Sign in to use this feature.

Years

Between: -

Subjects

remove_circle_outline
remove_circle_outline
remove_circle_outline
remove_circle_outline
remove_circle_outline
remove_circle_outline
remove_circle_outline
remove_circle_outline

Journals

Article Types

Countries / Regions

Search Results (29)

Search Parameters:
Keywords = thermochemical energy storage (TCES)

Order results
Result details
Results per page
Select all
Export citation of selected articles as:
20 pages, 4191 KB  
Article
Lab-Scale Performance Evaluation of CaCl2/MgCl2/Silica Gel Sorbent Material for Thermal Energy Storage
by Mauro Prestipino, Antonio Fotia, Mario Alberto Avila-Gutierrez, Luigi Calabrese, Andrea Frazzica, Candida Milone and Emanuela Mastronardo
Energies 2025, 18(24), 6527; https://doi.org/10.3390/en18246527 - 12 Dec 2025
Viewed by 427
Abstract
Combining different materials into binary salts can significantly enhance the efficiency and stability of Thermochemical Energy Storage (TCES) systems. This study aimed to develop and characterise novel salt hydrate composite materials for TCES, focusing on a mixture of magnesium chloride (MgCl2) [...] Read more.
Combining different materials into binary salts can significantly enhance the efficiency and stability of Thermochemical Energy Storage (TCES) systems. This study aimed to develop and characterise novel salt hydrate composite materials for TCES, focusing on a mixture of magnesium chloride (MgCl2) and calcium chloride (CaCl2) impregnated into a mesoporous silica gel (SG) sphere matrix. Three different MgCl2/CaCl2 salt ratios were investigated to find the optimal balance between sorption capacity and stability against deliquescence in humid environments. Prepared samples underwent comprehensive characterisation, including structural and morphological analysis, water vapour sorption and heat capacity measurements. The hybrid CaCl15/MgCl15/SG sample exhibited intermediate behavior between the pure CaCl30/SG and MgCl30/SG samples, with significantly improved stability in a humid environment due to the addition MgCl2. Characterisation revealed the effective confinement of the salt mix in the matrix. The optimised CaCl15/MgCl15/SG sample demonstrated highly promising gravimetric and volumetric energy storage capacities of 1092 J/g and 2.3 MJ/m3, respectively, comparable to recently reported composites. The material sorption dynamics were ultimately tested in a whole adsorbent unit under near-real-world operating conditions, pushing the research to the reactor and system level, and demonstrating that the presence of MgCl2 in the composite does not adversely affect the adsorption kinetics compared to the pure CaCl2-based composite. Full article
Show Figures

Figure 1

16 pages, 1642 KB  
Article
Thermoplastic Network Formation as a Method for Stabilizing Salt Hydrate Particles
by Elena Averina, Hartmut Fischer, Olaf C. G. Adan and Hendrik P. Huinink
Molecules 2025, 30(23), 4519; https://doi.org/10.3390/molecules30234519 - 22 Nov 2025
Viewed by 397
Abstract
Thermochemical energy storage (TCES) utilizes chemical reactions to store thermal energy, offering a promising solution for efficient energy management. However, a significant challenge in application of TCES materials, particularly with crystal-to-crystal chemical transformations, is the mechanical degradation of reactive particles during repeated cycles [...] Read more.
Thermochemical energy storage (TCES) utilizes chemical reactions to store thermal energy, offering a promising solution for efficient energy management. However, a significant challenge in application of TCES materials, particularly with crystal-to-crystal chemical transformations, is the mechanical degradation of reactive particles during repeated cycles connected with the constant re-modeling of crystals due to consecutive hydration–dehydration steps. This degradation leads to increased pressure drops in packed beds due to swelling and fracturing of salt particles, complicating their practical application. To address this issue, this study investigates the effect of a polymeric network as stabilizing element within TCES particles to enhance mechanical stability. Using potassium carbonate hydrate (K2CO3·1.5H2O) as a model thermochemical material and thermoplastic polymers for reinforcement, composite particles were developed to resist disintegration over multiple cycles. The incorporation of polymeric networks from polyamide (PA11), polyetherimide (PEI) and polyvinylidene fluoride (PVDF) resulted in improved mechanical properties at relatively high porosity, which contributes to higher hydration rate. The developed stabilization method is compatible with existing scalable particle production methods like tableting and compacting. Full article
(This article belongs to the Special Issue Advances in European Materials Chemistry)
Show Figures

