, H-3‴,6‴), 7.68 (ddd, J = 8.9, 6.5, 1.2 Hz, 2H, H-2‴,7‴), 7.57 (d, J = 8.5 Hz, 2H, H-2″,6″), 7.56 (m, 1H, H-5′), 7.44 (d, J = 7.8 Hz, 1H, H-4′), 7.15 (d, J = 9.0 Hz, 2H, H-3″,5″), 5.92 (s, 2H, H-10), and 4.84 (s, 2H, H-3) ppm. 13C NMR (151 MHz, DMSO-d6): δ 167.4 (C-8), 166.7 (C-2), 165.7 (C-6), 159.7 (C-4″), 148.1 (C-4‴a,10‴a), 139.1 (C-1′), 137.6 (C-9‴), 133.8 (C-4), 132.3 (C-2″,6″), 130.1 (C-3‴,6‴), 129.9 (C-4‴,5‴), 129.9 (C-5′), 129.4 (q, J = 32.0 Hz, C-3′), 126.8 (C-2‴,7‴), 125.9 (C-1″), 125.1 (C-8‴a,9‴a), 124.7 (C-1‴,8‴), 124.1 (q, J = 272.0 Hz, CF3), 123.2 (C-6′), 120.1 (br s, C-4′), 117.6 (C-5), 115.7 (C-3″,5″), 115.7 (br s, C-2′), 66.9 (C-3), and 38.3 (C-10) ppm. 15N (61 MHz, DMSO-d6): δ −251.4 (N-1) and −211.7 (N-7) ppm.
2-(4-{[(5Z)-3-[(Acridin-9-yl)methyl]-2,4-dioxo-1,3-thiazolidin-5-ylidene]methyl}phenoxy)-N-[3,5-bis(trifluoromethyl)phenyl]acetamide (7g). Pale yellow solid. Yield: 67 mg (76%). Mp. 227–228 °C (d, EtOH). IR νmax 3401, 3284, 1730, 1715, 1682, 1596, 1544, 1509, 1385, 1372, 1281, 1181, 1060, 756, 714 cm−1. 1H NMR (600 MHz, DMSO-d6): δ 10.75 (s, 1H, H-1), 8.46 (d, J = 8.7 Hz, 2H, H-1‴,8‴), 8.33 (s, 2H, H-2′,6′), 8.14 (d, J = 8.8 Hz, 2H, H-4‴,5‴), 7.90 (s, 1H, H-4), 7.86 (ddd, J = 8.7, 6.6, 1.2 Hz, 2H, H-3‴,6‴), 7.81 (s, 1H, H-4′), 7.68 (ddd, J = 8.9, 6.5, 1.2 Hz, 2H, H-2‴,7‴), 7.58 (d, J = 9.0 Hz, 2H, H-2″,6″), 7.17 (d, J = 9.0 Hz, 2H, H-3″,5″), 5.92 (s, 2H, H-10), and 4.87 (s, 2H, H-3) ppm. 13C NMR (151 MHz, DMSO-d6): δ 167.4 (C-8), 167.3 (C-2), 165.7 (C-6), 159.6 (C-4″), 148.1 (C-4‴a,10‴a), 140.2 (C-1′), 137.6 (C-9‴), 133.7 (C-4), 132.3 (C-2″,6″), 130.8 (q, J = 32.0 Hz, C-3′,5′), 130.0 (C-3‴,6‴), 129.9 (C-4‴,5‴), 126.4 (C-2‴,7‴), 126.0 (C-1″), 125.1 (C-8‴a,9‴a), 124.7 (C-1‴,8‴), 123.2 (q, J = 272.0 Hz, CF3), 119.5 (br s, C-2′,6′), 117.7 (C-5), 116.7 (br s, C-4′), 115.7 (C-3″,5″), 66.9 (C-3), and 38.3 (C-10) ppm. 15N (61 MHz, DMSO-d6): δ −251.5 (N-1) and −211.7 (N-7) ppm.
2-(4-{[(5Z)-3-[(Acridin-4-yl)methyl]-2,4-dioxo-1,3-thiazolidin-5-ylidene]methyl}phenoxy)-N-phenylacetamide (8a). Pale yellow solid. Yield: 74 mg (69%). Mp. 258–259 °C (d, EtOH). IR νmax 3326, 3037, 2906, 1742, 1673, 1595, 1528, 1499, 1245, 1178, 1139, 1057, 747, 738, 716 cm−1. 1H NMR (600 MHz, DMSO-d6): δ 10.16 (s, 1H, H-1), 9.17 (s, 1H, H-9‴), 8.20 (d, J = 8.4 Hz, 1H, H-8‴), 8.17 (dd, J = 8.8, 1.0 Hz, 1H, H-5‴), 8.13 (dd, J = 7.8, 1.8 Hz, 1H, H-1‴), 7.97 (s, 1H, H-4), 7.89 (ddd, J = 8.7, 6.6, 1.5 Hz, 1H, H-6‴), 7.66 (m, 3H, H-2″,6″, H-7‴), 7.63 (d, J = 7.4 Hz, 2H, H-2′,6′), 7.55 (m, 2H, H-2‴, H-3‴), 7.33 (dd, J = 8.5, 7.4 Hz, 2H, H-3′,5′), 7.19 (d, J = 8.8 Hz, 2H, H-3″,5″), 7.09 (tt, J = 7.4, 1.2 Hz, 1H, H-4′), 5.60 (s, 2H, H-10), and 4.83 (s, 2H, H-3) ppm. 13C NMR (151 MHz, DMSO-d6): δ 167.5 (C-8), 166.0 (C-2), 165.9 (C-6), 159.8 (C-4″), 147.7 (C-10‴a), 146.1 (C-4‴a), 138.3 (C-1′), 136.8 (C-9‴), 133.0 (C-4), 132.2 (C-2″,6″), 132.1 (C-4‴), 130.9 (C-6‴), 129.1 (C-5‴), 128.8 (C-3′,5′), 128.5 (C-8‴), 128.1 (C-1‴), 127.0 (C-3‴), 126.2 (C-7‴), 126.2 (C-8‴a), 126.1 (C-1″), 126.0 (C-9‴a), 125.3 (C-2‴), 123.7 (C-4′), 119.7 (C-2′,6′), 118.6 (C-5), 115.7 (C-3″,5″), 67.0 (C-3), and 42.3 (C-10) ppm. 15N (61 MHz, DMSO-d6): δ −250.8 (N-1) and −215.0 (N-7) ppm. HRMS: m/z [M + H]+ for C32H23N3O4S calc. 546.1482; exp. 546.1484.
2-(4-{[(5Z)-3-[(Acridin-4-yl)methyl]-2,4-dioxo-1,3-thiazolidin-5-ylidene]methyl}phenoxy)-N-(3,5-dimethoxyphenyl)acetamide (8b). Pale yellow solid. Yield: 22 mg (30%, procedure 1), 60 mg (62%, procedure 2). Mp. 168–169 °C (d, EtOH). IR νmax 3340, 2917, 2848, 1737, 1677, 1598, 1547, 1507, 1247, 1180, 1146, 1058, 739 cm−1. 1H NMR (600 MHz, DMSO-d6): δ 10.10 (s, 1H, H-1), 9.17 (s, 1H, H-9‴), 8.20 (d, J = 8.4 Hz, 1H, H-8‴), 8.17 (dd, J = 8.8, 1.0 Hz, 1H, H-5‴), 8.13 (dd, J = 7.8, 1.8 Hz, 1H, H-1‴), 7.97 (s, 1H, H-4), 7.89 (ddd, J = 8.7, 6.6, 1.5 Hz, 1H, H-6‴), 7.66 (m, 3H, H-2″,6″, H-7‴), 7.63 (d, J = 2.3 Hz, 2H, H-2′,6′), 7.55 (m, 2H, H-2‴,3‴), 7.18 (d, J = 8.8 Hz, 2H, H-3″,5″), 6.25 (t, J = 2.3 Hz, 1H, H-4′), 5.60 (s, 2H, H-10), 4.80 (s, 2H, H-3), and 3.71 (s, 6H, 2 × OCH3) ppm. 13C NMR (151 MHz, DMSO-d6): δ 167.5 (C-8), 166.1 (C-2), 165.9 (C-6), 160.5 (C-3′,5′), 159.7 (C-4″), 147.7 (C-10‴a), 146.1 (C-4‴a), 140.0 (C-1′), 136.8 (C-9‴), 133.0 (C-4), 132.2 (C-2″,6″), 132.1 (C-4‴), 130.9 (C-6‴), 129.1 (C-5‴), 128.5 (C-8‴), 128.1 (C-1‴), 127.0 (C-3‴), 126.2 (C-7‴), 126.2 (C-8‴a), 126.1 (C-1″), 126.0 (C-9‴a), 125.3 (C-2‴), 118.6 (C-5), 115.7 (C-3″,5″), 97.9 (C-2′,6′), 95.7 (C-4′), 67.0 (C-3), 55.1 (OCH3), and 42.3 (C-10) ppm. 15N (61 MHz, DMSO-d6): δ −250.1 (N-1) and −215.0 (N-7) ppm. HRMS: m/z [M + H]+ for C34H27N3O6S calc. 606.16933; exp. 606.16950.
2-(4-{[(5Z)-3-[(Acridin-4-yl)methyl]-2,4-dioxo-1,3-thiazolidin-5-ylidene]methyl}phenoxy)-N-(3,4,5-trimethoxyphenyl)acetamide (8c). Pale yellow solid. Yield: 12 mg (16%, procedure 1), 67 mg (75%, procedure 2). Mp. 193–194 °C (d, EtOH). IR νmax 3278, 2936, 2839, 1742, 1677, 1598, 1526, 1506, 1251, 1231, 1180, 1133, 1052, 740 cm−1. 1H NMR (600 MHz, DMSO-d6): δ 10.08 (s, 1H, H-1), 9.17 (s, 1H, H-9‴), 8.20 (dd, J = 8.4, 1.0 Hz, 1H, H-8‴), 8.17 (dd, J = 8.8, 1.0 Hz, 1H, H-5‴), 8.13 (dd, J = 7.9, 2.0 Hz, 1H, H-1‴), 7.97 (s, 1H, H-4), 7.89 (ddd, J = 8.7, 6.6, 1.5 Hz, 1H, H-6‴), 7.66 (m, 3H, H-2″,6″, H-7‴), 7.55 (m, 2H, H-2‴, H-3‴), 7.19 (d, J = 8.8 Hz, 2H, H-3″,5″), 7.04 (s, 2H, H-2′,6′), 5.60 (s, 2H, H-10), 4.80 (s, 2H, H-3), 3.74 (s, 6H, 2 × OCH3), and 3.62 (s, 3H, OCH3) ppm. 13C NMR (151 MHz, DMSO-d6): δ 167.5 (C-8), 165.9 (C-2), 165.9 (C-6), 159.7 (C-4″), 152.7 (C-3′,5′), 147.7 (C-10‴a), 146.1 (C-4‴a), 136.8 (C-9‴), 134.5 (C-1′), 133.7 (C-4′), 133.0 (C-4), 132.2 (C-2″,6″), 132.1 (C-4‴), 130.9 (C-6‴), 129.1 (C-5‴), 128.5 (C-8‴), 128.1 (C-1‴), 127.0 (C-3‴), 126.2 (C-7‴), 126.2 (C-8‴a), 126.1 (C-1″), 126.0 (C-9‴a), 125.4 (C-2‴), 118.6 (C-5), 115.7 (C-3″,5″), 97.4 (C-2′,6′), 67.0 (C-3), 60.1 (OCH3), 55.7 (OCH3), and 42.4 (C-10) ppm. HRMS: m/z [M + H]+ for C35H29N3O7S calc. 636.1799; exp. 636.1806.
2-(4-{[(5Z)-3-[(Acridin-4-yl)methyl]-2,4-dioxo-1,3-thiazolidin-5-ylidene]methyl}phenoxy)-N-(4-nitrophenyl)acetamide (8d). Pale yellow solid. Yield: 28 mg (38%, procedure 1), 63 mg (63%, procedure 2). Mp. > 300 °C (d, EtOH). IR νmax 3325, 3028, 1745, 1674, 1597, 1535, 1502, 1345, 1246, 1180, 1058, 743, 712 cm−1. 1H NMR (600 MHz, DMSO-d6): δ 10.78 (s, 1H, H-1), 9.17 (s, 1H, H-9‴), 8.25 (d, J = 9.3 Hz, 2H, H-3′,5′), 8.21 (d, J = 8.4 Hz, 1H, H-8‴), 8.17 (d, J = 8.6 Hz, 1H, H-5‴), 8.13 (d, J = 7.9 Hz, 1H, H-1‴), 7.97 (s, 1H, H-4), 7.89 (d, J = 9.3 Hz, 2H, H-2′,6′), 7.89 (m, 1H, H-6‴), 7.67 (m, 3H, H-2″,6″, H-7‴), 7.56 (m, 2H, H-2‴, H-3‴), 7.20 (d, J = 8.8 Hz, 2H, H-3″,5″), 5.60 (s, 2H, H-10), and 4.80 (s, 2H, H-3) ppm. 13C NMR (151 MHz, DMSO-d6): δ 167.5 (C-8), 167.1 (C-2), 165.9 (C-6), 159.6 (C-4″), 147.7 (C-10‴a), 146.1 (C-4‴a), 144.5 (C-1′), 142.6 (C-4′), 136.8 (C-9‴), 133.0 (C-4), 132.2 (C-2″,6″), 132.1 (C-4‴), 130.9 (C-6‴), 129.1 (C-5‴), 128.5 (C-8‴), 128.1 (C-1‴), 127.0 (C-3‴), 126.2 (C-7‴), 126.2 (C-1″), 126.0 (C-8‴a), 126.0 (C-9‴a), 125.3 (C-2‴), 125.0 (C-3′,5′), 119.3 (C-2′,6′), 118.7 (C-5), 115.7 (C-3″,5″), 67.0 (C-3), and 42.3 (C-10) ppm. HRMS: m/z [M + H]+ for C32H22N4O6S calc. 591.13328; exp. 591.1336.
2-(4-{[(5Z)-3-[(Acridin-4-yl)methyl]-2,4-dioxo-1,3-thiazolidin-5-ylidene]methyl}phenoxy)-N-[2-(trifluoromethyl)phenyl]acetamide (8e). Pale yellow solid. Yield: 67 mg (73%). Mp. 205–206 °C (d, EtOH). IR νmax 3263, 3039, 1741, 1674, 1599, 1519, 1504, 1323, 1237, 1172, 1059, 756, 739, 716 cm−1. 1H NMR (600 MHz, DMSO-d6): δ 9.80 (s, 1H, H-1), 9.17 (s, 1H, H-9‴), 8.21 (d, J = 8.4 Hz, 1H, H-8‴), 8.17 (d, J = 8.8 Hz, 1H, H-5‴), 8.13 (dd, J = 7.4, 2.5 Hz, 1H, H-1‴), 7.99 (s, 1H, H-4), 7.77 (d, J = 7.8 Hz, 1H, H-3′), 7.89 (ddd, J = 8.6, 6.6, 1.5 Hz, 1H, H-6‴), 7.72 (t, J = 7.5 Hz, 1H, H-5′), 7.68 (d, J = 8.8 Hz, 2H, H-2″,6″), 7.65 (m, 4H, H-6′, H-3‴ and H-2‴,7‴), 7.49 (t, J = 7.6 Hz, 1H, H-4′), 7.19 (d, J = 8.8 Hz, 2H, H-3″,5″), 5.61 (s, 2H, H-10), and 4.87 (s, 2H, H-3) ppm. 13C NMR (151 MHz, DMSO-d6): δ 167.5 (C-8), 167.1 (C-2), 165.9 (C-6), 159.4 (C-4″), 147.7 (C-10‴a), 146.1 (C-4‴a), 136.8 (C-9‴), 134.6 (C-1′), 133.2 (C-5′), 133.0 (C-4), 132.2 (C-4‴), 132.2 (C-2″,6″), 130.9 (C-6‴), 129.3 (C-6′), 129.1 (C-5‴), 128.5 (C-8‴), 128.1 (C-1‴), 127.0 (C-3‴), 126.9 (C-4′), 126.4 (C-3′), 126.4 (C-1″), 126.2 (C-7‴), 126.3 (C-8‴a), 126.0 (C-9‴a), 125.4 (C-2‴), 124.2 (q, J = 30.0 Hz, C-2′), 123.6 (q, J = 273.4 Hz, CF3), 118.8 (C-5), 115.7 (C-3″,5″), 66.8 (C-3), and 42.3 (C-10) ppm. 15N (61 MHz, DMSO-d6): δ −259.5 (N-1) and −215.0 (N-7) ppm. HRMS: m/z [M + H]+ for C33H22F3N3O4S calc. 614.13559; exp. 614.13590.
2-(4-{[(5Z)-3-[(Acridin-4-yl)methyl]-2,4-dioxo-1,3-thiazolidin-5-ylidene]methyl}phenoxy)-N-[3-(trifluoromethyl)phenyl]acetamide (8f). Pale yellow solid. Yield: 76 mg (83%). Mp. 219–220 °C (d, EtOH). IR νmax 3310, 3028, 1742, 1673, 1597, 1534, 1507, 1335, 1247, 1164, 1058, 741, 716 cm−1. 1H NMR (600 MHz, DMSO-d6): δ 10.50 (s, 1H, H-1), 9.17 (s, 1H, H-9‴), 8.20 (d, J = 8.4 Hz, 1H, H-8‴), 8.17 (dd, J = 8.8, 1.0 Hz, 1H, H-5‴), 8.13 (m, 2H, H-2′, H-1‴), 7.97 (s, 1H, H-4), 7.89 (ddd, J = 8.7, 6.6, 1.5 Hz, 1H, H-6‴), 7.86 (d, J = 2.1 Hz, 1H, H-6′), 7.67 (d, J = 8.9 Hz, 2H, H-2″,6″), 7.59 (t, J = 8.0 Hz, 1H, H-5′), 7.55 (m, 2H, H-2‴, H-3‴), 7.45 (d, J = 7.9 Hz, 1H, H-4′), 7.20 (d, J = 8.9 Hz, 2H, H-3″,5″), 5.60 (s, 2H, H-10), and 4.87 (s, 2H, H-3) ppm. 13C NMR (151 MHz, DMSO-d6): δ 167.5 (C-8), 166.7 (C-2), 165.9 (C-6), 159.6 (C-4″), 147.7 (C-10‴a), 146.1 (C-4‴a), 139.1 (C-1′), 136.8 (C-9‴), 133.0 (C-4), 132.3 (C-2″,6″), 132.2 (C-4‴), 130.9 (C-6‴), 130.1 (C-5′), 129.5 (q, J = 31.4 Hz, C-3′), 129.1 (C-5‴), 128.5 (C-8‴), 128.1 (C-1‴), 127.0 (C-3‴), 126.2 (C-7‴), 126.2 (C-8‴a), 126.2 (C-1″), 126.0 (C-9‴a), 125.4 (C-2‴), 124.1 (q, J = 272.5 Hz, CF3), 123.3 (C-6′), 120.1 (C-4′), 118.7 (C-5), 115.7 (C-3″,5″), 115.7 (C-2′), 67.0 (C-3), and 42.3 (C-10) ppm. 15N (61 MHz, DMSO-d6): δ −251.4 (N-1) ppm. HRMS: m/z [M + H]+ for C33H22F3N3O4S calc. 614.13559; exp. 614.13560.
2-(4-{[(5Z)-3-[(Acridin-4-yl)methyl]-2,4-dioxo-1,3-thiazolidin-5-ylidene]methyl}phenoxy)-N-[3-(trifluoromethyl)phenyl]acetamide (8g). Pale yellow solid. Yield: 59 mg (67%). Mp. 246–247 °C (d, EtOH). IR νmax 3281, 3058, 1737, 1673, 1597, 1550, 1505, 1374, 1275, 1166, 1064, 751, 713 cm−1. 1H NMR (600 MHz, DMSO-d6): δ 10.78 (s, 1H, H-1), 9.17 (s, 1H, H-9‴), 8.36 (s, 2H, H-2′,6′), 8.20 (d, J = 8.5 Hz, 1H, H-8‴), 8.17 (dd, J = 8.8, 1.1 Hz, 1H, H-5‴), 8.13 (dd, J = 7.8, 2. Hz, 1H, H-1‴), 7.98 (s, 1H, H-4), 7.89 (ddd, J = 8.5, 6.6, 1.4 Hz, 1H, H-6‴), 7.82 (s, 1H, H-4′), 7.68 (d, J = 8.8 Hz, 2H, H-2″,6″), 7.65 (ddd, J = 8.5, 6.6, 1.2 Hz, 1H, H-7‴), 7.55 (m, 2H, H-2‴, H-3‴), 7.22 (d, J = 8.9 Hz, 2H, H-3″,5″), 5.60 (s, 2H, H-10), and 4.90 (s, 2H, H-3) ppm. 13C NMR (151 MHz, DMSO-d6): δ 167.4 (C-8), 167.4 (C-2), 165.9 (C-6), 159.5 (C-4″), 147.6 (C-10‴a), 146.1 (C-4‴a), 140.2 (C-1′), 136.8 (C-9‴), 132.9 (C-4), 132.2 (C-2″,6″), 132.2 (C-4‴), 130.9 (C-6‴), 130.8 (q, J = 32.9 Hz, C-3′,5′), 129.1 (C-5‴), 128.5 (C-8‴), 128.1 (C-1‴), 127.0 (C-3‴), 126.3 (C-1″), 126.2 (C-7‴), 126.2 (C-8‴a), 126.0 (C-9‴a), 125.3 (C-2‴), 123.2 (q, J = 272.9 Hz, CF3), 119.5 (br s, C-2′,6′), 118.8 (C-5), 116.7 (br s, C-4′), 115.8 (C-3″,5″), 66.9 (C-3), and 42.3 (C-10) ppm. 15N (61 MHz, DMSO-d6): δ −251.4 (N-1) ppm. HRMS: m/z [M + H]+ for C34H21F6N3O4S calc. 682.12297; exp. 682.1234.
