Partial Separation of Carbonated Material to Improve the Efficiency of Calcium Looping for the Thermochemical Storage of Solar Energy
Abstract
1. Introduction
2. Case Study: The Partial Separation of Carbonated Solids in a CaL TCES System
2.1. Carbonation Modelling
2.1.1. Novel Initial Activity Decay Model
2.1.2. Carbon Capture Efficiency
3. Materials and Methods
3.1. Carbonated Material Separation Degree
3.2. Specific Energy Definitions: Consumption and Storage
4. Results and Discussion
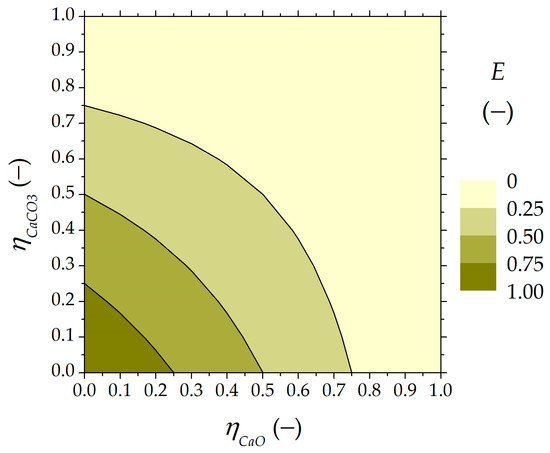
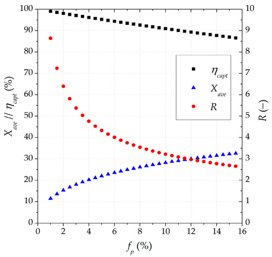
4.1. Classification Effectiveness
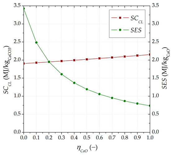
4.2. Specific Thermal Energy Demand and Storage
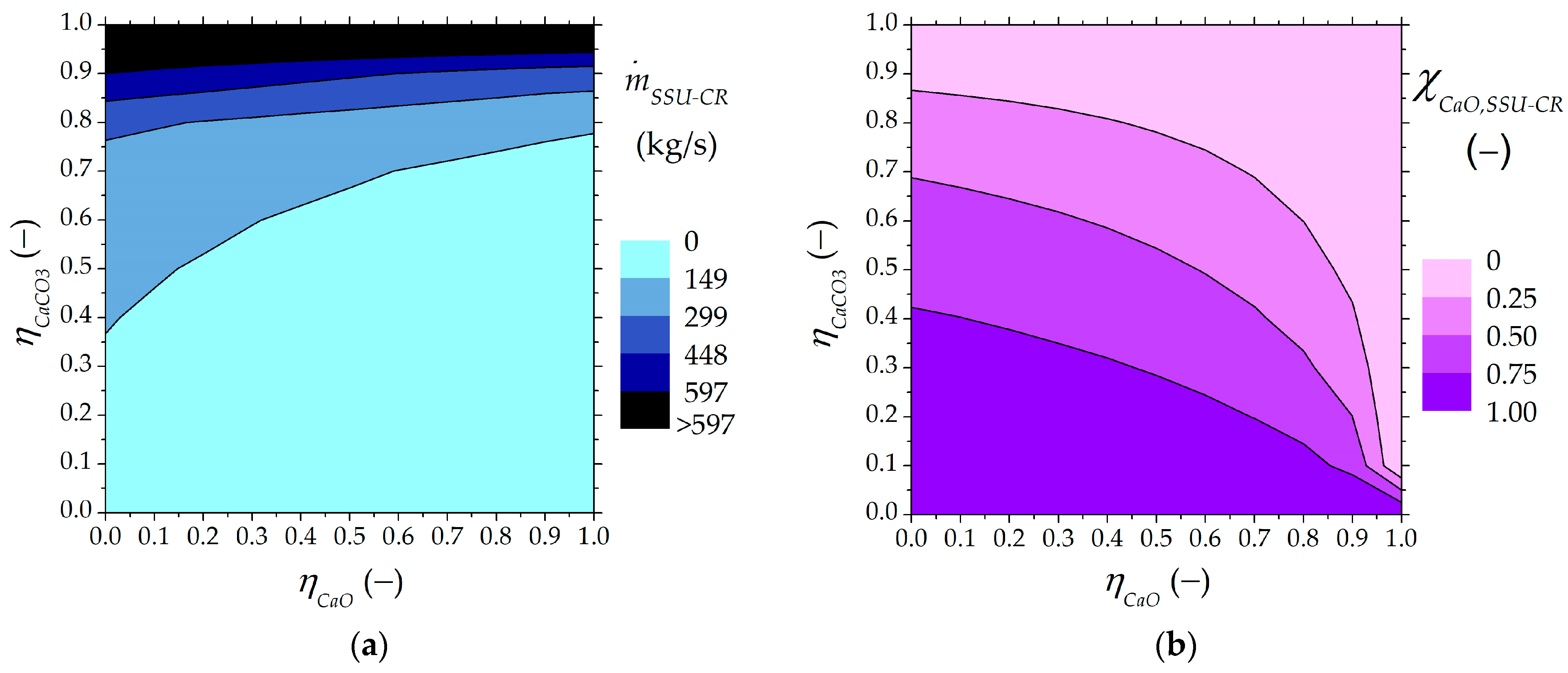
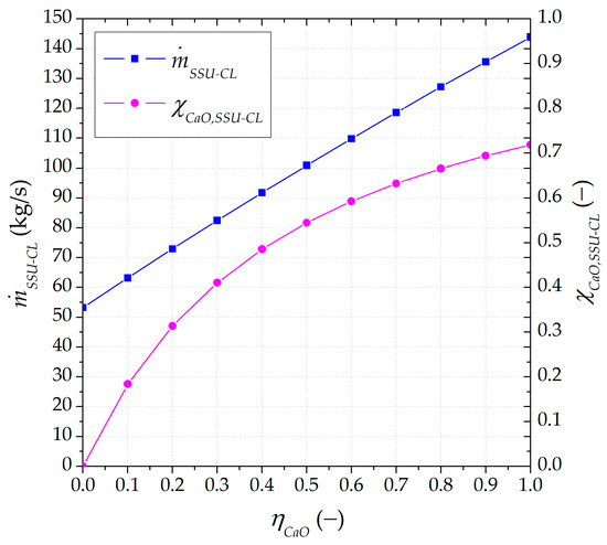
4.3. Nominal Streams to/from SSU
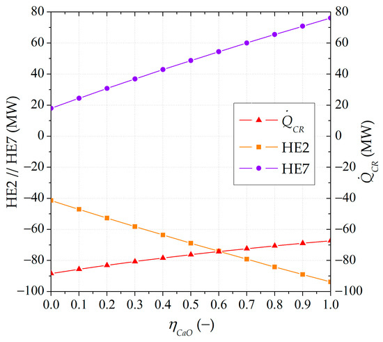
4.4. Nominal Size of the Plant Equipment
5. Conclusions
Author Contributions
Funding
Data Availability Statement
Conflicts of Interest
Nomenclature
| Symbols | |
| E | Global classification effectiveness, - |
| Jetsam classification effectiveness, - | |
| Fotsam classification effectiveness, - | |
| f | Fraction, - |
| k | Model constant, - |
| Mass flow rate, mass/time | |
| Mole flow rate, moles/time | |
| N | Number of carbonation/calcination cycles, - |
| Heat power, energy/time | |
| r | Age distribution of sorbent population, - |
| R | Molar ratio CaO/CO2 at carbonator inlet, - |
| SC | Specific thermal energy consumption, energy/mass |
| SES | Specific energy storage, energy/mass |
| SH | Sensible heat, energy/time |
| X | CaO carbonation degree, - |
| Enthalpy of calcination/carbonation, energy/moles | |
| More carbonated material ratio, - | |
| Less carbonated material ratio, - | |
| Carbon capture efficiency, - | |
| χ | Mass fraction, - |
| Subscripts and superscripts | |
| 1 | Initial sorbent conversion |
| 2 | Activity decay |
| ave | Average |
| CR | Carbonator |
| CL | Calciner |
| N | Number of carbonation/calcination cycles |
| p | Purge |
| pre | Preheating |
| st | Storage |
| SSU | Solid–solid separation unit |
| Acronyms and abbreviations | |
| CaL | Calcium Looping |
| CCT | Compressor and cooling train |
| CSP | Concentrating solar power |
| DE | Discharging expansion |
| EES | Engineering equation solver |
| HE | Heat exchanger |
| IAD | Initial activity decay |
| PV | Photovoltaic |
| SSU | Solid–solid separation unit |
| ST | Storage tank |
| TCES | Thermochemical energy storage |
| TES | Thermal energy storage |
| TGA | Thermogravimetric analysis |
References