Figure 1

23 pages, 6936 KB  
Article
Innovative Calcium L-Lactate/PDMS-Based Composite Foams as Core for Sandwich Materials for the Thermopassive Regulation of Buildings
by Mario Ávila-Gutiérrez, Emanuele Previti, María Orfila, Ilenia Acquaro, Luigi Calabrese, Candida Milone and Emanuela Mastronardo
Energies 2025, 18(22), 5940; https://doi.org/10.3390/en18225940 - 12 Nov 2025
Viewed by 473
Abstract
The substantial impact of the heating and cooling of the construction sector on global warming necessitates a focus on effective thermal insulation solutions to mitigate high CO2 emissions. Thus, the development of efficient low-temperature thermochemical energy storage (TCES) materials offers a promising [...] Read more.
The substantial impact of the heating and cooling of the construction sector on global warming necessitates a focus on effective thermal insulation solutions to mitigate high CO2 emissions. Thus, the development of efficient low-temperature thermochemical energy storage (TCES) materials offers a promising approach to improve thermal regulation. This study explores the morphological, physicochemical, and thermal properties of a silicon composite (PDMS foam) filled with calcium L-lactate (CaL) (0–70 wt.%) for the core sandwich thermopassive regulation of buildings. Furthermore, CaL was incorporated into a composite form to improve the handling and processability of the final sandwich material, as CaL is available in powder form. The results demonstrated that the filler is entirely confined within the polymer matrix (FTIR and ESEM). Additionally, the CaL-PDMS composites showed fully reversible dehydration/hydration abilities over a water vapor hydration–dehydration cycle within a temperature range suitable for low-temperature TCES, with no performance loss due to salt confinement. Regarding the energy density, the 70 wt.% CaL-PDMS composites achieved a value up to 955 MJ/m3, making it an excellent candidate for low-temperature energy storage in the construction sector as compared to other similar composites. These findings contribute to the development of new thermopassive regulation techniques for building materials. Full article
Show Figures

Figure 1

27 pages, 8301 KB  
Review
Recent Advances in Nano-Engineered Thermochemical Energy Storage Materials: Morphologies, Characteristics, and Performance
by Zhu Jiang, Wenye Li, Bohao Peng, Shifang Huang and Xiaosong Zhang
Nanomaterials 2025, 15(19), 1476; https://doi.org/10.3390/nano15191476 - 26 Sep 2025
Cited by 2 | Viewed by 1450
Abstract
Thermochemical energy storage (TCES) has gained significant attention as a high-capacity, long-duration solution for renewable energy integration, yet material-level challenges hinder its widespread adoption. This review for the first time systematically examines recent advancements in nano-engineered composite thermochemical materials (TCMs), focusing on their [...] Read more.
Thermochemical energy storage (TCES) has gained significant attention as a high-capacity, long-duration solution for renewable energy integration, yet material-level challenges hinder its widespread adoption. This review for the first time systematically examines recent advancements in nano-engineered composite thermochemical materials (TCMs), focusing on their ability to overcome intrinsic limitations of conventional systems. Sorption-based TCMs, especially salt hydrates, benefit from nano-engineering through carbon-based additives like CNTs and graphene, which enhance thermal conductivity and reaction kinetics while achieving volumetric energy densities exceeding 200 kWh/m3. For reversible reaction-based systems operating at higher temperatures (250–1000 °C), the strategies include (1) nanoparticle doping (e.g., SiO2, Al2O3, carbonaceous materials) for the mitigation of sintering and agglomeration; (2) flow-improving agents to enhance fluidization; and (3) nanosized structure engineering for an enlarged specific surface area. All these approaches show promising results to address the critical issues of sintering and agglomeration, slow kinetics, and poor cyclic stability for reversible reaction-based TCMs. While laboratory results are promising, challenges still persist in side reactions, scalability, cost reduction, and system integration. In general, while nano-engineered thermochemical materials (TCMs) demonstrate transformative potential for performance enhancement, significant research and development efforts remain imperative to bridge the gap between laboratory-scale achievements and industrial implementation. Full article
Show Figures

