Sign in to use this feature.

Years

Between: -

Subjects

remove_circle_outline
remove_circle_outline
remove_circle_outline
remove_circle_outline
remove_circle_outline
remove_circle_outline
remove_circle_outline
remove_circle_outline
remove_circle_outline

Journals

remove_circle_outline
remove_circle_outline
remove_circle_outline
remove_circle_outline
remove_circle_outline
remove_circle_outline
remove_circle_outline
remove_circle_outline
remove_circle_outline
remove_circle_outline
remove_circle_outline
remove_circle_outline
remove_circle_outline
remove_circle_outline
remove_circle_outline
remove_circle_outline
remove_circle_outline
remove_circle_outline

Article Types

Countries / Regions

remove_circle_outline
remove_circle_outline
remove_circle_outline
remove_circle_outline
remove_circle_outline
remove_circle_outline
remove_circle_outline
remove_circle_outline

Search Results (3,154)

Search Parameters:
Keywords = surface water resources

Order results
Result details
Results per page
Select all
Export citation of selected articles as:
20 pages, 1908 KB  
Article
Research on Real-Time Rainfall Intensity Monitoring Methods Based on Deep Learning and Audio Signals in the Semi-Arid Region of Northwest China
by Yishu Wang, Hongtao Jiang, Guangtong Liu, Qiangqiang Chen and Mengping Ni
Atmosphere 2026, 17(2), 131; https://doi.org/10.3390/atmos17020131 - 26 Jan 2026
Abstract
With the increasing frequency extreme weather events associated with climate change, real-time monitoring of rainfall intensity is critical for water resource management, disaster warning, and other applications. Traditional methods, such as ground-based rain gauges, radar, and satellites, face challenges like high costs, low [...] Read more.
With the increasing frequency extreme weather events associated with climate change, real-time monitoring of rainfall intensity is critical for water resource management, disaster warning, and other applications. Traditional methods, such as ground-based rain gauges, radar, and satellites, face challenges like high costs, low resolution, and monitoring gaps. This study proposes a novel real-time rainfall intensity monitoring method based on deep learning and audio signal processing, using acoustic features from rainfall to predict intensity. Conducted in the semi-arid region of Northwest China, the study employed a custom-designed sound collection device to capture acoustic signals from raindrop-surface interactions. The method, combining multi-feature extraction and regression modeling, accurately predicted rainfall intensity. Experimental results revealed a strong linear relationship between sound pressure and rainfall intensity (r = 0.916, R2 = 0.838), with clear nonlinear enhancement of acoustic energy during heavy rainfall. Compared to traditional methods like CML and radio link techniques, the acoustic approach offers advantages in cost, high-density deployment, and adaptability to complex terrain. Despite some limitations, including regional and seasonal biases, the study lays the foundation for future improvements, such as expanding sample coverage, optimizing sensor design, and incorporating multi-source data. This method holds significant potential for applications in urban drainage, agricultural irrigation, and disaster early warning. Full article
Show Figures

Figure 1

28 pages, 2082 KB  
Article
Detecting the Impacts of Climate and Hydrological Changes on the Lower Mekong River Based on Water Quality Variables: A Case Study of an An Giang, Vietnam
by Nguyen Xuan Lan, Pham Thi My Lan, Tran Van Ty, Nguyen Thanh Giao and Huynh Vuong Thu Minh
Earth 2026, 7(1), 16; https://doi.org/10.3390/earth7010016 - 26 Jan 2026
Abstract
This study evaluates the spatiotemporal variations in surface water quality in An Giang province, a key upstream region of the Vietnamese Mekong Delta (VMD), under the influence of hydrological alterations and climate change impacts. Water quality data from 2010 to 2023 were collected [...] Read more.
This study evaluates the spatiotemporal variations in surface water quality in An Giang province, a key upstream region of the Vietnamese Mekong Delta (VMD), under the influence of hydrological alterations and climate change impacts. Water quality data from 2010 to 2023 were collected from 10 monitoring stations along the Tien and Hau Rivers, focusing on key parameters including pH, temperature, Dissolved Oxygen (DO), Total Suspended Solids (TSS), Biological Oxygen Demand (BOD), Chemical Oxygen Demand (COD), Ammonium (N-NH4+), Nitrate (NO3), orthophosphate (P-PO43−), and Coliforms. The Mann–Kendall test and Sen’s slope estimator were employed to detect long-term trends and quantify the magnitude of changes. The findings indicated that the Hau River exhibits significant organic pollution, evidenced by elevated levels of BOD and COD, alongside diminished levels of DO. The Tien River exhibits elevated concentrations of NH4+ and total suspended solids (TSS). The MK test indicated that BOD, COD, and NH4+ levels were increasing at most locations in a statistically significant manner. This indicates that the water quality deteriorated over time. The study revealed that the majority of pollutants exhibited statistically significant increasing trends (p ≤ 0.05). The Tien River’s COD is increasing by 1.6 mg/L annually, whereas the Hau River’s COD is escalating by 1.7 mg/L per year. The biochemical oxygen demand on both rivers is increasing by 0.5 mg/L each year. The diminishing quantities of dissolved oxygen indicated a decline in water quality. Pollutant concentrations demonstrated significant positive associations with maximum temperature (r = 0.47–0.64) and hours of sunshine (r ≈ 0.50–0.64). A significant negative correlation with river discharge was observed, particularly during the dry season (r = −0.79 to −0.88), when diminished flows resulted in elevated pollution concentrations. The findings offer measurable evidence that increasing temperatures and decreasing river flows significantly affect water quality, underscoring the necessity of adapting water resource management in the Mekong Delta. Full article
Show Figures