- Shukla, P.R.; Skea, J.; Slade, R.; Al Khourdajie, A.; van Diemen, R.; McCollum, D.; Pathak, M.; Some, S.; Vyas, P.; Fradera, R. (Eds.) IPCC, 2022: Climate Change 2022: Mitigation of Climate Change. Contribution of Working Group III to the Sixth Assessment Report of the Intergovernmental Panel on Climate Change; Cambridge University Press: Cambridge, UK; New York, NY, USA, 2022. [Google Scholar]
- IEA. Net Zero by 2050: A Roadmap for the Global Energy Sector; International Energy Agency: Paris, France, 2021. [Google Scholar]
- REN21. Renewables 2023 Global Status Report—Energy Supply Collection; REN21: Paris, France, 2023; ISBN 978-3-948393-08-3. [Google Scholar]
- IEA. World Energy Outlook 2022; Technical Report; International Energy Agency: Paris, France, 2022; ISBN 0872625710. [Google Scholar]
- Goyal, N.; Aggarwal, A.; Kumar, A. Concentrated solar power plants: A critical review of regional dynamics and operational parameters. Energy Res. Soc. Sci. 2022, 83, 102331. [Google Scholar] [CrossRef]
- EC. Commission Staff Working Document: Energy Storage—The Role of Electricity; European Commission: Brussels, Belgium, 2017. [Google Scholar]
- EC. Report from the Commision to the European Parliament, the European Council, the Council, the European Economic and Social Committee and the Committee of the Regions. The European Green Deal; European Commission: Brussels, Belgium, 2019. [Google Scholar]
- Islam, T.; Huda, N.; Abdullah, A.B.; Saidur, R. A comprehensive review of state-of-the-art concentrating solar power (CSP) technologies: Current status and research trends. Renew. Sustain. Energy Rev. 2018, 91, 987–1018. [Google Scholar] [CrossRef]
- Kumar, A.; Shukla, S.K. A Review on Thermal Energy Storage Unit for Solar Thermal Power Plant Application. Energy Procedia 2015, 74, 462–469. [Google Scholar] [CrossRef]
- González-Roubaud, E.; Pérez-Osorio, D.; Prieto, C. Review of commercial thermal energy storage in concentrated solar power plants: Steam vs. molten salts. Renew. Sustain. Energy Rev. 2017, 80, 133–148. [Google Scholar] [CrossRef]
- Mohammad, A.; Khoshbaf, J.; Groningen, H.; Orozco, C. Thermal Energy Storage in CSP Technologies: From Commercialized to Innovative Solutions; French National Centre for Scientific Research: Paris, France, 2018. [Google Scholar]
- Xu, B.; Li, P.; Chan, C. Application of phase change materials for thermal energy storage in concentrated solar thermal power plants: A review to recent developments. Appl. Energy 2015, 160, 286–307. [Google Scholar] [CrossRef]
- Arias, I.; Cardemil, J.; Zarza, E.; Valenzuela, L.; Escobar, R. Latest developments, assessments and research trends for next generation of concentrated solar power plants using liquid heat transfer fluids. Renew. Sustain. Energy Rev. 2022, 168, 112844. [Google Scholar] [CrossRef]