Figure 1

81 pages, 13040 KB  
Review
Thermochemical Energy Storage Based on Salt Hydrates: A Comprehensive Review
by Tomasz Spietz, Rafał Fryza, Janusz Lasek and Jarosław Zuwała
Energies 2025, 18(10), 2643; https://doi.org/10.3390/en18102643 - 20 May 2025
Cited by 12 | Viewed by 8431
Abstract
Thermal energy storage technologies are essential for balancing energy demand and supply. There are three main types: sensible heat, latent heat, and thermochemical energy storage. Among them, thermochemical energy storage offers the highest energy density (1–3 GJ/m3) and long-term storage capability. [...] Read more.
Thermal energy storage technologies are essential for balancing energy demand and supply. There are three main types: sensible heat, latent heat, and thermochemical energy storage. Among them, thermochemical energy storage offers the highest energy density (1–3 GJ/m3) and long-term storage capability. Salt hydrates have attracted attention as energy storage materials due to their low cost, wide availability, and operating temperatures being well-suited for residential and low-temperature applications. This review focuses on the use of salt hydrates in sorption-based thermochemical energy storage systems. It summarizes the current state of knowledge, including screening studies of various salt hydrates, their thermodynamic and operational limitations, advantages, and performance in composite materials. This review also covers recent projects and common reactor designs used in TCES applications. Based on the literature analysis, the most promising salt hydrates for sorption-based TCES systems include SrCl2, SrBr2, K2CO3, MgSO4, MgCl2, and CaCl2. Despite the high theoretical energy density of many salt hydrates, future work should focus on experimental studies in large-scale reactor systems to better evaluate the practical discharge behavior of the energy storage system beyond theoretical hydration enthalpies or small-scale thermal analyses. Full article
(This article belongs to the Section D: Energy Storage and Application)
Show Figures

Figure 1

18 pages, 4983 KB  
Article
Understanding the Negative Apparent Activation Energy for Cu2O and CoO Oxidation Kinetics at High Temperature near Equilibrium
by Yang Wang, Haiyang Liu, Qiwei Duan and Zhenshan Li
Catalysts 2024, 14(11), 832; https://doi.org/10.3390/catal14110832 - 19 Nov 2024
Cited by 2 | Viewed by 3534
Abstract
The pairs of Cu2O/CuO and CoO/Co3O4 as the carriers of transferring oxygen and storing heat are essential for the recently emerged high-temperature thermochemical energy storage (TCES) system. Reported research results of Cu2O and CoO oxidation kinetics [...] Read more.
The pairs of Cu2O/CuO and CoO/Co3O4 as the carriers of transferring oxygen and storing heat are essential for the recently emerged high-temperature thermochemical energy storage (TCES) system. Reported research results of Cu2O and CoO oxidation kinetics show that the reaction rate near equilibrium decreases with the temperature, which leads to the negative activation energy obtained using the Arrhenius equation and apparent kinetics models. This study develops a first-principle-based theoretical model to analyze the Cu2O and CoO oxidation kinetics. In this model, the density functional theory (DFT) is adopted to determine the reaction pathways and to obtain the energy barriers of elementary reactions; then, the DFT results are introduced into the transition state theory (TST) to calculate the reaction rate constants; finally, a rate equation is developed to describe both the surface elemental reactions and the lattice oxygen concentration in a grain. The reaction mechanism obtained from DFT and kinetic rate constants obtained from TST are directly implemented into the rate equation to predict the oxidation kinetics of Cu2O without fitting experimental data. The accuracy of the developed theory is validated by experimental data obtained from the thermogravimetric analyzer (TGA). Comparing the developed theory with the traditional apparent models, the reasons why the latter cannot appropriately predict the true oxidation characteristics are explained. The reaction rate is jointly controlled by thermodynamics (reaction driving force) and kinetics (reaction rate constant). Without considering the effect of the reaction driving force, the negative apparent activation energy of Cu2O oxidation is obtained. However, for CoO oxidation, the negative apparent activation energy is still obtained although the effect of the reaction driving force is considered. According to the DFT results, the activation energy of the overall CoO oxidation reaction is negative, but the energy barriers of the elementary reactions are positive. Moreover, according to the first-principle-based rate equation theory, the pre-exponential factor in the kinetic model is dependent on the partition function ratio and decreases with the temperature for the Cu2O and CoO oxidation near equilibrium, which results in the apparent activation energy being slightly lower than the actual value. Full article
(This article belongs to the Section Computational Catalysis)
Show Figures

