Next Article in Journal
Numerical Investigation of the Hydrodynamic Performance of a V-Type Wave Dissipation System and Amphibious Landing Equipment Under Different Combined Fields
Next Article in Special Issue
A Study on the Hydrogen and Oxygen Stable Isotope Characteristics of Water in Small Watersheds on the Southern Slope of the Qilian Mountains
Previous Article in Journal
Preliminary Study of Potential Hydrocarbon-Degrading Bacteria Identified by 16S rRNA Sequencing in Haina Port Water Samples, Dominican Republic
 
 
Font Type:
Arial Georgia Verdana
Font Size:
Aa Aa Aa
Line Spacing:
Column Width:
Background:
Article

Stable Isotope Analysis of Precipitation—Karst Groundwater System (Mt. Učka, Croatia)

1
Department of Environmental Sciences, Faculty of Physics, University of Rijeka, 51000 Rijeka, Croatia
2
MaLu, 51000 Rijeka, Croatia
3
Rijeka Department, Croatian Waters, 51000 Rijeka, Croatia
4
Faculty of Economics and Business, University of Rijeka, 51000 Rijeka, Croatia
5
Laboratory for Institutional and Behavioral Research, Center for Logic and Decision Theory, University of Rijeka, 51000 Rijeka, Croatia
6
Liburnijske Vode Branch, Water Supply Company Rijeka, 51414 Ičići, Croatia
7
GEO-5 Ltd., 52210 Rovinj, Croatia
*
Author to whom correspondence should be addressed.
Water 2026, 18(3), 308; https://doi.org/10.3390/w18030308
Submission received: 10 December 2025 / Revised: 16 January 2026 / Accepted: 22 January 2026 / Published: 25 January 2026

Abstract

Karst aquifers provide critical water resources in the Mediterranean region, yet climate change threatens their sustainability. This study integrates stable isotope analysis (δ2H, δ18O), hydrochemistry, and hydrological time series to characterize precipitation–groundwater dynamics in the Mt. Učka karst system (Croatia). Precipitation samples collected across an altitudinal gradient of approximately 1400 m and groundwater from three major groundwater sources were analyzed over a 2.5-year period. Precipitation exhibits pronounced isotopic variability with d-excess values indicating mixed Atlantic–Mediterranean moisture sources. Groundwater is primarily recharged by precipitation from the cold part of the hydrological year. It exhibits substantial attenuation of isotopic signals, which indicates extensive mixing processes but prevents quantitative estimation of mean residence time. Groundwater is predominantly recharged from elevations above 900 m a.s.l., with one spring showing evidence of higher-elevation recharge. Analysis confirms the system’s dual porosity: a rapid, conduit-dominated response indicates high vulnerability to surface contamination, while a sustained, matrix-dominated response provides greater buffering capacity. These findings highlight the vulnerability of karst systems to projected reductions in autumn precipitation, the critical recharge season, and demonstrate the necessity of multi-tracer approaches for comprehensive aquifer characterization.

1. Introduction

Karst aquifers represent one of the most important freshwater resources globally, providing drinking water for approximately 25% of the world’s population and supporting critical ecosystem services [1,2]. The complex hydrogeological processes governing karst systems, characterized by rapid groundwater flow through conduit networks and minimal filtration, make them extremely vulnerable to contamination and climate variability [3]. Understanding the mechanisms of recharge, flow pathways, and mean residence times (MRTs) in karst systems is therefore essential for sustainable water resource management and ecosystem protection.
Stable isotopes of hydrogen and oxygen in precipitation and groundwater serve as powerful natural tracers for studying hydrological processes in karst environments [4,5]. These isotopic signatures provide insights into precipitation origin, seasonal recharge patterns, mixing processes between different water masses, and MRTs of groundwater [6]. In Mediterranean karst regions, where precipitation regimes are characterized by distinct wet and dry seasons, isotopic analysis becomes particularly valuable for understanding the temporal dynamics of groundwater recharge and the vulnerability of springs to rapid infiltration events [7,8].
The Dinaric karst of Croatia represents one of the most extensive and well-developed karst systems in Europe. It extends along the Adriatic coast, encompassing diverse hydrogeological settings from coastal springs to high-altitude recharge areas [9,10]. At the western margin of this system, Mt. Učka (1396 m a.s.l.) has a unique position as the highest peak of the Istrian Peninsula, forming a recharge area for numerous karst springs. The mountain’s strategic location at the interface between Mediterranean and continental climate zones creates complex atmospheric circulation patterns that strongly influence the isotopic composition of precipitation across altitudinal gradients [11].
Previous isotopic studies in the northern Adriatic region have demonstrated the effectiveness of stable isotope techniques in characterizing karst spring behavior and identifying recharge sources [12,13]. However, despite the hydrogeological importance of Mt. Učka, isotopic characterization of this specific karst system remained limited.
Climate projections for the Mediterranean region indicate increasing temperature variability and changing precipitation patterns, with potential implications for karst aquifer recharge and spring discharge regimes [14,15]. Understanding baseline isotopic signatures and their relationships to meteorological drivers is therefore crucial for developing predictive models of climate change impacts on karst water resources. Furthermore, growing anthropogenic pressures from tourism and urban development in coastal areas of Croatia necessitate improved characterization of groundwater vulnerability and flow pathways to inform protection strategies [16].
This study presents the first comprehensive isotopic investigation of precipitation and karst springs across the Mt. Učka system. Primary objectives of the research are: to characterize the isotopic composition of precipitation across Mt. Učka’s altitudinal gradient and identify dominant moisture sources and seasonal patterns; to determine the isotopic signatures of major karst springs as well as to conclude about corresponding MRTs and mean recharge altitudes; to evaluate the vulnerability of the karst system to rapid infiltration; and to assess the implications for water resource management under changing climate conditions.
The findings contribute to the growing body of knowledge on isotopic applications in karst hydrology while providing essential baseline data for water resource management. Our integrated approach demonstrates applications of stable isotope methods in complex hydrogeological settings. The results have broader implications for understanding climate–groundwater interactions in Mediterranean karst systems and developing sustainable management strategies for similar hydrogeological environments worldwide.

