Sign in to use this feature.

Years

Between: -

Subjects

remove_circle_outline
remove_circle_outline
remove_circle_outline
remove_circle_outline
remove_circle_outline
remove_circle_outline
remove_circle_outline
remove_circle_outline
remove_circle_outline

Journals

remove_circle_outline
remove_circle_outline
remove_circle_outline
remove_circle_outline

Article Types

Countries / Regions

remove_circle_outline
remove_circle_outline
remove_circle_outline
remove_circle_outline
remove_circle_outline

Search Results (1,392)

Search Parameters:
Keywords = switching topologies

Order results
Result details
Results per page
Select all
Export citation of selected articles as:
14 pages, 2277 KB  
Article
Field–Circuit Model of a Novel PMDC Motor with Rectangular NdFeB Permanent Magnets in Ansys Maxwell
by Paweł Strączyński, Sebastian Różowicz, Karol Suchenia, Łukasz Gruszka and Krzysztof Baran
Energies 2026, 19(3), 661; https://doi.org/10.3390/en19030661 - 27 Jan 2026
Abstract
Accurate analysis of commutation phenomena in permanent magnet DC (PMDC) motors requires simultaneous consideration of electromagnetic field distribution and armature circuit dynamics. Classical circuit-based models are unable to properly capture transient effects occurring in short-circuited coils during commutation, while purely field-based models neglect [...] Read more.
Accurate analysis of commutation phenomena in permanent magnet DC (PMDC) motors requires simultaneous consideration of electromagnetic field distribution and armature circuit dynamics. Classical circuit-based models are unable to properly capture transient effects occurring in short-circuited coils during commutation, while purely field-based models neglect the influence of the supply circuit. In this paper, a coupled field–circuit model of a PMDC motor with an innovative magnetic circuit based on rectangular NdFeB permanent magnets is presented. The model combines a two-dimensional finite element electromagnetic analysis with a segmented armature circuit and dynamic commutator switching, allowing the electromotive force to be computed individually for each coil based on the actual magnetic field distribution. The novelty of the proposed approach lies in the integration of a non-standard rectangular permanent magnet topology with a coil-resolved field–circuit commutation model, validated on a physical motor prototype. Simulation results are compared with experimental measurements obtained from a laboratory prototype at rotational speeds of 850 and 1000 r/min. The predicted electromagnetic torque shows good agreement with measurements, with deviations below 5%, while the armature current is estimated with an error of up to approximately 20%, primarily due to model simplifications. The developed model provides direct access to transient commutation waveforms and constitutes a practical tool for the analysis and design optimization of PMDC motors operating under dynamic conditions, particularly in cost-sensitive and reliability-oriented applications. Full article
13 pages, 1441 KB  
Article
Optical Intensity Discrimination with Engineered Interface States in Topological Photonic Crystals
by Bartosz Janaszek and Paweł Szczepański
Micromachines 2026, 17(2), 165; https://doi.org/10.3390/mi17020165 - 27 Jan 2026
Abstract
We propose a 1D photonic crystal with nonlinear graphene–spacer–graphene truncation, which enables a tunable, non-monotonic, and intensity-dependent transmission response. By employing synthetic geometrical space to obtain Fermi arc states, the structure is designed to support a real-space topologically protected Tamm plasmon polariton, revealing [...] Read more.
We propose a 1D photonic crystal with nonlinear graphene–spacer–graphene truncation, which enables a tunable, non-monotonic, and intensity-dependent transmission response. By employing synthetic geometrical space to obtain Fermi arc states, the structure is designed to support a real-space topologically protected Tamm plasmon polariton, revealing an intensity-dependent transmission peak within the THz spectral range. As such, the proposed thin-film structure may serve as a nonlinear DBR element that can be integrated into a laser cavity to provide intensity-selective feedback, thereby facilitating controllable pulse shaping and enabling passive pulse formation mechanisms such as mode-locking or Q-switching. Due to its topological robustness, spectral scalability, and electrical tunability via graphene biasing, the platform provides a new route toward compact, reconfigurable nonlinear reflectors for efficient and controllable laser pulse generation, thereby extending the functionality of conventional saturable absorbers and semiconductor DBRs. Full article
(This article belongs to the Special Issue Recent Advances in Nanophotonic Materials and Devices)
Show Figures