Figure 1

28 pages, 3881 KB  
Review
A Review of Thermochemical Energy Storage Systems for District Heating in the UK
by Sarah Roger-Lund, Jo Darkwa, Mark Worall, John Calautit and Rabah Boukhanouf
Energies 2024, 17(14), 3389; https://doi.org/10.3390/en17143389 - 10 Jul 2024
Cited by 9 | Viewed by 4637
Abstract
Thermochemical energy storage (TCES) presents a promising method for energy storage due to its high storage density and capacity for long-term storage. A combination of TCES and district heating networks exhibits an appealing alternative to natural gas boilers, particularly through the utilisation of [...] Read more.
Thermochemical energy storage (TCES) presents a promising method for energy storage due to its high storage density and capacity for long-term storage. A combination of TCES and district heating networks exhibits an appealing alternative to natural gas boilers, particularly through the utilisation of industrial waste heat to achieve the UK government’s target of Net Zero by 2050. The most pivotal aspects of TCES design are the selected materials, reactor configuration, and heat transfer efficiency. Among the array of potential reactors, the fluidised bed emerges as a novel solution due to its ability to bypass traditional design limitations; the fluidised nature of these reactors provides high heat transfer coefficients, improved mixing and uniformity, and greater fluid-particle contact. This research endeavours to assess the enhancement of thermochemical fluidised bed systems through material characterisation and development techniques, alongside the optimisation of heat transfer. The analysis underscores the appeal of calcium and magnesium hydroxides for TCES, particularly when providing a buffer between medium-grade waste heat supply and district heat demand. Enhancement techniques such as doping and nanomaterial/composite coating are also explored, which are found to improve agglomeration, flowability, and operating conditions of the hydroxide systems. Furthermore, the optimisation of heat transfer prompted an evaluation of heat exchanger configurations and heat transfer fluids. Helical coil heat exchangers are predominantly favoured over alternative configurations, while various heat transfer fluids are considered advantageous depending on TCES material selection. In particular, water and synthetic liquids are compared according to their thermal efficiencies and performances at elevated operating temperatures. Full article
Show Figures

Figure 1

20 pages, 1469 KB  
Review
Exploring the Role of Additives in Enhancing the Performance of Limestone-Based Thermochemical Energy Storage: A Review
by Rehan Anwar and M. Veronica Sofianos
Energies 2024, 17(11), 2572; https://doi.org/10.3390/en17112572 - 26 May 2024
Cited by 3 | Viewed by 2371
Abstract
This review article explores the critical role of additives in enhancing the performance and durability of thermochemical energy storage (TCES) materials, particularly in limestone-based systems. It evaluates various strategies, including hydration and the use of fine particles, along with additives like Al2 [...] Read more.
This review article explores the critical role of additives in enhancing the performance and durability of thermochemical energy storage (TCES) materials, particularly in limestone-based systems. It evaluates various strategies, including hydration and the use of fine particles, along with additives like Al2O3 and ZrO2, to address challenges like performance degradation and sintering over multiple cycles. Additionally, the review examines how multicyclic stability and material activity toward CO2 are related. It emphasizes the importance of selecting support materials that optimize both stability and reactivity. Furthermore, it highlights the need for systematic investigation into the selection, synthesis methods, and additive percentages to identify optimal formulations for improved multicyclic stability. Finally, it underscores the importance of understanding the mechanisms of interaction between additives and CaO/CaCO3 matrices to guide the design of effective additive-integrated systems. This comprehensive analysis provides valuable insights into current methodologies, emerging trends, and future directions for advancing sustainable energy storage technologies. Full article
(This article belongs to the Collection Renewable Energy and Energy Storage Systems)
Show Figures