2-(4-{[(5Z)-3-[(Acridin-9-yl)methyl]-2,4-dioxo-1,3-thiazolidin-5-ylidene]methyl}-2-methoxyphenoxy)-N-phenylacetamide (12a). Pale yellow solid. Yield: 65 mg (65%). Mp. 260–262 °C (EtOH). IR νmax 3391, 3007, 1745, 1693, 1593, 1543, 1519, 1270, 1176, 1149, 1056 753, 703 cm−1. 1H NMR (600 MHz, DMSO-d6): δ 10.13 (s, 1H, H-1), 8.46 (d, J = 8.7 Hz, 2H, H-1‴,8‴), 8.19 (d, J = 8.7 Hz, 2H, H-4‴,5‴), 7.90 (s, 1H, H-4), 7.86 (ddd, J = 8.6, 6.5, 1.2 Hz, 2H, H-3‴,6‴), 7.68 (ddd, J = 8.9, 6.6, 1.2 Hz, 2H, H-2‴,7‴), 7.59 (d, J = 8.7 Hz, 2H, H-2′,6′), 7.31 (t, J = 7.8 Hz, 2H, H-3′,6′), 7.22 (d, J = 2.1 Hz, 1H, H-6″), 7.15 (dd, J = 8.5, 2.1 Hz, 1H, H-2″), 7.07 (m, 3H, H-4′, H-3″,5″), 5.92 (s, 2H, H-10), 4.79 (s, 2H, H-3), and 3.83 (s, 3H, OCH3) ppm. 13C NMR (151 MHz, DMSO-d6): δ 167.4 (C-8), 166.0 (C-2), 165.6 (C-6), 149.8 (C-4″), 149.1 (C-5″), 148.1 (C-4‴a,10‴a), 138.4 (C-1′), 137.6 (C-9‴), 134.1 (C-4), 130.1 (C-3‴,6‴), 129.9 (C-4‴,5‴), 128.8 (C-3′,5′), 126.4 (C-2‴,7‴), 126.3 (C-1″), 125.1 (C-8‴a,9‴a), 124.7 (C-1‴,8‴), 123.7 (C-2″), 123.7 (C-4′), 119.4 (C-2′,6′), 117.8 (C-5), 113.9 (C-6″), 113.8 (C-3″), 67.7 (C-3), 55.7 (OCH3), and 38.3 (C-10) ppm. HRMS: m/z [M + H]+ for C33H25N3O5S calc. 576.15877; exp. 576.1599.
2-(4-{[(5Z)-3-[(Acridin-9-yl)methyl]-2,4-dioxo-1,3-thiazolidin-5-ylidene]methyl}-2-methoxyphenoxy)-N-(3,5-dimethoxyphenyl)acetamide (12b). Pale yellow solid. Yield: 64 mg (72%). Mp. 264–265 °C (EtOH). IR νmax 3402, 3009, 2935, 2837, 1732, 1681, 1604, 1593, 1514, 1270, 1199, 1150, 1128, 1058, 750 cm−1. 1H NMR (600 MHz, DMSO-d6): δ 10.09 (s, 1H, H-1), 8.46 (d, J = 8.9 Hz, 2H, H-1‴,8‴), 8.19 (d, J = 8.8 Hz, 2H, H-4‴,5‴), 7.90 (s, 1H, H-4), 7.86 (ddd, J = 8.7, 6.5, 1.2 Hz, 2H, H-3‴,6‴), 7.68 (ddd, J = 8.9, 6.6, 1.2 Hz, 2H, H-2‴,7‴), 7.22 (d, J = 2.2 Hz, 1H, H-6″), 7.15 (dd, J = 8.6, 2.2 Hz, 1H, H-2″), 7.04 (d, J = 8.6 Hz, 1H, H-3″), 6.84 (d, J = 2.2 Hz, 2H, H-2′,6′), 6.23 (t, J = 2.2 Hz, 1H, H-4′), 5.92 (s, 2H, H-10), 4.77 (s, 2H, H-3), 3.83 (s, 3H, OCH3), and 3.70 (s, 6H, 2 × OCH3) ppm. 13C NMR (151 MHz, DMSO-d6): δ 167.4 (C-8), 166.0 (C-2), 165.6 (C-6), 160.5 (C-3′,5′), 149.7 (C-4″), 149.1 (C-5″), 148.1 (C-4‴a,10‴a), 140.0 (C-1′), 137.6 (C-9‴), 134.1 (C-4), 130.0 (C-3‴,6‴), 129.9 (C-4‴,5‴), 126.4 (C-2‴,7‴), 126.3 (C-1″), 125.1 (C-8‴a,9‴a), 124.7 (C-1‴,8‴), 123.7 (C-2″), 117.9 (C-5), 113.9 (C-6″), 113.7 (C-3″), 97.7 (C-2′,6′), 95.1 (C-4′), 67.6 (C-3), 55.7 (OCH3), 55.1 (2 × OCH3), and 38.3 (C-10) ppm. 15N (61 MHz, DMSO-d6): δ −250.0 (N-1) and −211.7 (N-7) ppm. HRMS: m/z [M + H]+ for C35H29N3O7S calc. 636.1799; exp. 636.1802.
2-(4-{[(5Z)-3-[(Acridin-9-yl)methyl]-2,4-dioxo-1,3-thiazolidin-5-ylidene]methyl}-2-methoxyphenoxy)-N-(3,4,5-trimethoxyphenyl)acetamide (12c). Pale yellow solid. Yield: 54 mg (62%). Mp. 268–269 °C (EtOH). IR νmax 3220, 3065, 2938, 2838, 1732, 1682, 1592, 1556, 1509, 1231, 1180, 1133, 753 cm−1. 1H NMR (600 MHz, DMSO-d6): δ 10.07 (s, 1H, H-1), 8.46 (d, J = 8.9 Hz, 2H, H-1‴,8‴), 8.19 (d, J = 8.7 Hz, 2H, H-4‴,5‴), 7.90 (s, 1H, H-4), 7.86 (ddd, J = 8.7, 6.5, 1.2 Hz, 2H, H-3‴,6‴), 7.68 (ddd, J = 8.9, 6.6, 1.2 Hz, 2H, H-2‴,7‴), 7.22 (d, J = 2.2 Hz, 1H, H-6″), 7.15 (dd, J = 8.6, 2.2 Hz, 1H, H-2″), 7.05 (d, J = 8.6 Hz, 1H, H-3″), 6.99 (s, 2H, H-2′,6′), 5.92 (s, 2H, H-10), 4.76 (s, 2H, H-3), 3.83 (s, 3H, OCH3), 3.72 (s, 6H, 2 × OCH3), and 3.61 (s, 3H, OCH3) ppm. 13C NMR (151 MHz, DMSO-d6): δ 167.4 (C-8), 165.8 (C-2), 165.6 (C-6), 152.7 (C-3′,5′), 149.7 (C-4″), 149.2 (C-5″), 148.1 (C-4‴a,10‴a), 137.6 (C-9‴), 134.5 (C-1′), 134.1 (C-4), 133.7 (C-4′), 130.1 (C-3‴,6‴), 129.9 (C-4‴,5‴), 126.4 (C-2‴,7‴), 126.3 (C-1″), 125.1 (C-8‴a,9‴a), 124.7 (C-1‴,8‴), 123.7 (C-2″), 117.9 (C-5), 113.9 (C-6″), 113.8 (C-3″), 97.1 (C-2′,6′), 67.6 (C-3), 60.1 (OCH3), 55.7 (3 × OCH3), and 38.3 (C-10) ppm. 15N (61 MHz, DMSO-d6): δ −250.8 (N-1) and −211.7 (N-7) ppm. HRMS: m/z [M + H]+ for C36H31N3O8S calc. 666.19046; exp. 666.19140.
2-(4-{[(5Z)-3-[(Acridin-9-yl)methyl]-2,4-dioxo-1,3-thiazolidin-5-ylidene]methyl}-2-methoxyphenoxy)-N-(4-nitrophenyl)acetamide (12d). Pale yellow solid. Yield: 35 mg (38%). Mp. 288–290 °C (EtOH). IR νmax 3371, 1729, 1677, 1596, 1545, 1509, 1346, 1278, 1145, 1054, 753 cm−1. 1H NMR (600 MHz, DMSO-d6): δ 10.78 (s, 1H, H-1), 8.48 (d, J = 8.9 Hz, 2H, H-1‴,8‴), 8.23 (d, J = 9.2 Hz, 2H, H-3′,5′), 8.19 (d, J = 8.6 Hz, 2H, H-4‴,5‴), 7.90 (s, 1H, H-4), 7.86 (ddd, J = 8.7, 6.5, 1.2 Hz, 2H, H-3‴,6‴), 7.68 (ddd, J = 8.9, 6.6, 1.2 Hz, 2H, H-2‴,7‴), 7.23 (d, J = 2.2 Hz, 1H, H-6″), 7.15 (dd, J = 8.6, 2.2 Hz, 1H, H-2″), 7.06 (d, J = 8.6 Hz, 1H, H-3″), 6.84 (d, J = 9.2 Hz, 2H, H-2′,6′), 5.92 (s, 2H, H-10), 4.87 (s, 2H, H-3), and 3.83 (s, 3H, OCH3) ppm. 13C NMR (151 MHz, DMSO-d6): δ 167.4 (C-8), 167.1 (C-2), 165.6 (C-6), 149.6 (C-4″), 149.1 (C-5″), 148.1 (C-4‴a,10‴a), 144.6 (C-1′), 142.5 (C-4′), 137.6 (C-9‴), 134.1 (C-4), 130.1 (C-3‴,6‴), 129.9 (C-4‴,5‴), 126.4 (C-2‴,7‴), 126.4 (C-1″), 125.1 (C-8‴a,9‴a), 125.0 (C-3′,5′), 124.7 (C-1‴,8‴), 123.7 (C-2″), 119.1 (C-2′,6′), 117.9 (C-5), 114.0 (C-6″), 113.9 (C-3″), 67.5 (C-3), 55.7 (OCH3), and 38.3 (C-10) ppm. 15N (61 MHz, DMSO-d6): δ −248.3 (N-1) and −211.7 (N-7) ppm. HRMS: m/z [M + H]+ for C33H24N4O7S calc. 621.14385; exp. 621.14400.
2-(4-{[(5Z)-3-[(Acridin-9-yl)methyl]-2,4-dioxo-1,3-thiazolidin-5-ylidene]methyl}-2-methoxyphenoxy)-N-[2-(trifluoromethyl)phenyl]acetamide (12e). Pale yellow solid. Yield: 60 mg (67%). Mp. 255–256 °C (EtOH). IR νmax 3398, 3036, 1732, 1682, 1589, 1549, 1519, 1321 1281, 1176, 1145, 1062, 761, 748 cm−1. 1H NMR (600 MHz, DMSO-d6): δ 9.56 (s, 1H, H-1), 8.46 (d, J = 8.7 Hz, 2H, H-1‴,8‴), 8.19 (d, J = 8.6 Hz, 2H, H-4‴,5‴), 7.92 (s, 4H, H-4), 7.86 (ddd, J = 8.7, 6.5, 1.2 Hz, 2H, H-3‴,6‴), 7.81 (d, J = 8.1 Hz, 1H, H-6′), 7.75 (dd, J = 8.0, 1.5 Hz, 1H, H-3′), 7.69 (m, 3H, H-5′, H-2‴,7‴), 7.44 (t, J = 7.7 Hz, 1H, H-4′), 7.24 (d, J = 2.2 Hz, 1H, H-6″), 7.17 (dd, J = 8.6, 2.2 Hz, 1H, H-2″), 7.11 (d, J = 8.5 Hz, 1H, H-3″), 5.93 (s, 2H, H-10), 4.84 (s, 2H, H-3), and 3.83 (s, 3H, OCH3) ppm. 13C NMR (151 MHz, DMSO-d6): δ 167.4 (C-8), 166.9 (C-2), 165.6 (C-6), 149.2 (C-5″), 149.1 (C-4″), 148.1 (C-4‴a,10‴a), 137.6 (C-9‴), 134.5 (C-1′), 134.1 (C-4), 133.3 (C-5′), 130.1 (C-3‴,6‴), 129.9 (C-4‴,5‴), 127.6 (br s, C-6′), 126.6 (C-1″), 126.4 (C-2‴,7‴), 126.3 (C-3′), 126.3 (C-4′), 125.1 (C-8‴a,9‴a), 124.7 (C-1‴,8‴), 123.7 (C-2″), 122.7 (C-2′), 118.1 (C-5), 113.9 (C-3″), 113.8 (C-6″), 67.3 (C-3), 55.7 (OCH3), and 38.3 (C-10) ppm. HRMS: m/z [M + H]+ for C34H24F3N3O5S calc. 644.14615; exp. 644.14600.
2-(4-{[(5Z)-3-[(Acridin-9-yl)methyl]-2,4-dioxo-1,3-thiazolidin-5-ylidene]methyl}-2-methoxyphenoxy)-N-[3-(trifluoromethyl)phenyl]acetamide (12f). Pale yellow solid. Yield: 67 mg (74%). Mp. 269–270 °C (EtOH). IR νmax 3395, 2916, 1737, 1681, 1594, 1548, 1515, 1330, 1280, 1180, 1144, 1069, 752 cm−1. 1H NMR (600 MHz, DMSO-d6): δ 10.50 (s, 1H, H-1), 8.46 (d, J = 8.8 Hz, 2H, H-1‴,8‴), 8.19 (d, J = 8.9 Hz, 2H, H-4‴,5‴), 8.09 (s, 1H, H-2′), 7.91 (s, 1H, H-4), 7.86 (ddd, J = 8.7, 6.7, 1.2 Hz, 2H, H-3‴,6‴), 7.80 (d, J = 8.2 Hz, 1H, H-6′), 7.68 (ddd, J = 8.8, 6.6, 1.2 Hz, 2H, H-2‴,7‴), 7.56 (t, J = 8.0 Hz, 1H, H-5′), 7.43 (d, J = 7.3 Hz, 1H, H-4′), 7.23 (d, J = 2.2 Hz, 1H, H-6″), 7.15 (dd, J = 8.6, 2.2 Hz, 1H, H-2″), 7.07 (d, J = 8.5 Hz, 1H, H-3″), 5.92 (s, 2H, H-10), 4.83 (s, 2H, H-3), and 3.83 (s, 3H, OCH3) ppm. 13C NMR (151 MHz, DMSO-d6): δ 167.4 (C-8), 166.7 (C-2), 165.6 (C-6), 149.7 (C-4″), 149.2 (C-5″), 148.1 (C-4‴a,10‴a), 139.1 (C-1′), 137.6 (C-9‴), 134.1 (C-4), 130.1 (C-5′), 130.0 (C-3‴,6‴), 129.9 (C-4‴,5‴), 129.6 (q, J = 30.7 Hz, C-3′), 126.4 (C-2‴,7‴), 126.4 (C-1″), 125.1 (C-8‴a,9‴a), 124.7 (C-1‴,8‴), 124.0 (q, J = 272.0 Hz, CF3), 123.7 (C-2″), 123.0 (C-6′), 120.0 (C-4′), 117.9 (C-5), 115.5 (br s, C-2′), 114.0 (C-6″), 113.9 (C-3″), 67.5 (C-3), 55.7 (OCH3), and 38.3 (C-10) ppm. 15N (61 MHz, DMSO-d6): δ −251.1 (N-1) and −211.7 (N-7) ppm. HRMS: m/z [M + H]+ for C34H24F3N3O5S calc. 644.14615; exp. 644.14610.
2-(4-{[(5Z)-3-[(Acridin-9-yl)methyl]-2,4-dioxo-1,3-thiazolidin-5-ylidene]methyl}-2-methoxyphenoxy)-N-[3,5-bis(trifluoromethyl)phenyl]acetamide (12g). Pale yellow solid. Yield: 53 mg (62%). Mp. 287–288 °C (EtOH). IR νmax 3380, 2958, 1731, 1678, 1596, 1549, 1510, 1381, 1276, 1173, 1133, 1054, 753 cm−1. 1H NMR (600 MHz, DMSO-d6): δ 10.82 (s, 1H, H-1), 8.46 (d, J = 8.9 Hz, 2H, H-1‴,8‴), 8.29 (s, 2H, H-2′,6′), 8.19 (d, J = 8.7 Hz, 2H, H-4‴,5‴), 7.91 (s, 1H, H-4), 7.86 (ddd, J = 8.4, 6.7, 1.2 Hz, 2H, H-3‴,6‴), 7.80 (s, 1H, H-4′), 7.68 (ddd, J = 8.8, 6.6, 1.2 Hz, 2H, H-2‴,7‴), 7.24 (d, J = 2.2 Hz, 1H, H-6″), 7.14 (dd, J = 8.6, 2.2 Hz, 1H, H-2″), 7.09 (d, J = 8.5 Hz, 1H, H-3″), 5.93 (s, 2H, H-10), 4.86 (s, 2H, H-3), and 3.83 (s, 3H, OCH3) ppm. 13C NMR (151 MHz, DMSO-d6): δ 167.4 (C-2), 167.4 (C-8), 165.6 (C-6), 149.7 (C-4″), 149.2 (C-5″), 148.1 (C-4‴a,10‴a), 140.3 (C-1′), 137.6 (C-9‴), 134.1 (C-4), 130.7 (q, J = 32.0 Hz, C-3′,5′), 130.0 (C-3‴,6‴), 129.9 (C-4‴,5‴), 126.5 (C-1″), 126.4 (C-2‴,7‴), 125.1 (C-8‴a,9‴a), 124.7 (C-1‴,8‴), 123.7 (C-2″), 123.2 (q, J = 272.5 Hz, CF3), 119.3 (br s, C-2′,6′), 118.0 (C-5), 116.6 (C-4′), 114.1 (C-6″), 114.1 (C-3″), 67.6 (C-3), 55.7 (OCH3), and 38.3 (C-10) ppm. HRMS: m/z [M + H]+ for C35H23F6N3O5S calc. 712.13354; exp. 712.13370.
2-(4-{[(5Z)-3-[(Acridin-4-yl)methyl]-2,4-dioxo-1,3-thiazolidin-5-ylidene]methyl}-2-methoxyphenoxy)-N-phenylacetamide (13a). Pale yellow solid. Yield: 73 mg (70%). Mp. 213–214 °C (EtOH). IR νmax 3389, 3055, 1731, 1682, 1601, 1542, 1512, 1268, 1143, 741 cm−1. 1H NMR (600 MHz, DMSO-d6): δ 10.15 (s, 1H, H-1), 9.17 (s, 1H, H-9‴), 8.20 (dd, J = 8.4, 0.8 Hz, 1H, H-8‴), 8.17 (dd, J = 8.8, 1.0 Hz, 1H, H-5‴), 8.13 (dd, J = 8.0, 1.7 Hz, 1H, H-1‴), 7.97 (s, 1H, H-4), 7.89 (ddd, J = 8.8, 6.6, 1.4 Hz, 1H, H-6‴), 7.66 (ddd, J = 8.0, 6.6, 1.1 Hz, 1H, H-7‴), 7.62 (d, J = 7.4 Hz, 2H, H-2′,6′), 7.55 (m, 2H, H-2‴, H-3‴), 7.33 (m, 2H, H-3′,5′), 7.33 (d, J = 2.1 Hz, 1H, H-6″), 7.25 (dd, J = 8.7, 2.1 Hz, 1H, H-2″), 7.12 (d, J = 8.5 Hz, 1H, H-3″), 7.08 (t, J = 7.4 Hz, 1H, H-4′), 5.60 (s, 2H, H-10), 4.82 (s, 2H, H-3), and 3.88 (s, 3H, OCH3) ppm. 13C NMR (151 MHz, DMSO-d6): δ 167.5 (C-8), 166.0 (C-2), 165.8 (C-6), 149.6 (C-4″), 149.2 (C-5″), 147.7 (C-10‴a), 146.1 (C-4‴a), 138.4 (C-1′), 136.8 (C-9‴), 133.3 (C-4), 132.2 (C-4‴), 130.9 (C-6‴), 129.1 (C-5‴), 128.8 (C-3′,5′), 128.5 (C-8‴), 128.1 (C-1‴), 127.0 (C-1″), 126.6 (C-3‴), 126.2 (C-7‴), 126.2 (C-8‴a), 126.0 (C-9‴a), 125.3 (C-2‴), 123.7 (C-4′), 123.5 (C-2″), 119.4 (C-2′,6′), 118.9 (C-5), 114.0 (C-6″), 113.8 (C-3″), 67.7 (C-3), 55.7 (OCH3), and 42.3 (C-10) ppm. 15N (61 MHz, DMSO-d6): δ −250.6 (N-1) and −215.0 (N-7) ppm. HRMS: m/z [M + H]+ for C33H25N3O5S calc. 576.15880; exp. 576.15880.
