Sign in to use this feature.

Years

Between: -

Subjects

remove_circle_outline
remove_circle_outline
remove_circle_outline
remove_circle_outline
remove_circle_outline
remove_circle_outline
remove_circle_outline
remove_circle_outline
remove_circle_outline

Journals

remove_circle_outline
remove_circle_outline
remove_circle_outline
remove_circle_outline
remove_circle_outline
remove_circle_outline
remove_circle_outline
remove_circle_outline
remove_circle_outline

Article Types

Countries / Regions

remove_circle_outline
remove_circle_outline
remove_circle_outline
remove_circle_outline
remove_circle_outline

Search Results (1,354)

Search Parameters:
Keywords = the prognostic value of overall survival

Order results
Result details
Results per page
Select all
Export citation of selected articles as:
34 pages, 1837 KB  
Article
Lead Exposure and Bladder Cancer: Molecular Insights from TCGA RNA-Seq and Toxicogenomic Integration
by Gözde Öztan, Halim İşsever, Tuğçe İşsever and Levent Şahin
Cancers 2025, 17(20), 3291; https://doi.org/10.3390/cancers17203291 - 10 Oct 2025
Abstract
Background/Objectives: Bladder cancer (BC) carries a substantial global burden. Although lead (Pb) exposure has been linked to cancer, its molecular impact on bladder tumors remains unclear. We asked whether Pb-responsive transcriptional programs are present and clinically relevant in BC by integrating toxicogenomic resources [...] Read more.
Background/Objectives: Bladder cancer (BC) carries a substantial global burden. Although lead (Pb) exposure has been linked to cancer, its molecular impact on bladder tumors remains unclear. We asked whether Pb-responsive transcriptional programs are present and clinically relevant in BC by integrating toxicogenomic resources with tumor transcriptomes and whether a composite lead-response score has prognostic value. Methods: Differential expression was performed on TCGA bladder urothelial carcinoma (BLCA) RNA-seq data (tumor vs. normal). Lead-associated genes were curated from the Comparative Toxicogenomics Database (CTD) and tested for over-representation among BLCA differentially expressed genes (DEGs) using a hypergeometric framework, with a stricter |log2FC| ≥ 1 sensitivity. A tumor-level lead-response score was derived from the Pb–DEG overlap. Associations with overall survival (OS) were assessed using Cox models adjusted for age, sex, and pathological stage; secondary endpoints included PFI/DFI/DSS. Results: Lead-associated genes were significantly enriched among BLCA DEGs (background M = 20,530; K = 2618; n = 11,436; k = 1595; p = 4.21 × 10−9), and enrichment persisted under |log2FC| ≥ 1 (n = 4275; k = 698; p = 9.86 × 10−15). Pathway over-representation highlighted synaptic/neuronal-like adhesion and transmission, MAPK-centered signaling, and cell-cycle control. Among top candidates, AQP12B was independently prognostic for OS (HR per 1 SD increase = 0.76; 95% CI 0.63–0.92; p = 0.0038; N = 404). The composite lead-response score showed a directionally protective but non-significant association in multivariable OS models (HR per 1 SD = 0.93; 95% CI 0.81–1.05; p = 0.244), while median-split Kaplan–Meier (KM) curves separated (p = 0.045). Conclusions: Lead-responsive transcriptional programs are detectable in BLCA and intersect adhesion, MAPK signaling, and cell-cycle pathways. AQP12B emerges as a plausible prognostic marker, and a composite lead-response score warrants external validation for risk stratification and clinical translation. Full article
(This article belongs to the Section Molecular Cancer Biology)
Show Figures

Figure 1

15 pages, 859 KB  
Article
Development of a Simplified Geriatric Score-4 (SGS-4) to Predict Outcomes After Allogeneic Hematopoietic Stem Cell Transplantation in Patients Aged over 50
by Eugenia Accorsi Buttini, Alberto Zucchelli, Paolo Tura, Gianluca Bianco, Daniele Avenoso, Giovanni Campisi, Mirko Farina, Gabriele Magliano, Enrico Morello, Vera Radici, Nicola Polverelli, Domenico Russo, Alessandra Marengoni and Michele Malagola
Cancers 2025, 17(20), 3278; https://doi.org/10.3390/cancers17203278 - 10 Oct 2025
Viewed by 109
Abstract
Background: The Comprehensive Geriatric Assessment (CGA) has proven to be a valuable tool for providing a more comprehensive health evaluation of allogeneic stem cell transplantation (allo-SCT) recipients. Methods: We prospectively developed and tested a new Simplified Geriatric Score-4 (SGS-4) on 135 [...] Read more.
Background: The Comprehensive Geriatric Assessment (CGA) has proven to be a valuable tool for providing a more comprehensive health evaluation of allogeneic stem cell transplantation (allo-SCT) recipients. Methods: We prospectively developed and tested a new Simplified Geriatric Score-4 (SGS-4) on 135 consecutive patients aged ≥50 years who underwent allo-SCT between 2020 and 2023. Each CGA component was individually analyzed for its association with overall survival (OS), non-relapse mortality (NRM), and cumulative incidence of relapse (CIR). Then, we performed a two-factor analysis (FA) using oblimin rotation and Bartlett estimation on all CGA components and sex. Based on component weights, a simplified geriatric score-4 score (SGS-4) was created: [Gait Speed] + 2 × [Hand Grip] + Geriatric 8 + 1.5 × [Sex]. ROC analysis defined three fitness groups, frail (≤13), prefrail (>13–22.5), and fit (>22.5). Results: Reduced hand grip strength and impaired mini mental state examination (MMSE) were associated with worse OS and higher NRM. Vulnerable Elders Survey (VES-13) and Fondazione Italiana Linfomi (FIL) scores also indicated poorer OS, though with uneven group sizes. Other CGA domains and the Hematopoietic Cell Transplantation–Comorbidity Index (HCT-CI) showed no significant prognostic value. The SGS-4 effectively stratified patients into three fitness groups, with those in the frail category experiencing lower OS and an increased risk of relapse. Conclusions: The new Simplified Geriatric Score-4 (SGS-4) based on three CGA domains (gait speed, hand grip, Geriatric 8) and sex effectively predicts OS and CIR risk in patients aged ≥50 years undergoing allo-SCT. The study’s small sample size and disease heterogeneity warrant further validation in larger cohorts. Full article
Show Figures