- Achkari, O.; El Fadar, A. Latest developments on TES and CSP technologies—Energy and environmental issues, applications and research trends. Appl. Therm. Eng. 2020, 167, 114806. [Google Scholar] [CrossRef]
- Prieto, C.; Cooper, P.; Fernández, A.I.; Cabeza, L.F. Review of technology: Thermochemical energy storage for concentrated solar power plants. Renew. Sustain. Energy Rev. 2016, 60, 909–929. [Google Scholar] [CrossRef]
- Khan, M.I.; Asfand, F.; Al-Ghamdi, S.G. Progress in research and technological advancements of thermal energy storage systems for concentrated solar power. J. Energy Storage 2022, 55, 105860. [Google Scholar] [CrossRef]
- Coppola, A.; Senneca, O.; Scala, F.; Montagnaro, F.; Salatino, P. Looping cycles for low carbon technologies: A survey of recent research activities in Naples. Fuel 2020, 268, 117371. [Google Scholar] [CrossRef]
- Tregambi, C.; Bareschino, P.; Hanak, D.; Montagnaro, F.; Pepe, F.; Mancusi, E. Modelling of an integrated process for atmospheric carbon dioxide capture and methanation. J. Clean. Prod. 2022, 356, 131827. [Google Scholar] [CrossRef]
- Haaf, M.; Anantharaman, R.; Roussanaly, S.; Ströhle, J.; Epple, B. CO2 capture from waste-to-energy plants: Techno-economic assessment of novel integration concepts of calcium looping technology. Resour. Conserv. Recycl. 2020, 162, 104973. [Google Scholar] [CrossRef]
- Diego, M.E.; Alonso, M. Operational feasibility of biomass combustion with in situ CO2 capture by CaO during 360 h in a 300 kWth calcium looping facility. Fuel 2016, 181, 325–329. [Google Scholar] [CrossRef]
- SOCRATCES (SOlar Calcium-Looping integRAtion for ThermoChemical Energy Storage). Available online: https://socratces.eu/ (accessed on 6 October 2023).
- CALyPSOL (CALcium Oxide LooPing through SOLar Energy). Available online: https://www.dlr.de/ff/en/desktopdefault.aspx/tabid-18130/28811_read-71705/ (accessed on 6 October 2023).
- Grasa, G.S.; Abanades, J.C. CO2 Capture Capacity of CaO in Long Series of Carbonation/Calcination Cycles. Ind. Eng. Chem. Res. 2006, 45, 8846–8851. [Google Scholar] [CrossRef]
- Perejón, A.; Romeo, L.M.; Lara, Y.; Lisbona, P.; Martínez, A.; Valverde, J.M. The Calcium-Looping technology for CO2 capture: On the important roles of energy integration and sorbent behavior. Appl. Energy 2016, 162, 787–807. [Google Scholar] [CrossRef]