2. Study Area

The study area encompasses the Mt. Učka massif, located in north-western Croatia, which, together with the adjacent Ćićarija plateau, forms a distinctive topographic divide that isolates the Istrian Peninsula from mainland Croatia (Figure 1). The region’s exceptional landscape heterogeneity, biodiversity, and cultural heritage warranted its designation as a nature park in 1999.
The Učka massif exhibits a dramatic elevation profile, ascending from the Kvarner Bay coastline to reach its peak at Vojak (1396 m a.s.l.). This mountain range demonstrates an atypical north–south orientation that distinguishes it from other coastal mountain chains in Croatia.
Mt. Učka functions as an orographic barrier to moisture-laden air masses originating from the Kvarner Bay, creating pronounced precipitation gradients across the region. The orographic enhancement of precipitation is particularly pronounced on the seaward-facing slopes, where moist Mediterranean air masses are forced upward, resulting in cooling and subsequent condensation. This orographic enhancement establishes the northern Adriatic coastal zone as amongst Croatia’s most precipitation-rich areas, with the nearby city of Rijeka recording a mean annual precipitation of 1590 mm for the 1990–2020 period, reaching peak annual totals of 2216 mm in 2023 [17]. Winter precipitation in the Učka Massif area includes snowfall. Snow cover exceeding 1 cm depth persists for an average of 2–3 months at elevations above 1000 m a.s.l., approximately one month at elevations between 800 and 1000 m a.s.l., and less than 5 days at elevations below 400 m a.s.l. [18].
Mt. Učka is predominantly composed of Upper Cretaceous limestones, Paleogene limestones, and flysch (marls and sandstones). The Cretaceous deposits were accumulated on the Adriatic Carbonate Platform (AdCP) and later uplifted due to the collision of the Adriatic Microplate with the Eurasian Plate. During this process, a new sedimentary basin formed in the foreland of the Dinarides, in which Paleogene deposits accumulated.
Three main structural units can be distinguished: the Učka anticline in the southern part; the imbricated and nappe structure of Ćićarija; and the Učka Klippe. The Učka anticline represents the least deformed part, being a component of stable Istria and the Adriatic Microplate, while the Učka Klippe and Ćićarija belong to the External Dinarides, where greater tectonic movements and deformations have been recorded [19].
Intensive tectonics have resulted in thrust and nappe structures with numerous faults affecting both carbonate and flysch formations. The study area contains numerous speleological features [20], reflecting intensive karstification processes, along with marginal surface weathering and widespread scree deposits (Figure 1). An underground water system has developed within the limestone ridge, draining groundwater at the contact between the karst carbonate ridge and the impermeable flysch layer.
Within the carbonate ridge area of Mt. Učka, five water supply sources are utilized, with annual abstraction volumes reaching approximately 2.2 million m3, providing approximately two-thirds of the water supply needs for the Liburnian Riviera and its hinterland [21].
The primary karst sources include Mala Učka Spring (code—GW995; elevation 995 m a.s.l.; discharge 0.006–0.025 m3 s−1); Vela Učka Spring (GW890; 890 m a.s.l.; 0.006–0.030 m3 s−1), and Učka Tunnel groundwater flow (GW490; 490 m a.s.l.; 0.009–11 m3 s−1) [22]. These sources represent the dominant karst groundwater discharge points in the Mt Učka area, with other documented springs (Rečina, Sredić) having substantially lower yields.
GW995 and GW890 are contact springs draining groundwater at the interface between karst carbonates and impermeable flysch. GW490, the most important in terms of annual abstraction volumes (600,000–800,000 m3), captures groundwater flow within a cave system in the Mt Učka massif.
The GW490 capture facility is located within the Učka Tunnel Cavern, which was accidentally breached during tunnel construction in 1977. Subsequent speleological investigations (2011–2021) revealed that this cavern forms part of an extensive underground network—the Zračak nade 2—the Učka Tunnel Cavern System—with a total surveyed length of 6620 m and a vertical range of 430 m [20,23]. The system comprises a complex network of passages, chambers, active water channels, and underground lakes. Hydrological connectivity between the upper cave entrance (Zračak nade 2, elevation 870 m a.s.l.) and the cavern was demonstrated through dye tracing, with water transit times of approximately 10 min over the ~400 m elevation difference. Physical connection between the two components was established through cave-diving operations, confirming the system’s unified nature [20,23]. An important characteristic of this system is the direct atmospheric connection through the natural upper cave entrance, which generates air circulation throughout the cave network, making this system particularly noteworthy, as groundwater is exposed to potential evaporation in both flowing channels and the stagnant lake environment.