Figure 1

19 pages, 1175 KB  
Article
The Effect of the Clinical-Pathological CPS+EG Staging System on Survival Outcomes in Patients with HER2-Positive Breast Cancer Receiving Neoadjuvant Treatment: A Retrospective Study
by Seval Orman, Miray Aydoğan, Oğuzcan Kınıkoğlu, Sedat Yıldırım, Nisanur Sarıyar Busery, Hacer Şahika Yıldız, Ezgi Türkoğlu, Tuğba Kaya, Deniz Işık, Seval Ay Ersoy, Hatice Odabaş and Nedim Turan
Medicina 2025, 61(10), 1813; https://doi.org/10.3390/medicina61101813 - 9 Oct 2025
Viewed by 201
Abstract
Background and Objectives: To evaluate the prognostic value of the Clinical–Pathologic Stage–Estrogen receptor status and Grade (CPS+EG) staging system, which combines clinical staging, pathological staging, oestrogen receptor (ER) status, and tumour grade in predicting survival outcomes in patients with human epidermal growth [...] Read more.
Background and Objectives: To evaluate the prognostic value of the Clinical–Pathologic Stage–Estrogen receptor status and Grade (CPS+EG) staging system, which combines clinical staging, pathological staging, oestrogen receptor (ER) status, and tumour grade in predicting survival outcomes in patients with human epidermal growth factor receptor 2 (HER2)-positive breast cancer receiving neoadjuvant therapy (NACT). Materials and Methods: A retrospective review was performed on 245 female breast cancer patients who received anti-HER2 therapy alongside NACT at the Medical Oncology Department of Kartal Dr Lütfi Kırdar City Hospital, University of Health Sciences, from April 2012 to June 2024. The CPS+EG score was calculated using the MD Anderson Cancer Centre neoadjuvant treatment response calculator. Patients were categorised into two groups based on their CPS+EG score < 3 and ≥3. The primary outcomes assessed were disease-free survival (DFS) and overall survival (OS). Kaplan–Meier and log-rank tests were utilised for time-to-event analysis; Cox regression was used for multivariate analysis. A significance level of ≤0.05 was considered. Results: The median age of the patient cohort was 51 years (range: 27–82 years). Among these patients, 183 (74.6%) had a CPS+EG score less than 3, while 62 (25.3%) exhibited a score of 3 or higher. The median follow-up duration was 37.6 months. The pathological complete response (pCR) rate across the entire cohort was 51.8%. Specifically, the pCR rate was 56.3% in the group with CPS+EG scores below 3, and 38.7% in those with scores of 3 or higher (p = 0.017). Patients with CPS+EG scores less than 3 demonstrated superior overall survival (OS), which reached statistical significance in univariate analysis. Multivariate analysis identified the CPS+EG score as an independent prognostic factor for both overall survival and disease-free survival (DFS), with hazard ratios of 0.048 (95% CI: 0.004–0.577, p = 0.017) and 0.35 (95% CI: 0.14–0.86, p = 0.023), respectively. Conclusions: The CPS+EG score is an independent and practical prognostic marker, particularly for overall survival, in patients with HER2-positive breast cancer who have received neoadjuvant therapy. Patients with a CPS+EG score < 3 have higher pCR rates and survival rates. When used in conjunction with pCR, it can improve risk categorisation and contribute to the individualisation of adjuvant strategies in the post-neoadjuvant period. Due to its ease of calculation and lack of additional costs, this score can be instrumental in clinical practice for identifying high-risk patients. Our findings support the integration of the CPS+EG score into routine clinical decision-making processes, although prospective validation studies are necessary. Full article
(This article belongs to the Special Issue New Developments in Diagnosis and Management of Breast Cancer)
Show Figures