- Ortiz, C.; Valverde, J.M.; Chacartegui, R.; Perez-Maqueda, L.A. Carbonation of Limestone Derived CaO for Thermochemical Energy Storage: From Kinetics to Process Integration in Concentrating Solar Plants. ACS Sustain. Chem. Eng. 2018, 6, 6404–6417. [Google Scholar] [CrossRef]
- Tesio, U.; Guelpa, E.; Verda, V. Comparison of sCO2 and He Brayton cycles integration in a Calcium-Looping for Concentrated Solar Power. Energy 2022, 247, 123467. [Google Scholar] [CrossRef]
- Chen, X.; Zhang, Z.; Qi, C.; Ling, X.; Peng, H. State of the art on the high-temperature thermochemical energy storage systems. Energy Convers. Manag. 2018, 177, 792–815. [Google Scholar] [CrossRef]
- Khosa, A.A.; Xu, T.; Xia, B.Q.; Yan, J.; Zhao, C.Y. Technological challenges and industrial applications of CaCO3/CaO based thermal energy storage system—A review. Sol. Energy 2019, 193, 618–636. [Google Scholar] [CrossRef]
- Sarbu, I.; Sebarchievici, C. A Comprehensive Review of Thermal Energy Storage. Sustainability 2018, 10, 191. [Google Scholar] [CrossRef]
- Liu, D.; Long, X.-F.; Bo, L.; Zhou, S.-Q.; Xu, Y. Progress in thermochemical energy storage for concentrated solar power: A review. Int. J. Energy Res. 2018, 42, 4546–4561. [Google Scholar] [CrossRef]
- Alva, G.; Lin, Y.; Fang, G. An overview of thermal energy storage systems. Energy 2018, 144, 341–378. [Google Scholar] [CrossRef]
- Benitez-Guerrero, M.; Sarrion, B.; Perejon, A.; Sanchez-Jimenez, P.E.; Perez-Maqueda, L.A.; Manuel, J. Large-scale high-temperature solar energy storage using natural minerals. Sol. Energy Mater. Sol. Cells 2017, 168, 14–21. [Google Scholar] [CrossRef]
- Benitez-Guerrero, M.; Manuel, J.; Sanchez-Jimenez, P.E.; Perejon, A.; Perez-Maqueda, L.A. Multicycle activity of natural CaCO3 minerals for thermochemical energy storage in Concentrated Solar Power plants. Sol. Energy 2017, 153, 188–199. [Google Scholar] [CrossRef]
- Valverde, J.M.; Barea-López, M.; Perejón, A.; Sánchez-Jiménez, P.E.; Pérez-Maqueda, L.A. Effect of Thermal Pretreatment and Nanosilica Addition on Limestone Performance at Calcium-Looping Conditions for Thermochemical Energy Storage of Concentrated Solar Power. Energy Fuels 2017, 31, 4226–4236. [Google Scholar] [CrossRef]
- Arcenegui-Troya, J.; Sánchez-Jiménez, P.E.; Perejón, A.; Moreno, V.; Valverde, J.M.; Pérez-Maqueda, L.A. Kinetics and cyclability of limestone (CaCO3) in presence of steam during calcination in the CaL scheme for thermochemical energy storage. Chem. Eng. J. 2021, 417, 129194. [Google Scholar] [CrossRef]
- Arcenegui-Troya, J.; Sánchez-Jiménez, P.E.; Perejón, A.; Valverde, J.M.; Pérez-Maqueda, L.A. Steam-enhanced calcium-looping performance of limestone for thermochemical energy storage: The role of particle size. J. Energy Storage 2022, 51, 104305. [Google Scholar] [CrossRef]