Figure 1

18 pages, 7389 KB  
Article
Enhanced Deep Convolutional Neural Network-Based Multiscale Object Detection Framework for Efficient Water Resource Monitoring Using Remote Sensing Imagery
by Sultan Almutairi, Mashael Maashi, Hadeel Alsolai, Mohammed Burhanur Rehman, Hanadi Alkhudhayr and Asma A. Alhashmi
Remote Sens. 2026, 18(3), 404; https://doi.org/10.3390/rs18030404 - 25 Jan 2026
Abstract
Water resource monitoring can provide beneficial information supporting water management; however, present operational systems are small and provide only a subset of the information needed. Primary advancements consist of the clear explanation of water redistribution and water use from groundwater and river schemes, [...] Read more.
Water resource monitoring can provide beneficial information supporting water management; however, present operational systems are small and provide only a subset of the information needed. Primary advancements consist of the clear explanation of water redistribution and water use from groundwater and river schemes, achieving better spatial detail and increased precision as evaluated against hydrometric observation. In such cases, Earth Observation (EO) satellite systems are persistently creating extensive data, which is now essential for applications in different fields. With readily available open-source satellite imagery, aerial remote sensing is progressively becoming a quick and efficient tool for monitoring land and water resource development actions, demonstrating time and cost savings. At present, the deep learning (DL) model will be beneficial for monitoring water resources and EO utilizing remote sensing. In this paper, a Deep Neural Network-Based Object Detection for Water Resource Monitoring and Earth Observation (DNNOD-WRMEO) model is introduced. The main intention is to develop an effective monitoring and analysis framework for water resources and Earth surface observations using aerial remote sensing images. Initially, the Wiener filter (WF) model was used for image pre-processing. For object detection, the Yolov12 method was used for identifying, locating, and classifying objects within an image, followed by the DNNOD-WRMEO methodology, which implements the ResNet-CapsNet model for the backbone feature extraction method. Finally, the temporal convolutional network (TCN) model was implemented for the classification of water resources. The comparison analysis of the DNNOD-WRMEO methodology exhibited a superior accuracy value of 98.61% compared with existing models under the AIWR dataset. Full article
(This article belongs to the Special Issue Remote Sensing in Natural Resource and Water Environment II)
Show Figures