3. Materials and Methods

3.1. Sampling, Data, and Measurements

The precipitation monitoring network comprised four stations positioned across the elevation gradient: Ičići (PR002, 2 m a.s.l.), Vela Učka (PR890, 890 m a.s.l.), Poklon (PR911, 911 m a.s.l.), and Vojak (PR1396, 1396 m a.s.l.) (Figure 1).
Cumulative precipitation samples were collected using 3.5-L polyethylene containers. In each precipitation collector, 100 mL of paraffin oil was added to minimize evaporation losses. Following oil–water separation, samples were preserved in 50 mL high-density polyethylene bottles with secure double-cap sealing.
Over the monitoring period (July 2019–March 2022), a total of 151 precipitation samples were obtained for isotopic analysis. Samples were typically collected once or twice a month. Exceptions occurred due to the absence of precipitation in some periods, and one sample from PR890 (representing the first half of November 2019) was discarded after container overfilling from excessive rainfall. The period December 2021 to March 2022 is represented by one cumulative three-month sample collected when regular site access was not possible.
A groundwater monitoring network was established for karst springs Mala Učka Spring (GW995, 995 m a.s.l.), Vela Učka Spring (GW890, 890 m a.s.l.), and Učka Tunnel groundwater flow (GW490, 490 m a.s.l., accessed within the tunnel cavern) (Figure 1).
Groundwater sampling for isotopic analysis was conducted by personnel from KD Liburnijske vode (the regional water utility company). The initial idea was to collect samples twice a month, but after a certain period, it was agreed to collect samples once a month. In the end, a total of 116 samples were collected for isotopic analysis over the study period. Samples were preserved in 50 mL high-density polyethylene bottles with secure double-cap sealing to prevent contamination and isotopic fractionation during storage. Water temperature, pH, electrical conductivity, and turbidity were measured approximately once per month as part of routine monitoring by the water supply company. Major cation and anion measurements, performed twice during the sampling campaign by an external laboratory, revealed that groundwater exhibits a calcium-bicarbonate (Ca-HCO3) hydrochemical facies.
All sampling locations, including the corresponding number and type of samples, are systematically presented in Table 1.
Stable isotope composition of water samples was determined using a Liquid Water Isotope Analyser (LWIA, Los Gatos Research, Los Gatos, CA, USA) employing Off-Axis Integrated Cavity Output Spectroscopy (OA-ICOS). All isotopic analyses were performed at the Faculty of Physics, University of Rijeka. The analytical precision achieved during the measurement campaign was superior to ±0.3‰ for δ18O and ±2‰ for δ2H. Results are reported relative to Vienna Standard Mean Ocean Water (VSMOW2) using standard delta notation, where δ = [(Rsample/Rstandard) − 1] × 1000‰, with R representing the isotope ratio 18O/16O or 2H/1H.
Groundwater sampling was accompanied by hydrological monitoring, internally conducted by the water supply operator. The monitoring system is primarily focused on low-flow periods when water demand is typically highest. The system employs telemetric water level monitoring at the intake facility. Electronic water level gauges are installed in the water body upstream of standard hydraulic weirs—a triangular, so-called Thompson weir at GW490, and rectangular weirs at the GW890 and GW911. Downstream of the weirs, water flows toward the water intake basin, while the overflow volumes are discharged onto the surface terrain, or, in the case of GW490, into the downstream part of the speleological system. Water is directed to the supply system; however, when inflows exceed the capacity of the intake structure, overflow occurs outside the catchment facility. Consequently, the measured discharges represent only the portion of water entering the supply system and do not reflect the total spring output during high-flow events. Therefore, continuously monitored water levels were used as an indicator of hydrological conditions instead of discharges, as they provide a more representative measure of the springs’ response under both low-flow and high-flow conditions.
Daily air temperature data for the city of Rijeka and daily precipitation data for Vela Učka, the nearest official meteorological stations to the study area, were obtained from the Croatian Meteorological and Hydrological Service.

3.2. Basics of Isotope Hydrology

One of the fundamental applications of stable isotope techniques in karst hydrology is the determination of groundwater provenance and the identification of recharge sources. This is typically performed by examining the local meteoric water line (LMWL) in relation to the global meteoric water line (GMWL) and evaluating deuterium excess (d-excess) values. The GMWL (δ2H = 8 × δ18O + 10‰), established by Craig in 1961, describes the linear relationship between δ18O and δ2H in precipitation and surface freshwaters globally [24]. At the regional level, the linear regression between δ18O and δ2H in precipitation defines the LMWL. Differences in the slope and intercept between the GMWL and LMWL reflect local climatic conditions and geographic factors. Analyzing the distribution of groundwater isotopic values relative to the LMWL and GMWL provides insight into the origin of local groundwater resources [4]. The concept of deuterium excess was introduced by Dansgaard [25], and is calculated as d-excess = δ2H − 8 × δ18O. D-excess values around 10‰ are typical of precipitation from Atlantic Ocean moisture sources, while values above 15‰ indicate Mediterranean-derived precipitation [26].
Landwehr and Coplen [27] developed the line-conditioned excess (lc-excess) parameter to quantify isotopic deviations of water samples from LMWL. The lc-excess is calculated as: lc-excess = [δ2H − (a × δ18O + b)]/S; where S = [(δ2Hanalytical error)2 + (a × δ18Oanalytical error)2]0.5. In this formulation, a and b represent the slope and intercept of the LMWL, respectively, while S incorporates analytical uncertainties associated with both isotopic measurements, thereby enabling standardized comparisons across samples. This metric, alternatively termed “precipitation offset” [28,29], expresses deviations in units of analytical precision. This standardization permits evaluation of whether observed departures from the LMWL are statistically significant, with |lc-excess*| > 2 typically indicating significant deviation [28]. Negative lc-excess values indicate kinetic fractionation due to evaporative enrichment, with increasingly negative values reflecting enhanced evaporation intensity [29,30].