- Sarrión, B.; Perejón, A.; Sánchez-Jiménez, P.E.; Pérez-Maqueda, L.A.; Valverde, J.M. Role of calcium looping conditions on the performance of natural and synthetic Ca-based materials for energy storage. J. CO2 Util. 2018, 28, 374–384. [Google Scholar] [CrossRef]
- Zheng, H.; Liu, X.; Xuan, Y.; Song, C.; Liu, D.; Zhu, Q.; Zhu, Z.; Gao, K.; Li, Y.; Ding, Y. Thermochemical heat storage performances of fluidized black CaCO3 pellets under direct concentrated solar irradiation. Renew. Energy 2021, 178, 1353–1369. [Google Scholar] [CrossRef]
- Da, Y.; Xuan, Y.; Teng, L.; Zhang, K.; Liu, X.; Ding, Y. Calcium-based composites for direct solar-thermal conversion and thermochemical energy storage. Chem. Eng. J. 2020, 382, 122815. [Google Scholar] [CrossRef]
- André, L.; Abanades, S. Evaluation and performances comparison of calcium, strontium and barium carbonates during calcination/carbonation reactions for solar thermochemical energy storage. J. Energy Storage 2017, 13, 193–205. [Google Scholar] [CrossRef]
- Ortiz, C.; Carro, A.; Chacartegui, R.; Valverde, J.M. Low-pressure calcination to enhance the calcium looping process for thermochemical energy storage. J. Clean. Prod. 2022, 363, 132295. [Google Scholar] [CrossRef]
- Valverde, J.M.; Sanchez-Jimenez, P.E.; Perejon, A.; Perez-Maqueda, L.A. Role of looping-calcination conditions on self-reactivation of thermally pretreated CO2 sorbents based on CaO. Energy Fuels 2013, 27, 3373–3384. [Google Scholar] [CrossRef]
- Valverde, J.M. A model on the CaO multicyclic conversion in the Ca-looping process. Chem. Eng. J. 2013, 228, 1195–1206. [Google Scholar] [CrossRef]
- Atkinson, K.; Hughes, R.; Macchi, A. Application of the Calcium Looping Process for Thermochemical Storage of Variable Energy. Energies 2023, 16, 3299. [Google Scholar] [CrossRef]
- Tregambi, C.; Di Lauro, F.; Pascual, S.; Lisbona, P.; Romeo, L.M.; Solimene, R.; Salatino, P.; Montagnaro, F. Solar-driven calcium looping in fluidized beds for thermochemical energy storage. Chem. Eng. J. 2023, 466, 142708. [Google Scholar] [CrossRef]
- Bravo, R.; Ortiz, C.; Chacartegui, R.; Friedrich, D. Hybrid solar power plant with thermochemical energy storage: A multi-objective operational optimisation. Energy Convers. Manag. 2020, 205, 112421. [Google Scholar] [CrossRef]
- Bravo, R.; Ortiz, C.; Chacartegui, R.; Friedrich, D. Multi-objective optimisation and guidelines for the design of dispatchable hybrid solar power plants with thermochemical energy storage. Appl. Energy 2021, 282, 116257. [Google Scholar] [CrossRef]