Figure 1

13 pages, 4598 KB  
Article
Li4SiO4-Based Heat Carrier Derived from Different Silica Sources for Thermochemical Energy Storage
by Xicheng Wang, Wentao Xia, Wenlong Xu, Zengqiao Chen, Xiaohan Ren and Yuandong Yang
Energies 2024, 17(9), 2180; https://doi.org/10.3390/en17092180 - 2 May 2024
Cited by 3 | Viewed by 1558
Abstract
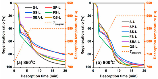
Thermochemical energy storage (TCES) is one of the key technologies facilitating the integration of renewable energy sources and mitigating the climate crisis. Recently, Li4SiO4 has been reported to be a promising heat carrier material for TCES applications, owing to its [...] Read more.
Thermochemical energy storage (TCES) is one of the key technologies facilitating the integration of renewable energy sources and mitigating the climate crisis. Recently, Li4SiO4 has been reported to be a promising heat carrier material for TCES applications, owing to its moderate operation temperature and stability. During the synthetic processes, the properties of the Si source used directly influence the performance of derived Li4SiO4 materials; however, the internal relations and effects are not yet clear. Hence, in this work, six kinds of SiO2 sources with different phases, morphology, particle size, and surface area were selected to synthesize a Li4SiO4-based TCES heat carrier. The physicochemical properties of the SiO2 and the corresponding derived Li4SiO4 were characterized, and the comprehensive performance (e.g., heat storage/releasing capacity, rate, and cyclic stability) of the Li4SiO4 samples was systematically tested. It was found that the silica microspheres (SPs), which possess an amorphous phase, uniform micro-scale structure, and small particle size, could generate Li4SiO4 TCES materials with a highest initial capacity of 777.7 kJ/kg at 720 °C/900 °C under pure CO2. As a result, the SP-L showed an excellent cumulative heat storage amount of 5.84 MJ/kg within 10 heat-releasing/storage cycles, which was nearly 1.5 times greater than the value of Li4SiO4 derived from commonly used silicon dioxide. Furthermore, the effects of the utilized Si source on the performance of as-prepared Li4SiO4 and corresponding mechanisms were discussed, which offers guidance for the future selection of Si sources to produce high-performance Li4SiO4-based TCES heat carriers. Full article
(This article belongs to the Section D: Energy Storage and Application)
Show Figures

Figure 1

16 pages, 8303 KB  
Article
Partial Separation of Carbonated Material to Improve the Efficiency of Calcium Looping for the Thermochemical Storage of Solar Energy
by Sara Pascual, Claudio Tregambi, Francesca Di Lauro, Roberto Solimene, Piero Salatino, Fabio Montagnaro, Luis M. Romeo and Pilar Lisbona
Energies 2024, 17(6), 1372; https://doi.org/10.3390/en17061372 - 13 Mar 2024
Cited by 2 | Viewed by 1416
Abstract
Concentrating solar power (CSP) technology with thermal energy storage (TES) could contribute to achieving a net zero emissions scenario by 2050. Calcium looping (CaL) is one of the potential TES processes for the future generation of CSP plants coupled with highly efficient power [...] Read more.
Concentrating solar power (CSP) technology with thermal energy storage (TES) could contribute to achieving a net zero emissions scenario by 2050. Calcium looping (CaL) is one of the potential TES processes for the future generation of CSP plants coupled with highly efficient power cycles. Research on CaL as a system for thermochemical energy storage (TCES) has focused on efficiency enhancement based on hybridization with other renewable technologies. This work proposes a novel solid management system to improve the efficiency of a CaL TCES system. The inclusion of a solid–solid separation unit after the carbonation step could lead to energy and size savings. The role of segregation between carbonated and calcined material on plant requirements is assessed, given the experimental evidence on the potential classification between more and less carbonated particles. The results show lower energy (up to 12%) and size (up to 76%) demands when the circulation of less carbonated material through the CaL TCES system diminishes. Moreover, under a classification effectiveness of 100%, the retrieval energy could increase by 32%, and the stored energy is enhanced by five times. The present work can be a proper tool to set the design and size of a CaL TCES system with a partial separation of the carbonated material. Full article
(This article belongs to the Section A2: Solar Energy and Photovoltaic Systems)
Show Figures