3.3. Calculation and Data Analysis

Missing data points in daily water level records (<5% of the time series, typically 1–2 consecutive days due to equipment maintenance) were interpolated using cubic spline interpolation to enable continuous autocorrelation function (ACF) analysis. Hydrochemical and isotopic data represent measured values without interpolation.
Weighted mean isotopic values were calculated using precipitation amounts as weighting factors according to the equation: δ_weighted = Σ(δi × Pi)/Σ(Pi); where δi represents the isotopic value and Pi the precipitation amounts for each collected precipitation sample.
To describe seasonal variability in isotopic composition, we fitted simple sinusoidal functions of the form δ(t) = μ + A·sin(2πt/12 + φ) to amount-weighted monthly δ2H and δ18O values for precipitation and each spring; where μ is the long-term mean, A is the amplitude, φ is the phase shift, and t is time in months. Parameters were estimated by nonlinear least-squares fitting, and model performance was evaluated using the coefficient of determination (R2) and visual inspection of residuals.
ACF was analyzed to obtain insights into system memory effects, characteristic response times, and storage properties of hydrogeological systems, such as the buffering and retention characteristics of karst aquifers [31]. ACF analysis examines the relationship between a time series and its temporally shifted versions at consecutive time lags. ACF produces a series of correlation coefficients r(k) that quantify this relationship as a function of lag k. The memory effect indicates the duration over which the system retains information from input signals, determined as the time lag where the autocorrelation function r(k) falls below 0.2 [32].
Statistical analyses were conducted to assess differences between sampling locations. The Shapiro–Wilk test was applied to evaluate the normality of data distributions. For normally distributed data, one-way analysis of variance (ANOVA) was used to test for significant differences, followed by Tukey’s Honestly Significant Difference (HSD) test as a post hoc procedure. For non-normally distributed data, the non-parametric Kruskal–Wallis test with Dunn’s post hoc test was used for multiple group comparisons. To compare LMWLs between seasons and LGWLs between different groundwater sources, analysis of covariance (ANCOVA) was performed using the Linear Regression module in jamovi [33]. The models included the stable isotope ratio (δ18O) as a continuous covariate, season or groundwater source as categorical factors, and their interaction terms to test for differences in regression slopes and intercepts. Statistical significance was set at p < 0.05 for all tests.
Data processing and graphical analyses were performed using Origin software (v2025b, OriginLab Corporation, Northampton, MA, USA). An AI language model (Claude 4, Anthropic PBC, San Francisco, CA, USA) was used to assist with improving the clarity and grammar of the manuscript.

4. Results

4.1. Precipitation

Mean precipitation amounts showed no statistically significant differences among the stations (Kruskal–Wallis, p = 0.68). However, small but consistent variations accumulated over the sampling period, resulting in notable differences in the total amount of precipitation collected during the entire sampling period: PR002 4444 mm/m2, PR911 4932 mm/m2, PR890 5085 mm/m2, PR1396 3935 mm/m2. The possible explanation for the lowest amount at PR1396 is that moisture-laden clouds do not reach the mountain top itself, but rather “rain out” at lower altitudes. This is probably also the reason why, although the PR1396 station is located at the highest altitude of the established collector network, the most negative values for δ18O and δ2H were measured at PR890 (Table 2).
Statistical comparison of the isotopic composition of precipitation samples shows that stations PR911, PR890, and PR1396 have significantly more negative δ18O and δ2H values compared to station PR002 (Kruskal–Wallis test, post hoc Dunn test, p < 0.025). However, the three elevated stations (PR890, PR911, and PR1396) showed no statistically significant differences among themselves, with mean value differences within analytical uncertainty (Table 2).
Precipitation-amount weighted mean δ2H and δ18O values reveal an altitude effect. The regression analysis between the isotope-weighted mean values and altitudes (h) of the sampling locations yielded the following relationships:
δ2H = −0.0084 × h − 37.317 (R2 = 0.92); and
δ18O = −0.0015 × h − 6.2016 (R2 = 0.92).
These equations yield height gradients of −0.8‰/100 m for δ2H and −0.15‰/100 m for δ18O. However, it should be noted that the strong linear relationship is primarily driven by the large isotopic and elevation contrast between the coastal PR002 station and the elevated mountain stations, rather than a continuous altitude gradient. The elevated stations themselves show minimal isotopic variation despite their ≈ 500 m elevation range, suggesting that factors beyond simple altitude (such as orographic rainout patterns) control isotopic composition in this coastal mountain setting.
Figure 2 reveals seasonal patterns in δ18O and δ2H that reflect the mean monthly air temperature, with greater isotopic depletion during the cold period (October–March) and enrichment during the warm period (April–September) of a hydrological year. The most depleted single sample was collected at PR890 in January 2020 (δ2H = −84.1‰, δ18O = −11.74‰), while the least depleted values were recorded at PR002 in April 2021 (δ2H = −7.23‰, δ18O = −2.36‰). Figure 2 and Figure 3 show time series for the PR002 and PR911 stations only, as they represent the stations with the most contrasting and the most complete set of isotope values.
The time series of d-excess also shows seasonal behavior, but in contrast to the isotope time series, d-excess shows higher values in the cold months and lower values in the warm months of the hydrological year (Figure 3).
The d-excess values in precipitation at PR002 are significantly lower than those at elevated stations (ANOVA, Tukey post hoc test, p ≤ 0.004).
The weighted mean values for all stations (Table 3) resulted in an altitude gradient for d-excess of 0.7‰/100 m (R2 = 0.81).
Figure 4 shows the correlation between δ18O and δ2H in precipitation samples. The LMWL was calculated for the entire sampling period, as well as separately for the cold (October–March, LMWL-cold) and warm (April–September, LMWL-warm) periods (equations provided in Table 4).
Samples predominantly plot above the GMWL, with distinct seasonal patterns (ANCOVA: F = 22.1, p < 0.001). The warm season exhibits a reduced slope (6.4), indicating enhanced secondary evaporation under higher temperatures and lower relative humidity. The cold season line (slope = 8.0) parallels the GMWL but with an elevated intercept (15.5), reflecting higher deuterium excess typical of maritime moisture sources (Table 4). The overall LMWL (slope = 7.0) integrates these seasonal processes.
The overall LMWL reflects the combined influence of Mediterranean, Atlantic, and local moisture sources, occupying an intermediate position between seasonal extremes. The higher correlation coefficient during the cold period (R2 = 0.94) compared to the warm period (R2 = 0.87) indicates more consistent isotopic processes during winter, while summer conditions show greater variability due to diverse moisture sources and variable evaporation intensities.