2-(4-{[(5Z)-3-[(Acridin-4-yl)methyl]-2,4-dioxo-1,3-thiazolidin-5-ylidene]methyl}-2-methoxyphenoxy)-N-(3,5-dimethoxyphenyl)acetamide (13b). Pale yellow solid. Yield: 63 mg (71%). Mp. 222–224 °C (EtOH). IR νmax 3350, 2935, 1728, 1665, 1603, 1556, 1510, 1270, 1148, 1061, 742 cm−1. 1H NMR (600 MHz, DMSO-d6): δ 10.12 (s, 1H, H-1), 9.17 (s, 1H, H-9‴), 8.20 (d, J = 8.4 Hz, 1H, H-8‴), 8.17 (d, J = 8.8 Hz, 1H, H-5‴), 8.13 (dd, J = 8.3, 1.8 Hz, 1H, H-1‴), 7.97 (s, 1H, H-4), 7.89 (ddd, J = 8.3, 6.6, 1.4 Hz, 1H, H-6‴), 7.66 (ddd, J = 8.0, 6.6, 1.1 Hz, 1H, H-7‴), 7.56 (m, 2H, H-2‴, H-3‴), 7.33 (d, J = 2.1 Hz, 1H, H-6″), 7.25 (dd, J = 8.5, 2.1 Hz, 1H, H-2″), 7.10 (d, J = 8.5 Hz, 1H, H-3″), 6.87 (d, J = 2.2 Hz, 2H, H-2′,6′), 6.25 (t, J = 2.2 Hz, 1H, H-4′), 5.60 (s, 2H, H-10), 4.80 (s, 2H, H-3), 3.88 (s, 3H, OCH3), and 3.71 (s, 6H, 2 × OCH3) ppm. 13C NMR (151 MHz, DMSO-d6): δ 167.5 (C-8), 166.1 (C-2), 165.8 (C-6), 160.5 (C-3′,5′), 149.6 (C-4″), 149.2 (C-5″), 147.7 (C-10‴a), 146.1 (C-4‴a), 140.0 (C-1′), 136.8 (C-9‴), 133.3 (C-4), 132.2 (C-4‴), 130.9 (C-6‴), 129.1 (C-5‴), 128.5 (C-8‴), 128.1 (C-1‴), 127.0 (C-3‴), 126.6 (C-1″), 126.2 (C-7‴), 126.2 (C-8‴a), 126.0 (C-9‴a), 125.3 (C-2‴), 123.5 (C-2″), 118.9 (C-5), 114.0 (C-6″), 113.8 (C-3″), 97.7 (C-2′,6′), 95.7 (C-4′), 67.7 (C-3), 55.7 (OCH3), 55.1 (OCH3), and 42.3 (C-10) ppm. 15N (61 MHz, DMSO-d6): δ −250.0 (N-1) and −215.0 (N-7) ppm. HRMS: m/z [M + H]+ for C35H29N3O7S calc. 636.17990; exp. 636.18010.
2-(4-{[(5Z)-3-[(Acridin-4-yl)methyl]-2,4-dioxo-1,3-thiazolidin-5-ylidene]methyl}-2-methoxyphenoxy)-N-(3,4,5-trimethoxyphenyl)acetamide (13c). Pale yellow solid. Yield: 59 mg (68%). Mp. 228–230 °C (d, EtOH). IR νmax 3361, 2929, 1736, 1677, 1606, 1538, 1504, 1279, 1232, 1148, 1129, 1048, 739 cm−1. 1H NMR (600 MHz, DMSO-d6): δ 10.10 (s, 1H, H-1), 9.17 (s, 1H, H-9‴), 8.20 (d, J = 8.4 Hz, 1H, H-8‴), 8.17 (dd, J = 8.8, 1.1 Hz, 1H, H-5‴), 8.13 (dd, J = 8.1, 1.8 Hz, 1H, H-1‴), 7.97 (s, 1H, H-4), 7.89 (ddd, J = 8.4, 6.6, 1.4 Hz, 1H, H-6‴), 7.66 (ddd, J = 8.0, 6.6, 1.1 Hz, 1H, H-7‴), 7.55 (m, 2H, H-2‴, H-3‴), 7.33 (d, J = 2.1 Hz, 1H, H-6″), 7.25 (dd, J = 8.5, 2.1 Hz, 1H, H-2″), 7.11 (d, J = 8.5 Hz, 1H, H-3″), 7.02 (s, 2H, H-2′,6′), 5.60 (s, 2H, H-10), 4.80 (s, 2H, H-3), 3.88 (s, 3H, OCH3), 3.74 (s, 6H, 2 × OCH3), and 3.62 (s, 3H, OCH3) ppm. 13C NMR (151 MHz, DMSO-d6): δ 167.5 (C-8), 165.9 (C-2), 165.8 (C-6), 152.8 (C-3′,5′), 149.6 (C-4″), 149.2 (C-5″), 147.7 (C-10‴a), 146.1 (C-4‴a), 136.8 (C-9‴), 134.5 (C-1′), 133.7 (C-4′), 133.3 (C-4), 132.2 (C-4‴), 130.9 (C-6‴), 129.1 (C-5‴), 128.5 (C-8‴), 128.1 (C-1‴), 127.0 (C-3‴), 126.6 (C-1″), 126.2 (C-7‴), 126.2 (C-8‴a), 126.0 (C-9‴a), 125.3 (C-2‴), 123.5 (C-2″), 118.9 (C-5), 114.0 (C-6″), 113.9 (C-3″), 97.1 (C-2′,6′), 60.1 (OCH3), 55.7 (OCH3), 67.7 (C-3), and 42.3 (C-10) ppm. 15N (61 MHz, DMSO-d6): δ −250.8 (N-1) and −215.0 (N-7) ppm. HRMS: m/z [M + H]+ for C36H31N3O8S calc. 666.19050; exp. 666.19070.
2-(4-{[(5Z)-3-[(Acridin-4-yl)methyl]-2,4-dioxo-1,3-thiazolidin-5-ylidene]methyl}-2-methoxyphenoxy)-N-(4-nitrophenyl)acetamide (13d). Pale yellow solid. Yield: 65 mg (70%). Mp. 254–257 °C (d, EtOH). IR νmax 3367, 2936, 1738, 1678, 1610, 1544, 1508, 1338, 1265, 1144, 1059, 741 cm−1. 1H NMR (600 MHz, DMSO-d6): δ 10.81 (s, 1H, H-1), 9.16 (s, 1H, H-9‴), 8.24 (d, J = 9.3 Hz, 2H, H-3′,5′), 8.20 (d, J = 8.8 Hz, 1H, H-8‴), 8.17 (d, J = 8.8 Hz, 1H, H-5″), 8.13 (dd, J = 8.1, 1.8 Hz, 1H, H-1″), 7.97 (s, 1H, H-4), 7.89 (ddd, J = 8.4, 6.6, 1.4 Hz, 1H, H-6‴), 7.87 (d, J = 9.2 Hz, 2H, H-2′,6′), 7.66 (ddd, J = 8.0, 6.6, 1.1 Hz, 1H, H-7‴), 7.55 (m, 2H, H-2‴, H-3‴), 7.33 (d, J = 2.1 Hz, 1H, H-6″), 7.24 (dd, J = 8.5, 2.1 Hz, 1H, H-2″), 7.12 (d, J = 8.5 Hz, 1H, H-3″), 5.60 (s, 2H, H-10), 4.90 (s, 2H, H-3), and 3.88 (s, 3H, OCH3) ppm. 13C NMR (151 MHz, DMSO-d6): δ 167.5 (C-8), 167.2 (C-2), 165.8 (C-6), 149.5 (C-4″), 149.2 (C-5″), 147.7 (C-10‴a), 146.1 (C-4‴a), 144.6 (C-1′), 142.5 (C-4′), 136.8 (C-9‴), 133.3 (C-4), 132.2 (C-4‴), 130.9 (C-6‴), 129.1 (C-5‴), 128.5 (C-8‴), 128.2 (C-1‴), 127.0 (C-3‴), 126.7 (C-1″), 126.2 (C-7‴), 126.2 (C-8‴a), 126.0 (C-9‴a), 125.4 (C-2‴), 125.1 (C-3′,5′), 123.5 (C-2″), 119.2 (C-2′,6′), 119.0 (C-5), 114.1 (C-6″), 113.9 (C-3″), 67.6 (C-3), 55.8 (OCH3), and 42.4 (C-10) ppm. 15N (61 MHz, DMSO-d6): δ −248.3 (N-1) and −215.0 (N-7) ppm. HRMS: m/z [M + H]+ for C33H24N4O7S calc. 621.14390; exp. 621.14420.
2-(4-{[(5Z)-3-[(Acridin-4-yl)methyl]-2,4-dioxo-1,3-thiazolidin-5-ylidene]methyl}-2-methoxyphenoxy)-N-[2-(trifluoromethyl)phenyl]acetamide (13e). Pale yellow solid. Yield: 66 mg (73%). Mp. 217–218 °C (EtOH). IR νmax 3393, 3025, 1741, 1676, 1607, 1562, 1510, 1334, 1269, 1152, 1072, 758, 743 cm−1. 1H NMR (600 MHz, DMSO-d6): δ 9.58 (s, 1H, H-1), 9.17 (s, 1H, H-9‴), 8.21 (d, J = 8.4 Hz, 1H, H-8‴), 8.17 (d, J = 8.8 Hz, 1H, H-5‴), 8.13 (dd, J = 8.0, 2.3 Hz, 1H, H-1‴), 7.99 (s, 1H, H-4), 7.89 (ddd, J = 8.5, 6.6, 1.5 Hz, 1H, H-6‴), 7.84 (d, J = 8.1 Hz, 1H, H-6′), 7.77 (d, J = 7.3 Hz, 1H, H-3′), 7.72 (t, J = 7.5 Hz, 1H, H-5′), 7.66 (ddd, J = 8.1, 6.6, 1.1 Hz, 1H, H-7‴), 7.56 (m, 2H, H-2‴, H-3‴), 7.45 (t, J = 7.7 Hz, 1H, H-4′), 7.34 (d, J = 2.1 Hz, 1H, H-6″), 7.27 (dd, J = 8.5, 2.1 Hz, 1H, H-2″), 7.17 (d, J = 8.5 Hz, 1H, H-3″), 5.61 (s, 2H, H-10), 4.87 (s, 2H, H-3), and 3.88 (s, 3H, OCH3) ppm. 13C NMR (151 MHz, DMSO-d6): δ 167.4 (C-8), 166.9 (C-2), 165.8 (C-6), 149.2 (C-5″), 148.9 (C-4″), 147.7 (C-10‴a), 146.1 (C-4‴a), 136.8 (C-9‴), 134.5 (C-1′), 133.3 (C-4), 133.3 (C-5′), 132.1 (C-4‴), 130.9 (C-6‴), 129.1 (C-5‴), 128.5 (C-8‴), 128.1 (C-1‴), 127.6 (C-6′), 127.0 (C-3‴), 126.9 (C-1″), 126.4 (C-3′), 126.4 (C-4′), 126.3 (C-7‴), 126.2 (C-8‴a), 126.0 (C-9‴a), 125.5 (q, J = 272.8 Hz, CF3), 125.3 (C-2‴), 123.4 (C-2″), 122.6 (q, J = 32.4 Hz, C-2′), 119.2 (C-5), 114.0 (C-3″), 113.9 (C-6″), 67.4 (C-3), 55.8 (OCH3), and 42.3 (C-10) ppm. 15N (61 MHz, DMSO-d6): δ −260.3 (N-1) and −215.0 (N-7) ppm. HRMS: m/z [M + H]+ for C34H24F3N3O5S calc. 644.14620; exp. 644.14610.
2-(4-{[(5Z)-3-[(Acridin-4-yl)methyl]-2,4-dioxo-1,3-thiazolidin-5-ylidene]methyl}-2-methoxyphenoxy)-N-[3-(trifluoromethyl)phenyl]acetamide (13f). Pale yellow solid. Yield: 68 mg (75%). Mp. 203–205 °C (EtOH). IR νmax 3347, 2917, 1727, 1664, 1607, 1562, 1510, 1334, 1269, 1152, 1072, 758, 743 cm−1. 1H NMR (600 MHz, DMSO-d6): δ 10.53 (s, 1H, H-1), 9.17 (s, 1H, H-9‴), 8.20 (d, J = 8.4 Hz, 1H, H-8‴), 8.17 (dd, J = 8.8, 1.0 Hz, 1H, H-5‴), 8.13 (dd, J = 8.2, 1.8 Hz, 1H, H-1‴), 8.11 (br s, 1H, H-2′), 7.97 (s, 1H, H-4), 7.89 (ddd, J = 8.5, 6.6, 1.4 Hz, 1H, H-6‴), 7.83 (d, J = 8.6 Hz, 1H, H-6′), 7.66 (ddd, J = 8.2, 6.7, 1.1 Hz, 1H, H-7‴), 7.56 (m, 3H, H-5′, H-2‴, H-3‴), 7.45 (d, J = 7.8 Hz, 1H, H-4′), 7.34 (d, J = 2.1 Hz, 1H, H-6″), 7.25 (dd, J = 8.5, 2.1 Hz, 1H, H-2″), 7.13 (d, J = 8.5 Hz, 1H, H-3″), 5.60 (s, 2H, H-10), 4.86 (s, 2H, H-3), and 3.88 (s, 3H, OCH3) ppm. 13C NMR (151 MHz, DMSO-d6): δ 167.5 (C-8), 166.8 (C-2), 165.8 (C-6), 149.5 (C-4″), 149.2 (C-5″), 147.7 (C-10‴a), 146.1 (C-4‴a), 139.2 (C-1′), 136.8 (C-9‴), 133.3 (C-4), 132.2 (C-4‴), 130.9 (C-6‴), 130.1 (C-5′), 129.5 (q, J = 31.6 Hz, C-3′), 129.1 (C-5‴), 128.5 (C-8‴), 128.1 (C-1‴), 127.0 (C-3‴), 126.7 (C-1″), 126.2 (C-7‴), 126.2 (C-8‴a), 126.0 (C-9‴a), 125.3 (C-2‴), 124.1 (q, J = 272.3 Hz, CF3), 123.5 (C-2″), 123.0 (C-6′), 120.0 (br s, C-4′), 119.1 (C-5), 115.5 (br s, C-2′), 114.0 (C-6″), 114.0 (C-3″), 67.6 (C-3), 55.7 (OCH3), and 42.3 (C-10) ppm. 15N (61 MHz, DMSO-d6): δ −251.1 (N-1) and −215.0 (N-7) ppm. HRMS: m/z [M + H]+ for C34H24F3N3O5S calc. 644.14620; exp. 644.14630.
2-(4-{[(5Z)-3-[(Acridin-4-yl)methyl]-2,4-dioxo-1,3-thiazolidin-5-ylidene]methyl}-2-methoxyphenoxy)-N-[3,5-bis(trifluoromethyl)phenyl]acetamide (13g). Pale yellow solid. Yield: 59 mg (69%). Mp. 249–250 °C (EtOH). IR νmax 3348, 2914, 1731, 1674, 1607, 1544, 1505, 1379, 1276, 1171, 1056, 744 cm−1. 1H NMR (600 MHz, DMSO-d6): δ 10.85 (s, 1H, H-1), 9.17 (s, 1H, H-9‴), 8.32 (s, 2H, H-2′,6′), 8.20 (d, J = 8.4 Hz, 1H, H-8‴), 8.17 (dd, J = 8.8, 1.0 Hz, 1H, H-5‴), 8.13 (dd, J = 8.0, 1.9 Hz, 1H, H-1‴), 7.97 (s, 1H, H-4), 7.89 (ddd, J = 8.5, 6.6, 1.4 Hz, 1H, H-6‴), 7.81 (s, 1H, H-4′), 7.66 (ddd, J = 8.1, 6.6, 1.2 Hz, 1H, H-7‴), 7.55 (m, 2H, H-2‴, H-3‴), 7.34 (d, J = 2.1 Hz, 1H, H-6″), 7.24 (dd, J = 8.5, 2.1 Hz, 1H, H-2″), 7.15 (d, J = 8.5 Hz, 1H, H-3″), 5.60 (s, 2H, H-10), 4.90 (s, 2H, H-3), and 3.88 (s, 3H, OCH3) ppm. 13C NMR (151 MHz, DMSO-d6): δ 167.5 (C-8), 167.5 (C-2), 165.8 (C-6), 149.4 (C-4″), 149.3 (C-5″), 147.7 (C-10‴a), 146.1 (C-4‴a), 140.3 (C-1′), 136.8 (C-9‴), 133.3 (C-4), 132.2 (C-4‴), 130.9 (C-6‴), 130.8 (q, J = 32.0 Hz, C-3′,5′), 129.1 (C-5‴), 128.5 (C-8‴), 128.1 (C-1‴), 127.0 (C-3‴), 126.8 (C-1″), 126.2 (C-7‴), 126.2 (C-8‴a), 126.0 (C-9‴a), 125.3 (C-2‴), 123.5 (C-2″), 123.2 (q, J = 272.7 Hz, CF3), 119.3 (br s, C-2′,6′), 119.1 (C-5), 116.6 (br s, C-4′), 114.1 (C-6″), 114.1 (C-3″), 67.7 (C-3), 55.8 (OCH3), and 42.4 (C-10) ppm. 15N (61 MHz, DMSO-d6): δ −251.1 (N-1) ppm. HRMS: m/z [M + H]+ for C35H23F6N3O5S calc. 712.13350; exp. 712.13370.
3.8. General Synthetic Procedures for Hydrochlorides 7, 8, 12, and 13
The stirring suspension of derivatives 7a–g, 8a–g, 12a–g, and 13a–g (30 mg) in dry ethanol (3 mL) was bubbled with hydrogen chloride gas, which was formed by the dropwise addition of concentrated sulfuric acid to a saturated aqueous solution of sodium chloride. The course of salt formation was monitored by TLC (nHex:EtOAc, v/v 1:1). The resulting hydrochloride precipitate was filtered and washed with a small amount of dry ethanol.
2-(4-{[(5Z)-3-[(Acridin-9-yl)methyl]-2,4-dioxo-1,3-thiazolidin-5-ylidene]methyl}phenoxy)-N-phenylacetamide dihydrochloride (7a·2HCl). Yellow solid. Yield: 29 mg (85%). IR νmax 3081, 1730, 1668, 1589, 1552, 1509, 1241, 1180, 751 cm−1. 1H NMR (600 MHz, DMSO-d6): δ 10.22 (s, 1H, H-1), 8.67 (d, J = 8.9 Hz, 2H, H-1‴,8‴), 8.46 (d, J = 8.8 Hz, 2H, H-4‴,5‴), 8.18 (t, J = 7.7 Hz, 2H, H-3‴,6‴), 7.91 (m, 2H, H-2‴,7‴), 7.90 (s, 1H, H-4), 7.61 (d, J = 7.4 Hz, 2H, H-2′,6′), 7.57 (d, J = 9.0 Hz, 2H, H-2″,6″), 7.31 (t, J = 7.9 Hz, 2H, H-3′,5′), 7.14 (d, J = 9.0 Hz, 2H, H-3″,5″), 7.07 (t, J = 7.4 Hz, 1H, H-4′), 6.06 (s, 2H, H-10), and 4.81 (s, 2H, H-3) ppm. 13C NMR (151 MHz, DMSO-d6): δ 167.5 (C-8), 165.9 (C-2), 165.6 (C-6), 160.0 (C-4″), 138.3 (C-1′), 134.8 (C-3‴,6‴), 134.1 (C-4), 132.4 (C-2″,6″), 128.8 (C-3′,5′), 127.7 (C-2‴,7‴), 125.7 (C-1″), 125.7 (C-1‴,8‴), 125.4 (C-8‴a,9‴a), 123.7 (C-4′), 119.6 (C-2′,6′), 117.3 (C-5), 115.7 (C-3″,5″), 67.0 (C-3), and 38.6 (C-10) ppm. For C32H25Cl2N3O4S (618.529 g · mol−1) calc.: C 62.14; H 4.07; N 6.79; and S 5.18%, exp.: C 62.03; H 4.02; N 6.67; and S 5.16%.