Figure 1

11 pages, 4946 KB  
Article
Synthesis and Characterization of Doped Magnesium Hydroxide for Medium Heat Storage Application
by Nawaf Albeladi, Anti Kur, Robert Mokaya, Jo Darkwa, Sarah Roger-Lund, Mark Worall, John Calautit and Rabah Boukhanouf
Materials 2023, 16(18), 6296; https://doi.org/10.3390/ma16186296 - 20 Sep 2023
Cited by 6 | Viewed by 2285
Abstract
The amount of waste heat generated annually in the UK exceeds the total annual electricity demand. Hence, it is crucial to effectively harness all available sources of waste heat based on their varying temperatures. Through suitable technologies, a substantial portion of this waste [...] Read more.
The amount of waste heat generated annually in the UK exceeds the total annual electricity demand. Hence, it is crucial to effectively harness all available sources of waste heat based on their varying temperatures. Through suitable technologies, a substantial portion of this waste heat has the potential to be recovered for reutilization. Thermochemical energy storage (TCES) provides the best opportunities to recover waste heat at various temperatures for long-term storage and application. The potential of TCES with magnesium hydroxide, Mg(OH)2, has been established, but it has a relatively high dehydration temperature, thus limiting its potential for medium-temperature heat storage applications, which account for a vast proportion of industrial waste heat. To this end, samples of doped Mg(OH)2 with varying proportions (5, 10, 15, and 20 wt%) of potassium nitrate (KNO3) have been developed and characterized for evaluation. The results showed that the Mg(OH)2 sample with 5 wt% KNO3 achieved the best outcome and was able to lower the dehydration temperature of the pure Mg(OH)2 from about 317 °C to 293 °C with an increase in the energy storage capacity from 1246 J/g to 1317 J/g. It also showed a monodisperse surface topology and thermal stability in the non-isothermal test conducted on the sample and therefore appears to have the potential for medium heat storage applications ranging from 293 °C to 400 °C. Full article
(This article belongs to the Section Energy Materials)
Show Figures

Figure 1

23 pages, 6845 KB  
Review
Review on Salt Hydrate Thermochemical Heat Transformer
by Isye Hayatina, Amar Auckaili and Mohammed Farid
Energies 2023, 16(12), 4668; https://doi.org/10.3390/en16124668 - 12 Jun 2023
Cited by 12 | Viewed by 4119
Abstract
The industrial sector utilizes approximately 40% of global energy consumption. A sizeable amount of waste energy is rejected at low temperatures due to difficulty recovering with existing technologies. Thermochemical heat transformers (THT) can play a role in recovering low-temperature industrial waste heat by [...] Read more.
The industrial sector utilizes approximately 40% of global energy consumption. A sizeable amount of waste energy is rejected at low temperatures due to difficulty recovering with existing technologies. Thermochemical heat transformers (THT) can play a role in recovering low-temperature industrial waste heat by storing it during high supply and discharging it on demand at a higher temperature. Thus, THT will enable waste heat reintegration into industrial processes, improving overall energy efficiency and lowering greenhouse gas emissions from the industrial sector. Salt hydrate is a promising thermochemical material (TCM) because it requires a low charging temperature which can be supplied by waste heat. Furthermore, its non-toxic nature allows the implementation of a simpler and less costly open system. Despite extensive research into salt hydrate materials for thermochemical energy storage (TCES) applications, a research gap is identified in their use in THT applications. This paper aims to provide a comprehensive literature review of the advancement of THT applications, particularly for systems employing salt hydrates material. A discussion on existing salt hydrate materials used in the THT prototype will be covered in this paper, including the challenges, opportunities, and suggested future research works related to salt hydrate THT application. Full article
(This article belongs to the Section J1: Heat and Mass Transfer)
Show Figures

Figure 1

17 pages, 3107 KB  
Review
Review on the Life Cycle Assessment of Thermal Energy Storage Used in Building Applications
by Isye Hayatina, Amar Auckaili and Mohammed Farid
Energies 2023, 16(3), 1170; https://doi.org/10.3390/en16031170 - 20 Jan 2023
Cited by 31 | Viewed by 6358
Abstract
To reduce building sector CO2 emissions, integrating renewable energy and thermal energy storage (TES) into building design is crucial. TES provides a way of storing thermal energy during high renewable energy production for use later during peak energy demand in buildings. The [...] Read more.
To reduce building sector CO2 emissions, integrating renewable energy and thermal energy storage (TES) into building design is crucial. TES provides a way of storing thermal energy during high renewable energy production for use later during peak energy demand in buildings. The type of thermal energy stored in TES can be divided into three categories: sensible, latent, and sorption/chemical. Unlike sensible TES, latent TES and sorption/chemical TES have not been widely applied; however, they have the advantage of a higher energy density, making them effective for building applications. Most TES research focuses on technical design and rarely addresses its environmental, social, and cost impact. Life cycle assessment (LCA) is an internationally standardized method for evaluating the environmental impacts of any process. Life cycle sustainability assessment (LCSA) is an expansion of LCA, including economic and social sustainability assessments. This paper aims to provide a literature review of the LCA and LCSA of TES, specifically for building applications. Concerning the low technology readiness level (TRL) of several TES systems, the challenges and benefits of conducting LCA for these systems are highlighted. Furthermore, based on published studies on emerging technologies for LCA, a suggested procedure to carry out the LCA of TES with low TRL is presented. Full article
(This article belongs to the Special Issue A Themed Issue Dedicated to Professor Luisa F. Cabeza)
Show Figures