4.2. Groundwater

4.2.1. Auto-Correlation Functions

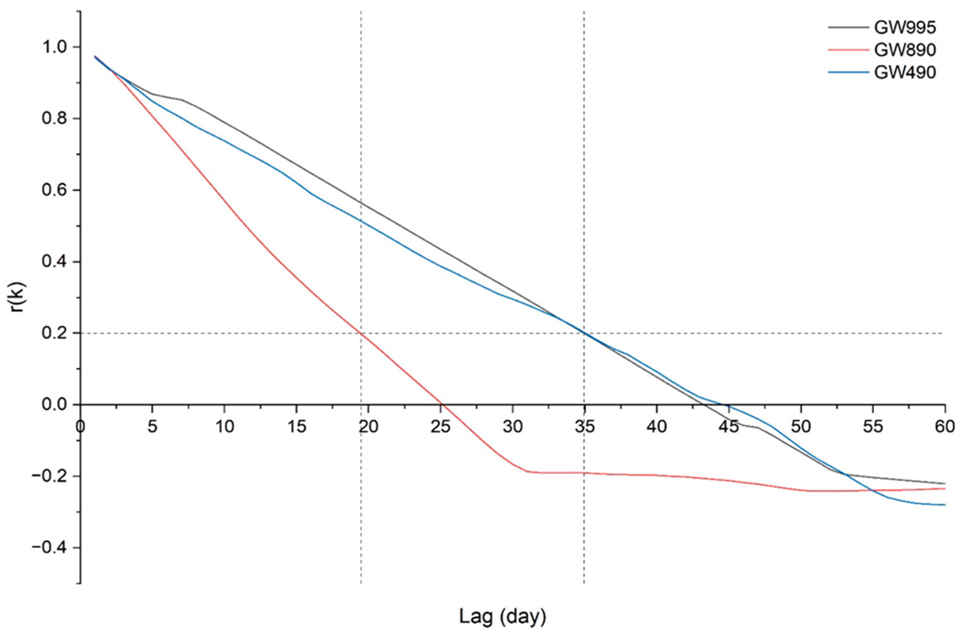
Groundwater levels at three sampling locations demonstrate distinctly different autocorrelation patterns: ACF for GW890 (red curve, Figure 5) reaches the 0.2 threshold after approximately 20 days, while for GW995 (black curve, Figure 5) and GW490 (blue curve, Figure 5), the threshold is reached after 35 days.