Figure 1

24 pages, 6240 KB  
Article
Stable Isotope Analysis of Precipitation—Karst Groundwater System (Mt. Učka, Croatia)
by Diana Mance, Maja Radišić, Maja Oštrić, Davor Mance, Alenka Turković-Juričić, Ema Toplonjak and Josip Rubinić
Water 2026, 18(3), 308; https://doi.org/10.3390/w18030308 - 25 Jan 2026
Abstract
Karst aquifers provide critical water resources in the Mediterranean region, yet climate change threatens their sustainability. This study integrates stable isotope analysis (δ2H, δ18O), hydrochemistry, and hydrological time series to characterize precipitation–groundwater dynamics in the Mt. Učka karst system [...] Read more.
Karst aquifers provide critical water resources in the Mediterranean region, yet climate change threatens their sustainability. This study integrates stable isotope analysis (δ2H, δ18O), hydrochemistry, and hydrological time series to characterize precipitation–groundwater dynamics in the Mt. Učka karst system (Croatia). Precipitation samples collected across an altitudinal gradient of approximately 1400 m and groundwater from three major groundwater sources were analyzed over a 2.5-year period. Precipitation exhibits pronounced isotopic variability with d-excess values indicating mixed Atlantic–Mediterranean moisture sources. Groundwater is primarily recharged by precipitation from the cold part of the hydrological year. It exhibits substantial attenuation of isotopic signals, which indicates extensive mixing processes but prevents quantitative estimation of mean residence time. Groundwater is predominantly recharged from elevations above 900 m a.s.l., with one spring showing evidence of higher-elevation recharge. Analysis confirms the system’s dual porosity: a rapid, conduit-dominated response indicates high vulnerability to surface contamination, while a sustained, matrix-dominated response provides greater buffering capacity. These findings highlight the vulnerability of karst systems to projected reductions in autumn precipitation, the critical recharge season, and demonstrate the necessity of multi-tracer approaches for comprehensive aquifer characterization. Full article
23 pages, 5269 KB  
Article
Sustainable Functionalization of Natural Fibers Using Biochar: Structural and Evaporation Studies
by Juan José Quiroz Ramírez, Reinier Abreu-Naranjo, Oscar M. Rodriguez-Narvaez, Sergio Alonso Romero and Alejandro Suarez Toriello
Processes 2026, 14(3), 415; https://doi.org/10.3390/pr14030415 - 24 Jan 2026
Viewed by 55
Abstract
The sustainable valorization of lignocellulosic biomass offers a promising route for developing low-cost photothermal materials for solar water purification. This study investigates natural fibers from Opuntia ficus-indica, Agave sisalana, and cellulose sponge, which were chemically purified through alkaline–peroxide pretreatment and subsequently functionalized with [...] Read more.
The sustainable valorization of lignocellulosic biomass offers a promising route for developing low-cost photothermal materials for solar water purification. This study investigates natural fibers from Opuntia ficus-indica, Agave sisalana, and cellulose sponge, which were chemically purified through alkaline–peroxide pretreatment and subsequently functionalized with biochar via immersion and crosslinking-assisted deposition. Structural analyses (SEM, FTIR, XRD, CHNS/O) confirmed the transition from heterogeneous lignocellulosic matrices to cellulose-rich scaffolds and finally to hierarchical composites in which crystalline cellulose cores are coated with amorphous carbon structures containing aromatic domains typically formed during biomass carbonization. The NaOH/urea/citric acid crosslinking system significantly improved biochar adhesion, producing uniform and mechanically stable photothermal layers. Under 500 W m−2 illumination, the biochar-modified fibers exhibited rapid thermal response and enhanced surface heating, resulting in increased water evaporation rates, with cellulose sponge achieving the highest performance (1.12–1.25 kg m−2 h−1). Water-quality analysis of the condensate showed >97% TDS removal, complete rejection of hardness, fluoride, nitrates, arsenic, and barium, and turbidity <0.2 NTU, meeting NOM-127-SSA1-2021 standards. Overall, the findings demonstrate that biochar-functionalized natural fibers constitute a scalable, environmentally benign strategy for efficient solar-driven purification, supporting their potential for sustainable clean-water technologies in resource-limited settings. Full article
(This article belongs to the Special Issue Advances in Biochar and Biobased Carbonaceous Materials)
Show Figures