Figure 1

19 pages, 969 KB  
Article
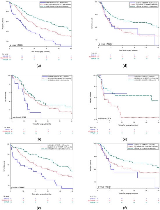
The Prognostic Role of Geriatric Nutritional Risk Index in Periampullary Cancer Patients Undergoing Pancreaticoduodenectomy: A Propensity Score-Matched Survival Study
by Chih-Ying Li, Wei-Feng Li, Yueh-Wei Liu, Yu-Yin Liu, Cheng-Hsi Yeh, Yu-Hung Lin, Jen-Yu Cheng and Shih-Min Yin
Cancers 2025, 17(19), 3273; https://doi.org/10.3390/cancers17193273 - 9 Oct 2025
Viewed by 69
Abstract
Background: The Geriatric Nutritional Risk Index (GNRI) is a simple tool for nutritional assessment, but its long-term prognostic value in patients undergoing pancreaticoduodenectomy (PD) remains unclear. Methods: This retrospective study included adult patients who underwent PD between January 2014 and December 2023 [...] Read more.
Background: The Geriatric Nutritional Risk Index (GNRI) is a simple tool for nutritional assessment, but its long-term prognostic value in patients undergoing pancreaticoduodenectomy (PD) remains unclear. Methods: This retrospective study included adult patients who underwent PD between January 2014 and December 2023 at Chang Gung Memorial Hospital. Patients were grouped by GNRI: inferior (<82), moderate (82–98), and superior (≥98). Propensity score matching was performed based on age, sex, cancer type, surgical approach, and ASA status. Primary outcomes were overall survival (OS) and recurrence-free survival (RFS). Results: Among 371 patients, inferior GNRI was associated with worse median survival time (18.64 vs. 34.62 months, HR = 2.953, p < 0.001). This association was observed in both pancreatic cancer and other periampullary malignancies. Inferior GNRI also correlated with higher short-term mortality and adverse perioperative outcomes, including longer ICU stay, and greater need for ventilator support, reintubation, reoperation and total parenteral nutrition (TPN). Conclusions: Preoperative GNRI is a strong predictor of survival and short-term outcomes in PD patients. Early nutritional assessment may aid risk stratification and intervention. Full article
(This article belongs to the Section Methods and Technologies Development)
Show Figures

Figure 1

17 pages, 808 KB  
Article
SUVmax-IPI as a New Prognostic Index in Metastatic Non-Small Cell Lung Cancer Patients Receiving Nivolumab
by Nagihan Kolkıran, Atike Pınar Erdoğan, Mustafa Şahbazlar, Semra Taş, Gamze Gököz Doğu, Kübra Canaslan, İlkay Tuğba Ünek, Özge Demirkıran, Bilgin Demir, Güler Nur Teküstün, Özgür Tanrıverdi and Ferhat Ekinci
Curr. Oncol. 2025, 32(10), 566; https://doi.org/10.3390/curroncol32100566 - 9 Oct 2025
Viewed by 186
Abstract
Background/Objectives: Nivolumab has significantly improved outcomes in patients with metastatic non-small cell lung cancer (NSCLC); however, reliable prognostic biomarkers remain an unmet need. To address this gap, we developed the SUVmax-IPI, a novel prognostic index combining maximum standardized uptake value (SUVmax) from 18 [...] Read more.
Background/Objectives: Nivolumab has significantly improved outcomes in patients with metastatic non-small cell lung cancer (NSCLC); however, reliable prognostic biomarkers remain an unmet need. To address this gap, we developed the SUVmax-IPI, a novel prognostic index combining maximum standardized uptake value (SUVmax) from 18F-fluorodeoxyglucose positron emission tomography (FDG-PET) with systemic inflammatory markers. This study aimed to evaluate the prognostic value of SUVmax-IPI in patients with NSCLC receiving nivolumab therapy. Methods: This multicenter retrospective analysis included 187 patients with metastatic NSCLC receiving nivolumab across 5 tertiary institutions. The SUVmax-IPI incorporated pretreatment SUVmax and laboratory-based inflammatory prognostic index (IPI) parameters. Survival outcomes were evaluated using Kaplan–Meier analysis with log-rank testing and multivariate cox regression. Results: Receiver operating characteristic (ROC) analysis established an optimal SUVmax-IPI cut-off of 241.9. Patients with SUVmax-IPI ≤ 241.9 had significantly better survival outcomes: median overall survival (OS) was 35 versus 15 months (p = 0.002). For progression-free survival (PFS), although a numerical difference favored patients with SUVmax-IPI ≤ 241.9 (median: 15 vs. 8 months), this did not reach statistical significance (log-rank p = 0.175). Multivariate analysis confirmed SUVmax-IPI as an independent predictor of survival (p = 0.002). Conclusions: The SUVmax-IPI represents a promising prognostic tool for patients with metastatic NSCLC who received at least 3 months of nivolumab, integrating metabolic and inflammatory parameters to predict survival outcomes. Full article
(This article belongs to the Section Thoracic Oncology)
Show Figures