Figure 1

26 pages, 3997 KB  
Article
Thermochemical Energy Storage with Integrated District Heat Production–A Case Study of Sweden
by Diana Carolina Guío-Pérez, Guillermo Martinez Castilla, David Pallarès, Henrik Thunman and Filip Johnsson
Energies 2023, 16(3), 1155; https://doi.org/10.3390/en16031155 - 20 Jan 2023
Cited by 5 | Viewed by 3408
Abstract
The implementation of electricity-charged thermochemical energy storage (TCES) using high-temperature solid cycles would benefit the energy system by enabling the absorption of variable renewable energy (VRE) and its conversion into dispatchable heat and power. Using a Swedish case study, this paper presents a [...] Read more.
The implementation of electricity-charged thermochemical energy storage (TCES) using high-temperature solid cycles would benefit the energy system by enabling the absorption of variable renewable energy (VRE) and its conversion into dispatchable heat and power. Using a Swedish case study, this paper presents a process for TCES-integrated district heating (DH) production, assesses its technical suitability, and discusses some practical implications and additional implementation options. The mass and energy flows of a biomass plant retrofitted with an iron-based redox loop are calculated for nine specific scenarios that exemplify its operation under electricity generation mixes that differ with respect to variability and price. In addition, the use of two types of electrolyzers (low-temperature and high-temperature versions) is investigated. The results show that for the Swedish case, the proposed scheme is technically feasible and capable of covering the national DH demand by making use of the existing DH plants, with an estimated process energy efficiency (electricity to heat) of 90%. The results also show that for a retrofit of the entire Swedish DH fleet, the required inventories of iron are approximately 2.8 Mt for the intermediate scenario, which represents 0.3% and 11.0% of the national reserves and annual metallurgical production rates of the national industry, respectively. In addition to the dispatchable heat, the process generates a significant amount of nondispatchable heat, especially for the case that employs low-temperature electrolyzers. This added generation capacity allows the process to cover the heat demand while decreasing the maximum capacity of the charging side computed herein. Full article
Show Figures

Figure 1

17 pages, 2942 KB  
Review
Review of Thermochemical Technologies for Water and Energy Integration Systems: Energy Storage and Recovery
by Miguel Castro Oliveira, Muriel Iten and Henrique A. Matos
Sustainability 2022, 14(12), 7506; https://doi.org/10.3390/su14127506 - 20 Jun 2022
Cited by 11 | Viewed by 5508
Abstract
Thermochemical technologies (TCT) enable the promotion of the sustainability and the operation of energy systems, as well as in industrial sites. The thermochemical operations can be applied for energy storage and energy recovery (alternative fuel production from water/wastewater, in particular green hydrogen). TCTs [...] Read more.
Thermochemical technologies (TCT) enable the promotion of the sustainability and the operation of energy systems, as well as in industrial sites. The thermochemical operations can be applied for energy storage and energy recovery (alternative fuel production from water/wastewater, in particular green hydrogen). TCTs are proven to have a higher energy density and long-term storage compared to standard thermal storage technologies (sensible and latent). Nonetheless, these require further research on their development for the increasing of the technology readiness level (TRL). Since TCTs operate with the same input/outputs streams as other thermal storages (for instance, wastewater and waste heat streams), these may be conceptually analyzed in terms of the integration in Water and Energy Integration System (WEIS). This work is set to review the techno-economic and environmental aspects related to thermochemical energy storage (sorption and reaction-based) and wastewater-to-energy (particular focus on thermochemical water splitting technology), aiming also to assess their potential into WEIS. The exploited technologies are, in general, proved to be suitable to be installed within the conceptualization of WEIS. In the case of TCES technologies, these are proven to be significantly more potential analogues to standard TES technologies on the scope of the conceptualization of WEIS. In the case of energy recovery technologies, although a conceptualization of a pathway to produce usable heat with an input of wastewater, further study has to be performed to fully understand the use of additional fuel in combustion-based processes. Full article
Show Figures

Figure 1

Back to TopTop