Figure 1

32 pages, 8592 KB  
Review
Research Progress and the Prospect of Artificial Reef Preparation and Its Impact on the Marine Ecological Environment
by Hao-Tian Li, Ya-Jun Wang, Jian-Bao Zhang, Peng Yu, Yi-Tong Wang, Jun-Guo Li, Shu-Hao Zhang, Zi-Han Tang and Jie Yang
Materials 2026, 19(3), 447; https://doi.org/10.3390/ma19030447 - 23 Jan 2026
Viewed by 70
Abstract
Artificial reefs are an important tool for marine ecological restoration and fishery resource proliferation, and are widely used around the world. Among them, Japan, the United States, China, South Korea, Australia, and the Mediterranean coastal countries have particularly invested in scientific research and [...] Read more.
Artificial reefs are an important tool for marine ecological restoration and fishery resource proliferation, and are widely used around the world. Among them, Japan, the United States, China, South Korea, Australia, and the Mediterranean coastal countries have particularly invested in scientific research and practice in this field, and the reefs’ material selection, structural performance, and ecological benefits have attracted much attention. The purpose of this paper is to summarize the preparation methods, characterization methods (such as microstructure analysis and mechanical tests) and mechanical properties (such as compressive strength and durability) of new concrete materials (steel slag-blast furnace slag concrete, oyster shell concrete, sulfoaluminate cement concrete, recycled brick concrete, silica fume concrete, and banana peel filler concrete) that artificial reefs and ceramic artificial reefs developed in recent years, and to explore the resource utilization potential of different waste materials. At the same time, the biostatistical methods (such as species abundance and community diversity) of wood, shipwreck, steel, rock, waste tire, and ordinary concrete artificial reefs and their effects on the marine environment were compared and analyzed. In addition, the potential impact of artificial reef deployment on local fishermen’s income was also assessed. It is found that the use of steel slag, blast furnace slag, sulfoaluminate cement, and silica fume instead of traditional Portland cement can better improve the mechanical properties of concrete artificial reefs (compressive strength can be increased by up to 20%) and reduce the surface pH to neutral, which is more conducive to the adhesion and growth of marine organisms. The compressive strength of oyster shell concrete and banana peel filler concrete artificial reef is not as good as that of traditional Portland cement concrete artificial reef, but it still avoids the waste of a large amount of solid waste resources, provides necessary nutritional support for aquatic organisms, and also improves its chemical erosion resistance. The deployment of artificial reefs of timber, wrecks, steel, rock, waste tires, and ordinary concrete has significantly increased the species richness and biomass in the adjacent waters and effectively promoted the development of fisheries. Cases show that artificial reefs can significantly increase fishermen’s income (such as an increase of about EUR 13 in the value of a unit effort in a certain area), but the long-term benefits depend on effective supervision and community co-management mechanisms. This paper provides a scientific basis for the research and development of artificial reef materials and the optimization of ecological benefits, and promotes the sustainable development of marine ecological restoration technology and fishery economy. Full article
(This article belongs to the Section Green Materials)
Show Figures

Graphical abstract

22 pages, 11123 KB  
Article
Compilation of a Nationwide River Image Dataset for Identifying River Channels and River Rapids via Deep Learning
by Nicholas Brimhall, Kelvyn K. Bladen, Thomas Kerby, Carl J. Legleiter, Cameron Swapp, Hannah Fluckiger, Julie Bahr, Makenna Roberts, Kaden Hart, Christina L. Stegman, Brennan L. Bean and Kevin R. Moon
Remote Sens. 2026, 18(2), 375; https://doi.org/10.3390/rs18020375 - 22 Jan 2026
Viewed by 52
Abstract
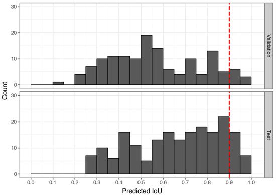
Remote sensing enables large-scale, image-based assessments of river dynamics, offering new opportunities for hydrological monitoring. We present a publicly available dataset consisting of 281,024 satellite and aerial images of U.S. rivers, constructed using an Application Programming Interface (API) and the U.S. Geological Survey’s [...] Read more.
Remote sensing enables large-scale, image-based assessments of river dynamics, offering new opportunities for hydrological monitoring. We present a publicly available dataset consisting of 281,024 satellite and aerial images of U.S. rivers, constructed using an Application Programming Interface (API) and the U.S. Geological Survey’s National Hydrography Dataset. The dataset includes images, primary keys, and ancillary geospatial information. We use a manually labeled subset of the images to train models for detecting rapids, defined as areas where high velocity and turbulence lead to a wavy, rough, or even broken water surface visible in the imagery. To demonstrate the utility of this dataset, we develop an image segmentation model to identify rivers within images. This model achieved a mean test intersection-over-union (IoU) of 0.57, with performance rising to an actual IoU of 0.89 on the subset of predictions with high confidence (predicted IoU > 0.9). Following this initial segmentation of river channels within the images, we trained several convolutional neural network (CNN) architectures to classify the presence or absence of rapids. Our selected model reached an accuracy and F1 score of 0.93, indicating strong performance for the classification of rapids that could support consistent, efficient inventory and monitoring of rapids. These data provide new resources for recreation planning, habitat assessment, and discharge estimation. Overall, the dataset and tools offer a foundation for scalable, automated identification of geomorphic features to support riverine science and resource management. Full article
(This article belongs to the Section Environmental Remote Sensing)
Show Figures