Figure 1

17 pages, 1972 KB  
Article
A Retrospective Study in Colorectal Adenocarcinoma Uncovers the Potential of Circ-CCT3 as a Predictor of Tumor Recurrence
by Panagiotis Kokoropoulos, Spyridon Christodoulou, Panagiotis Tsiakanikas, Efthimios Poulios, Panteleimon Vassiliu, Christos K. Kontos and Nikolaos Arkadopoulos
Biomedicines 2025, 13(10), 2432; https://doi.org/10.3390/biomedicines13102432 - 6 Oct 2025
Viewed by 272
Abstract
Background/Objectives: Colorectal cancer (CRC) is one of the most prevalent malignancies; this issue underlines the need for accurate molecular biomarkers for early detection and accurate prognosis. Circular RNAs (circRNAs) have recently emerged as very promising cancer biomarkers. The circular transcript of the chaperonin-containing [...] Read more.
Background/Objectives: Colorectal cancer (CRC) is one of the most prevalent malignancies; this issue underlines the need for accurate molecular biomarkers for early detection and accurate prognosis. Circular RNAs (circRNAs) have recently emerged as very promising cancer biomarkers. The circular transcript of the chaperonin-containing TCP1 subunit 3 (CCT3) gene, namely circ-CCT3, is a significant oncogenic driver. In gastrointestinal malignancies, circ-CCT3 promotes tumor growth by sponging tumor-suppressor miRNAs. In this study, we examined whether circ-CCT3 expression can predict the prognosis of patients diagnosed with colorectal adenocarcinoma, the most frequent type of CRC. Methods: Total RNA was extracted from pulverized, fresh frozen colorectal tissues and reverse-transcribed. A previously developed, highly sensitive quantitative PCR (qPCR) assay was applied to determine circ-CCT3 expression in 216 primary colorectal adenocarcinoma tissue specimens and 86 paired normal colorectal tissues. Results: circ-CCT3 was significantly upregulated in colorectal adenocarcinoma tissues, in comparison to their non-cancerous tissue counterparts. Higher circ-CCT3 expression was associated with a poorer disease-free (DFS) and overall survival (OS) of colorectal adenocarcinoma patients. Interestingly, multivariate Cox regression showed that the prognostic value of circ-CCT3 expression regarding DFS was independent of other established prognosticators used in clinical practice, including TNM staging. Furthermore, the stratification of patients based on the TNM classification of the tumors revealed that increased circ-CCT3 levels predicted shorter DFS and OS intervals, especially in the subgroup of TNM stage II or III patients. Conclusions: Our study provides evidence that circ-CCT3 overexpression constitutes a promising molecular biomarker of poor prognosis in colorectal adenocarcinoma, independently predicting tumor recurrence. Full article
(This article belongs to the Section Molecular and Translational Medicine)
Show Figures

Figure 1

19 pages, 4558 KB  
Article
The Prognostic Immune and Nutritional Index as a Predictor of Survival in Resected Non-Small Cell Lung Cancer
by Soomin An, Sehyun Kim, Wankyu Eo and Sookyung Lee
Medicina 2025, 61(10), 1763; https://doi.org/10.3390/medicina61101763 - 29 Sep 2025
Viewed by 201
Abstract
Background and Objectives: The prognostic immune and nutritional index (PINI), derived from serum albumin levels and absolute monocyte counts, has demonstrated prognostic value in gastrointestinal cancers. However, its role in non-small cell lung cancer (NSCLC) remains unclear. This study assessed the prognostic [...] Read more.
Background and Objectives: The prognostic immune and nutritional index (PINI), derived from serum albumin levels and absolute monocyte counts, has demonstrated prognostic value in gastrointestinal cancers. However, its role in non-small cell lung cancer (NSCLC) remains unclear. This study assessed the prognostic utility of the PINI for overall survival (OS) in patients with stage I–IIIA NSCLC undergoing curative-intent resection. Methods: This was a retrospective cohort study that included 522 patients. Cox proportional hazards models were used to evaluate the association between PINI and OS along with clinical and hematologic variables. Model performance was assessed using the concordance index (C-index), integrated area under the curve (iAUC), continuous net reclassification improvement (cNRI), integrated discrimination improvement (IDI), nomogram construction, and calibration curves. Results: In the multivariate analysis, the PINI remained an independent predictor of OS, along with age, American Society of Anesthesiologists physical status, stage, pleural invasion, and the modified Shine–Lal index. The full model (FM), incorporating all these variables, outperformed the baseline model (BM) that was based solely on stage (C-index: 0.841 vs. 0.692; iAUC: 0.804 vs. 0.663; both p < 0.001). Compared with the intermediate model (IM), which included all FM variables except the PINI, the FM demonstrated modest but statistically significant improvements (C-index: 0.841 vs. 0.820, p = 0.012; iAUC: 0.804 vs. 0.793, p = 0.001). At 3- and 5-year time points, the FM still yielded superior risk reclassification over the BM and IM, as indicated by improvements in IDI and cNRI. A nomogram based on the FM showed good calibration with the observed survival outcomes. Conclusions: The PINI is an independent and clinically meaningful prognostic biomarker in patients with stage I–IIIA NSCLC undergoing curative surgery. Incorporating the PINI into the BM or IM improved risk discrimination and reclassification, supporting its potential use in personalized prognostic assessment. However, external validation is warranted. Full article
(This article belongs to the Special Issue Insights and Advances in Cancer Biomarkers)
Show Figures