4.2.2. Stable Isotope Composition

The isotopic composition of groundwater from the three sampling locations shows relatively stable values, with standard deviations comparable to analytical error (Table 5). Mean δ2H values vary between −45.1‰ (GW995) and −46.4‰ (GW890), while mean δ18O values range from −7.67‰ (GW995) to −7.77‰ (GW890). The low standard deviations (δ2H: 1.2–1.97‰, δ18O: 0.40–0.47‰) indicate minimal temporal variation in isotopic composition at all three locations throughout the sampling period. The Kruskal–Wallis test followed by Dunn’s post hoc test revealed that the δ2H composition of GW890 is significantly more depleted than that of GW995 (p < 0.001) and GW490 (p = 0.007).
The mean δ2H values of the groundwater samples (Table 5) were used with the regression equation relating the weighted mean δ2H of precipitation to rain gauge altitude (Equation (1)) to estimate the mean recharge elevations. Considering the analytical uncertainty and the narrow range of groundwater isotopic values, precise recharge elevation estimations are limited. However, the results indicate that groundwater at all sampling locations are recharged predominantly from elevations above 900 m a.s.l. More depleted isotopic signature of GW890 suggests it may be recharged from somewhat higher elevations than GW995 and GW490.
Figure 6 presents a scatter plot showing the relationship between δ2H and δ18O values in groundwater from different sources (GW480, GW890, and GW995), with their corresponding Local Groundwater Lines (LGWLs). The plot includes the LMWL shown in green.
The equations for the LGWLs are presented in Table 6. The correlations between δ18O and δ2H in groundwater are statistically significant for all three groundwater sources. Corresponding R2 values are in range from 0.54 to 0.64, indicating a moderate relationship between these isotopic values. However, given the narrow range of isotopic values (Table 5), these correlations may be influenced by cluster geometry rather than representing robust hydrogeological relationships.
ANCOVA analysis of the three groundwater sources revealed a significant relationship between δ18O and δ2H (p < 0.001, R2 = 0.624). The omnibus ANOVA tests showed marginally non-significant differences among groundwater sources for both intercepts (p = 0.054) and slopes (p = 0.062), indicating overall similarity in isotopic characteristics. Pairwise comparisons revealed that GW995 differed significantly from GW490 in both slope (p = 0.022) and intercept (p = 0.022). However, neither GW890 vs. GW490 (p = 0.065 for intercept, p = 0.104 for slope) nor GW890 vs. GW995 (p = 0.769 for intercept, p = 0.578 for slope) showed statistically significant differences. This suggests that GW890 exhibits isotopic characteristics intermediate between those of GW490 and GW995. Model residuals showed slight deviation from normality (p = 0.044), though the large sample size (n = 116) provides robustness to this minor violation.
The temporal series of isotopic compositions in groundwater and precipitation, along with the precipitation-fitted sinusoidal model, are presented in Figure 7. For seasonal modeling, monthly data were used. When multiple groundwater samples were collected within a single month, the arithmetic mean of those measurements was calculated to represent that month. For precipitation, amount-weighted monthly means were calculated. Precipitation from station PR911 was used as a representative of the isotopic composition of recharge water. Statistically significant seasonal variations in the isotopic composition of precipitation were observed (Figure 7), with sinusoidal fit showing R2 = 0.35 (p < 0.001, amplitude 11.9‰) for δ2H and showing R2 = 0.45 (p < 0.001, amplitude 1.7‰) for δ18O.
Seasonal variability in groundwater was assessed using sinusoidal regression on monthly mean values. Modeling results showed that δ2H exhibited stronger seasonal patterns than δ18O across the sources: GW995 (R2 = 0.33 for δ2H vs. 0.03 for δ18O), GW890 (R2 = 0.19 for δ2H vs. 0.23 for δ18O), and GW490 (R2 = 0.10 for both isotopes). Only GW890 showed statistically significant seasonality in both isotopes, with strongly damped amplitudes (0.7‰ for δ2H, 0.3‰ for δ18O) approaching analytical uncertainty. This proximity to analytical uncertainty requires caution in interpreting seasonal fits, as they may partially reflect analytical noise rather than true seasonal signals.
Figure 8 presents the δ2H time series, as this isotope demonstrated more consistent seasonal patterns across the groundwater sources.
Figure 8 illustrates the temporal dynamics of δ2H in precipitation (at location PR890) and groundwater alongside water level variations. Despite pronounced isotopic variability in precipitation (δ2H ranging from approximately −10 to −85‰), groundwater exhibits strongly attenuated signals with minimal seasonal variation. No direct short-term correlation was observed between precipitation and spring water δ2H values. Groundwater δ2H values remain relatively stable throughout most of the monitoring period, with the most noticeable shifts occurring during water level rises following extended periods of low water levels. During these transitions, spring isotopic composition shows temporary displacement toward less depleted values. A clear example of this relationship is evident in October 2019 (Figure 8), where rapid water level increases coincide with simultaneous shifts toward less depleted δ2H values across all three springs. These patterns indicate that the degree of isotopic signal attenuation is influenced by aquifer storage state, with buffering effects being most pronounced during high-storage conditions.
Figure 9 presents the temporal variation of δ18O alongside water temperature for the three groundwater sources. No statistically significant differences were found in mean δ18O values (ANOVA, p = 0.607) or δ18O variance (Levene’s test, p = 0.566) among the three groundwater sources. Similarly, median water temperatures were not significantly different (Kruskal–Wallis, p = 0.2). However, temporal temperature variability differed significantly among sources (Levene’s test, p < 0.001), with GW490 exhibiting the most stable temperature (standard deviation = 0.63 °C) compared to GW995 and GW890 (standard deviation ≈ 1.1 °C). GW490’s thermal stability suggests effective thermal buffering within the extensive cave system, where heat exchange with rock mass and air circulation moderates seasonal temperature fluctuations. In contrast, the similar δ18O variability across all three sources (standard deviation 0.40–0.47‰, Table 5) indicates that evaporative enrichment and mixing processes affect all springs comparably.
The d-excess groundwater values vary from a minimum of 11.2‰ to a maximum of 25.3‰. Mean values amount to (16.9 ± 2.3)‰ for GW490, (16.3 ± 2.5)‰ for GW890, and (16.4 ± 2.9)‰ for GW995, showing no statistically significant differences (ANOVA, p = 0.56). The mean d-excess of groundwater (~16‰) matches that of precipitation collected at high-altitude stations (Table 3 and Table 7), confirming predominant recharge from elevations above 900 m a.s.l. No seasonal variability was observed in groundwater d-excess (Figure 10).
The lc-excess groundwater values vary from a minimum of −1.5 to a maximum of 2.8. Mean values amount to (0.2 ± 0.8) for GW490, (0.03 ± 0.7) for GW890, and (0.3 ± 0.8) for GW995, showing no statistically significant differences between sources (ANOVA, p = 0.38). Mean lc-excess values close to zero across all three sources indicate minimal deviation from the LMWL, reflecting meteoric origin without substantial evaporative enrichment. No seasonal variability was observed in groundwater lc-excess (Figure 10), and the absence of systematically negative values confirms that evaporative fractionation during recharge or storage is negligible.