Graphical abstract

18 pages, 2765 KB  
Article
Modeling Water and Salt Dynamics by HYDRUS 2D/3D Under Drip- and Surface-Irrigated Carrot in Arid Regions
by Warda Tlig, Dario Autovino, Fathia El Mokh, Kamel Nagaz and Massimo Iovino
Land 2026, 15(1), 197; https://doi.org/10.3390/land15010197 - 21 Jan 2026
Viewed by 75
Abstract
Understanding the distribution of water and salt in the crop’s root zone and predicting future soil degradation requires specific monitoring to establish guidelines for irrigation management and system performance. Two field experiments were conducted in the arid region of Southern Tunisia to assess [...] Read more.
Understanding the distribution of water and salt in the crop’s root zone and predicting future soil degradation requires specific monitoring to establish guidelines for irrigation management and system performance. Two field experiments were conducted in the arid region of Southern Tunisia to assess soil water and salt dynamics under surface- and drip-irrigated carrots using HYDRUS 2D/3D simulations in the 2017–2018 and 2018–2019 crop seasons. The soil water contents and bulk soil electrical conductivities were measured at three distinct soil layers: 0–20 cm, 20–40 cm, and 40–60 cm, where TDR probes were located. Statistical indicators (nRMSE, IA, and PBIAS) suggest that HYDRUS 2D/3D is reliable in simulating field hydro-saline dynamics for irrigated carrots. The results obtained for the two crop seasons exhibit a strong correlation between the simulated and measured values for both soil water contents and electrical conductivities. The study also shows that HYDRUS 2D/3D allows more accurate simulations of soil water dynamics than soil salinity under these conditions. Overall, these results provide valuable insights for understanding the hydrological processes in arid regions and can help in improving the management of water resources in these areas. Full article
Show Figures

Figure 1

21 pages, 10379 KB  
Article
Spatial Optimization of Urban-Scale Sponge Structures and Functional Areas Using an Integrated Framework Based on a Hydrodynamic Model and GIS Technique
by Mengxiao Jin, Quanyi Zheng, Yu Shao, Yong Tian, Jiang Yu and Ying Zhang
Water 2026, 18(2), 262; https://doi.org/10.3390/w18020262 - 19 Jan 2026
Viewed by 148
Abstract
Rapid urbanization has exacerbated urban-stormwater challenges, highlighting the critical need for coordinated surface-water and groundwater management through rainfall recharge. However, current sponge city construction methods often overlook the crucial role of underground aquifers in regulating the water cycle and mostly rely on simplified [...] Read more.
Rapid urbanization has exacerbated urban-stormwater challenges, highlighting the critical need for coordinated surface-water and groundwater management through rainfall recharge. However, current sponge city construction methods often overlook the crucial role of underground aquifers in regulating the water cycle and mostly rely on simplified engineering approaches. To address these limitations, this study proposes a spatial optimization framework for urban-scale sponge systems that integrates a hydrodynamic model (FVCOM), geographic information systems (GIS), and Monte Carlo simulations. This framework establishes a comprehensive evaluation system that synergistically integrates surface water inundation depth, geological lithology, and groundwater depth to quantitatively assess sponge city suitability. The FVCOM was employed to simulate surface water inundation processes under extreme rainfall scenarios, while GIS facilitated spatial analysis and data integration. The Monte Carlo simulation was utilized to optimize the spatial layout by objectively determining factor weights and evaluate result uncertainty. Using Shenzhen City in China as a case study, this research combined the “matrix-corridor-patch” theory from landscape ecology to optimize the spatial structure of the sponge system. Furthermore, differentiated planning and management strategies were proposed based on regional characteristics and uncertainty analysis. The research findings provide a replicable and verifiable methodology for developing sponge city systems in high-density urban areas. The core value of this methodology lies in its creation of a scientific decision-making tool for direct application in urban planning. This tool can significantly enhance a city’s climate resilience and facilitate the coordinated, optimal management of water resources amid environmental changes. Full article
(This article belongs to the Special Issue "Watershed–Urban" Flooding and Waterlogging Disasters)
Show Figures