Figure 1

15 pages, 618 KB  
Article
Clinicopathological Characteristics and Oncologic Outcomes of Endometrioid Ovarian Carcinoma: A Retrospective Study from a Tertiary Cancer Centre
by Christina Pappa, Aakriti Aggarwal, Sally El Tawab, Sabina Nistor, Jennifer Thorne, Negin Sadeghi, Sanjiv Manek, Kezia Gaitskell, Sunanda Dhar, Jacopo Conforti, Federico Ferrari and Hooman Soleymani majd
Biomedicines 2025, 13(10), 2381; https://doi.org/10.3390/biomedicines13102381 - 28 Sep 2025
Viewed by 326
Abstract
Background/Objectives: To evaluate the clinicopathological features, treatment, and survival outcomes and to identify independent prognosticators for recurrence and mortality in patients with endometrioid ovarian cancer. Methods: The medical records of patients diagnosed with endometrioid ovarian carcinoma between January 2010 and December [...] Read more.
Background/Objectives: To evaluate the clinicopathological features, treatment, and survival outcomes and to identify independent prognosticators for recurrence and mortality in patients with endometrioid ovarian cancer. Methods: The medical records of patients diagnosed with endometrioid ovarian carcinoma between January 2010 and December 2022 were reviewed retrospectively. Demographic and disease-related data were evaluated. Kaplan–Meier survival analysis using log rank test and Cox regression was performed. Results: Seventy-six patients were included in the study. The median age at diagnosis was 54 years (range 31–86). A total of 85.5% of the patients were diagnosed with early-stage disease and 88.1% of the tumours represented low-grade carcinomas. Synchronous endometrioid endometrial cancer was confirmed in 19.7% of the cases. All patients underwent surgical management and 65.8% received adjuvant chemotherapy. Median follow-up time was 67.5 months. The 5-year disease-free survival and overall survival were 92.1% and 93.4%, respectively. The risk of cancer-related death was higher in advanced stages (HR = 13.86; 95% CI 2.16–57.17; p < 0.001) and in the presence of residual disease (HR = 15.18; 95% CI 2.36–87.17; p < 0.002). Residual disease and advanced stages were also identified as independent risk factors for disease relapse with HR = 16.04 (95% CI 2.61–93.7; p < 0.002) and HR = 11.73 (95% CI 1.92–41.6; p < 0.001), respectively. Conclusions: Endometrioid ovarian carcinoma usually affects younger patients with the majority of the cases representing low-grade carcinomas diagnosed at early stages. Residual disease and advanced stages are independently associated with inferior survival outcomes. There was no significance of lymph node dissection and adjuvant chemotherapy in the overall and recurrence-free survival rates. Further research focusing on molecular profiling should aim to define the prevalence and the prognostic value of major molecular alterations and develop precise stratification models to plan personalised treatment for optimal care. Full article
(This article belongs to the Special Issue New Advances in Ovarian Cancer)
Show Figures

Graphical abstract

18 pages, 1488 KB  
Article
Moderate Immune-Related Liver Injury Is a Good Factor in Patients with Hepatoma Under Atezolizumab Plus Bevacizumab
by Tai-Chi Wu, Po-Ting Lin, Wei Teng, Eric Yi-Liang Shen, Chung-Wei Su, Yi-Chung Hsieh, Wei-Ting Chen, Tsung-Han Wu, Chen-Chun Lin, Shi-Ming Lin and Chun-Yen Lin
Cancers 2025, 17(19), 3157; https://doi.org/10.3390/cancers17193157 - 28 Sep 2025
Viewed by 281
Abstract
Background: Atezolizumab plus bevacizumab is the standard first-line therapy for unresectable hepatocellular carcinoma (uHCC). Immune-related liver injury (IrLI) is common; however, the association between IrLI severity and patient outcomes remains unknown. This study aimed to investigate the prognostic value of irLI in such [...] Read more.
Background: Atezolizumab plus bevacizumab is the standard first-line therapy for unresectable hepatocellular carcinoma (uHCC). Immune-related liver injury (IrLI) is common; however, the association between IrLI severity and patient outcomes remains unknown. This study aimed to investigate the prognostic value of irLI in such patients. Methods: One hundred and sixteen patients who fulfilled the IMBrave150 inclusion criteria were enrolled. IrLI was defined as an increase in serum ALT and/or AST levels attributed to treatment and was graded according to the National Cancer Institute Common Terminology Criteria for Adverse Events v5.0. Results: A total of 61 patients (52.6%) developed any grade of irLI, with a median onset time of 1.7 months. Multivariate analysis revealed that grade II ALBI (hazard ratio [HR] = 2.003, p = 0.028) and BCLC stage C (HR = 3.876, p = 0.016) were associated with worse OS and PFS (HR = 1.327, p = 0.044 and HR = 1.790, p = 0.039, respectively), whereas grade 2 irLI was associated with better OS (HR = 0.223, p = 0.046) and PFS (HR = 0.244, p = 0.011). Patients with grade 2 irLI showed better median OS (not reached) than those without irLI (16.7 months), those with grade 1 (17.5 months), and those with grade ≥ 3 (7.3 months) (overall log-rank p = 0.037). Furthermore, patients with grade 2 irLI demonstrated significantly enhanced PFS (not reached) compared to those without irLI (5.7 months), grade 1 (4.6 months), or grade ≥ 3 (2.3 months), with an overall log-rank p = 0.010. In addition, patients with grade 2 irLI had the highest disease control rate (overall p = 0.053). Conclusion: In patients with uHCC treated with Ate/Bev, moderate elevation of liver enzymes (grade 2 irLI) was associated with significantly improved survival and tumor control. Full article
(This article belongs to the Section Cancer Immunology and Immunotherapy)
Show Figures