- Ortiz, C.; Chacartegui, R.; Valverde, J.M.; Carro, A.; Tejada, C.; Valverde, J. Increasing the solar share in combined cycles through thermochemical energy storage. Energy Convers. Manag. 2021, 229, 113730. [Google Scholar] [CrossRef]
- Ortiz, C.; Tejada, C.; Chacartegui, R.; Bravo, R.; Carro, A.; Valverde, J.M.; Valverde, J. Solar combined cycle with high-temperature thermochemical energy storage. Energy Convers. Manag. 2021, 241, 114274. [Google Scholar] [CrossRef]
- Tregambi, C.; Bareschino, P.; Mancusi, E.; Pepe, F.; Montagnaro, F.; Solimene, R.; Salatino, P. Modelling of a concentrated solar power—Photovoltaics hybrid plant for carbon dioxide capture and utilization via calcium looping and methanation. Energy Convers. Manag. 2021, 230, 113792. [Google Scholar] [CrossRef]
- Pascual, S.; Romeo, L.M.; Lisbona, P. Optimized Ca-looping thermochemical energy storage under dynamic operation for concentrated solar power. J. Energy Storage 2023, 68, 107587. [Google Scholar] [CrossRef]
- Martinez Castilla, G.; Guío-Pérez, D.C.; Papadokonstantakis, S.; Pallarès, D.; Johnsson, F. Techno-Economic Assessment of Calcium Looping for Thermochemical Techno-Economic Assessment of Calcium Looping for Thermochemical Energy Storage with CO2 Capture. Energies 2021, 14, 3211. [Google Scholar] [CrossRef]
- Di Lauro, F.; Tregambi, C.; Montagnaro, F.; Molignano, L.; Salatino, P.; Solimene, R. Influence of Fluidised Bed Inventory on the Performance of Limestone Sorbent in Calcium Looping for Thermochemical Energy Storage. Energies 2023, 16, 6942. [Google Scholar] [CrossRef]
- Ortiz, C.; Valverde, J.M.; Chacartegui, R.; Perez-Maqueda, L.A.; Giménez, P. The Calcium-Looping (CaCO3/CaO) process for thermochemical energy storage in Concentrating Solar Power plants. Renew. Sustain. Energy Rev. 2019, 113, 109252. [Google Scholar] [CrossRef]
- Pascual, S.; Lisbona, P.; Bailera, M.; Romeo, L.M. Design and operational performance maps of calcium looping thermochemical energy storage for concentrating solar power plants. Energy 2021, 220, 119715. [Google Scholar] [CrossRef]
- Pascual, S.; Lisbona, P.; Romeo, L.M. Operation maps in calcium looping thermochemical energy storage for concentrating solar power plants. J. Energy Storage 2022, 55, 105771. [Google Scholar] [CrossRef]
- Tregambi, C.; Di Lauro, F.; Montagnaro, F.; Salatino, P.; Solimene, R. 110th anniversary: Calcium looping coupled with concentrated solar power for carbon capture and thermochemical energy storage. Ind. Eng. Chem. Res. 2019, 58, 21262–21272. [Google Scholar] [CrossRef]