Figure 1

23 pages, 31418 KB  
Article
Post-Wildfire Hydrogeochemical Stability in a Mountain Region (Serra Da Estrela, Portugal)
by Vítor Martins, Catarina Mansilha, Armindo Melo, Joana Ribeiro and Jorge Espinha Marques
Fire 2026, 9(1), 42; https://doi.org/10.3390/fire9010042 - 19 Jan 2026
Viewed by 320
Abstract
Water from mountain regions is a crucial natural resource because of its major economic, social, and environmental significance. Wildfires may disrupt the normal functioning of the hydrological cycle, limiting water resources for nearby areas and degrading water quality in mountainous regions as contaminants [...] Read more.
Water from mountain regions is a crucial natural resource because of its major economic, social, and environmental significance. Wildfires may disrupt the normal functioning of the hydrological cycle, limiting water resources for nearby areas and degrading water quality in mountainous regions as contaminants enter water systems from the burning of vegetation and soil. In August 2022, the Serra da Estrela mountain, situated in the Mediterranean biogeographical region, was affected by a large wildfire that consumed 270 km2 of the Serra da Estrela Natural Park, often resulting in severe vegetation burn, although the soil burn severity was low to moderate in most of the area. The research objective is to assess the impact of this wildfire on the hydrogeochemistry of groundwater and surface water in the Manteigas-Covão da Ametade sector of Serra da Estrela in the context of a wildfire with limited soil burn severity. Groundwater and surface water samples were collected from October 2022 to September 2023 and were analyzed for pH, Total Organic Carbon, electrical conductivity, major ions, potentially toxic elements, iron (Fe), and Polycyclic Aromatic Hydrocarbons. A stormy event in mid-September 2022, occurring before the first sampling campaign, removed most of the ash layer and likely caused transient hydrogeochemical changes in streams. However, the analytical results from the sampled waters revealed that the post-wildfire hydrogeochemical effects are not evident. In fact, the hydrogeochemical changes observed in groundwater and surface water appear to be primarily influenced by the regular hydrological behaviour of aquifers and streams. The low to moderate soil burn severity, the high soil hydrophobicity, and the temporal distribution of precipitation explain why the hydrogeochemistry was primarily influenced by groundwater flow paths, the types and weathering of local lithologies, soil types, dilution effects following wet periods, and seasonal changes in the tributaries feeding into streams, rather than by post-wildfire effects. These outcomes provide valuable insights for water resource management and for developing strategies to mitigate wildfire impacts in mountainous environments. Full article
Show Figures

Graphical abstract

21 pages, 9799 KB  
Article
Impacts of Extreme Storms in Surface Water Resources, Systems, and Infrastructure—Evidence from Storm Daniel (2023) in Greece
by Michalis Diakakis, Petros Andriopoulos, Andromachi Sarantopoulou, Ioannis Kapris, Christos Filis, Aliki Konsolaki, Emmanuel Vassilakis and Panagiotis Nastos
GeoHazards 2026, 7(1), 14; https://doi.org/10.3390/geohazards7010014 - 19 Jan 2026
Viewed by 118
Abstract
As the frequency and severity of extreme weather events may increase due to climate change, understanding their impacts on water systems, resources, and infrastructure becomes very important. This study contributes to the growing body of knowledge on how extreme storms and floods disrupt [...] Read more.
As the frequency and severity of extreme weather events may increase due to climate change, understanding their impacts on water systems, resources, and infrastructure becomes very important. This study contributes to the growing body of knowledge on how extreme storms and floods disrupt interrelated elements comprising water systems by examining the case of Storm Daniel, which struck the Thessaly region of Greece in September 2023. Using a multi-source approach, including field data, institutional reports, scientific assessments, and publications, the study systematically identifies and categorizes the impacts of the storm and the ensuing flood across surface waters, drinking water supply, and wastewater infrastructure and other water-related systems through various mechanisms. The findings provide an overview of how such extreme storms may affect such systems and reveal widespread, interconnected disruptions that highlight systemic vulnerabilities in both natural and engineered systems, synthesizing these impact pathways. The study presents evidence of poor resilience against extreme events and climate change hazards in water-related infrastructure. Full article
Show Figures