Figure 1

15 pages, 1002 KB  
Article
The Platelet-to-Hemoglobin Ratio as a Prognostic Marker in Patients with Diabetes Mellitus and Acute Coronary Syndrome
by Christos Kofos, Panagiotis Stachteas, Barbara Fyntanidou, Andreas S. Papazoglou, Athanasios Samaras, Athina Nasoufidou, Aikaterini Apostolopoulou, Paschalis Karakasis, Alexandra Arvanitaki, Marios G. Bantidos, Dimitrios V. Moysidis, Nikolaos Stalikas, Dimitrios Patoulias, Marios Sagris, Apostolos Tzikas, George Kassimis, Nikolaos Fragakis and Efstratios Karagiannidis
J. Clin. Med. 2025, 14(19), 6780; https://doi.org/10.3390/jcm14196780 - 25 Sep 2025
Viewed by 242
Abstract
Background: The platelet-to-hemoglobin ratio (PHR) has emerged as a potential prognostic marker in various cardiovascular contexts, but its role in acute coronary syndrome (ACS), particularly among patients with diabetes mellitus (DM), remains unclear. Methods: In this retrospective cohort study, 843 ACS patients admitted [...] Read more.
Background: The platelet-to-hemoglobin ratio (PHR) has emerged as a potential prognostic marker in various cardiovascular contexts, but its role in acute coronary syndrome (ACS), particularly among patients with diabetes mellitus (DM), remains unclear. Methods: In this retrospective cohort study, 843 ACS patients admitted to the 2nd Cardiology Department at Hippokration Hospital of Thessaloniki, Greece, between 2017 and 2023 were evaluated. PHR was calculated from admission complete blood counts. The primary endpoint was all-cause mortality during a median follow-up of 25 months. Multivariate logistic and Cox regression analyses, receiver operating characteristic (ROC) curves, Kaplan–Meier survival analyses, and restricted cubic spline (RCS) models were employed, with subgroup analyses by DM status. Results: Higher PHR was independently associated with increased mortality in the overall cohort (adjusted hazard ratio [aHR] 1.35, p < 0.001). This association showed stronger predictive value in DM patients, reflected in both a higher aHR (1.52 vs. 1.36 in non-DM patients, p < 0.001 and p = 0.018, respectively) and superior discriminative performance on ROC analysis (AUC 0.707 vs. 0.600 overall, p = 0.0006). Kaplan–Meier analysis confirmed poorer survival in high-PHR groups, especially in DM patients. RCS analysis revealed a J-shaped relationship, with risk increasing markedly beyond PHR values of 2.2. Conclusions: PHR is an independent predictor of long-term mortality in ACS, with greater prognostic significance in DM patients. Its simplicity, low cost, and availability from routine blood tests make it a promising tool for risk stratification in ACS. Full article
Show Figures

Figure 1

13 pages, 584 KB  
Article
Pan-Immune-Inflammation Value as a Predictor of Long-Term Outcomes in Patients with Urothelial Carcinoma of the Bladder: A Pilot Study
by Ali Erhan Eren, Asim Armagan Aydin, Eren Erdi Aksaray, Arda Durak, Ahmet Unlu, Mahmut Ekrem Islamoglu, Banu Ozturk and Mustafa Yildiz
Curr. Oncol. 2025, 32(10), 534; https://doi.org/10.3390/curroncol32100534 - 24 Sep 2025
Viewed by 206
Abstract
Background: Urothelial carcinoma of the bladder (UCB) demonstrates considerable heterogeneity, with markedly varying outcomes between non–muscle-invasive bladder cancer (NMIBC) and muscle-invasive bladder cancer (MIBC). The pan-immune-inflammation value (PIV), derived from routine hematological parameters, has emerged as a novel biomarker reflecting systemic inflammation and [...] Read more.
Background: Urothelial carcinoma of the bladder (UCB) demonstrates considerable heterogeneity, with markedly varying outcomes between non–muscle-invasive bladder cancer (NMIBC) and muscle-invasive bladder cancer (MIBC). The pan-immune-inflammation value (PIV), derived from routine hematological parameters, has emerged as a novel biomarker reflecting systemic inflammation and immune dysregulation. This pilot, exploratory analysis evaluated the prognostic relevance of the PIV in UCB and contextualized PIV against other inflammation-based indices. Methods: We retrospectively analyzed 119 patients with histologically confirmed UCB who were treated between 2019 and 2024. PIV was calculated as (neutrophils × platelets × monocytes) ÷ lymphocytes. Additional indices included the NLR, SII, SIRI, and PLR. Progression-free survival (PFS) and overall survival (OS) were estimated using Kaplan–Meier analysis, and prognostic factors were assessed using Cox regression. Results: Among 119 patients (median age, 72 years; 88% male), 68 were diagnosed with NMIBC and 51 with MIBC. Elevated PIV levels were significantly associated with NMIBC progression to MIBC (p = 0.028) and strongly correlated with NLR, SII, SIRI, and PLR. Patients with high PIV exhibited shorter OS (24 vs. 45 months) and PFS (20 vs. 35 months) than those with low patients (p < 0.001). Although the prognostic value was evident in the univariate analyses, PIV did not retain significance in multivariate models. Conclusion: Elevated PIV levels predict adverse survival outcomes and progression in UCB, underscoring its potential as a cost-effective and accessible biomarker for risk stratification. Prospective validation in larger cohorts is warranted to confirm its role in personalized patient management. Full article
(This article belongs to the Section Oncology Biomarkers)
Show Figures