Figure 1

18 pages, 10493 KB  
Article
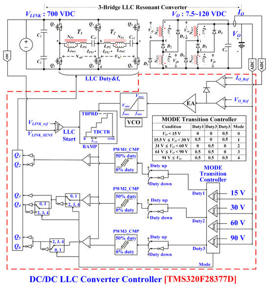
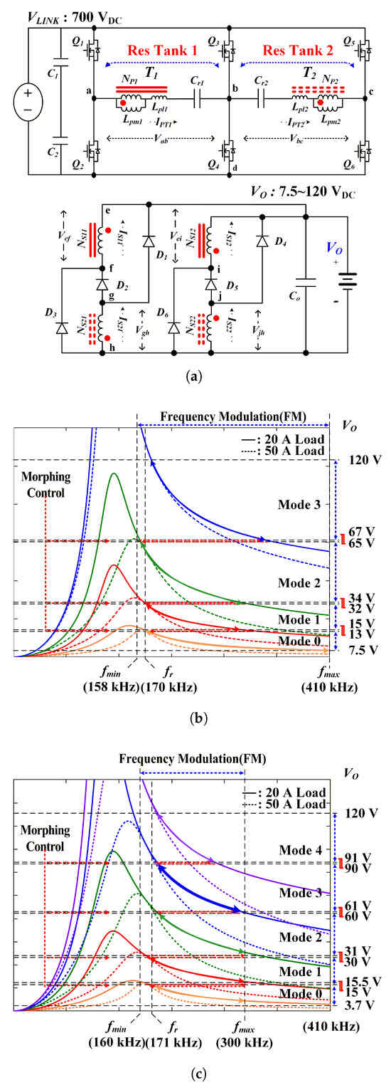
Three-Bridge LLC Resonant Converter with 5 Operation Mode Transitions for Wide Output Voltage Control
by Jin-woo Kim, Min-gyeong Kang, Sung-un Gong, Ju-seon Park, Jun-hyoung Park, Jong-seob Won and Eun-soo Kim
Energies 2026, 19(3), 590; https://doi.org/10.3390/en19030590 - 23 Jan 2026
Viewed by 86
Abstract
This paper presents a 3-Bridge LLC resonant converter featuring wide output voltage gain characteristics and a novel control method. To achieve operation within a narrower frequency control range, the proposed converter introduces one additional operational mode compared to the previously suggested 3-bridge topology. [...] Read more.
This paper presents a 3-Bridge LLC resonant converter featuring wide output voltage gain characteristics and a novel control method. To achieve operation within a narrower frequency control range, the proposed converter introduces one additional operational mode compared to the previously suggested 3-bridge topology. The converter is configured to have five distinct operation modes, controlled by the switching patterns of the main switches, to enable wide-range output voltage regulation. In each mode, frequency modulation is employed for output voltage control. Furthermore, a morphing control strategy is utilized to ensure stable output voltage regulation during mode transitions. The validity and practical applicability of the proposed 3-bridge LLC resonant converter with five operation modes are verified through experimental results from a 6 kW prototype. Full article
(This article belongs to the Special Issue Optimization of DC-DC Converters and Wireless Power Transfer Systems)
Show Figures

Figure 1

12 pages, 806 KB  
Article
Adaptive Pinning Synchronization of Switching Networks with Arbitrary Topologies
by Isaac Leonel López-García and Juan Gonzalo Barajas-Ramírez
Axioms 2026, 15(1), 78; https://doi.org/10.3390/axioms15010078 - 21 Jan 2026
Viewed by 59
Abstract
We propose a novel design approach for pinning control of a dynamical network that achieves synchronization despite switching between arbitrary topologies. Unlike existing approaches, we consider weighted, directed, and even unconnected topologies as admissible connections that can be switched instantly. We present a [...] Read more.
We propose a novel design approach for pinning control of a dynamical network that achieves synchronization despite switching between arbitrary topologies. Unlike existing approaches, we consider weighted, directed, and even unconnected topologies as admissible connections that can be switched instantly. We present a selection algorithm that uses the current topology to identify a suitable set of nodes for control. Additionally, we consider a fixed pinning strategy to activate the required controllers to achieve synchronization, with their gains computed via adaptation laws based only on the neighbors of each pinned node. We derive sufficient conditions for the emergence of a stable synchronous state using common Lyapunov function theory and illustrate their efficacy through numerical simulations of networks that can switch instantaneously between arbitrary topologies. Full article
Show Figures