2-(4-{[(5Z)-3-[(Acridin-9-yl)methyl]-2,4-dioxo-1,3-thiazolidin-5-ylidene]methyl}phenoxy)-N-(3,5-dimethoxyphenyl)acetamide dihydrochloride (7b·2HCl). Yellow solid. Yield: 29 mg (86%). IR νmax 3061, 1736, 1680, 1588, 1562, 1509, 1249, 1182, 1150, 1058, 748 cm−1. 1H NMR (600 MHz, DMSO-d6): δ 10.16 (s, 1H, H-1), 8.64 (d, J = 8.9 Hz, 2H, H-1‴,8‴), 8.42 (d, J = 8.8 Hz, 2H, H-4‴,5‴), 8.15 (t, J = 7.7 Hz, 2H, H-3‴,6‴), 7.90 (s, 1H, H-4), 7.90 (m, 2H, H-2‴,7‴), 7.57 (d, J = 9.0 Hz, 2H, H-2″,6″), 7.12 (d, J = 9.0 Hz, 2H, H-3″,5″), 6.88 (d, J = 2.3 Hz, 2H, H-2′,6′), 6.23 (t, J = 2.3 Hz, 1H, H-4′), 6.04 (s, 2H, H-10), 4.79 (s, 2H, H-3), and 3.70 (s, 6H, 2 × OCH3) ppm. 13C NMR (151 MHz, DMSO-d6): δ 167.5 (C-8), 166.0 (C-2), 165.6 (C-6), 160.5 (C-3′,5′), 160.0 (C-4″), 142.6 (C-9‴), 140.0 (C-1′), 134.3 (C-3‴,6‴), 134.1 (C-4), 132.4 (C-2″,6″), 127.6 (C-2‴,7‴), 125.7 (C-1‴,8‴), 125.6 (C-8‴a,9‴a), 125.4 (C-1″), 117.3 (C-5), 115.7 (C-3″,5″), 97.9 (C-2′,6′), 95.6 (C-4′), 67.0 (C-3), 55.1 (OCH3), and 38.5 (C-10) ppm. For C34H29Cl2N3O6S (690.587 g · mol−1) calc.: C 60.18; H 4.23; N 6.08; and S 4.64%, exp.: C 60.01; H 4.23; N 6.02; and S 4.63%.
2-(4-{[(5Z)-3-[(Acridin-9-yl)methyl]-2,4-dioxo-1,3-thiazolidin-5-ylidene]methyl}phenoxy)-N-(3,4,5-trimethoxyphenyl)acetamide dihydrochloride (7c·2HCl). Yellow solid. Yield: 29 mg (88%). IR νmax 3286, 2928, 2835, 1728, 1704, 1668, 1590, 1558, 1505, 1227, 1181, 1124, 752 cm−1. 1H NMR (600 MHz, DMSO-d6): δ 10.13 (s, 1H, H-1), 8.64 (d, J = 8.9 Hz, 2H, H-1‴,8‴), 8.41 (d, J = 8.7 Hz, 2H, H-4‴,5‴), 8.14 (t, J = 7.8 Hz, 2H, H-3‴,6‴), 7.91 (s, 1H, H-4), 7.88 (t, J = 8.1 Hz, 2H, H-2‴,7‴), 7.57 (d, J = 9.0 Hz, 2H, H-2″,6″), 7.13 (d, J = 9.0 Hz, 2H, H-3″,5″), 7.03 (s, 2H, H-2′,6′), 6.04 (s, 2H, H-10), 4.78 (s, 2H, H-3), 3.75 (s, 6H, 2 × OCH3), and 3.61 (s, 3H, OCH3) ppm. 13C NMR (151 MHz, DMSO-d6): δ 167.5 (C-8), 165.6 (C-6), 165.8 (C-2), 160.0 (C-4″), 152.7 (C-3′,5′), 149.3 (C-4‴a,10‴a), 142.5 (C-9‴), 134.5 (C-1′), 134.1 (C-4), 134.1 (C-3‴,6‴), 133.7 (C-4′), 132.4 (C-2″,6″), 127.5 (C-2‴,7‴), 125.7 (C-1″), 125.6 (C-1‴,8‴), 125.4 (C-8‴a,9‴a), 117.3 (C-5), 115.7 (C-3″,5″), 97.3 (C-2′,6′), 67.0 (C-3), 60.1 (OCH3), 55.7 (OCH3), and 38.3 (C-10) ppm. For C35H31Cl2N3O7S (708.607 g · mol−1) calc.: C 59.33; H 4.41; N 5.93; and S 4.52%, exp.: C 59.30; H 4.41; N 6.00; and S 4.51%.
2-(4-{[(5Z)-3-[(Acridin-9-yl)methyl]-2,4-dioxo-1,3-thiazolidin-5-ylidene]methyl}phenoxy)-N-(4-nitrophenyl)acetamide dihydrochloride (7d·2HCl). Yellow solid. Yield: 31 mg (91%). IR νmax 3085, 1733, 1711, 1686, 1592, 1566, 1502, 1330, 1250, 1176, 1068, 749 cm−1. 1H NMR (600 MHz, DMSO-d6): δ 10.84 (s, 1H, H-1), 8.59 (d, J = 8.9 Hz, 2H, H-1‴,8‴), 8.32 (d, J = 8.7 Hz, 2H, H-4‴,5‴), 8.23 (d, J = 9.2 Hz, 2H, H-3′,5′), 8.06 (t, J = 7.6 Hz, 2H, H-3‴,6‴), 7.90 (s, 1H, H-4), 7.88 (d, J = 9.2 Hz, 2H, H-2′,6′), 7.82 (t, J = 7.8 Hz, 2H, H-2‴,7‴), 7.57 (d, J = 9.0 Hz, 2H, H-2″,6″), 7.14 (d, J = 9.0 Hz, 2H, H-3″,5″), 6.01 (s, 2H, H-10), and 4.90 (s, 2H, H-3) ppm. 13C NMR (151 MHz, DMSO-d6): δ 167.5 (C-8), 167.1 (C-2), 165.6 (C-6), 159.8 (C-4″), 144.5 (C-1′), 142.5 (C-4′), 134.0 (C-4), 132.4 (C-2″,6″), 127.2 (C-2‴,7‴), 125.9 (C-1″), 125.3 (C-8‴a,9‴a), 125.3 (C-1‴,8‴), 125.0 (C-3′,5′), 119.3 (C-2′,6′), 117.4 (C-5), 115.7 (C-3″,5″), 66.9 (C-3), and 38.4 (C-10) ppm. For C32H24Cl2N4O6S (663.526 g · mol−1) calc.: C 57.93; H 3.65; N 8.44; and S 4.83%, exp.: C 58.01; H 3.69; N 8.45; and S 4.90%.
2-(4-{[(5Z)-3-[(Acridin-9-yl)methyl]-2,4-dioxo-1,3-thiazolidin-5-ylidene]methyl}phenoxy)-N-[2-(trifluoromethyl)phenyl]acetamide dihydrochloride (7e·2HCl). Yellow solid. Yield: 28 mg (83%). IR νmax 3423, 3014, 2912, 1734, 1708, 1681, 1590, 1536, 1509, 1325, 1261, 1063, 1181, 466, 750 cm−1. 1H NMR (600 MHz, DMSO-d6): δ 9.80 (s, 1H, H-1), 8.65 (d, J = 8.9 Hz, 2H, H-1‴,8‴), 8.43 (d, J = 8.7 Hz, 2H, H-4‴,5‴), 8.15 (t, J = 7.7 Hz, 2H, H-3‴,6‴), 7.92 (s, 1H, H-4), 7.90 (t, J = 7.9 Hz, 2H, H-2‴,7‴), 7.75 (d, J = 7.9 Hz, 1H, H-3′), 7.70 (t, J = 7.7 Hz, 1H, H-5′), 7.61 (d, J = 8.0 Hz, 1H, H-6′), 7.58 (d, J = 8.9 Hz, 2H, H-2″,6″), 7.47 (t, J = 7.7 Hz, 1H, H-4′), 7.14 (d, J = 8.9 Hz, 2H, H-3″,5″), 6.05 (s, 2H, H-10), and 4.85 (s, 2H, H-3) ppm. 13C NMR (151 MHz, DMSO-d6): δ 167.5 (C-8),167.1 (C-2), 165.6 (C-6), 159.6 (C-4″), 142.9 (C-9‴), 134.6 (C-1′), 134.3 (C-3‴,6‴), 134.1 (C-4), 133.2 (C-5′), 132.3 (C-2″,6″), 129.3 (C-6′), 127.6 (C-2‴,7‴), 127.0 (C-4′), 126.4 (q, J = 4.7 Hz, C-3′), 125.9 (C-1″), 125.6 (C-1‴,8‴), 125.4 (C-8‴a,9‴a), 124.5 (C-2′), 123.5 (q, J = 272.3 Hz, CF3), 117.5 (C-5), 115.7 (C-3″,5″), 66.8 (C-3), and 38.5 (C-10) ppm. For C33H24Cl2F3N3O4S (686.526 g · mol−1) calc.: C 57.73; H 3.52; N 6.12; and S 4.67%, exp.: C 57.75; H 3.51; N 6.12; and S 4.68%.
2-(4-{[(5Z)-3-[(Acridin-9-yl)methyl]-2,4-dioxo-1,3-thiazolidin-5-ylidene]methyl}phenoxy)-N-[3-(trifluoromethyl)phenyl]acetamide dihydrochloride (7f·2HCl). Yellow solid. Yield: 22 mg (66%). IR νmax 3093, 1732, 1703, 1672, 1591, 1567, 1509, 1332, 1248, 1181, 1067, 753 cm−1. 1H NMR (600 MHz, DMSO-d6): δ 10.57 (s, 1H, H-1), 8.63 (d, J = 8.9 Hz, 2H, H-1‴,8‴), 8.39 (d, J = 8.7 Hz, 2H, H-4‴,5‴), 8.13 (t, J = 7.7 Hz, 2H, H-3‴,6‴), 8.10 (s, 1H, H-2′), 7.90 (s, 1H, H-4), 7.86 (m, 3H, H-6′, H-2‴,7‴), 7.57 (d, J = 8.5 Hz, 2H, H-2″,6″), 7.56 (m, 1H, H-5′), 7.43 (d, J = 7.8 Hz, 1H, H-4′), 7.15 (d, J = 9.0 Hz, 2H, H-3″,5″), 6.03 (s, 2H, H-10), and 4.85 (s, 2H, H-3) ppm. 13C NMR (151 MHz, DMSO-d6): δ 167.5 (C-8), 166.7 (C-2), 165.6 (C-6), 159.9 (C-4″), 143.2 (C-9‴), 139.1 (C-1′), 134.0 (C-4), 133.5 (C-3‴,6‴), 132.4 (C-2″,6″), 129.9 (C-5′), 129.4 (q, J = 31.5 Hz, C-3′), 127.5 (C-2‴,7‴), 125.8 (C-1″), 125.5 (C-1‴,8‴), 125.3 (C-8‴a,9‴a), 124.1 (q, J = 272.0 Hz, CF3), 123.2 (C-6′), 120.1 (br s, C-4′), 117.4 (C-5), 115.7 (C-3″,5″), 115.7 (br s, C-2′), 66.9 (C-3), and 38.5 (C-10) ppm. For C33H24Cl2F3N3O4S (686.526 g · mol−1) vypočítané: C 57.73; H 3.52; N 6.12; and S 4.67%, exp.: C 57.69; H 3.52; N 6.12; and S 4.66%.
2-(4-{[(5Z)-3-[(Acridin-9-yl)methyl]-2,4-dioxo-1,3-thiazolidin-5-ylidene]methyl}phenoxy)-N-[3,5-bis(trifluoromethyl)phenyl]acetamide dihydrochloride (7g·2HCl). Yellow solid. Yield: 27 mg (81%). IR νmax 3104, 1731, 1717, 1673, 1581, 1510, 1382, 1275, 1178, 1134, 1073, 753 cm−1. 1H NMR (600 MHz, DMSO-d6): δ 10.94 (s, 1H, H-1), 8.64 (d, J = 8.9 Hz, 2H, H-1‴,8‴), 8.40 (d, J = 8.8 Hz, 2H, H-4‴,5‴), 8.35 (s, 2H, H-2′,6′), 8.14 (t, J = 7.7 Hz, 2H, H-3‴,6‴), 7.91 (s, 1H, H-4), 7.88 (t, J = 8.0 Hz, 2H, H-2‴,7‴), 7.80 (s, 1H, H-4′), 7.58 (d, J = 9.0 Hz, 2H, H-2″,6″), 7.17 (d, J = 9.0 Hz, 2H, H-3″,5″), 6.04 (s, 2H, H-10), and 4.89 (s, 2H, H-3) ppm. 13C NMR (151 MHz, DMSO-d6): δ 167.5 (C-8), 167.3 (C-2), 165.6 (C-6), 159.7 (C-4″), 142.8 (C-9‴), 140.3 (C-1′), 134.0 (C-3‴,6‴), 134.0 (C-4), 132.4 (C-2″,6″), 130.8 (q, J = 32.0 Hz, C-3′,5′), 127.5 (C-2‴,7‴), 125.9 (C-1″), 125.6 (C-1‴,8‴), 125.4 (C-8‴a,9‴a), 123.2 (q, J = 272.0 Hz, CF3), 119.4 (br s, C-2′,6′), 117.4 (C-5), 116.6 (br s, C-4′), 115.7 (C-3″,5″), 66.8 (C-3), and 38.5 (C-10) ppm. For C34H23Cl2F6N3O4S (754.523 g · mol−1) calc.: C 54.12; H 3.07; N 5.57; and S 4.25%, exp.: C 54.14; H 3.09; N 5.55; and S 4.25%.
2-(4-{[(5Z)-3-[(Acridin-4-yl)methyl]-2,4-dioxo-1,3-thiazolidin-5-ylidene]methyl}phenoxy)-N-phenylacetamide hydrochloride (8a·HCl). Yellow solid. Yield: 22 mg (70%). IR νmax 3257, 3036, 1737, 1678, 1594, 1537, 1509, 1249, 1180, 1146, 1066, 749, 717 cm−1. 1H NMR (600 MHz, DMSO-d6): δ 10.22 (s, 1H, H-1), 9.20 (s, 1H, H-9‴), 8.22 (d, J = 8.5 Hz, 1H, H-8‴), 8.19 (d, J = 8.7 Hz, 1H, H-5‴), 8.14 (dd, J = 7.2, 2.7 Hz, 1H, H-1‴), 7.97 (s, 1H, H-4), 7.91 (ddd, J = 8.5, 6.6, 1.4 Hz, 1H, H-6‴), 7.68 (m, 1H, H-7‴), 7.67 (d, J = 8.7 Hz, 2H, H-2″,6″), 7.64 (d, J = 7.5 Hz, 2H, H-2′,6′), 7.57 (m, 2H, H-2‴, H-3‴), 7.33 (t, J = 8.0 Hz, 2H, H-3′,5′), 7.19 (d, J = 8.8 Hz, 2H, H-3″,5″), 7.09 (t, J = 7.4 Hz, 1H, H-4′), 5.61 (s, 2H, H-10), and 4.83 (s, 2H, H-3) ppm. 13C NMR (151 MHz, DMSO-d6): δ 167.5 (C-8), 166.0 (C-2), 165.9 (C-6), 159.8 (C-4″), 147.4 (C-10‴a), 145.8 (C-4‴a), 138.4 (C-1′), 137.2 (C-9‴), 133.0 (C-4), 132.2 (C-2″,6″), 131.9 (C-4‴), 131.1 (C-6‴), 128.8 (C-3′,5′), 128.8 (C-5‴), 128.5 (C-8‴), 128.2 (C-1‴), 127.3 (C-3‴), 126.2 (C-7‴), 126.1 (C-1″), 126.1 (C-8‴a), 126.0 (C-9‴a), 125.4 (C-2‴), 123.7 (C-4′), 119.6 (C-2′,6′), 118.6 (C-5), 115.7 (C-3″,5″), 67.0 (C-3), and 42.3 (C-10) ppm. For C32H24ClN3O4S (582.071 g · mol−1) calc.: C 66.03; H 4.16; N 7.22; and S 5.51%, exp.: C 65.57; H 4.12; N 7.16; and S 5.48%.
2-(4-{[(5Z)-3-[(Acridin-4-yl)methyl]-2,4-dioxo-1,3-thiazolidin-5-ylidene]methyl}phenoxy)-N-(3,5-dimethoxyphenyl)acetamide hydrochloride (8b·HCl). Yellow solid. Yield: 20 mg (64%). IR νmax 2930, 1729, 1678, 1594, 1547, 1509, 1256, 1180, 1148, 1060, 745 cm−1. 1H NMR (600 MHz, DMSO-d6): δ 10.10 (s, 1H, H-1), 9.17 (s, 1H, H-9‴), 8.20 (d, J = 8.4 Hz, 1H, H-8‴), 8.17 (dd, J = 8.8, 1.0 Hz, 1H, H-5‴), 8.13 (dd, J = 7.8, 1.8 Hz, 1H, H-1‴), 7.97 (s, 1H, H-4), 7.89 (ddd, J = 8.7, 6.6, 1.5 Hz, 1H, H-6‴), 7.66 (m, 3H, H-2″,6″, H-7‴), 7.63 (d, J = 2.3 Hz, 2H, H-2′,6′), 7.55 (m, 2H, H-2‴, H-3‴), 7.18 (d, J = 8.8 Hz, 2H, H-3″,5″), 6.25 (t, J = 2.3 Hz, 1H, H-4′), 5.60 (s, 2H, H-10), 4.80 (s, 2H, H-3), and 3.71 (s, 6H, 2 × OCH3) ppm. 13C NMR (151 MHz, DMSO-d6): δ 167.5 (C-8), 166.1 (C-2), 165.9 (C-6), 160.5 (C-3′,5′), 159.7 (C-4″), 147.7 (C-10‴a), 146.1 (C-4‴a), 140.0 (C-1′), 136.8 (C-9‴), 133.0 (C-4), 132.2 (C-2″,6″), 132.1 (C-4‴), 130.9 (C-6‴), 129.1 (C-5‴), 128.5 (C-8‴), 128.1 (C-1‴), 127.0 (C-3‴), 126.2 (C-7‴), 126.2 (C-8‴a), 126.1 (C-1″), 126.0 (C-9‴a), 125.3 (C-2‴), 118.6 (C-5), 115.7 (C-3″5″), 97.9 (C-2′,6′), 95.7 (C-4′), 67.0 (C-3), 55.1 (OCH3), and 42.3 (C-10) ppm. For C34H28ClN3O6S (642.123 g · mol−1) calc.: C 63.60; H 4.40; N 6.54; and S 4.99%, exp.: C 62.99; H 4.39; N 6.54; and S 4.97%.
2-(4-{[(5Z)-3-[(Acridin-4-yl)methyl]-2,4-dioxo-1,3-thiazolidin-5-ylidene]methyl}phenoxy)-N-(3,4,5-trimethoxyphenyl)acetamide hydrochloride (8c·HCl). Yellow solid. Yield: 22 mg (69%). IR νmax 3277, 2939, 2823, 1737, 1674, 1596, 1503, 1227, 1176, 1129, 1064, 733 cm−1. 1H NMR (600 MHz, DMSO-d6): δ 10.08 (s, 1H, H-1), 9.17 (s, 1H, H-9‴), 8.20 (dd, J = 8.4, 1.0 Hz, 1H, H-8‴), 8.17 (dd, J = 8.8, 1.0 Hz, 1H, H-5‴), 8.13 (dd, J = 7.9, 2.0 Hz, 1H, H-1‴), 7.97 (s, 1H, H-4), 7.89 (ddd, J = 8.7, 6.6, 1.5 Hz, 1H, H-6‴), 7.66 (m, 3H, H-2″,6″, H-7‴), 7.55 (m, 2H, H-2‴, H-3‴), 7.19 (d, J = 8.8 Hz, 2H, H-3″,5″), 7.04 (s, 2H, H-2′,6′), 5.60 (s, 2H, H-10), 4.80 (s, 2H, H-3), 3.74 (s, 6H, 2 × OCH3), and 3.62 (s, 3H, OCH3) ppm. 13C NMR (151 MHz, DMSO-d6): δ 167.5 (C-8), 165.9 (C-2), 165.9 (C-6), 159.7 (C-4″), 152.7 (C-3′,5′), 147.7 (C-10‴a), 146.1 (C-4‴a), 136.8 (C-9‴), 134.5 (C-1′), 133.7 (C-4′), 133.0 (C-4), 132.2 (C-2″,6″), 132.1 (C-4‴), 130.9 (C-6‴), 129.1 (C-5‴), 128.5 (C-8‴), 128.1 (C-1‴), 127.0 (C-3‴), 126.2 (C-7‴), 126.2 (C-8‴a), 126.1 (C-1″), 126.0 (C-9‴a), 125.4 (C-2‴), 118.6 (C-5), 115.7 (C-3″,5″), 97.4 (C-2′,6′), 67.0 (C-3), 60.1 (OCH3), 55.7 (OCH3), and 42.4 (C-10) ppm. For C35H30ClN3O7S (672.149 g · mol−1) calc.: C 62.54; H 4.50; N 6.25; and S 4.77%, exp.: C 62.54; H 4.50; N 6.23; and S 4.76%.