Graphical abstract

13 pages, 1239 KB  
Article
Outcome of Metastatic Biliary Tract Cancer Harbouring IDH1 or FGFR2 Alterations: A Retrospective Observational Real-World Study from a French Cohort
by Jean-Baptiste Barbe-Richaud, Fabien Moinard-Butot, Mathieu Cotton, Cécile Bigot, Pierre Rivière, Christine Belletier, Erwan Pencreach, Dan Karouby, Pascale Chiappa, Lauriane Eberst, Jean-Emmanuel Kurtz and Meher Ben Abdelghani
J. Clin. Med. 2025, 14(19), 6759; https://doi.org/10.3390/jcm14196759 - 24 Sep 2025
Viewed by 291
Abstract
Background: Biliary tract cancer (BTC) management has undergone tremendous changes, benefiting from the identification of highly actionable molecular alterations. Among these, IDH1 mutations and FGFR2 fusions are the most common alterations detected and are classified as ESCAT tier 1 in BTC. However, [...] Read more.
Background: Biliary tract cancer (BTC) management has undergone tremendous changes, benefiting from the identification of highly actionable molecular alterations. Among these, IDH1 mutations and FGFR2 fusions are the most common alterations detected and are classified as ESCAT tier 1 in BTC. However, their prognostic value in real-world settings remains uncertain. Objective: To explore overall survival (OS) in patients harbouring locally advanced or metastatic BTC (mBTC) with IDH1 or FGFR2 alterations, compared to those with wild-type tumours. Methods: This retrospective, multicentre study included patients with mBTC treated between 2020 and 2023 across five French centres. Patients were categorized into two cohorts based on molecular profiling: those with IDH1 or FGFR2 alterations, and those with wild-type tumours (WT-mBTC). Results: 119 consecutive patients were included. 18 were classified as altered (IDH1 = 13; FGFR2 = 5). Sixty-four pts underwent no molecular testing. The median OS of the entire cohort was 11.9 months (10.3–14.3). The median OS was 24.2 months (12.3–NA) versus 10.8 months (7.9–12.9), p = 0.02, in the altered and WT-mBTC cohorts, respectively. The Cox regression model conducted depicted an HR for death of 0.46 (CI95%, 0.2–0.9) for IDH1 or FGFR2 alterations. There were no diffence in PFS for first-line. Conclusions: Our cohort suggests that IDH1 or FGFR2 alterations may be associated with prognostic differences in patients with metastatic BTC, although they do not appear to influence outcomes under first-line treatment. These findings are consistent with trends observed in clinical trials. Whether improved survival is solely attributable to targeted therapies remains questionable. In line with ESMO recommendations, systematic molecular profiling should be considered in patients with mBTC. Full article
(This article belongs to the Section Oncology)
Show Figures

Figure 1

14 pages, 1735 KB  
Article
Tumor-Infiltrating Lymphocytes Predict Extranodal Extension and Prognosis in Regionally Advanced Oral Cavity Cancer
by Mia Lorencin Bulic, Martin Jurlina, Danko Müller, Lada Lijovic, Matija Mamic and Ivica Luksic
Diagnostics 2025, 15(19), 2431; https://doi.org/10.3390/diagnostics15192431 - 24 Sep 2025
Viewed by 309
Abstract
Background/Objectives: Oral cavity squamous cell carcinoma (OCSCC) is an aggressive malignancy, often diagnosed at an advanced stage and with stagnant survival outcomes despite advances in surgical and oncologic management. Tumor-infiltrating lymphocytes (TILs) have been explored as potential prognostic markers in many solid tumors; [...] Read more.
Background/Objectives: Oral cavity squamous cell carcinoma (OCSCC) is an aggressive malignancy, often diagnosed at an advanced stage and with stagnant survival outcomes despite advances in surgical and oncologic management. Tumor-infiltrating lymphocytes (TILs) have been explored as potential prognostic markers in many solid tumors; however, their role in OCSCC remains under researched. This study aimed to assess the prognostic value of TILs in a cohort of patients with regionally advanced, p16-negative squamous cell carcinoma of all oral cavity subsites and to evaluate for any correlation of TILs and extranodal extension (ENE). Methods: A retrospective study was conducted on 103 consecutive patients treated with comprehensive surgical resection. TILs were quantified using the standardized method proposed by the International Immuno-Oncology Biomarkers Working Group. Statistical analyses evaluated associations with a comprehensive set of independent variables and survival endpoints. Results: High stromal infiltration at the invasive margin (>25%) was independently associated with significantly improved overall survival (HR 4.53, p = 0.005), disease-specific survival (HR 4.49, p = 0.008), and disease-free survival (HR 3.42, p = 0.025). Patients with ENE demonstrated lower TILs compared with ENE-negative patients (median 40% vs. 57.5%), a difference that reached statistical significance in both parametric and nonparametric testing (Welch’s t-test p = 0.032; Mann–Whitney U p = 0.030). Conclusions: TILs quantified by this standardized method are a reliable, independent prognostic biomarker in regionally advanced OCSCC of all subsites and are also associated with extranodal extension of regional metases. This study gives rationale for consideration of inclusion of TILS into future immunotherapeutic decision-making and further investigations of TIL-ENE association. Full article
(This article belongs to the Special Issue Advances in Oral Pathology of Basic and Clinical Cancer Research)
Show Figures