Figure 1

30 pages, 5091 KB  
Article
Hierarchical Topology Knowledge Extraction for Five-Prevention Wiring Diagrams in Substations
by Hui You, Dong Yang, Tian Wu, Qing He, Wenyu Zhu, Xiang Ren and Jia Liu
Energies 2026, 19(2), 546; https://doi.org/10.3390/en19020546 - 21 Jan 2026
Viewed by 67
Abstract
Five prevention is an important technical means to prevent maloperations in substations, and knowledge extraction from wiring diagrams is the key to intelligent “five prevention logic verification”. To address the error accumulation caused by multimodal object matching in traditional methods, this paper proposes [...] Read more.
Five prevention is an important technical means to prevent maloperations in substations, and knowledge extraction from wiring diagrams is the key to intelligent “five prevention logic verification”. To address the error accumulation caused by multimodal object matching in traditional methods, this paper proposes a hierarchical recognition-based approach for topological knowledge extraction. This method establishes a multi-level recognition framework utilizing image tiling, decomposing the wiring diagram recognition task into three hierarchical levels from top to bottom: connection modes, bay types, and switching devices. A depth-first strategy is employed to establish parent–child node relationships, forming an initial topological structure. Based on the recognition results, the proposed approach performs regularized parsing and leverages a bay topology knowledge base to achieve automated matching of inter-device topological relationships. To enhance recognition accuracy, the model incorporates a Swin Transformer block to strengthen global feature perception and adds an ultra-small target detection layer to improve small-object recognition. The experimental results demonstrate that all recognition layers achieve mAP@0.5 exceeding 90%, with an overall precision of 93.9% and a recall rate of 91.7%, outperforming traditional matching algorithms and meeting the requirements for wiring diagram topology knowledge extraction. Full article
Show Figures

Figure 1

36 pages, 3358 KB  
Review
A Comprehensive Review of Reliability Analysis for Pulsed Power Supplies
by Xiaozhen Zhao, Haolin Tong, Haodong Wu, Ahmed Abu-Siada, Kui Li and Chenguo Yao
Energies 2026, 19(2), 518; https://doi.org/10.3390/en19020518 - 20 Jan 2026
Viewed by 220
Abstract
Achieving high reliability remains the critical challenge for pulsed power supplies (PPS), whose core components are susceptible to severe degradation and catastrophic failure due to long-term operation under electrical, thermal and magnetic stresses, particularly those associated with high voltage and high current. This [...] Read more.
Achieving high reliability remains the critical challenge for pulsed power supplies (PPS), whose core components are susceptible to severe degradation and catastrophic failure due to long-term operation under electrical, thermal and magnetic stresses, particularly those associated with high voltage and high current. This reliability challenge fundamentally limits the widespread deployment of PPSs in defense and industrial applications. This article provides a comprehensive and systematic review of the reliability challenges and recent technological progress concerning PPSs, focusing on three hierarchical levels: component, system integration, and extreme operating environments. The review investigates the underlying failure mechanisms, degradation characteristics, and structural optimization of key components, such as energy storage capacitors and power switches. Furthermore, it elaborates on advanced system-level techniques, including novel thermal management topologies, jitter control methods for multi-module synchronization, and electromagnetic interference (EMI) source suppression and coupling path optimization. The primary conclusion is that achieving long-term, high-frequency operation depends on multi-physics field modeling and robust, integrated design approaches at all three levels. In summary, this review outlines important research directions for future advancements and offers technical guidance to help speed up the development of next-generation PPS systems characterized by high power density, frequent repetition, and outstanding reliability. Full article
Show Figures