Figure 1

23 pages, 4062 KB  
Review
Nanoscale Microstructure and Microbially Mediated Mineralization Mechanisms of Deep-Sea Cobalt-Rich Crusts
by Kehui Zhang, Xuelian You, Chao Li, Haojia Wang, Jingwei Wu, Yuan Dang, Qing Guan and Xiaowei Huang
Minerals 2026, 16(1), 91; https://doi.org/10.3390/min16010091 - 17 Jan 2026
Viewed by 156
Abstract
As a potential strategic resource of critical metals, deep-sea cobalt-rich crusts represent one of the most promising metal reservoirs within oceanic seamount systems, and their metallogenic mechanism constitutes a frontier topic in deep-sea geoscience research. This review focuses on the cobalt-rich crusts from [...] Read more.
As a potential strategic resource of critical metals, deep-sea cobalt-rich crusts represent one of the most promising metal reservoirs within oceanic seamount systems, and their metallogenic mechanism constitutes a frontier topic in deep-sea geoscience research. This review focuses on the cobalt-rich crusts from the Magellan Seamount region in the northwestern Pacific and synthesizes existing geological, mineralogical, and geochemical studies to systematically elucidate their mineralization processes and metal enrichment mechanisms from a microstructural perspective, with particular emphasis on cobalt enrichment and its controlling factors. Based on published observations and experimental evidence, the formation of cobalt-rich crusts is divided into three stages: (1) Mn/Fe colloid formation—At the chemical interface between oxygen-rich bottom water and the oxygen minimum zone (OMZ), Mn2+ and Fe2+ are oxidized to form hydrated oxide colloids such as δ-MnO2 and Fe(OH)3. (2) Key metal adsorption—Colloidal particles adsorb metal ions such as Co2+, Ni2+, and Cu2+ through surface complexation and oxidation–substitution reactions, among which Co2+ is further oxidized to Co3+ and stably incorporated into MnO6 octahedral vacancies. (3) Colloid deposition and mineralization—Mn–Fe colloids aggregate, dehydrate, and cement on the exposed seamount bedrock surface to form layered cobalt-rich crusts. This process is dominated by the Fe/Mn redox cycle, representing a continuous evolution from colloidal reactions to solid-phase mineral formation. Biological processes play a crucial catalytic role in the microstructural evolution of the crusts. Mn-oxidizing bacteria and extracellular polymeric substances (EPS) accelerate Mn oxidation, regulate mineral-oriented growth, and enhance particle cementation, thereby significantly improving the oxidation and adsorption efficiency of metal ions. Tectonic and paleoceanographic evolution, seamount topography, and the circulation of Antarctic Bottom Water jointly control the metallogenic environment and metal sources, while crystal defects, redox gradients, and biological activity collectively drive metal enrichment. This review establishes a conceptual framework of a multi-level metallogenic model linking macroscopic oceanic circulation and geological evolution with microscopic chemical and biological processes, providing a theoretical basis for the exploration, prediction, and sustainable development of potential cobalt-rich crust deposits. Full article
(This article belongs to the Special Issue Geochemistry and Mineralogy of Polymetallic Deep-Sea Deposits)
Show Figures

Figure 1

12 pages, 3500 KB  
Article
Hydrogeochemical Characteristics and Formation Mechanism of Metasilicic Acid Mineral Water at Taoping Water Source Area
by Dian Liu, Ximin Bai, Xuegang Wang, Shengpin Yu, Tian Li and Fei Deng
Water 2026, 18(2), 249; https://doi.org/10.3390/w18020249 - 17 Jan 2026
Viewed by 177
Abstract
Northwestern Jiangxi Province is rich in metasilicic acid (as H2SiO3) mineral water resources. Investigating their hydrogeochemical characteristics and formation mechanism is crucial for the rational utilization of water resources and the sustainable development of the local mineral water industry. [...] Read more.
Northwestern Jiangxi Province is rich in metasilicic acid (as H2SiO3) mineral water resources. Investigating their hydrogeochemical characteristics and formation mechanism is crucial for the rational utilization of water resources and the sustainable development of the local mineral water industry. Taking the Taoping water source area in northwestern Jiangxi as a case study, 11 sets of groundwater and surface water samples were systematically collected. By comprehensively applying mathematical statistics, ionic ratios, and isotopic analyses, the hydrogeochemical characteristics and formation processes of metasilicic acid-type mineral water were examined. The results indicate that: (1) The mineral waters in the area are weakly alkaline and belong to the metasilicic acid type, with concentrations ranging from 22.0 to 67.0 mg/L, of which 75% exceed 30 mg/L. (2) The primary hydrochemical types are HCO3–Ca·Na, HCO3–Ca·Mg, and HCO3–Ca. Analysis of stable isotopes (δ18O and δ2H) and tritium (3H) indicates that metasilicic acid mineral water is primarily recharged by atmospheric precipitation, with an apparent groundwater age of approximately 60 years. (3) The enrichment of metasilicic acid primarily results from the weathering and leaching of silicate minerals, coupled with cation exchange. K+ and Na+ are mainly derived from silicate minerals such as feldspars and halite, whereas Ca2+ and Mg2+ originate primarily from carbonate minerals like calcite and dolomite. During recharge, atmospheric precipitation infiltrates the aquifer, dissolving aluminosilicate and siliceous minerals in the surrounding rocks, thereby releasing metasilicic acid into the groundwater and ultimately forming the metasilicic acid-type mineral water. Full article
(This article belongs to the Section Hydrogeology)
Show Figures