Figure 1

12 pages, 1133 KB  
Article
Psoas Muscle Index Predicts Perioperative Mortality in Patients Undergoing LVAD Implantation
by Steven Hopkins, Paulomi Gohel, Sakshi Gandhi, Moiz Nasir, William Stallings and Eman Hamad
Muscles 2025, 4(3), 41; https://doi.org/10.3390/muscles4030041 - 22 Sep 2025
Viewed by 389
Abstract
Background: Sarcopenia is associated with adverse surgical outcomes across multiple specialties. The psoas muscle index (PMI), a radiologic marker of sarcopenia, may offer prognostic value in patients undergoing left ventricular assist device (LVAD) implantation, a population frequently characterized by frailty and high perioperative [...] Read more.
Background: Sarcopenia is associated with adverse surgical outcomes across multiple specialties. The psoas muscle index (PMI), a radiologic marker of sarcopenia, may offer prognostic value in patients undergoing left ventricular assist device (LVAD) implantation, a population frequently characterized by frailty and high perioperative risk. Methods: We conducted a single-center retrospective study of 32 patients who underwent LVAD implantation between 2017 and 2022 and had preoperative CT imaging within 45 days. PMI was calculated from bilateral psoas muscle area at the L3 vertebral level, normalized to height. Sarcopenia was defined as the lowest sex-specific quartile of PMI. Primary outcomes were overall survival (OS), 90-day mortality, and postoperative length of stay (LOS). Results: Eight patients (25%) met criteria for sarcopenia. Sarcopenic and non-sarcopenic groups had similar demographics, comorbidities, and nutritional status. While there were no significant differences in overall, 90-day, or 1-year mortality between groups, among those who died post-implantation, the sarcopenic group had significantly shorter OS (median 38 vs. 597 days, p = 0.006). All sarcopenic deaths occurred within 90 days post-implant. LOS did not differ significantly between groups. Conclusions: PMI-defined sarcopenia was associated with early postoperative mortality among LVAD recipients, though not with overall or long-term mortality. Full article
Show Figures

Figure 1

15 pages, 2127 KB  
Article
Prognostic Significance of Peritumoral and Intratumoral Lymphatic Vessels Density in Clinically Node-Negative (cN0) Oral Squamous Cell Carcinoma: A Preliminary Report
by Boris Kos, Petar Suton, Danko Müller, Vid Mirošević, Matija Mamić and Ivica Lukšić
Medicina 2025, 61(9), 1712; https://doi.org/10.3390/medicina61091712 - 19 Sep 2025
Viewed by 371
Abstract
Background and Objectives: Oral squamous cell carcinoma (OSCC) is characterized by a high propensity for cervical lymph node metastasis, which remains a strong predictor of patient outcome. Despite advances in management, the prognosis for OSCC has not significantly improved, and the identification [...] Read more.
Background and Objectives: Oral squamous cell carcinoma (OSCC) is characterized by a high propensity for cervical lymph node metastasis, which remains a strong predictor of patient outcome. Despite advances in management, the prognosis for OSCC has not significantly improved, and the identification of reliable predictors for occult lymph node metastasis (OLNM) in clinically node-negative (cN0) patients is crucial for optimizing treatment strategies. Lymphovascular density (LVD) immunohistochemically assessed by podoplanin (D2-40) has been proposed as a potential biomarker for regional metastasis, but its prognostic value remains controversial. This study aimed to evaluate the prognostic significance of intratumoral (ILVD) and peritumoral lymphovascular density (PLVD) for OLNM in OSCC. Materials and Methods: A retrospective analysis was conducted on 43 cN0 patients with primary OSCC who underwent surgical resection and elective neck dissection (END) at a tertiary care cancer center. LVD was assessed by immunohistochemical staining for podoplanin (D2-40) in both intratumoral and peritumoral regions. Clinicopathological data were collected and statistically analyzed. Results: In observed cohort peritumoral LVD was significantly higher than intratumoral LVD. PLVD was also significantly higher in early-stage tumors (pT1/pT2) compared to advanced stages (pT3/pT4). Higher ILVD was significantly associated with the presence of OLNM. Neither ILVD nor PLVD demonstrated a statistically significant influence on overall survival, although a trend toward poorer outcomes was observed in patients with higher ILVD. Conclusions: ILVD was significantly associated with occult nodal metastasis, whereas PLVD was not. However, neither LVD parameter independently predicted overall survival. Results suggest that ILVD may serve as a useful marker for identifying cN0 OSCC patients at higher risk for occult metastasis. Full article
(This article belongs to the Special Issue Advances in Head and Neck Cancer Management)
Show Figures

Figure 1

Back to TopTop