Figure 1

14 pages, 2483 KB  
Proceeding Paper
Fast Loss Estimation Framework for Current-Source Microinverters Using Hybrid Simulation Models
by Angel Marinov and Kaloyan Solenkov
Eng. Proc. 2026, 122(1), 23; https://doi.org/10.3390/engproc2026122023 - 19 Jan 2026
Viewed by 92
Abstract
A fast modelling framework is presented for loss estimation in current-source microinverters. The power stage is modelled with ideal switches and simplified magnetics to keep simulations lightweight, while dedicated estimators reconstruct core, conduction, and switching losses from simulated waveforms using Steinmetz-based and analytical [...] Read more.
A fast modelling framework is presented for loss estimation in current-source microinverters. The power stage is modelled with ideal switches and simplified magnetics to keep simulations lightweight, while dedicated estimators reconstruct core, conduction, and switching losses from simulated waveforms using Steinmetz-based and analytical models. The method is demonstrated on an interleaved active-clamp flyback with H-bridge unfolder but remains topology-agnostic and applicable to other current source (CS) DC/DC variants. Control includes maximum power point tracking (MPPT) with voltage-reference tracking, a PID loop, simplified grid synchronization, and peak-current regulation. Dynamic tests under irradiance and grid-voltage variations confirm stable operation and correct MPPT behaviour. A steady-state loss breakdown at 0.75 p.u. irradiance predicts ~97% overall efficiency, consistent with reported microinverter performance. The framework enables rapid design exploration and efficiency prediction without full device-level modelling, balancing accuracy and computational speed. Full article
Show Figures

Figure 1

14 pages, 2202 KB  
Article
Brushless Wound-Field Synchronous Machine Topology with Excellent Rotor Flux Regulation Freedom
by Muhammad Ayub, Arsalan Arif, Atiq Ur Rehman, Azka Nadeem, Ghulam Jawad Sirewal, Mohamed A. Abido and Mudassir Raza Siddiqi
Machines 2026, 14(1), 110; https://doi.org/10.3390/machines14010110 - 17 Jan 2026
Viewed by 254
Abstract
This paper presents a nine-switch inverter for brushless operation of wound-field synchronous machines with excellent rotor flux regulation freedom. The manufacturing cost of permanent magnet machines is high due to the instability of rare-earth magnet prices in the global market. Moreover, conventional wound-field [...] Read more.
This paper presents a nine-switch inverter for brushless operation of wound-field synchronous machines with excellent rotor flux regulation freedom. The manufacturing cost of permanent magnet machines is high due to the instability of rare-earth magnet prices in the global market. Moreover, conventional wound-field synchronous machines (WFSMs) have problems with their rotor brushes and slip-ring assembly, wherein the assembly starts to malfunction in the long run. Furthermore, recently, some brushless WFSM topologies have been investigated to eliminate the problems associated with rotor brushes and slip rings, but they have either a high cost due to a double-inverter, or low flux regulation freedom due to a single inverter (−id). The proposed nine-switch topology achieves a low cost by using a single inverter with nine switches and excellent flux control through three variables (−id, iq, and if), making it highly suitable for wide-speed applications. In the proposed topology, the machine’s armature winding is divided into two sets of coils: ABC and XYZ. A 12-slot and 8-pole machine stator is wound with armature winding coils ABC and XYZ, creating six terminals for injecting currents and two neutrals from each ABC and XYZ coil set. The current to the ABC and XYZ coils is supplied by a nine-switch inverter. The inverter is specially designed to supply rated currents to the ABC winding coils and half of the rated current to the XYZ winding coils. The number of turns of the ABC and XYZ winding coils are kept the same so they produce the same winding function. However, the current in the XYZ winding coils is half compared to that of the ABC winding coils, which creates an asymmetrical airgap magnetomotive force (MMF). The asymmetrical airgap MMF contains two working harmonics, i.e., fundamental MMF for torque production and an additional sub-harmonic MMF component for rotor field brushless excitation. The rotor field is controlled by the difference in current of the two armature winding coils: ABC and XYZ. The proposed topology is validated through theoretical analysis and finite element simulations of electromagnetic and flux regulation. A 2D finite-element analysis is performed to verify the idea. The proposed topology is capable of establishing a 9.15 A dc current in the rotor field winding coil, which consequently generates a torque of 7.8 N·m with a 20.30% torque ripple. Rotor field flux regulation was analyzed from the stator ABC and XYZ coils current ratio ζ. The ratio ζ is analyzed as 2 to 1.3; subsequently, the inducted field currents were 9.15 A dc to 4.8 A dc, respectively. Full article
(This article belongs to the Section Electrical Machines and Drives)
Show Figures