4.2.3. Water Quality Parameters

The temporal dynamics of hydrochemical parameters throughout the monitoring period (July 2019–April 2022) are presented in Figure 11.
Electrical conductivity differed significantly among the three groundwater sources, as confirmed by the Dunn test (p < 0.001 for all pairwise comparisons). The median conductivity was lowest at GW890 (200 µS/cm), intermediate at GW995 (234 µS/cm), and highest at GW490 (249 µS/cm), with the maximum value (282 µS/cm) recorded at GW490 in October 2020. The systematic differences in electrical conductivity among springs reflect differential flow path characteristics within the karst aquifer. GW890’s consistently lower EC values, combined with its depleted isotopic signature, suggest predominant recharge from high-elevation sources with shorter water–rock interaction times along rapid conduit flow paths. The intermediate and higher EC values at GW995 and GW490, respectively, indicate greater water–rock interaction along matrix-dominated flow paths.
pH values showed minimal variability (7.2–8.1) across all sources and throughout the monitoring period, indicating consistent carbonate buffering. No statistically significant differences were observed among the three springs (ANOVA, p = 0.68), suggesting uniform water–rock interaction processes throughout the karst aquifer.
There was no statistically significant difference in water temperature among the groundwater sampling sites (Kruskal–Wallis, p = 0.2). The median water temperature ranged from 8.2 to 9.7 °C, with a minimum value of 6.2 °C recorded at GW995 (February 2022) and a maximum value of 10.2 °C recorded at all sites (GW995 and GW890—July 2019; GW490 September 2021).
Turbidity exhibited episodic peaks throughout the monitoring period, reflecting the mobilization of fine sediments through conduit networks during recharge events, characteristic of event-driven karst dynamics. Although median turbidity values did not differ significantly among springs (Kruskal–Wallis, p = 0.13), GW490 displayed more frequent high-turbidity events, suggesting greater susceptibility to sediment mobilization or more direct connection to recharge sources.
Notably, hydrochemical parameters showed minimal seasonal variability, with variations primarily driven by individual precipitation-recharge events rather than following systematic seasonal patterns.

5. Discussion

5.1. Interpretation of Precipitation Data

In isotope hydrology, interpreting groundwater recharge begins with understanding the isotopic variability of precipitation. This establishes the input signal that is subsequently modified by infiltration, storage, and mixing processes.
The isotopic values of precipitation (Figure 2) show pronounced seasonal oscillations that are consistent with changes in average monthly air temperature: less negative isotopic values generally occur when higher air temperatures are observed. The observed isotopic patterns are in accordance with the well-established temperature and precipitation amount effects [34,35].
Precipitation also exhibits the well-known altitude effect, manifested as a decrease of δ18O and δ2H values with increasing elevation. The effect results from the progressive condensation and removal of moisture as ascending air masses cool along mountain slopes [36]. The established altitude effects for Mt. Učka are approximately −0.8‰/100 m for δ2H and −0.15‰/100 for δ18O. These results are consistent with results for modern precipitation across the Adriatic–Pannonian region [37] and closely match previous results for the Učka Mountain area [11].
D-excess of precipitation exhibits a pronounced positive altitude effect, with weighted-mean values increasing from approx. 12‰ at the coastal station to 15‰ at 900 m and 22‰ at the top of the mountain (Table 3), yielding an average gradient of +0.7‰/100 m. This vertical gradient is comparable to those documented in other Mediterranean mountain regions and is primarily attributed to the progressive reduction in sub-cloud evaporation with increasing elevation [38].
The seasonal d-excess pattern for precipitation shown in Figure 3 reflects the influence of different air mass origins and moisture source conditions. In the cold months (October–March), precipitation is primarily associated with Mediterranean air masses that transport moisture with elevated d-excess values (~14–22‰). This results fromenhanced kinetic fractionation during evaporation over warm Mediterranean Sea surfaces under relatively low humidity conditions typical of winter cyclogenesis [39,40]. This Mediterranean isotopic signature, characterized by d-excess values exceeding the typical western Mediterranean average of ~14‰ [38], indicates moisture contributions from the central and eastern Mediterranean basins, particularly during cyclonic events. Conversely, warm months (April–September) are characterized by lower d-excess values (~10‰), consistent with the global average [25] and reflecting mixed moisture sources including Atlantic frontal systems and continental air masses with lower baseline d-excess signatures [41]. Additionally, sub-cloud evaporation under warm summer conditions can further reduce d-excess values [42].
δ2H and δ18O values in precipitation are strongly correlated, with the coefficient of determination of the corresponding LMWL equal to 0.9 (Table 4). Seasonal analysis of LMWL reveals pronounced differences in the relationship between δ18O and δ2H (Figure 4). The LMWL-cold (October–March: δ2H = 8.0 × δ18O + 15.5; R2 = 0.94) exhibits a slope of 8.0, identical to the GMWL, indicating minimal sub-cloud evaporation. The high intercept (15.5 vs. 10 for GMWL) reflects the characteristic isotopic signature of Mediterranean moisture sources that dominate precipitation during the cold season in the northern Adriatic region [37,43]. During autumn and winter, southeasterly cyclonic systems (locally known as Jugo or Scirocco) are the primary mechanism for transporting moisture from the Mediterranean [44,45]. These systems deliver precipitation with elevated d-excess values (14–22‰) typical of Mediterranean moisture [39,46]. In contrast, LMWL-warm (April–September: δ2H = 6.4 × δ18O + 3.4; R2 = 0.87) shows a substantially reduced slope of 6.4, indicating sub-cloud evaporation and representing a significant loss of precipitation before it reaches the ground. This evaporative loss affects water resource availability and is expected to increase under future warming scenarios [47], potentially reducing effective precipitation available for aquifer recharge. The seasonal variability of isotope values in precipitation was confirmed through sinusoidal modeling (Figure 7).