Figure 1

32 pages, 10741 KB  
Article
A Robust Deep Learning Ensemble Framework for Waterbody Detection Using High-Resolution X-Band SAR Under Data-Constrained Conditions
by Soyeon Choi, Seung Hee Kim, Son V. Nghiem, Menas Kafatos, Minha Choi, Jinsoo Kim and Yangwon Lee
Remote Sens. 2026, 18(2), 301; https://doi.org/10.3390/rs18020301 - 16 Jan 2026
Viewed by 156
Abstract
Accurate delineation of inland waterbodies is critical for applications such as hydrological monitoring, disaster response preparedness and response, and environmental management. While optical satellite imagery is hindered by cloud cover or low-light conditions, Synthetic Aperture Radar (SAR) provides consistent surface observations regardless of [...] Read more.
Accurate delineation of inland waterbodies is critical for applications such as hydrological monitoring, disaster response preparedness and response, and environmental management. While optical satellite imagery is hindered by cloud cover or low-light conditions, Synthetic Aperture Radar (SAR) provides consistent surface observations regardless of weather or illumination. This study introduces a deep learning-based ensemble framework for precise inland waterbody detection using high-resolution X-band Capella SAR imagery. To improve the discrimination of water from spectrally similar non-water surfaces (e.g., roads and urban structures), an 8-channel input configuration was developed by incorporating auxiliary geospatial features such as height above nearest drainage (HAND), slope, and land cover classification. Four advanced deep learning segmentation models—Proportional–Integral–Derivative Network (PIDNet), Mask2Former, Swin Transformer, and Kernel Network (K-Net)—were systematically evaluated via cross-validation. Their outputs were combined using a weighted average ensemble strategy. The proposed ensemble model achieved an Intersection over Union (IoU) of 0.9422 and an F1-score of 0.9703 in blind testing, indicating high accuracy. While the ensemble gains over the best single model (IoU: 0.9371) were moderate, the enhanced operational reliability through balanced Precision–Recall performance provides significant practical value for flood and water resource monitoring with high-resolution SAR imagery, particularly under data-constrained commercial satellite platforms. Full article
(This article belongs to the Section AI Remote Sensing)
Show Figures

Figure 1

24 pages, 3149 KB  
Article
Screening, Identification, and Degradation Mechanism of Polyester Fiber-Degrading Bacteria
by Zixuan Chen, Jing Tang, Shengjuan Peng, Qin Chen, Jianfeng Bai and Weihua Gu
Microorganisms 2026, 14(1), 207; https://doi.org/10.3390/microorganisms14010207 - 16 Jan 2026
Viewed by 243
Abstract
Polyester fibers are extensively used in textiles, packaging, and industrial applications due to their durability and excellent mechanical properties. However, high-crystallinity polyester fibers represent a major challenge in plastic waste management due to their resistance to biodegradation. This study evaluated the biodegradation potential [...] Read more.
Polyester fibers are extensively used in textiles, packaging, and industrial applications due to their durability and excellent mechanical properties. However, high-crystallinity polyester fibers represent a major challenge in plastic waste management due to their resistance to biodegradation. This study evaluated the biodegradation potential of environmental Bacillus isolates, obtained from mold-contaminated black bean plastic bags, toward polyethylene terephthalate (PET) and industrial-grade polyester fibers under mesophilic conditions. Among thirteen isolates, five (Bacillus altitudinis N5, Bacillus subtilis N6, and others) exhibited measurable degradation within 30 days, with mass losses up to 5–6% and corresponding rate constants of 0.04–0.05 day−1. A combination of complementary characterization techniques, including mass loss analysis, scanning electron microscopy (SEM), gel permeation chromatography (GPC), and gas chromatography/mass spectrometry (GC/MS), together with Fourier-transform infrared spectroscopy (FTIR), thermogravimetric/differential scanning calorimetry (TGA/DSC), and water contact angle (WCA) analysis, was employed to evaluate the biodegradation behavior of polyester fibers. Cross-analysis of mass loss, surface morphology, molecular weight reduction, and degradation products suggests a surface erosion-dominated degradation process, accompanied by ester-bond hydrolysis and preferential degradation of amorphous regions. FTIR, TGA/DSC, and WCA analyses further reflected chemical, thermal, and surface property changes induced by biodegradation rather than directly defining the degradation mechanism. The findings highlight the capacity of mesophilic Bacillus species to partially depolymerize polyester fibers under mild environmental conditions, providing strain resources and mechanistic insight for developing low-energy bioprocesses for polyester fiber waste management. Full article
(This article belongs to the Section Microbial Biotechnology)
Show Figures

Figure 1

Back to TopTop