- Chacartegui, R.; Alovisio, A.; Ortiz, C.; Valverde, J.M.; Verda, V.; Becerra, J.A. Thermochemical energy storage of concentrated solar power by integration of the calcium looping process and a CO2 power cycle. Appl. Energy 2016, 173, 589–605. [Google Scholar] [CrossRef]
- Abanades, J.C. The maximum capture efficiency of CO2 using a carbonation/calcination cycle of CaO/CaCO3. Chem. Eng. J. 2002, 90, 303–306. [Google Scholar] [CrossRef]
- Romeo, L.M.; Lara, Y.; Lisbona, P.; Escosa, J.M. Optimizing make-up flow in a CO2 capture system using CaO. Chem. Eng. J. 2009, 147, 252–258. [Google Scholar] [CrossRef]
- Olivieri, G.; Marzocchella, A.; Salatino, P. A fluid-bed continuous classifier of polydisperse granular solids. J. Taiwan Inst. Chem. Eng. 2009, 40, 638–644. [Google Scholar] [CrossRef]








Disclaimer/Publisher’s Note: The statements, opinions and data contained in all publications are solely those of the individual author(s) and contributor(s) and not of MDPI and/or the editor(s). MDPI and/or the editor(s) disclaim responsibility for any injury to people or property resulting from any ideas, methods, instructions or products referred to in the content. |
© 2024 by the authors. Licensee MDPI, Basel, Switzerland. This article is an open access article distributed under the terms and conditions of the Creative Commons Attribution (CC BY) license (https://creativecommons.org/licenses/by/4.0/).
Share and Cite
Pascual, S.; Tregambi, C.; Di Lauro, F.; Solimene, R.; Salatino, P.; Montagnaro, F.; Romeo, L.M.; Lisbona, P. Partial Separation of Carbonated Material to Improve the Efficiency of Calcium Looping for the Thermochemical Storage of Solar Energy. Energies 2024, 17, 1372. https://doi.org/10.3390/en17061372
Pascual S, Tregambi C, Di Lauro F, Solimene R, Salatino P, Montagnaro F, Romeo LM, Lisbona P. Partial Separation of Carbonated Material to Improve the Efficiency of Calcium Looping for the Thermochemical Storage of Solar Energy. Energies. 2024; 17(6):1372. https://doi.org/10.3390/en17061372
Chicago/Turabian StylePascual, Sara, Claudio Tregambi, Francesca Di Lauro, Roberto Solimene, Piero Salatino, Fabio Montagnaro, Luis M. Romeo, and Pilar Lisbona. 2024. "Partial Separation of Carbonated Material to Improve the Efficiency of Calcium Looping for the Thermochemical Storage of Solar Energy" Energies 17, no. 6: 1372. https://doi.org/10.3390/en17061372
APA StylePascual, S., Tregambi, C., Di Lauro, F., Solimene, R., Salatino, P., Montagnaro, F., Romeo, L. M., & Lisbona, P. (2024). Partial Separation of Carbonated Material to Improve the Efficiency of Calcium Looping for the Thermochemical Storage of Solar Energy. Energies, 17(6), 1372. https://doi.org/10.3390/en17061372