Figure 1

30 pages, 7842 KB  
Article
Advanced MPPT Strategy for PV Microinverters: A Dragonfly Algorithm Approach Integrated with Wireless Sensor Networks Under Partial Shading
by Mahir Dursun and Alper Görgün
Electronics 2026, 15(2), 413; https://doi.org/10.3390/electronics15020413 - 16 Jan 2026
Viewed by 208
Abstract
The integration of solar energy into smart grids requires high-efficiency power conversion to support grid stability. However, Partial Shading Conditions (PSCs) remain a primary obstacle by inducing multiple local maxima on P–V characteristic curves. This paper presents a hardware-aware and memory-enhanced Maximum Power [...] Read more.
The integration of solar energy into smart grids requires high-efficiency power conversion to support grid stability. However, Partial Shading Conditions (PSCs) remain a primary obstacle by inducing multiple local maxima on P–V characteristic curves. This paper presents a hardware-aware and memory-enhanced Maximum Power Point Tracking (MPPT) approach based on a modified Dragonfly Algorithm (DA) for grid-connected microinverter-based photovoltaic (PV) systems. The proposed method utilizes a quasi-switched Boost-Switched Capacitor (qSB-SC) topology, where the DA is specifically tailored by combining Lévy-flight exploration with a dynamic damping factor to suppress steady-state oscillations within the qSB-SC ripple constraints. Coupling the MPPT stage to a seven-level Packed-U-Cell (PUC) microinverter ensures that each PV module operates at its independent Global Maximum Power Point (GMPP). A ZigBee-based Wireless Sensor Network (WSN) facilitates rapid data exchange and supports ‘swarm-memory’ initialization, matching current shading patterns with historical data to seed the population near the most probable GMPP region. This integration reduces the overall response time to 0.026 s. Hardware-in-the-loop experiments validated the approach, attaining a tracking accuracy of 99.32%. Compared to current state-of-the-art benchmarks, the proposed model demonstrated a significant improvement in tracking speed, outperforming the most recent 2025 GWO implementation (0.0603 s) by approximately 56% and conventional metaheuristic variants such as GWO-Beta (0.46 s) by over 94%.These results confirmed that the modified DA-based MPPT substantially enhanced the microinverter efficiency under PSC through cross-layer parameter adaptation. Full article
Show Figures

Figure 1

25 pages, 1857 KB  
Article
Exponentially Clustered Synchronization of a Stochastic Complex Network with Reaction–Diffusion Terms and Time Delays via a Pinning Boundary Control
by Binglong Lu and Mei Liu
Mathematics 2026, 14(2), 309; https://doi.org/10.3390/math14020309 - 15 Jan 2026
Viewed by 108
Abstract
A pinning boundary control strategy that can achieve the exponentially clustered synchronization of a specific class of complex networks is developed. Firstly, the studied model captures the essential features of networks, including spatial dependence, stochastic switching, noise perturbation, and time delays. Secondly, the [...] Read more.
A pinning boundary control strategy that can achieve the exponentially clustered synchronization of a specific class of complex networks is developed. Firstly, the studied model captures the essential features of networks, including spatial dependence, stochastic switching, noise perturbation, and time delays. Secondly, the proposed control algorithm can save the implementation cost and overcome environmental constraint by acting on the boundary of a few nodes. Thirdly, an average state related to the directed topology of the nodes in the same cluster is calculated as the target network. Finally, nonlinear simulations show that the proposed controller can solve the cluster synchronization of a directed coupled reaction–diffusion neural network with Markovian switching, stochastic noise and time delay. Full article
Show Figures