2-(4-{[(5Z)-3-[(Acridin-4-yl)methyl]-2,4-dioxo-1,3-thiazolidin-5-ylidene]methyl}phenoxy)-N-(4-nitrophenyl)acetamide hydrochloride (8d·HCl). Yellow solid. Yield: 26 mg (83%). IR νmax 1737, 1682, 1594, 1543, 1501, 1369, 1331, 1250, 1179, 1170, 712 cm−1. 1H NMR (600 MHz, DMSO-d6): δ 10.78 (s, 1H, H-1), 9.17 (s, 1H, H-9‴), 8.25 (d, J = 9.3 Hz, 2H, H-3′,5′), 8.21 (d, J = 8.4 Hz, 1H, H-8‴), 8.17 (d, J = 8.6 Hz, 1H, H-5‴), 8.13 (d, J = 7.9 Hz, 1H, H-1‴), 7.97 (s, 1H, H-4), 7.89 (m, 1H, H-6′), 7.89 (d, J = 9.3 Hz, 2H, H-2′,6′), 7.67 (m, 3H, H-2″,6″, H-7‴), 7.56 (m, 2H, H-2‴, H-3‴), 7.20 (d, J = 8.8 Hz, 2H, H-3″,5″), 5.60 (s, 2H, H-10), and 4.80 (s, 2H, H-3) ppm. 13C NMR (151 MHz, DMSO-d6): δ 167.5 (C-8), 167.1 (C-2), 165.9 (C-6), 159.6 (C-4″), 147.7 (C-10‴a), 146.1 (C-4‴a), 144.5 (C-1′), 142.6 (C-4′), 136.8 (C-9‴), 133.0 (C-4), 132.2 (C-2″,6″), 132.1 (C-4‴), 130.9 (C-6‴), 129.1 (C-5‴), 128.5 (C-8‴), 128.1 (C-1‴), 127.0 (C-3‴), 126.2 (C-7‴), 126.2 (C-1″), 126.0 (C-8‴a), 126.0 (C-9‴a), 125.3 (C-2‴), 125.0 (C-3′,5′), 119.3 (C-2′,6′), 118.7 (C-5), 115.7 (C-3″,5″), 67.0 (C-3), and 42.3 (C-10) ppm. For C32H23ClN4O6S (627.068 g · mol−1) calc.: C 61.29; H 3.70; N 8.93; and S 5.11%, exp.: C 60.70; H 3.68; N 8.93; and S 5.10%.
2-(4-{[(5Z)-3-[(Acridin-4-yl)methyl]-2,4-dioxo-1,3-thiazolidin-5-ylidene]methyl}phenoxy)-N-[2-(trifluoromethyl)phenyl]acetamid hydrochloride (8e·HCl). Yellow solid. Yield: 26 mg (82%). IR νmax 3363, 1735, 1681, 1588, 1505, 1360, 1260, 1166, 1147, 1107, 1058, 756 cm−1. 1H NMR (600 MHz, DMSO-d6): δ 9.80 (s, 1H, H-1), 9.17 (s, 1H, H-9‴), 8.21 (d, J = 8.4 Hz, 1H, H-8‴), 8.17 (d, J = 8.8 Hz, 1H, H-5‴), 8.13 (dd, J = 7.4, 2.5 Hz, 1H, H-1‴), 7.99 (s, 1H, H-4), 7.89 (ddd, J = 8.6, 6.6, 1.5 Hz, 1H, H-6‴), 7.77 (d, J = 7.8 Hz, 1H, H-3′), 7.72 (t, J = 7.5 Hz, 1H, H-5′), 7.68 (d, J = 8.8 Hz, 2H, H-2″,6″), 7.65 (m, 4H, H-6′, H-3‴, H-2‴,7‴), 7.49 (t, J = 7.6 Hz, 1H, H-4′), 7.19 (d, J = 8.8 Hz, 2H, H-3″,5″), 5.61 (s, 2H, H-10), and 4.87 (s, 2H, H-3) ppm. 13C NMR (151 MHz, DMSO-d6): δ 167.5 (C-8), 167.1 (C-2), 165.9 (C-6), 159.4 (C-4″), 147.7 (C-10‴a), 146.1 (C-4‴a), 136.8 (C-9‴), 134.6 (C-1′), 133.2 (C-5′), 133.0 (C-4), 132.2 (C-4‴), 132.2 (C-2″,6″), 130.9 (C-6‴), 129.3 (C-6′), 129.1 (C-5‴), 128.5 (C-8‴), 128.1 (C-1‴), 127.0 (C-3‴), 126.9 (C-4′), 126.4 (C-3′), 126.4 (C-1″), 126.3 (C-8‴a), 126.2 (C-7‴), 126.0 (C-9‴a), 125.4 (C-2‴), 124.2 (q, J = 30.0 Hz, C-2′), 123.6 (q, J = 273.4 Hz, CF3), 118.8 (C-5), 115.7 (C-3″,5″), 66.8 (C-3), and 42.3 (C-10) ppm. For C33H23ClF3N3O4S (650.068 g · mol−1) calc.: C 60.97; H 3.57; N 6.46; and S 4.93%, exp.: C 60.46; H 3.54; N 6.43; and S 4.90%.
2-(4-{[(5Z)-3-[(Acridin-4-yl)methyl]-2,4-dioxo-1,3-thiazolidin-5-ylidene]methyl}phenoxy)-N-[3-(trifluoromethyl)phenyl]acetamide hydrochloride (8f·HCl). Yellow solid. Yield: 24 mg (76%). IR νmax 3311, 3034, 1743, 1674, 1598, 1535, 1509, 1335, 1247, 1164, 1140, 1116, 1072, 741 cm−1. 1H NMR (600 MHz, DMSO-d6): δ 10.50 (s, 1H, H-1), 9.17 (s, 1H, H-9‴), 8.20 (d, J = 8.4 Hz, 1H, H-8‴), 8.17 (dd, J = 8.8, 1.0 Hz, 1H, H-5‴), 8.13 (m, 2H, H-2′, H-1‴), 7.97 (s, 1H, H-4), 7.89 (ddd, J = 8.7, 6.6, 1.5 Hz, 1H, H-6‴), 7.86 (d, J = 2.1 Hz, 1H, H-6′), 7.67 (d, J = 8.9 Hz, 2H, H-2″,6″), 7.66 (ddd, J = 8.3, 6.6, 1.2 Hz, 1H, H-7‴), 7.59 (t, J = 8.0 Hz, 1H, H-5′), 7.55 (m, 2H, H-2‴,3‴), 7.45 (d, J = 7.9 Hz, 1H, H-4′), 7.20 (d, J = 8.9 Hz, 2H, H-3″,5″), 5.60 (s, 2H, H-10), and 4.87 (s, 2H, H-3) ppm. 13C NMR (151 MHz, DMSO-d6): δ 167.5 (C-8), 166.7 (C-2), 165.9 (C-6), 159.6 (C-4″), 147.7 (C-10‴a), 146.1 (C-4‴a), 139.1 (C-1′), 136.8 (C-9‴), 133.0 (C-4), 132.3 (C-2″,6″), 132.2 (C-4‴), 130.9 (C-6‴), 130.1 (C-5′), 129.5 (q, J = 31.4 Hz, C-3′), 129.1 (C-5‴), 128.5 (C-8‴), 128.1 (C-1‴), 127.0 (C-3‴), 126.2 (C-7‴), 126.2 (C-8‴a), 126.2 (C-1″), 126.0 (C-9‴a), 125.4 (C-2‴), 124.1 (q, J = 272.5 Hz, CF3), 123.3 (C-6′), 120.1 (C-4′), 118.7 (C-5), 115.7 (C-2′), 115.7 (C-3″,5″), 67.0 (C-3), and 42.3 (C-10) ppm. For C33H23ClF3N3O4S (650.068 g · mol−1) calc.: C 60.97; H 3.57; N 6.46; and S 4.93%, exp.: C 60.82; H 3.55; N 6.45; and S 4.89%.
2-(4-{[(5Z)-3-[(Acridin-4-yl)methyl]-2,4-dioxo-1,3-thiazolidin-5-ylidene]methyl}phenoxy)-N-[3-(trifluoromethyl)phenyl]acetamide hydrochloride (8g·HCl). Yellow solid. Yield: 25 mg (79%). IR νmax 2962, 1748, 1703, 1687, 1583, 1510, 1385, 1366, 1278, 1180, 1119, 1070, 756 cm−1. 1H NMR (600 MHz, DMSO-d6): δ 10.78 (s, 1H, H-1), 9.17 (s, 1H, H-9‴), 8.36 (s, 2H, H-2′,6′), 8.20 (d, J = 8.5 Hz, 1H, H-8‴), 8.17 (dd, J = 8.8, 1.1 Hz, 1H, H-5‴), 8.13 (dd, J = 7.8, 2.1 Hz, 1H, H-1‴), 7.98 (s, 1H, H-4), 7.89 (ddd, J = 8.5, 6.6, 1.4 Hz, 1H, H-6‴), 7.82 (s, 1H, H-4′), 7.68 (d, J = 8.8 Hz, 2H, H-2″,6″), 7.65 (ddd, J = 8.5, 6.6, 1.2 Hz, 1H, H-7‴), 7.55 (m, 2H, H-2‴, H-3‴), 7.22 (d, J = 8.9 Hz, 2H, H-3″,5″), 5.60 (s, 2H, H-10), and 4.90 (s, 2H, H-3) ppm. 13C NMR (151 MHz, DMSO-d6): δ 167.4 (C-8), 167.4 (C-2), 165.9 (C-6), 159.5 (C-4″), 147.6 (C-10‴a), 146.1 (C-4‴a), 140.2 (C-1′), 136.8 (C-9‴), 132.9 (C-4), 132.2 (C-4‴), 132.2 (C-2″,6″), 130.9 (C-6‴), 130.8 (q, J = 32.9 Hz, C-3′,5′), 129.1 (C-5‴), 128.5 (C-8‴), 128.1 (C-1‴), 127.0 (C-3‴), 126.3 (C-1″), 126.2 (C-7‴), 126.2 (C-8‴a), 126.0 (C-9‴a), 125.3 (C-2‴), 123.2 (q, J = 272.9 Hz, CF3), 119.5 (br s, C-2′,6′), 118.8 (C-5), 116.7 (br s, C-4′), 115.8 (C-3″,5″), 66.9 (C-3), and 42.3 (C-10) ppm. For C34H22ClF6N3O4S (720.321 g · mol−1) calc.: C 56.69; H 3.08; N 5.83; and S 4.45%, exp.: C 56.96; H 3.07; N 5.81; and S 4.42%.
2-(4-{[(5Z)-3-[(Acridin-9-yl)methyl]-2,4-dioxo-1,3-thiazolidin-5-ylidene]methyl}-2-methoxyphenoxy)-N-phenylacetamide dihydrochloride (12a·2HCl). Yellow solid. Yield: 26 mg (78%). IR νmax 3395, 1737, 1682, 1589, 1548, 1511, 1259, 1152, 754 cm−1. 1H NMR (600 MHz, DMSO-d6): δ 10.21 (s, 1H, H-1), 8.63 (d, J = 8.9 Hz, 2H, H-1‴,8‴), 8.40 (d, J = 8.7 Hz, 2H, H-4‴,5‴), 8.13 (t, J = 7.7 Hz, 2H, H-3‴,6‴), 7.91 (s, 1H, H-4), 7.88 (t, J = 7.7 Hz, 2H, H-2‴,7‴), 7.59 (d, J = 8.5 Hz, 2H, H-2′,6′), 7.31 (dd, J = 8.5, 7.3 Hz, 2H, H-3′,5′), 7.22 (d, J = 2.1 Hz, 1H, H-6″), 7.15 (dd, J = 8.5, 2.1 Hz, 1H, H-2″), 7.06 (m, 3H, H-4′, H-3″,5″), 6.04 (s, 2H, H-10), 4.80 (s, 2H, H-3), and 3.83 (s, 3H, OCH3) ppm. 13C NMR (151 MHz, DMSO-d6): δ 167.5 (C-8), 165.9 (C-2), 165.5 (C-6), 149.9 (C-4″), 149.1 (C-5″), 142.8 (C-9‴), 138.4 (C-1′), 134.4 (C-4), 133.9 (C-3‴,6‴), 128.8 (C-3′,5′), 127.5 (C-2‴,7‴), 126.2 (C-1″), 125.5 (C-1‴,8‴), 125.3 (C-8‴a,9‴a), 123.8 (C-2″), 123.6 (C-4′), 119.4 (C-2′,6′), 117.6 (C-5), 114.0 (C-6″), 113.7 (C-3″), 67.6 (C-3), 55.7 (OCH3), and 38.5 (C-10) ppm. For C33H27Cl2N3O5S (648.555 g · mol−1) calc.: C 61.11; H 4.20; N 6.48; S 4.94%, exp.: C 60.38; H 4.16; N 6.37; and S 4.92%.
2-(4-{[(5Z)-3-[(Acridin-9-yl)methyl]-2,4-dioxo-1,3-thiazolidin-5-ylidene]methyl}-2-methoxyphenoxy)-N-(3,5-dimethoxyphenyl)acetamide dihydrochloride (12b·2HCl). Yellow solid. Yield: 26 mg (78%). IR νmax 3384, 2945, 1737, 1682, 1610, 1552, 1518, 1265, 1149, 753 cm−1. 1H NMR (600 MHz, DMSO-d6): δ 10.17 (s, 1H, H-1), 8.63 (d, J = 8.9 Hz, 2H, H-1‴,8‴), 8.41 (d, J = 8.8 Hz, 2H, H-4‴,5‴), 8.14 (t, J = 7.4 Hz, 2H, H-3‴,6‴), 7.91 (s, 1H, H-4), 7.88 (t, J = 7.7 Hz, 2H, H-2‴,7‴), 7.22 (d, J = 2.2 Hz, 1H, H-6″), 7.15 (dd, J = 8.6, 2.2 Hz, 1H, H-2″), 7.04 (d, J = 8.6 Hz, 1H, H-3″), 6.85 (d, J = 2.2 Hz, 2H, H-2′,6′), 6.23 (t, J = 2.2 Hz, 1H, H-4′), 6.04 (s, 2H, H-10), 4.78 (s, 2H, H-3), 3.83 (s, 3H, OCH3), and 3.69 (s, 6H, 2 × OCH3) ppm. 13C NMR (151 MHz, DMSO-d6): δ 167.5 (C-8), 166.0 (C-2), 165.5 (C-6), 160.5 (C-3′,5′), 149.8 (C-4″), 149.1 (C-5″), 142.9 (C-9‴), 140.0 (C-1′), 134.4 (C-4), 134.0 (C-3‴,6‴), 127.5 (C-2‴,7‴), 126.2 (C-1″), 125.6 (C-1‴,8‴), 125.3 (C-8‴a,9‴a), 123.8 (C-2″), 117.6 (C-5), 114.0 (C-6″), 113.7 (C-3″), 97.6 (C-2′,6′), 95.6 (C-4′), 67.5 (C-3), 55.7 (OCH3), 55.1 (OCH3), and 38.5 (C-10) ppm. For C35H31Cl2N3O7S (708.607 g · mol−1) calc.: C 59.33; H 4.41; N 5.93; S 4.52%, exp.: C 59.59; H 4.39; N 5.91; and S 4.57%.
2-(4-{[(5Z)-3-[(Acridin-9-yl)methyl]-2,4-dioxo-1,3-thiazolidin-5-ylidene]methyl}-2-methoxyphenoxy)-N-(3,4,5-trimethoxyphenyl)acetamide dihydrochloride (12c·2HCl). Yellow solid. Yield: 26 mg (78%). IR νmax 2940, 1733, 1681, 1589, 1505, 1261, 1223, 1182, 1125, 756 cm−1. 1H NMR (600 MHz, DMSO-d6): δ 10.15 (s, 1H, H-1), 8.63 (d, J = 8.9 Hz, 2H, H-1‴,8‴), 8.40 (d, J = 8.7 Hz, 2H, H-4‴,5‴), 8.13 (t, J = 7.8 Hz, 2H, H-3‴,6‴), 7.91 (s, 1H, H-4), 7.88 (t, J = 7.8 Hz, 2H, H-2‴,7‴), 7.22 (d, J = 2.2 Hz, 1H, H-6″), 7.15 (dd, J = 8.6, 2.2 Hz, 1H, H-1″), 7.05 (d, J = 8.6 Hz, 1H, H-3″), 6.99 (s, 2H, H-2′,6′), 6.04 (s, 2H, H-10), 4.78 (s, 2H, H-3), 3.83 (s, 3H, OCH3), 3.72 (s, 6H, 2 × OCH3), and 3.60 (s, 3H, OCH3) ppm. 13C NMR (151 MHz, DMSO-d6): δ 167.5 (C-8), 165.8 (C-2), 165.5 (C-6), 152.7 (C-3′,5′), 149.9 (C-4″), 149.2 (C-5″), 143.0 (C-9‴), 134.5 (C-1′), 134.4 (C-4), 134.0 (C-3‴,6‴), 133.6 (C-4′), 127.5 (C-2‴,7‴), 126.2 (C-1″), 125.5 (C-1‴,8‴), 125.3 (C-8‴a,9‴a), 123.8 (C-2″), 117.6 (C-5), 113.9 (C-6″), 113.8 (C-3″), 97.1 (C-2′,6′), 67.6 (C-3), 60.1 (OCH3), 55.7 (OCH3), 55.7 (OCH3), and 38.5 (C-10) ppm. For C36H33Cl2N3O8S (738.633 g · mol−1) calc.: C 58.54; H 4.50; N 5.69; and S 4.34%, exp.: C 57.99; H 4.49; N 5.69; and S 4.31%.
2-(4-{[(5Z)-3-[(Acridin-9-yl)methyl]-2,4-dioxo-1,3-thiazolidin-5-ylidene]methyl}-2-methoxyphenoxy)-N-(4-nitrophenyl)acetamide dihydrochloride (12d·2HCl). Yellow solid. Yield: 26 mg (78%). IR νmax 2916, 1732, 1680, 1586, 1562, 1510, 1326, 1255, 1175, 1150, 751 cm−1. 1H NMR (600 MHz, DMSO-d6): δ 10.93 (s, 1H, H-1), 8.65 (d, J = 8.9 Hz, 2H, H-1‴,8‴), 8.42 (d, J = 8.7 Hz, 2H, H-4‴,5‴), 8.23 (d, J = 9.2 Hz, 2H, H-3′,5′), 8.15 (t, J = 7.8 Hz, 2H, H-3‴,6‴), 7.91 (s, 1H, H-4), 7.89 (t, J = 7.8 Hz, 2H, H-2‴,7‴), 7.23 (d, J = 2.2 Hz, 1H, H-6″), 7.15 (dd, J = 8.6, 2.2 Hz, 1H, H-2″), 7.07 (d, J = 8.6 Hz, 1H, H-3″), 6.86 (d, J = 9.2 Hz, 2H, H-2′,6′), 6.05 (s, 2H, H-10), 4.90 (s, 2H, H-3), and 3.83 (s, 3H, OCH3) ppm. 13C NMR (151 MHz, DMSO-d6): δ 167.5 (C-8), 167.1 (C-2), 165.5 (C-6), 149.7 (C-4″), 149.1 (C-5″), 144.6 (C-1′), 142.5 (C-4′), 134.4 (C-4), 134.0 (C-3‴,6‴), 127.6 (C-2‴,7‴), 126.3 (C-1″), 125.6 (C-1‴,8‴), 125.4 (C-8‴a,9‴a), 125.0 (C-3′,5′), 123.8 (C-2″), 119.1 (C-2′,6′), 117.7 (C-5), 114.0 (C-6″), 113.8 (C-3″), 67.4 (C-3), 55.7 (OCH3), and 38.5 (C-10) ppm. For C33H26Cl2N4O7S (693.552 g · mol−1) calc.: C 57.15; H 3.78; N 8.08; and S 4.62%, exp.: C 57.12; H 3.76; N 8.00; and S 4.59%.
2-(4-{[(5Z)-3-[(Acridin-9-yl)methyl]-2,4-dioxo-1,3-thiazolidin-5-ylidene]methyl}-2-methoxyphenoxy)-N-[2-(trifluoromethyl)phenyl]acetamide dihydrochloride (12e·2HCl). Yellow solid. Yield: 26 mg (78%). IR νmax 3414, 3015, 1750, 1699, 1681, 1593, 1539, 1514, 1334, 1298, 1175, 1147, 756 cm−1. 1H NMR (600 MHz, DMSO-d6): δ 9.58 (s, 1H, H-1), 8.63 (d, J = 8.9 Hz, 2H, H-1‴,8‴), 8.40 (d, J = 8.8 Hz, 2H, H-4‴,5‴), 8.13 (t, J = 7.8 Hz, 2H, H-3‴,6‴), 7.92 (s, 1H, H-4), 7.88 (t, J = 7.8 Hz, 2H, H-2‴,7‴), 7.80 (d, J = 8.1 Hz, 1H, H-6′), 7.75 (dd, J = 8.0, 1.5 Hz, 1H, H-3′), 7.70 (td, J = 7.8, 1.5 Hz, 1H, H-5′), 7.44 (t, J = 7.7 Hz, 1H, H-4′), 7.24 (d, J = 2.2 Hz, 1H, H-6″), 7.17 (dd, J = 8.6, 2.2 Hz, 1H, H-2″), 7.11 (d, J = 8.5 Hz, 1H, H-3″), 6.04 (s, 2H, H-10), 4.85 (s, 2H, H-3), and 3.83 (s, 3H, OCH3) ppm. 13C NMR (151 MHz, DMSO-d6): δ 167.5 (C-8), 166.9 (C-2), 165.5 (C-6), 149.2 (C-5″), 149.2 (C-4″), 134.5 (C-1′), 134.4 (C-4), 134.0 (C-3‴,6‴), 133.0 (C-5′), 127.6 (br s, C-6′), 127.5 (C-2‴,7‴), 126.5 (C-1″), 126.3 (C-3′), 126.3 (C-4′), 125.5 (C-1‴,8‴), 125.3 (C-8‴a,9‴a), 123.7 (C-2″), 123.6 (q, J = 273.3 Hz, CF3), 122.7 (C-2′), 117.9 (C-5), 113.9 (C-3″), 113.8 (C-6″), 67.3 (C-3), 55.7 (OCH3), and 38.5 (C-10) ppm. For C34H26Cl2F3N3O5S (716.552 g · mol−1) calc.: C 56.99; H 3.66; N 5.86; and S 4.47%, exp.: C 56.89; H 3.66; N 5.90; and S 4.49%.
2-(4-{[(5Z)-3-[(Acridin-9-yl)methyl]-2,4-dioxo-1,3-thiazolidin-5-ylidene]methyl}-2-methoxyphenoxy)-N-[3-(trifluoromethyl)phenyl]acetamide dihydrochloride (12f·2HCl). Yellow solid. Yield: 27 mg (81%). IR νmax 3387, 3015, 1736, 1682, 1589, 1512, 1329, 1261, 1127, 753 cm−1. 1H NMR (600 MHz, DMSO-d6): δ 10.61 (s, 1H, H-1), 8.62 (d, J = 8.9 Hz, 2H, H-1‴,8‴), 8.37 (d, J = 8.9 Hz, 2H, H-4‴,5‴), 8.10 (t, J = 7.7 Hz, 2H, H-3‴,6‴), 8.10 (s, 1H, H-2′), 7.91 (s, 1H, H-4), 7.86 (t, J = 7.7 Hz, 2H, H-2‴,7‴), 7.81 (dd, J = 8.1, 2.1 Hz, 1H, H-6′), 7.56 (t, J = 8.0 Hz, 1H, H-5′), 7.42 (d, J = 7.9 Hz, 1H, H-4′), 7.23 (d, J = 2.2 Hz, 1H, H-6″), 7.15 (dd, J = 8.6, 2.2 Hz, 1H, H-2″), 7.07 (d, J = 8.5 Hz, 1H, H-3″), 6.03 (s, 2H, H-10), 4.85 (s, 2H, H-3), and 3.83 (s, 3H, OCH3) ppm. 13C NMR (151 MHz, DMSO-d6): δ 167.5 (C-8), 166.7 (C-2), 165.6 (C-6), 149.8 (C-4″), 149.2 (C-5″), 139.2 (C-1′), 134.4 (C-4), 134.0 (C-3‴,6‴), 130.1 (C-5′), 129.5 (q, J = 32.0, C-3′), 127.4 (C-2‴,7‴), 126.3 (C-1″), 125.5 (C-1‴,8‴), 125.3 (C-8‴a,9‴a), 124.0 (q, J = 272.0 Hz, CF3), 123.8 (C-2″), 123.0 (C-6′), 120.0 (C-4′), 117.7 (C-5), 115.4 (br s, C-2′), 114.0 (C-6″), 113.8 (C-3″), 67.5 (C-3), 55.7 (OCH3), and 38.5 (C-10) ppm. For C34H26Cl2F3N3O5S (716.552 g · mol−1) calc.: C 56.99; H 3.66; N 5.86; and S 4.47%, exp.: C 57.45; H 3.69; N 5.85; and S 4.46%.
2-(4-{[(5Z)-3-[(Acridin-9-yl)methyl]-2,4-dioxo-1,3-thiazolidin-5-ylidene]methyl}-2-methoxyphenoxy)-N-[3,5-bis(trifluoromethyl)phenyl]acetamide dihydrochloride (12g·2HCl). Yellow solid. Yield: 27 mg (82%). IR νmax 3387, 1739, 1709, 1686, 1592, 1543, 1512, 1380, 1285, 1172, 1128, 752 cm−1. 1H NMR (600 MHz, DMSO-d6): δ 11.01 (s, 1H, H-1), 8.63 (d, J = 8.9 Hz, 2H, H-1‴,8‴), 8.39 (d, J = 8.8 Hz, 2H, H-4‴,5‴), 8.31 (s, 2H, H-2′,6′), 8.13 (t, J = 7.8 Hz, 2H, H-3‴,6‴), 7.91 (s, 1H, H-4), 7.87 (t, J = 7.8 Hz, 2H, H-2‴,7‴), 7.79 (s, 1H, H-4′), 7.23 (d, J = 2.2 Hz, 1H, H-6″), 7.14 (dd, J = 8.6, 2.2 Hz, 1H, H-2″), 7.09 (d, J = 8.5 Hz, 1H, H-3″), 6.04 (s, 2H, H-10), 4.89 (s, 2H, H-3), and 3.83 (s, 3H, OCH3) ppm. 13C NMR (151 MHz, DMSO-d6): δ 167.5 (C-2), 167.4 (C-8), 165.5 (C-6), 149.6 (C-4″), 149.2 (C-5″), 147.8 (C-4‴a,10‴a), 143.1 (C-9‴), 140.3 (C-1′), 134.4 (C-4), 134.0 (C-3‴,6‴), 130.8 (q, J = 32.9 Hz, C-3′,5′), 127.5 (C-2‴,7‴), 126.4 (C-1″), 125.5 (C-1‴,8‴), 125.3 (C-8‴a,9‴a), 123.7 (C-2″), 123.2 (q, J = 273.0 Hz, CF3), 119.2 (br s, C-2′,6′), 117.8 (C-5), 116.5 (C-4′), 114.1 (C-6″), 114.0 (C-3″), 67.4 (C-3), 55.7 (OCH3), and 38.5 (C-10) ppm. For C35H25Cl2F6N3O5S (784.549 g · mol−1) calc.: C 53.58; H 3.21; N 5.36; and S 4.09%, exp.: C 53.63; H 3.18; N 5.36; and S 4.09%.
2-(4-{[(5Z)-3-[(Acridin-4-yl)methyl]-2,4-dioxo-1,3-thiazolidin-5-ylidene]methyl}-2-methoxyphenoxy)-N-phenylacetamide hydrochloride (13a·HCl). Yellow solid. Yield: 26 mg (80%). IR νmax 3389, 1732, 1686, 1602, 1543, 1513, 1269, 1144, 741 cm−1. 1H NMR (600 MHz, DMSO-d6): δ 10.15 (s, 1H, H-1), 9.17 (s, 1H, H-9‴), 8.20 (d, J = 9.0 Hz, 1H, H-8‴), 8.17 (d, J = 8.7 Hz, 1H, H-5‴), 8.13 (dd, J = 8.1, 1.9 Hz, 1H, H-1‴), 7.97 (s, 1H, H-4), 7.89 (ddd, J = 8.8, 6.6, 1.3 Hz, 1H, H-6‴), 7.66 (ddd, J = 8.2, 6.7, 1.1 Hz, 1H, H-7‴), 7.62 (d, J = 8.6 Hz, 2H, H-2′,6′), 7.55 (m, 2H, H-2‴, H-3‴), 7.33 (t, J = 8.2 Hz, 2H, H-3′,5′), 7.33 (br s, 1H, H-6″), 7.25 (dd, J = 8.6, 2.1 Hz, 1H, H-2″), 7.12 (d, J = 8.5 Hz, 1H, H-3″), 7.08 (t, J = 7.4 Hz, 1H, H-4′), 5.60 (s, 2H, H-10), 4.82 (S, 2H, H-3), and 3.88 (s, 3H, OCH3) ppm. 13C NMR (151 MHz, DMSO-d6): δ 167.5 (C-8), 166.0 (C-2), 165.8 (C-6), 149.6 (C-4″), 149.2 (C-5″), 147.6 (C-10‴a), 146.0 (C-4‴a), 138.4 (C-1′), 136.8 (C-9‴), 133.3 (C-4), 132.1 (C-4‴), 130.9 (C-6‴), 129.1 (C-5‴), 128.8 (C-3′,5′), 128.5 (C-8‴), 128.1 (C-1‴), 127.0 (C-3‴), 126.6 (C-1″), 126.2 (C-7‴), 126.2 (C-8‴a), 126.0 (C-9‴a), 125.3 (C-2‴), 123.7 (C-4′), 123.5 (C-2″), 119.4 (C-2′,6′), 118.9 (C-5), 114.0 (C-6″), 113.8 (C-3″), 67.7 (C-3), 55.7 (OCH3), and 42.3 (C-10) ppm. For C33H26ClN3O5S (612.097 g · mol−1) calc.: C 64.75; H 4.28; N 6.87; and S 5.24%, exp.: C 64.38; H 4.24; N 6.83; and S 5.19%.
2-(4-{[(5Z)-3-[(Acridin-4-yl)methyl]-2,4-dioxo-1,3-thiazolidin-5-ylidene]methyl}-2-methoxyphenoxy)-N-(3,5-dimethoxyphenyl)acetamide hydrochloride (13b·HCl). Yellow solid. Yield: 25 mg (79%). IR νmax 3351, 2936, 1730, 1703, 1667, 1604, 1555, 1510, 1271, 1202, 1150, 1061, 743 cm−1. 1H NMR (600 MHz, DMSO-d6): δ 10.13 (s, 1H, H-1), 9.17 (s, 1H, H-9‴), 8.21 (d, J = 8.3 Hz, 1H, H-8‴), 8.17 (d, J = 8.8 Hz, 1H, H-5‴), 8.13 (dd, J = 8.3, 1.8 Hz, 1H, H-1‴), 7.97 (s, 1H, H-4), 7.90 (ddd, J = 8.4, 6.6, 1.4 Hz, 1H, H-6‴), 7.66 (ddd, J = 8.0, 6.6, 1.2 Hz, 1H, H-7‴), 7.56 (m, 2H, H-2‴, H-3‴), 7.33 (d, J = 2.1 Hz, 1H, H-6″), 7.25 (dd, J = 8.6, 2.1 Hz, 1H, H-2″), 7.10 (d, J = 8.5 Hz, 1H, H-3″), 6.87 (d, J = 2.2 Hz, 2H, H-2′,6′), 6.25 (t, J = 2.2 Hz, 1H, H-4′), 5.60 (s, 2H, H-10), 4.80 (s, 2H, H-3), 3.88 (s, 3H, OCH3), and 3.71 (s, 6H, 2 × OCH3) ppm. 13C NMR (151 MHz, DMSO-d6): δ 167.5 (C-8), 166.1 (C-2), 165.8 (C-6), 160.5 (C-3′,5′), 149.6 (C-4″), 149.2 (C-5″), 147.6 (C-10‴a), 146.0 (C-4‴a), 140.0 (C-1′), 136.8 (C-9‴), 133.3 (C-4), 132.1 (C-4‴), 130.9 (C-6‴), 129.0 (C-5‴), 128.5 (C-8‴), 128.1 (C-1‴), 127.0 (C-3‴), 126.6 (C-1″), 126.2 (C-7‴), 126.2 (C-8‴a), 126.0 (C-9‴a), 125.3 (C-2‴), 123.5 (C-2″), 118.9 (C-5), 114.0 (C-6″), 113.8 (C-3″), 97.7 (C-2′,6′), 95.6 (C-4′), 67.7 (C-3), 55.7 (OCH3), 55.1 (OCH3), and 42.3 (C-10) ppm. For C35H30ClN3O7S (672.149 g · mol−1) calc.: C 62.54; H 4.50; N 6.25; and S 4.77%, exp.: C 62.85; H 4.53; N 6.30; and S 4.73%.
2-(4-{[(5Z)-3-[(Acridin-4-yl)methyl]-2,4-dioxo-1,3-thiazolidin-5-ylidene]methyl}-2-methoxyphenoxy)-N-(3,4,5-trimethoxyphenyl)acetamide hydrochloride (13c·HCl). Yellow solid. Yield: 27 mg (85%). IR νmax 3361, 2929, 1736, 1677, 1606, 1538, 1504, 1279, 1232, 1148, 1129, 1048, 739 cm−1. 1H NMR (600 MHz, DMSO-d6): δ 10.10 (s, 1H, H-1), 9.17 (s, 1H, H-9‴), 8.20 (d, J = 8.2 Hz, 1H, H-8‴), 8.17 (d, J = 8.8 Hz, 1H, H-5‴), 8.13 (dd, J = 8.1, 1.8 Hz, 1H, H-1‴), 7.97 (s, 1H, H-4), 7.89 (ddd, J = 8.4, 6.6, 1.4 Hz, 1H, H-6‴), 7.66 (ddd, J = 8.0, 6.6, 1.1 Hz, 1H, H-7‴), 7.56 (m, 2H, H-2‴,3‴), 7.33 (d, J = 2.1 Hz, 1H, H-6″), 7.25 (dd, J = 8.5, 2.1 Hz, 1H, H-2″), 7.11 (d, J = 8.5 Hz, 1H, H-3″), 7.02 (s, 2H, H-2′,6′), 5.60 (s, 2H, H-10), 4.80 (s, 2H, H-3), 3.88 (s, 3H, OCH3), 3.74 (s, 6H, 2 × OCH3), and 3.62 (s, 3H, OCH3) ppm. 13C NMR (151 MHz, DMSO-d6): δ 167.5 (C-8), 165.9 (C-2), 165.8 (C-6), 152.7 (C-3′,5′), 149.6 (C-4″), 149.2 (C-5″), 147.6 (C-10‴a), 146.0 (C-4‴a), 136.8 (C-9‴), 134.5 (C-1′), 133.7 (C-4′), 133.3 (C-4), 132.1 (C-4‴), 130.9 (C-6‴), 129.1 (C-5‴), 128.5 (C-8‴), 128.1 (C-1‴), 127.0 (C-3‴), 126.6 (C-1″), 126.2 (C-7‴), 126.2 (C-8‴a), 126.0 (C-9‴a), 125.3 (C-2‴), 123.5 (C-2″), 118.9 (C-5), 114.0 (C-6″), 113.8 (C-3″), 97.1 (C-2′,6′), 67.7 (C-3), 60.1 (OCH3), 55.7 (OCH3), 55.7 (OCH3), and 42.3 (C-10) ppm. For C36H32ClN3O8S (702.175 g · mol−1) calc.: C 61.58; H 4.59; N 5.98; and S 4.57%, exp.: C 61.86; H 4.60; N 6.01; and S 4.55%.
2-(4-{[(5Z)-3-[(Acridin-4-yl)methyl]-2,4-dioxo-1,3-thiazolidin-5-ylidene]methyl}-2-methoxyphenoxy)-N-(4-nitrophenyl)acetamide hydrochloride (13d·HCl). Yellow solid. Yield: 24 mg (76%). IR νmax 3367, 1738, 1712, 1679, 1595, 1545, 1508, 1338, 1265, 1144, 1058, 741 cm−1. 1H NMR (600 MHz, DMSO-d6): δ 10.85 (s, 1H, H-1), 9.18 (s, 1H, H-9‴), 8.25 (d, J = 9.3 Hz, 2H, H-3′,5′), 8.21 (d, J = 8.4 Hz, 1H, H-8‴), 8.17 (d, J = 8.8 Hz, 1H, H-5‴), 8.13 (dd, J = 8.2, 2.0 Hz, 1H, H-1‴), 7.97 (s, 1H, H-4), 7.90 (ddd, J = 8.4, 6.6, 1.4 Hz, 1H, H-6‴), 7.88 (d, J = 9.2 Hz, 2H, H-2′,6′), 7.66 (ddd, J = 8.2, 6.7, 1.2 Hz, 1H, H-7‴), 7.56 (m, 2H, H-2‴,3‴), 7.33 (d, J = 2.1 Hz, 1H, H-6″), 7.24 (dd, J = 8.5, 2.1 Hz, 1H, H-2″), 7.12 (d, J = 8.5 Hz, 1H, H-3″), 5.60 (s, 2H, H-10), 4.91 (s, 2H, H-3), and 3.88 (s, 3H, OCH3) ppm. 13C NMR (151 MHz, DMSO-d6): δ 167.5 (C-8), 167.1 (C-2), 165.8 (C-6), 149.5 (C-4″), 149.2 (C-5″), 147.7 (C-10‴a), 146.0 (C-4‴a), 144.6 (C-1′), 142.5 (C-4′), 136.9 (C-9‴), 133.3 (C-4), 132.1 (C-4‴), 131.0 (C-6‴), 129.0 (C-5‴), 128.5 (C-8‴), 128.2 (C-1‴), 127.1 (C-3‴), 126.7 (C-1″), 126.2 (C-7‴), 126.2 (C-8‴a), 126.0 (C-9‴a), 125.4 (C-2‴), 125.0 (C-3′,5′), 123.5 (C-2″), 119.1 (C-2′,6′), 119.0 (C-5), 114.1 (C-6″), 113.9 (C-3″), 67.6 (C-3), 55.7 (OCH3), and 42.3 (C-10) ppm. For C33H25ClN4O7S (657.094 g · mol−1) calc.: C 60.32; H 3.84; N 8.53; and S 4.88%, exp.: C 60.86; H 3.90; N 8.51; and S 4.88%.
2-(4-{[(5Z)-3-[(Acridin-4-yl)methyl]-2,4-dioxo-1,3-thiazolidin-5-ylidene]methyl}-2-methoxyphenoxy)-N-[2-(trifluoromethyl)phenyl]acetamide hydrochloride (13e·HCl). Yellow solid. Yield: 26 mg (82%). IR νmax 3401, 1733, 1677, 1590, 1543, 1511, 1365, 1268, 1142, 1101, 1030, 738 cm−1. 1H NMR (600 MHz, DMSO-d6): δ 9.59 (s, 1H, H-1), 9.18 (s, 1H, H-9‴), 8.21 (d, J = 8.4 Hz, 1H, H-8‴), 8.18 (d, J = 8.8 Hz, 1H, H-5‴), 8.14 (dd, J = 8.0, 2.5 Hz, 1H, H-1‴), 7.99 (s, 1H, H-4), 7.90 (ddd, J = 8.8, 6.6, 1.4 Hz, 1H, H-6‴), 7.84 (d, J = 8.1 Hz, 1H, H-6′), 7.77 (d, J = 7.3 Hz, 1H, H-3′), 7.72 (t, J = 7.5 Hz, 1H, H-5′), 7.67 (ddd, J = 8.2, 6.6, 1.1 Hz, 1H, H-7‴), 7.57 (m, 2H, H-2‴, H-3‴), 7.46 (t, J = 7.7 Hz, 1H, H-4′), 7.33 (d, J = 2.2 Hz, 1H, H-6″), 7.24 (dd, J = 8.5, 2.1 Hz, 1H, H-2″), 7.12 (d, J = 8.5 Hz, 1H, H-3″), 5.61 (s, 2H, H-10), 4.87 (s, 2H, H-3), and 3.88 (s, 3H, OCH3) ppm. 13C NMR (151 MHz, DMSO-d6): δ 167.4 (C-8), 166.9 (C-2), 165.8 (C-6), 149.2 (C-5″), 148.9 (C-4″), 147.6 (C-10‴a), 146.0 (C-4‴a), 136.9 (C-9‴), 134.5 (C-1′), 133.3 (C-4), 133.3 (C-5′), 132.1 (C-4‴), 131.0 (C-6‴), 129.0 (C-5‴), 128.5 (C-8‴), 128.2 (C-1‴), 127.6 (br s, C-6′), 127.1 (C-3‴), 126.9 (C-1″), 126.3 (C-3′), 126.3 (C-4′), 126.2 (C-7‴), 126.2 (C-8‴a), 126.0 (C-9‴a), 125.4 (C-2‴), 123.7 (q, J = 273.2 Hz, CF3), 123.4 (C-2″), 122.7 (C-2′), 119.2 (C-5), 114.0 (C-3″), 113.9 (C-6″), 67.4 (C-3), 55.8 (OCH3), and 42.3 (C-10) ppm. For C34H25ClF3N3O5S (680.094 g · mol−1) calc.: C 60.05; H 3.71; N 6.18; and S 4.71%, exp.: C 59.99; H 3.69; N 6.20; and S 4.71%.