Figure 1

18 pages, 2562 KB  
Article
Power Electronics for Aerospace Applications: An Experimental Validation with WBG Technologies
by Rosalina Morais, Ana Dias, Joao L. Afonso and Vitor Monteiro
Energies 2026, 19(2), 381; https://doi.org/10.3390/en19020381 - 13 Jan 2026
Viewed by 203
Abstract
Wide-bandgap (WBG) semiconductor materials such as silicon carbide (SiC) and gallium nitride (GaN) are key enablers of power-electronics converters for aerospace platforms, where high efficiency, weight reduction, and thermal robustness are critical requirements. This paper presents the main challenges associated with the use [...] Read more.
Wide-bandgap (WBG) semiconductor materials such as silicon carbide (SiC) and gallium nitride (GaN) are key enablers of power-electronics converters for aerospace platforms, where high efficiency, weight reduction, and thermal robustness are critical requirements. This paper presents the main challenges associated with the use of these technologies, including protection requirements, electromagnetic compatibility, and thermal management, as well as the material advantages that enable higher switching frequencies and lower losses compared to conventional Si technologies. A comparative analysis of semiconductor technologies and suitable power-conversion topologies for the aerospace context is provided. Representative laboratory-scale experimental validation is presented, including the development of a DC–DC boost converter and a DC–AC full-bridge inverter, which are linked through the common DC-link and are used for interfacing batteries and an electrical motor, both based on GaN and SiC diodes. The results demonstrated the correct operation, with stable high-frequency performance under controlled laboratory conditions, supporting aerospace-oriented development, although evaluated in a laboratory environment, confirming the potential of WBG technologies for future power-conversion architectures. Full article
(This article belongs to the Special Issue Power Electronics Technologies for Aerospace Applications)
Show Figures

Figure 1

24 pages, 2389 KB  
Article
Coordinated Optimization of Demand Response and Reconfiguration for Distribution Networks with Two-Stage Strategy
by Shuping Gao and Yixuan Lu
Processes 2026, 14(2), 241; https://doi.org/10.3390/pr14020241 - 9 Jan 2026
Viewed by 183
Abstract
To enhance distribution network flexibility and economy under conditions involving a high penetration of distributed energy resources, this paper proposes a two-stage optimization method considering demand response (DR). The first stage establishes a marginal cost-based DR model using a “base compensation + increasing [...] Read more.
To enhance distribution network flexibility and economy under conditions involving a high penetration of distributed energy resources, this paper proposes a two-stage optimization method considering demand response (DR). The first stage establishes a marginal cost-based DR model using a “base compensation + increasing marginal cost” mechanism to curb irrational user behaviors, reducing peak-hour power purchase costs. The second stage develops a dynamic reconfiguration model minimizing network losses, voltage deviation, and switch operation costs. Solved by an Improved Grey Wolf Optimizer (IGWO), it incorporates a segmented voltage compensation mechanism quantifying user satisfaction through differentiated coefficients. The two stages operate in a coordinated framework where “temporal load optimization” informs “spatial topology reconfiguration”. Case results demonstrate that this coordinated approach significantly reduces power purchase costs, improves voltage quality, and minimizes network losses, providing an effective solution for efficient distribution network operation. Full article
(This article belongs to the Section Energy Systems)
Show Figures

Figure 1

24 pages, 5097 KB  
Article
A Hybrid Federated Learning Framework for Enhancing Privacy and Robustness in Non-Intrusive Load Monitoring
by Jing Rong, Qiuzhan Zhou and Huinan Wu
Sensors 2026, 26(2), 443; https://doi.org/10.3390/s26020443 - 9 Jan 2026
Viewed by 170
Abstract
Non-intrusive load monitoring (NILM), as a key technology in smart-grid advanced metering infrastructure, aims to disaggregate mains power from smart meters into individual load-level power consumption. Traditional NILM methods require centralizing sensitive measurement data from users, which poses significant privacy risks. Federated learning [...] Read more.
Non-intrusive load monitoring (NILM), as a key technology in smart-grid advanced metering infrastructure, aims to disaggregate mains power from smart meters into individual load-level power consumption. Traditional NILM methods require centralizing sensitive measurement data from users, which poses significant privacy risks. Federated learning (FL) enables collaborative training without centralized measurement data, effectively preserving privacy. However, FL-based NILM systems face serious threats from attacks such as model inversion and parameter poisoning, and rely heavily on the availability of a central server, whose failure may compromise measurement robustness. This paper proposes a hybrid FL framework that dynamically switches between centralized FL (CFL) and decentralized FL (DFL) modes, enhancing measurement privacy and system robustness simultaneously. In CFL mode, layer-sensitive pruning and robust parameter aggregation methods are developed to defend against model inversion and parameter poisoning attacks; even with 30% malicious clients, the proposed defense limits the increases in key error metrics to under 15.4%. In DFL mode, a graph attention network (GAT)-based dynamic topology adapts to mitigate topology poisoning attacks, achieving an approximately 17.2% reduction in MAE after an attack and rapidly restoring model performance. Extensive evaluations using public datasets demonstrate that the proposed framework significantly enhances the robustness of smart-grid measurements and effectively safeguards measurement privacy. Full article
(This article belongs to the Section Intelligent Sensors)
Show Figures