2-(4-{[(5Z)-3-[(Acridin-4-yl)methyl]-2,4-dioxo-1,3-thiazolidin-5-ylidene]methyl}-2-methoxyphenoxy)-N-[3-(trifluoromethyl)phenyl]acetamide hydrochloride (13f·HCl). Yellow solid. Yield: 20 mg (62%). IR νmax 3349, 2917, 2849, 1728, 1709, 1665, 1607, 1562, 1510, 1334, 1269, 1152, 1118, 1072, 744 cm−1. 1H NMR (600 MHz, DMSO-d6): δ 10.53 (s, 1H, H-1), 9.17 (s, 1H, H-9‴), 8.21 (d, J = 8.3 Hz, 1H, H-8‴), 8.17 (dd, J = 8.8, 1.0 Hz, 1H, H-5‴), 8.13 (dd, J = 8.2, 1.8 Hz, 1H, H-1‴), 8.11 (t, J = 8.0 Hz, 1H, H-2′), 7.97 (s, 1H, H-4), 7.89 (ddd, J = 8.8, 6.6, 1.5 Hz, 1H, H-6‴), 7.83 (d, J = 8.6 Hz, 1H, H-6′), 7.66 (ddd, J = 8.2, 6.7, 1.1 Hz, 1H, H-7‴), 7.56 (m, 4H, H-3′,5′, H-2‴, H-3‴), 7.44 (d, J = 7.8 Hz, 1H, H-4′), 7.34 (d, J = 2.1 Hz, H-6″), 7.25 (dd, J = 8.4, 2.1 Hz, 1H, H-2″), 7.13 (d, J = 8.5 Hz, 1H, H-3″), 5.60 (s, 2H, H-10), 4.86 (s, 2H, H-3), and 3.88 (s, 3H, OCH3) ppm. 13C NMR (151 MHz, DMSO-d6): δ 167.5 (C-8), 166.8 (C-2), 165.8 (C-6), 149.5 (C-4″), 149.2 (C-5″), 147.6 (C-10‴a), 146.0 (C-4‴a), 139.2 (C-1′), 136.8 (C-9‴), 133.3 (C-4), 132.1 (C-4‴), 130.9 (C-6‴), 130.1 (C-5′), 129.5 (q, J = 31.5 Hz, C-3′), 129.1 (C-5‴), 128.5 (C-8‴), 128.1 (C-1‴), 127.0 (C-3‴), 126.7 (C-1″), 126.2 (C-7‴), 126.2 (C-8‴a), 126.0 (C-9‴a), 125.3 (C-2‴), 124.1 (q, J = 272.3 Hz, CF3), 123.5 (C-2″), 123.0 (C-6′), 120.0 (br s, C-4′), 119.0 (C-5), 115.5 (br s, C-2′), 114.1 (C-6″), 113.9 (C-3″), 67.6 (C-3), 55.7 (OCH3), and 42.3 (C-10) ppm. For C34H25ClF3N3O5S (680.094 g · mol−1) calc.: C 60.05; H 3.71; N 6.18; and S 4.71%, exp.: C 60.09; H 3.70; N 6.20; and S 4.71%.
2-(4-{[(5Z)-3-[(Acridin-4-yl)methyl]-2,4-dioxo-1,3-thiazolidin-5-ylidene]methyl}-2-methoxyphenoxy)-N-[3,5-bis(trifluoromethyl)phenyl]acetamide hydrochloride (13g·HCl). Yellow solid. Yield: 11 mg (35%). IR νmax 3348, 1731, 1703, 1673, 1607, 1543, 1506, 1377, 1275, 1171, 1127, 1056, 752 cm−1. 1H NMR (600 MHz, DMSO-d6): δ 10.85 (s, 1H, H-1), 9.17 (s, 1H, H-9‴), 8.32 (br s, 2H, H-2′,6′), 8.20 (d, J = 8.4 Hz, 1H, H-8‴), 8.17 (dd, J = 8.8, 1.0 Hz, 1H, H-5‴), 8.13 (dd, J = 8.0, 1.9 Hz, 1H, H-1‴), 7.97 (s, 1H, H-4), 7.89 (ddd, J = 8.5, 6.6, 1.4 Hz, 1H, H-6‴), 7.81 (s, 1H, H-4′), 7.66 (ddd, J = 8.1, 6.6, 1.2 Hz, 1H, H-7‴), 7.55 (m, 2H, H-2‴, H-3‴), 7.34 (d, J = 2.1 Hz, 1H, H-6″), 7.24 (dd, J = 8.5, 2.1 Hz, 1H, H-2″), 7.15 (d, J = 8.5 Hz, 1H, H-3″), 5.60 (s, 2H, H-10), 4.90 (s, 2H, H-3), and 3.88 (s, 3H, OCH3) ppm. 13C NMR (151 MHz, DMSO-d6): δ 167.5 (C-2), 167.4 (C-8), 165.8 (C-6), 149.4 (C-4″), 149.3 (C-5″), 147.6 (C-10‴a), 146.0 (C-4‴a), 140.3 (C-1′), 136.8 (C-9‴), 133.3 (C-4), 132.1 (C-4‴), 130.9 (C-6‴), 130.8 (q, J = 32.0 Hz, C-3′,5′), 129.1 (C-5‴), 128.5 (C-8‴), 128.1 (C-1‴), 127.0 (C-3‴), 126.8 (C-1″), 126.2 (C-7‴), 126.2 (C-8‴a), 126.0 (C-9‴a), 125.3 (C-2‴), 123.4 (C-2″), 123.2 (q, J = 272.8 Hz, CF3), 119.3 (br s, C-2′,6′), 119.1 (C-5), 116.6 (br s, C-4′), 114.1 (C-6″), 114.1 (C-3″), 67.7 (C-3), 55.8 (OCH3), and 42.3 (C-10) ppm. For C35H24F6N3O5S (748.091 g · mol−1) calc.: C 56.19; H 3.23; N 5.62; and S 4.29%, exp.: C 56.06; H 3.22; N 5.61; and S 4.29%.
3.9. NMR Spectroscopy
The NMR spectra were recorded on Varian Mercury (Palo Alto, CA, USA, 400.11 MHz for 1H) and Varian VNMRS spectrometers (Palo Alto, CA, USA; 599.87 MHz for 1H, 150.84 MHz for 13C, and 60.79 MHz for 15N) with a 5 mm inverse-detection H-X probe equipped with a z-gradient coil at 299.15 K. All the pulse programs were obtained from the Varian sequence library. The chemical shifts (δ in ppm) are given relative to the reference standard TMS (0.0 ppm for 1H and 13C) or internal solvent and the partially deuterated residual DMSO-d6 39.5 ppm for 13C and DMSO-d5 2.5 ppm for 1H. External nitromethane (0.0 ppm) was used for 15N references. The NMR spectra were processed and analyzed in MestReNova v. 15.0.1 (Mestrelab Research, Santiago de Compostela, Spain).
3.10. IR Spectroscopy
The infrared spectra of the prepared compounds were recorded with an Avatar FTIR 6700 (Fourier transform infrared spectroscopy) spectrometer in the range of 400–4000 cm−1 with 64 repetitions for a single spectrum using the ATR (attenuated total reflectance) technique. All the obtained data were analyzed using Omnic 8.2.0.387 (2010) software, and the structures of all the new compounds were confirmed through the analysis of the FTIR spectra by functional group identification.
3.11. HRMS
The solid samples were dissolved in methanol and then diluted to a final concentration of 1 to 5 µg/mL using methanol containing 0.5% formic acid and 5 mM ammonium formate. The samples were injected using a TriVersa NanoMate® nanoelectrospray robot (Advion, Ithaca, NY, USA). The volume of sample aspired into the tip for a single injection was 20 µL, and the maximum spraying rate was approximately 220 nL/min. In the positive mode, the gas pressure (N2 extruding the sample from the tip) was set to 0.3 psi, and the applied voltage was 1.4 kV. The samples were injected into an Orbitrap Fusion Lumos mass spectrometer (Thermo Fisher Scientific, Waltham, MA, USA). The ion transfer tube temperature was maintained at 275 °C. A full scan (MS1) was performed using an Orbitrap detector with a resolution of 120,000, a maximum injection time of 200 ms, and 2 microscans. Subsequent scans (MS2 to MS4) were also performed with an Orbitrap detector after fragmentation using CID (collision-induced dissociation), with relative energies ranging from 10 to 100, and HCD (higher-energy collisional dissociation), with relative energies ranging from 10 to 200. The collision pressure was 8 × 10−3 Torr. The isolation width for all levels of fragmentation was set to 1 unit (minimum). The automatic gain control was typically set between 2 × 104 and 5 × 105, depending on sample concentration. The obtained data were of high quality as they included high-resolution MS/MS and multi-stage MSn spectra acquired at various collision energies using different fragmentation techniques. The measured data were manually processed using Mass Frontier™ 8.0 software (Thermo Scientific™ Bratislava, Slovakia) within the Curator module. This module employs advanced algorithms to detect incompatibility between the declared structure precursor and the product MSn fragmentation spectra. These compounds were added to the high-quality mzCloud™ spectral library (https://www.mzcloud.org). The mzCloud™ ID are 13149 (7a), 13150 (7b), 13151 (7c), 13152 (7d), 13158 (7e), 13159 (7f), 13160 (7g), 13190 (8a), 13191 (8b), 13168 (8c), 13169 (8d), 13192 (8e), 13193 (8f), 13170 (8g), 13161 (12a), 13180 (12b), 13167 (12c), 13181 (12d), 13182 (12e), 13183 (12f), 13184 (12g), 13194 (13a), 13195 (13b), 13201 (13c), 13202 (13d), 13203 (13e), 13204 (13f), and 13205 (13g).
3.12. Elemental Analysis
The elemental analysis of C, H, and N was performed using a CHNOS Elemental Analyzer vario MICRO from Elementar Analysensysteme GmbH (Langenselbold, Germany).
3.13. Biological Activity
3.13.1. Cell Lines and Culture Conditions
The human cancer cell lines employed in this study were sourced from reputable institutions, including the American Type Culture Collection (ATCC; Manassas, VA, USA) and the European Collection of Authenticated Cell Cultures (ECACC, Salisbury, UK).
The human cancer cell lines HeLa (cervical adenocarcinoma), HCT116 (colorectal adenocarcinoma), A2780 (human ovarian adenocarcinoma), A2780cis (human ovarian adenocarcinoma cisplatin-resistant), Jurkat (acute T-lymphoblastic leukemia), and Hep G2 (hepatocellular carcinoma) were cultured in an RPMI 1640 growth medium (Biosera, Kansas City, MO, USA). The cancer cell lines MDA-MB-231 (triple-negative breast adenocarcinoma), A2058 (human melanoma), U87 (human glioblastoma), PATU 8902 (pancreas adenocarcinoma), and A549 (human lung adenocarcinoma) were cultured in a DMEM medium (Biosera, Kansas City, MO, USA). The media were supplemented with 10% fetal bovine serum (FBS) (Invitrogen, Carlsbad, CA, USA) and 1× HyClone™ Antibiotic/Antimycotic Solution (GE Healthcare, Piscataway, NJ, USA).
The non-cancerous cell line MCF-10A (human epithelial breast cells) was cultured in a DMEM F12 medium supplemented with 10% FBS (Invitrogen, Carlsbad, CA, USA), 1× HyClone™ Antibiotic/Antimycotic Solution (GE Healthcare, Piscataway, NJ, USA), insulin, hEGF, and hydrocortisone. The BJ-5ta cells (human dermal fibroblasts) were cultured in a DMEM-M199 4:1 medium mixture, supplemented with 10% FBS and hygromycin B (0.01 mg/mL). The cells were maintained under standard conditions with an atmosphere containing 5% CO2 at 37 °C. Cell viability, estimated by trypan blue exclusion, was consistently greater than 95% before each experiment.
3.13.2. MTT Assay
To evaluate the IC50 (half-maximal inhibitory concentration) and confirm the antiproliferative activity of the tested substances, we employed the colorimetric MTT assay (3-(4,5-dimethylthiazol-2-yl)-2,5-diphenyltetrazolium bromide) (Sigma-Aldrich Chemie, Steinheim, Germany). The cell lines were seeded in 96-well plates at a density of 5 × 103 to 10 × 103 cells per well. After 24 h, the tested substances, dissolved in the cultivation medium, were added to the cells at final concentrations of 5, 10, 20, and 50 µmol/L. The cells were then incubated for 48 h under standard cultivation conditions. Following the incubation period, MTT was added to each well. The MTT was metabolized by the cells into insoluble formazan crystals, which were subsequently dissolved by adding 100 µL of 10% SDS. After another 24 h, the absorbance was measured at a wavelength of 540 nm using the automated Cytation™ 3 Cell Imaging Multi-Mode Reader (Biotek, Winooski, VT, USA). The experiments were performed in at least three independent repetitions. IC50 values were calculated using a nonlinear regression method [56].
3.14. Fluorescence Quenching Studies
3.14.1. Material
The bovine serum albumin (BSA) used in this study was obtained from Sigma-Aldrich (St. Louis, MI, USA).
3.14.2. Fluorescence Spectroscopy
The fluorescence spectra were recorded using a Varian Cary Eclipse spectrofluorometer (Palo Alto, CA, USA) in a 10 mM phosphate-buffered saline solution (pH = 7.4) at 24 °C. The spectra were measured with an excitation wavelength of 280 nm using a slit width of 10 nm for both the excitation and emission beams over a range of 300–450 nm. Spectrofluorometric BSA titrations were performed with increasing concentrations of acridine derivatives.
4. Conclusions
In this investigation, we demonstrated the potential of novel derivatives by incorporating three essential components (an acridine scaffold, thiazolidine-2,4-dione with benzylidene linkage, and an aryl acetamido moiety) as an antitumor agent. The strategic integration of these three distinct structural motifs paves the way for the development of potent and selective anticancer agents.
We efficiently synthesized the newly designed molecules via a convergent multi-step process given that the linear approach was unsuccessful. The successful formation of final compounds 7, 8, 12, and 13, along with their hydrochloride salt forms, corroborated the precision of our synthetic strategy. The comprehensive characterization of the synthesized derivatives was achieved through advanced spectroscopic techniques, including 1D, 2D NMR, FTIR, HRMS, and elemental analysis, thus confirming their structures.
Our evaluation of the synthesized derivatives against various cancer cell lines revealed compelling antitumor potential. Specifically, derivatives bearing substituents, such as 3,4,5-trimethoxy, 4-nitro, and 2-trifluoromethyl groups and the acridin-9-yl fragment, exhibited lower IC50 values, indicating higher potency. Additionally, these derivatives displayed low cytotoxicity against the non-cancerous cell lines MCF-10A and Bj-5ta. Notably, the derivatives 7c (IC50 = 6.80 ± 2.40 μM), 12d (IC50 = 9.40 ± 0.30 μM), and 7d·2HCl (IC50 = 4.55 ± 0.35 μM) demonstrated exceptional selectivity and potency against HeLa cell lines. Furthermore, the derivatives 12c·2HCl (IC50 = 5.40 ± 2.40 μM), 13d (IC50 = 4.90 ± 2.90 μM), and 7d·2HCl (IC50 = 8.60 ± 2.90 μM) exhibited significant efficacy against HCT116 cancer cell lines. It is important to note that three of the tested compounds, namely, 7e·2HCl, 7f, and 7f·2HCl, showed activity against pancreatic PATU cells. This type of cancer exhibits very high mortality due to asymptomatic early stages, the occurrence of metastases, and frequent resistance to chemotherapy.
The results indicate a strong interaction between the selected acridine derivatives and BSA. Fluorescence spectroscopy suggests that albumin could serve as an effective carrier for transporting these derivatives in the bloodstream.
In conclusion, the novel derivatives synthesized in this study exhibit significant promise as anticancer agents, combining structural innovation with potent biological activity. Future work will focus on further optimizing these compounds for enhanced efficacy and reduced toxicity, as well as exploring their mechanisms of action in greater detail. The promising results obtained thus far underscore the potential of these derivatives to contribute to the development of new effective cancer therapies.
Supplementary Materials
The following supporting information can be downloaded at: https://www.mdpi.com/article/10.3390/molecules29143387/s1. 1D and 2D NMR spectra, IR and HR MS spectra of all synthesized derivatives.
Author Contributions
Z.K.—conceptualization, investigation, and writing—review and editing; M.G. (Monika Garberová)—synthesis, data analysis, and investigation; R.M.—methodology, investigation; M.T.—data analysis, investigation, and writing—original draft preparation; D.S.—methodology, data analysis, and writing—original draft preparation; S.B.—methodology and data analysis; M.G. (Michal Gramblička)—investigation; J.M.—writing, review and editing; and M.V.—conceptualization, investigation, data analysis, and writing—original draft preparation, review, and editing. All authors have read and agreed to the published version of the manuscript.
Funding
The authors gratefully acknowledge the financial support provided by the KEGA (Scientific Grant Agency) under Grant No. 008UPJS-4/2023. This research was carried out within the framework of Innovation of NMR spectroscopy courses education in the chemistry study field, and the authors appreciate the support and resources provided by the KEGA during this study. This work was further supported by VVGS-2023-2560. This research was funded in part by the Grant Agency of the Ministry of the Education, Science, Research and Sport of the Slovak Republic VEGA 1/0126/23, VEGA 1/0539/21, VEGA 1/0347/23, VEGA 1/0037/22, and VEGA 1/0498/23. Furthermore, this publication is the result of the project “Medicínsky univerzitný vedecký park v Košiciach (MediPark, Košice—Fáza II.) kód ITMS2014 + 313011D103”, supported by the Operational Programme Research & Innovation and funded by the ERDF.
Institutional Review Board Statement
Not applicable.
Informed Consent Statement
Not applicable.
Data Availability Statement
The data presented in this study and associated additional data are available upon request.
Conflicts of Interest
Authors Slávka Bekešová and Michal Gramblička were employed by the company Thermo Fisher Scientific. The remaining authors declare that the research was conducted in the absence of any commercial or financial relationships that could be construed as a potential conflict of interest.
References
- Omar, R.S.; Ragheb, M.A.; Elwahy, A.H.M.; Abdelhamid, I.A. Facile One-Pot, Three-Component Synthesis of Novel Fused 4H-Pyrans Incorporating 2-Phenoxy-N-Phenylacetamide Core as Novel Hybrid Molecules via Michael Addition Reaction. Arkivoc 2021, 10, 183–198. [Google Scholar] [CrossRef]
- Alkhzem, A.H.; Woodman, T.J.; Blagbrough, I.S. Design and Synthesis of Hybrid Compounds as Novel Drugs and Medicines. RSC Adv. 2022, 12, 19470–19484. [Google Scholar] [CrossRef] [PubMed]
- Appalanaidu, K.; Kotcherlakota, R.; Dadmal, T.L.; Bollu, V.S.; Kumbhare, R.M.; Patra, C.R. Synthesis and Biological Evaluation of Novel 2-Imino-4-Thiazolidinone Derivatives as Potent Anti-Cancer Agents. Bioorganic Med. Chem. Lett. 2016, 26, 5361–5368. [Google Scholar] [CrossRef] [PubMed]
- Long, N.; Le Gresley, A.; Wren, S.P. Thiazolidinediones: An In–Depth Study of Their Synthesis and Application to Medicinal Chemistry in the Treatment of Diabetes Mellitus. ChemMedChem 2021, 16, 1716–1735. [Google Scholar] [CrossRef] [PubMed]
- Kumar, B.R.P.; Soni, M.; Kumar, S.S.; Singh, K.; Patil, M.; Baig, R.B.N.; Adhikary, L. Synthesis, Glucose Uptake Activity and Structure-Activity Relationships of Some Novel Glitazones Incorporated with Glycine, Aromatic and Alicyclic Amine Moieties via Two Carbon Acyl Linker. Eur. J. Med. Chem. 2011, 46, 835–844. [Google Scholar] [CrossRef] [PubMed]
- Nanjan, M.J.; Mohammed, M.; Prashantha Kumar, B.R.; Chandrasekar, M.J.N. Thiazolidinediones as Antidiabetic Agents: A Critical Review. Bioorg. Chem. 2018, 77, 548–567. [Google Scholar] [CrossRef] [PubMed]
- Abd El-Aleam, R.H.; Sayed, A.M.; Taha, M.N.; George, R.F.; Georgey, H.H.; Abdel-Rahman, H.M. Design and Synthesis of Novel Benzimidazole Derivatives as Potential Pseudomonas Aeruginosa Anti-Biofilm Agents Inhibiting LasR: Evidence from Comprehensive Molecular Dynamics Simulation and in Vitro Investigation. Eur. J. Med. Chem. 2022, 241, 114629. [Google Scholar] [CrossRef] [PubMed]
- Abdelgawad, M.A.; El-Adl, K.; El-Hddad, S.S.A.; Elhady, M.M.; Saleh, N.M.; Khalifa, M.M.; Khedr, F.; Alswah, M.; Nayl, A.A.; Ghoneim, M.M.; et al. Design, Molecular Docking, Synthesis, Anticancer and Anti-Hyperglycemic Assessments of Thiazolidine-2,4-Diones Bearing Sulfonylthiourea Moieties as Potent VEGFR-2 Inhibitors and PPARγ Agonists. Pharmaceuticals 2022, 15, 226. [Google Scholar] [CrossRef] [PubMed]
- Tilekar, K.; Upadhyay, N.; Hess, J.D.; Macias, L.H.; Mrowka, P.; Aguilera, R.J.; Meyer-Almes, F.J.; Iancu, C.V.; Choe, J.Y.; Ramaa, C.S. Structure Guided Design and Synthesis of Furyl Thiazolidinedione Derivatives as Inhibitors of GLUT 1 and GLUT 4, and Evaluation of Their Anti-Leukemic Potential. Eur. J. Med. Chem. 2020, 202, 112603. [Google Scholar] [CrossRef] [PubMed]
- Tilekar, K.; Upadhyay, N.; Schweipert, M.; Hess, J.D.; Macias, L.H.; Mrowka, P.; Meyer-Almes, F.J.; Aguilera, R.J.; Iancu, C.V.; Choe, J.Y.; et al. Permuted 2,4-Thiazolidinedione (TZD) Analogs as GLUT Inhibitors and Their in-Vitro Evaluation in Leukemic Cells. Eur. J. Pharm. Sci. 2020, 154, 105512. [Google Scholar] [CrossRef] [PubMed]
- Hamdi, A.; Elhusseiny, W.M.; Othman, D.I.A.; Haikal, A.; Bakheit, A.H.; El-Azab, A.S.; Al-Agamy, M.H.M.; Abdel-Aziz, A.A.M. Synthesis, Antitumor, and Apoptosis-Inducing Activities of Novel 5-Arylidenethiazolidine-2,4-Dione Derivatives: Histone Deacetylases Inhibitory Activity and Molecular Docking Study. Eur. J. Med. Chem. 2022, 244, 114827. [Google Scholar] [CrossRef] [PubMed]
- Eissa, I.H.; Ibrahim, M.K.; Metwaly, A.M.; Belal, A.; Mehany, A.B.M.; Abdelhady, A.A.; Elhendawy, M.A.; Radwan, M.M.; ElSohly, M.A.; Mahdy, H.A. Design, Molecular Docking, in Vitro, and in Vivo Studies of New Quinazolin-4(3H)-Ones as VEGFR-2 Inhibitors with Potential Activity against Hepatocellular Carcinoma. Bioorg. Chem. 2021, 107, 104532. [Google Scholar] [CrossRef] [PubMed]
- Shiau, C.W.; Yang, C.C.; Kulp, S.K.; Chen, K.F.; Chen, C.S.; Huang, J.W.; Chen, C.S. Thiazolidenediones Mediate Apoptosis in Prostate Cancer Cells in Part through Inhibition of Bcl-XL/Bcl-2 Functions Independently of PPARγ. Cancer Res. 2005, 65, 1561–1569. [Google Scholar] [CrossRef] [PubMed]
- Grillier Vuissoz, I.; Mazerbourg, S. PPARγ-Independent Activity of Thiazolidinediones: A Promising Mechanism of Action for New Anticancer Drugs? J. Carcinog. Mutagen. 2012, 1, 59025060. [Google Scholar] [CrossRef]
- Ali, I.H.; Hassan, R.M.; El Kerdawy, A.M.; Abo-Elfadl, M.T.; Abdallah, H.M.I.; Sciandra, F.; Ghannam, I.A.Y. Novel Thiazolidin-4-One Benzenesulfonamide Hybrids as PPARγ Agonists: Design, Synthesis and in Vivo Anti-Diabetic Evaluation. Eur. J. Med. Chem. 2024, 269, 116279. [Google Scholar] [CrossRef] [PubMed]
- Da Rocha Pitta, M.G.; Souza, É.S.; Barros, F.W.A.; Moraes Filho, M.O.; Pessoa, C.O.; Hernandes, M.Z.; Do Carmo Alves De Lima, M.; Galdino, S.L.; Da Rocha Pitta, I. Synthesis and in Vitro Anticancer Activity of Novel Thiazacridine Derivatives. Med. Chem. Res. 2013, 22, 2421–2429. [Google Scholar] [CrossRef]
- Joshi, H.; Patil, V.; Tilekar, K.; Upadhyay, N.; Gota, V.; Ramaa, C.S. Benzylidene Thiazolidinediones: Synthesis, In Vitro Investigations of Antiproliferative Mechanisms and In Vivo Efficacy Determination in Combination with Imatinib. Bioorganic Med. Chem. Lett. 2020, 30, 127561. [Google Scholar] [CrossRef]
- Almeida, M.L.; Viana, D.C.; da Costa, V.; Dos Santos, F.A.; Pereira, M.C.; Pitta, M.G.; de Melo Rêgo, M.J.; Pitta, I.R.; Pitta, M.G. Synthesis, Antitumor Activity and Molecular Docking Studies on Seven Novel Thiazacridine Derivatives. Comb. Chem. High Throughput Screen. 2020, 23, 359–368. [Google Scholar] [CrossRef] [PubMed]
- Garberová, M.; Potočňák, I.; Tvrdoňová, M.; Majirská, M.; Bago-Pilátová, M.; Bekešová, S.; Kováč, A.; Takáč, P.; Khiratkar, K.; Kudličková, Z.; et al. Derivatives Incorporating Acridine, Pyrrole, and Thiazolidine Rings as Promising Antitumor Agents. Molecules 2023, 28, 6616. [Google Scholar] [CrossRef] [PubMed]
- Salem, O.M.; Vilková, M.; Janočková, J.; Jendželovský, R.; Fedoročko, P.; Žilecká, E.; Kašpárková, J.; Brabec, V.; Imrich, J.; Kožurková, M. New Spiro Tria(Thia)Zolidine-Acridines as Topoisomerase Inhibitors, DNA Binders and Cytostatic Compounds. Int. J. Biol. Macromol. 2016, 86, 690–700. [Google Scholar] [CrossRef] [PubMed]
- Sabolová, D.; Sovová, S.; Janovec, L.; Timko, E.; Jager, D.; Tóthová, J. Synthesis, Characterization and DNA Binding Properties of 3,6-Bis[(Alkylamino)Ureido]Acridines. Chem. Pap. 2023, 77, 3155–3162. [Google Scholar] [CrossRef]
- Gabriel, I. ‘acridines’ as New Horizons in Antifungal Treatment. Molecules 2020, 25, 1480. [Google Scholar] [CrossRef] [PubMed]
- Tehlan, A.; Karmakar, B.C.; Paul, S.; Kumar, R.; Kaur, I.; Ghosh, A.; Mukhopadhyay, A.K.; Dhar, S.K. Antibacterial Action of Acriflavine Hydrochloride for Eradication of the Gastric Pathogen Helicobacter Pylori. FEMS Microbiol. Lett. 2020, 367, fnaa178. [Google Scholar] [CrossRef] [PubMed]
- Liang, J.; Zheng, M.; Xu, W.; Chen, Y.; Tang, P.; Wu, G.; Zou, P.; Li, H.; Chen, L. Acriflavine and Proflavine Hemisulfate as Potential Antivirals by Targeting Mpro. Bioorg. Chem. 2022, 129, 106185. [Google Scholar] [CrossRef] [PubMed]
- Saivish, M.V.; de Lima Menezes, G.; da Silva, R.A.; de Assis, L.R.; da Silva Teixeira, I.; Fulco, U.L.; Avilla, C.M.S.; Eberle, R.J.; de Andrade Santos, I.; Korostov, K.; et al. Acridones as Promising Drug Candidates against Oropouche Virus. Curr. Res. Microb. Sci. 2024, 6, 100217. [Google Scholar] [CrossRef] [PubMed]
- Różycka, D.; Kowalczyk, A.; Denel-Bobrowska, M.; Kuźmycz, O.; Gapińska, M.; Stączek, P.; Olejniczak, A.B. Acridine/Acridone–Carborane Conjugates as Strong DNA-Binding Agents with Anticancer Potential. ChemMedChem 2023, 18, e202200666. [Google Scholar] [CrossRef] [PubMed]
- Adusumalli, S.R.; Rawale, D.G.; Singh, U.; Tripathi, P.; Paul, R.; Kalra, N.; Mishra, R.K.; Shukla, S.; Rai, V. Single-Site Labeling of Native Proteins Enabled by a Chemoselective and Site-Selective Chemical Technology. J. Am. Chem. Soc. 2018, 140, 15114–15123. [Google Scholar] [CrossRef]
- Zhang, B.; Zhang, Q.; Liu, Z.; Wang, N.; Jin, H.; Liu, F.; Zhang, C.; He, S. Synthesis and Anticancer Research of N-(2-Aminophenyl)Benzamide Acridine Derivatives as Dual Topoisomerase I and Isoform-Selective HDAC Inhibitors. ChemistrySelect 2020, 5, 8311–8318. [Google Scholar] [CrossRef]
- Čižmáriková, M.; Takáč, P.; Spengler, G.; Kincses, A.; Nové, M.; Vilková, M.; Mojžiš, J. New Chalcone Derivative Inhibits ABCB1 in Multidrug Resistant T-Cell Lymphoma and Colon Adenocarcinoma Cells. Anticancer Res. 2019, 39, 6499–6505. [Google Scholar] [CrossRef]
- Varakumar, P.; Rajagopal, K.; Aparna, B.; Raman, K.; Byran, G.; Mariana, C.; Lima, G.; Rashid, S.; Nafady, M.H.; Emran, T.B.; et al. Acridine as an Anti-Tumour Agent: A Critical Review. Molecules 2023, 28, 193. [Google Scholar] [CrossRef]
- Ansari, S.; Azizian, H.; Pedrood, K.; Yavari, A.; Mojtabavi, S.; Faramarzi, M.A.; Golshani, S.; Hosseini, S.; Biglar, M.; Larijani, B.; et al. Design, Synthesis, and α-Glucosidase-Inhibitory Activity of Phenoxy-Biscoumarin–N-Phenylacetamide Hybrids. Arch. Pharm. 2021, 354, 2100179. [Google Scholar] [CrossRef] [PubMed]
- Metwally, H.M.; Abdelrasheed Allam, H.; Baselious, F.; Bonardi, A.; Seif, E.M.; Moussa, S.A.; Abdel-Latif, E.; Supuran, C.T.; Ibrahim, H.S. Arylidine Extensions of 3-Methyl-5-Oxo-4,5-Dihydro-1H-Pyrazol-Benzenesulfonamide Derivatives: Synthesis, Computational Simulations and Biological Evaluation as Tumor-Associated Carbonic Anhydrase Inhibitors. Bioorg. Chem. 2023, 135, 106492. [Google Scholar] [CrossRef] [PubMed]
- Ang, W.; Lin, Y.N.; Yang, T.; Yang, J.Z.; Pi, W.Y.; Yang, Y.H.; Luo, Y.F.; Deng, Y.; Wei, Y.Q. Synthesis and Biological Evaluation of 2-(3-Fluoro-4-Nitro Phenoxy)-N-Phenylacetamide Derivatives as Novel Potential Affordable Antitubercular Agents. Molecules 2012, 17, 2248–2258. [Google Scholar] [CrossRef] [PubMed]
- Butts, C.P.; Heise, B.; Tatolo, G. SelEXSIDE: Fast and Easy Measurement of Multiple-Bond 1H, 13C Coupling Constants for Stereochemical Analysis. Org. Lett. 2012, 14, 3256–3259. [Google Scholar] [CrossRef] [PubMed]
- Bečka, M.; Vilková, M.; Šoral, M.; Potočňák, I.; Breza, M.; Béres, T.; Imrich, J. Synthesis and Isomerization of Acridine Substituted 1,3-Thiazolidin-4-Ones and 4-Oxo-1,3-Thiazolidin-5-Ylidene Acetates. An Experimental and Computational Study. J. Mol. Struct. 2018, 1154, 152–164. [Google Scholar] [CrossRef]
- Letcher, R.M.; Acheson, R.M. Vicinal C,H Spin Coupling Constants in D Etermining Alkene Stereo Chemistry. Org. Magn. Reson. 1981, 16, 316–318. [Google Scholar] [CrossRef]
- Böhm, S.; Tomaščiková, J.; Imrich, J.; Danihel, I.; Kristian, P.; Koch, A.; Kleinpeter, E.; Klika, K.D. Computational Study to Assign Structure, Tautomerism, E/Z and s-Cis/s-Trans Isomerism, π-Delocalization, Partial Aromaticity, and the Ring Size of 1,3-Thiazolidin-4-Ones and 1,3-Thiazin-4-Ones Formed from Thiosemicarbazides. J. Mol. Struct. THEOCHEM 2009, 916, 105–118. [Google Scholar] [CrossRef]
- Vögeli, U.; von Philipsborn, W.; Nagarajan, K.D.; Nair, M. Structures of Addition Products of Acetylenedicarboxylic Acid Esters with Various Dinucleophiles. An Application of C, H-Spin-coupling Constants. Helv. Chim. Acta 1978, 61, 607–617. [Google Scholar] [CrossRef]
- Harmošová, M.; Vilková, M.; Kello, M.; Šebová, D.; Samoľová, E.; Litecká, M.; Potočňák, I. Low-Dimensional Compounds Containing Bioactive Ligands. Part XXIII: A Comprehensive Study of the Preparation and Cytotoxic Activities of Zirconium(IV) Complexes with 8-Hydroxyquinoline and Its Derivatives. Polyhedron 2024, 249, 116794. [Google Scholar] [CrossRef]
- Zehra, S.; Gómez-Ruiz, S.; Siddique, H.R.; Tabassum, S.; Arjmand, F. Water Soluble Ionic Co(Ii), Cu(Ii) and Zn(Ii) Diimine-Glycinate Complexes Targeted to TRNA: Structural Description,: In Vitro Comparative Binding, Cleavage and Cytotoxic Studies towards Chemoresistant Prostate Cancer Cells. Dalton Trans. 2020, 49, 16830–16848. [Google Scholar] [CrossRef] [PubMed]
- Naveenraj, S.; Anandan, S. Binding of Serum Albumins with Bioactive Substances—Nanoparticles to Drugs. J. Photochem. Photobiol. C Photochem. Rev. 2013, 14, 53–71. [Google Scholar] [CrossRef]
- Zhou, X.Q.; Li, Y.; Zhang, D.Y.; Nie, Y.; Li, Z.J.; Gu, W.; Liu, X.; Tian, J.L.; Yan, S.P. Copper Complexes Based on Chiral Schiff-Base Ligands: DNA/BSA Binding Ability, DNA Cleavage Activity, Cytotoxicity and Mechanism of Apoptosis. Eur. J. Med. Chem. 2016, 114, 244–256. [Google Scholar] [CrossRef] [PubMed]
- Aseman, M.D.; Aryamanesh, S.; Shojaeifard, Z.; Hemmateenejad, B.; Nabavizadeh, S.M. Cycloplatinated(II) Derivatives of Mercaptopurine Capable of Binding Interactions with HSA/DNA. Inorg. Chem. 2019, 58, 16154–16170. [Google Scholar] [CrossRef] [PubMed]
- Steinhard, J.; Krijn, J.; Leidy, J.G. Differences between Bovine and Human Serum Albumins: Binding Isotherms, Optical Rotatory Dispersion, Viscosity, Hydrogen Ion Titration, and Fluorescence Effects. Biochemistry 1971, 10, 4005–4015. [Google Scholar] [CrossRef] [PubMed]
- Kuzderová, G.; Rendošová, M.; Gyepes, R.; Sovová, S.; Sabolová, D.; Vilková, M.; Olejníková, P.; Bačová, I.; Stokič, S.; Kello, M.; et al. Antimicrobial and Anticancer Application of Silver(I) Dipeptide Complexes. Molecules 2021, 26, 6335. [Google Scholar] [CrossRef] [PubMed]
- Jannesari, Z.; Hadadzadeh, H.; Khayamian, T.; Maleki, B.; Rudbari, H.A. Experimental and Molecular Modeling Studies on the Interaction of the Ru(II)-Piroxicam with DNA and BSA. Eur. J. Med. Chem. 2013, 69, 577–590. [Google Scholar] [CrossRef] [PubMed]
- Da Silva Filho, F.A.; de Freitas Souza, T.; Ribeiro, A.G.; Alves, J.E.F.; de Oliveira, J.F.; de Lima Souza, T.R.C.; de Moura, R.O.; do Carmo Alves de Lima, M.; de Carvalho Junior, L.B.; de Almeida, S.M.V. Topoisomerase Inhibition and Albumin Interaction Studies of Acridine-Thiosemicarbazone Derivatives. Int. J. Biol. Macromol. 2019, 138, 582–589. [Google Scholar] [CrossRef] [PubMed]
- Baraldi, P.G.; Preti, D.; Tabrizi, M.A.; Fruttarolo, F.; Saponaro, G.; Baraldi, S.; Romagnoli, R.; Moorman, A.R.; Gessi, S.; Varani, K.; et al. N6-[(Hetero)Aryl/(Cyclo)Alkyl-Carbamoyl-Methoxy-Phenyl]-(2-Chloro)-5′-N-Ethylcarboxamido-Adenosines: The First Example of Adenosine-Related Structures with Potent Agonist Activity at the Human A2B Adenosine Receptor. Bioorganic Med. Chem. 2007, 15, 2514–2527. [Google Scholar] [CrossRef] [PubMed]
- Schiemenz, G.P.; Engelhard, H. Trimethoxyphenylverbindungen, II. Ω-Dialkylamino-fettsäure-[3.4.5-trimethoxy-anilide]. Chem. Ber. 1959, 92, 862–868. [Google Scholar] [CrossRef]
- De Sousa Luis, J.A.; da Silva Souza, H.D.; Lira, B.F.; da Silva Alves, F.; de Athayde-Filho, P.F.; de Souza Lima, T.K.; Rocha, J.C.; Mendonça Junior, F.J.B.; Scotti, L.; Scotti, M.T. Combined Structure- and Ligand-Based Virtual Screening Aiding Discovery of Selenoglycolicamides as Potential Multitarget Agents against Leishmania Species. J. Mol. Struct. 2019, 1198, 126872. [Google Scholar] [CrossRef]
- Ran, M.; He, J.; Yan, B.; Liu, W.; Li, Y.; Fu, Y.; Li, C.J.; Yao, Q. Catalyst-Free Generation of Acyl Radicals Induced by Visible Light in Water to Construct C-N Bonds. Org. Biomol. Chem. 2021, 19, 1970–1975. [Google Scholar] [CrossRef] [PubMed]
- Majdecki, M.; Niedbala, P.; Jurczak, J. Amide-Based Cinchona Alkaloids as Phase-Transfer Catalysts: Synthesis and Potential Application. Org. Lett. 2019, 21, 8085–8090. [Google Scholar] [CrossRef] [PubMed]
- Hung, J.M.; Arabshahi, H.J.; Leung, E.; Reynisson, J.; Barker, D. Synthesis and Cytotoxicity of Thieno[2,3-b]Pyridine and Furo[2,3-b]Pyridine Derivatives. Eur. J. Med. Chem. 2014, 86, 420–437. [Google Scholar] [CrossRef] [PubMed]
- Bittner, E.W.; Gerig, J.T. The Inactivation of A-Chymotrypsin with Methyl-, Trideuteriomethyl-, and Trifluoromethyl-Substituted N-P Henyl- a-Bromoacetamides. J. Am. Chem. Soc. 1970, 92, 2114–2118. [Google Scholar] [CrossRef] [PubMed]
- Petrović, M.M.; Roschger, C.; Chaudary, S.; Zierer, A.; Mladenović, M.; Marković, V.; Trifunović, S.; Joksović, M.D. Low Cytotoxic Quinoline-4-Carboxylic Acids Derived from Vanillin Precursors as Potential Human Dihydroorotate Dehydrogenase Inhibitors. Bioorganic Med. Chem. Lett. 2021, 46, 128194. [Google Scholar] [CrossRef] [PubMed]
- Michalkova, R.; Kello, M.; Kudlickova, Z.; Gazdova, M.; Mirossay, L.; Mojzisova, G.; Mojzis, J. Programmed Cell Death Alterations Mediated by Synthetic Indole Chalcone Resulted in Cell Cycle Arrest, DNA Damage, Apoptosis and Signaling Pathway Modulations in Breast Cancer Model. Pharmaceutics 2022, 14, 503. [Google Scholar] [CrossRef] [PubMed]
Disclaimer/Publisher’s Note: The statements, opinions and data contained in all publications are solely those of the individual author(s) and contributor(s) and not of MDPI and/or the editor(s). MDPI and/or the editor(s) disclaim responsibility for any injury to people or property resulting from any ideas, methods, instructions or products referred to in the content. |
© 2024 by the authors. Licensee MDPI, Basel, Switzerland. This article is an open access article distributed under the terms and conditions of the Creative Commons Attribution (CC BY) license (https://creativecommons.org/licenses/by/4.0/).