Graphical abstract

40 pages, 3330 KB  
Review
EMC-Friendly Gate Driver Design in GaN-Based DC-DC Converters for Automotive Electronics: A Review
by Xinyu Wu, Li Zhang, Haitao You, Shizeng Zhang, Dimitar Nikolov and Qiang Cui
Electronics 2026, 15(2), 283; https://doi.org/10.3390/electronics15020283 - 8 Jan 2026
Viewed by 354
Abstract
The imperative for EMC-optimized gate drivers in Gallium Nitride (GaN)-based automotive DC-DC converters stems from the stringent CISPR 25 standards and GaN’s intrinsic high-speed switching characteristics, which paradoxically exacerbate electromagnetic interference (EMI). This review distinguishes itself by proposing a novel frequency-domain classification framework [...] Read more.
The imperative for EMC-optimized gate drivers in Gallium Nitride (GaN)-based automotive DC-DC converters stems from the stringent CISPR 25 standards and GaN’s intrinsic high-speed switching characteristics, which paradoxically exacerbate electromagnetic interference (EMI). This review distinguishes itself by proposing a novel frequency-domain classification framework (Zone I: <50 MHz for conducted harmonics; Zone II: >50 MHz for switching noise and ringing), which systematically organizes and assesses gate driving techniques against the triad of fundamental GaN EMC challenges: pronounced capacitance nonlinearity, low threshold voltage, and extreme parasitic sensitivity. Unlike prior surveys that primarily catalog techniques, the analysis elevates the gate driver from a simple switch interface to the central “electromagnetic actuator” of the power stage, explicitly elucidating its pivotal role in mediating the critical trade-offs among switching speed, loss, and EMC performance. A comprehensive evaluation and comparison of advanced techniques—from spread-spectrum modulation for Zone I to adaptive current shaping and resonant topologies for Zone II—are provided, alongside an analysis of their design trade-offs. Furthermore, this review presents a first-of-its-kind, phased implementation roadmap towards holistic EMC compliance, integrating intelligent hybrid control, heterogeneous integration, and system-level co-design. This review bridges the gap between device physics and system engineering, offering structured design methodologies and a clear future direction for achieving electromagnetic integrity in next-generation automotive power electronics. Full article
Show Figures

Figure 1

24 pages, 3786 KB  
Article
Research on Neural Network Global Optimization of Hybrid Full-Bridge Push-Pull Topology Based on Genetic Algorithm
by Mingyang Xia, Guiping Du and Tiansheng Zhu
Appl. Sci. 2026, 16(2), 596; https://doi.org/10.3390/app16020596 - 7 Jan 2026
Viewed by 187
Abstract
The traditional control strategies for bidirectional power supply full-bridge push-pull DC-DC topologies still face limitations in efficiency, dynamic response, and output stability. To address this, this paper proposes an integrated modulation strategy combining neural network optimization and closed-loop control, which adjusts the phase-shift [...] Read more.
The traditional control strategies for bidirectional power supply full-bridge push-pull DC-DC topologies still face limitations in efficiency, dynamic response, and output stability. To address this, this paper proposes an integrated modulation strategy combining neural network optimization and closed-loop control, which adjusts the phase-shift angle and switching timing through online learning to significantly improve dynamic and steady-state performance. Simulations show that the current peak value was reduced from 16A to 15.2A, the output voltage ripple was significantly suppressed from 90% to 30%, and the system efficiency, calculated through multiple iterations, gradually increased. This paper first analyzes the problems of traditional control strategies, then presents a new control framework, modeling, and simulation. Finally, simulation verification was performed under typical operating conditions. The results show that this strategy is suitable for high-efficiency energy storage systems. Full article
Show Figures

Figure 1

Back to TopTop