5.2. Interpretation of Groundwater Data

The tight clustering of groundwater samples along LMWL, despite the shallow regression slope, confirms the isotopic homogeneity of groundwater across all three springs (Figure 6). All groundwater samples plot on, or very close to, the LMWL, indicating a meteoric origin without noteworthy post-infiltration evaporative fractionation. Groundwater samples fall within the isotopically depleted region of the δ18O-δ2H space, overlapping with cold-season rather than warm-season precipitation values. This indicates that groundwater recharge is dominated by precipitation from the cold part of the hydrological year. Specifically, we expect that autumn and spring rainfall, as well as spring snowmelt, are the primary recharge mechanisms, while winter precipitation under frozen ground conditions contributes less effectively. Climate projections for the Mediterranean Basin indicate the most substantial precipitation decreases will occur in autumn, while warming will reduce winter snowpack accumulation and cause earlier snowmelt [48,49]. These projected changes directly threaten the two dominant recharge pathways in this karst system: reduced autumn precipitation will decrease direct infiltration during the primary recharge period, while diminished snowpack will reduce spring meltwater contributions. The combined effect is likely to substantially reduce aquifer recharge rates and increase drought vulnerability, even if total cold-season precipitation remains relatively stable.
The mean isotopic composition of groundwater (Table 5) corresponds most closely to the amount-weighted mean values of precipitation isotopes from the PR911 and PR890 stations (Table 2). Estimated mean recharge elevations for the groundwater range from ~900 to 1100 m a.s.l., approximately corresponding to the elevations of the PR911 and PR890 stations (Table 1).
The isotopic composition of GW890 is significantly more depleted than that of GW995 and GW490, suggesting recharge from a higher-elevation zone. Several additional lines of evidence support distinct hydrological characteristics for GW890: (1) detectable seasonal isotopic variations, which are absent in GW995 and GW490, suggesting preservation of the seasonal precipitation signal; (2) a steeper decline in ACF (Figure 5), indicating shorter system memory and more rapid groundwater renewal; and (3) significantly lower electrical conductivity, indicating shorter water–rock interaction times. Collectively, these observations indicate that GW890 has a shorter MRT compared to GW995 and GW490.
Following Larocque et al. [50], we applied ACF analyses to water level time series to characterize aquifer storage and flow dynamics. ACF of water levels at GW890 reveals a system memory effect of approximately 20 days (Figure 5). This indicates a shallow aquifer system with limited storage capacity and efficient drainage, characteristic of a small, localized catchment with minimal buffering capacity.
ACF for GW995 displays the memory effect of 35 days (Figure 5). Despite being located at a similar elevation to GW890, this spring demonstrates greater system inertia, suggesting either a deeper circulation system, more developed fracture storage, or a connection to a larger volume of slowly draining matrix porosity. The more gradual decline of the ACF indicates enhanced capacity to buffer short-term hydrological variability compared to GW890.
GW490, situated approximately 500 m lower in elevation than GW995, exhibits comparable autocorrelation memory (Figure 5). This indicates that GW490 possesses substantial storage capacity within its large aquifer volume, likely reflecting a combination of deep matrix storage, thick unsaturated-zone reserves, and diffuse-flow components that maintain base flow between recharge events. This spring functions as the primary regional collector, integrating water from diverse flow paths, which creates a well-buffered system with significant inertia.
The temporal dynamics of turbidity (Figure 11) provide evidence for episodic activation of preferential flow paths during precipitation events. GW490 exhibits the highest frequency of turbidity peaks throughout the monitoring period, indicating the most direct hydraulic connection to recharge areas through well-developed conduit networks. During precipitation-driven recharge events, rapid infiltration through these conduits mobilizes fine sediments, producing the observed turbidity spikes. In contrast, GW890 and GW995 show fewer turbidity events, suggesting either fewer direct conduit connections with longer flow paths that allow sediment settling or conduit systems with lower sediment availability.
The combination of variable turbidity, stable pH, and preserved isotopic signatures demonstrates that spring discharge results from mixing between rapid conduit flow and slower matrix drainage. This dual-porosity behavior is particularly evident at GW490, where frequent turbidity spikes (indicating active conduit flow) coexist with elevated electrical conductivity (indicating longer water–rock interaction). This combination confirms the parallel operation of rapid conduit transmission and slower matrix contribution at this groundwater source.
GW890 presents an apparently paradoxical combination: the lowest electrical conductivity indicates short water–rock contact time and rapid circulation; the most depleted isotopic signature indicates recharge from the highest elevations. This suggests that water from high-altitude recharge areas reaches GW890 through efficient, direct conduit pathways with rapid transmission. The infrequent turbidity events, despite rapid flow, indicate either mature conduit systems with low sediment availability or flow path configurations that promote particle settling or filtration. The chemical stability across all flow conditions demonstrates that even rapid conduit flow is well-integrated, producing stable discharge compositions.
GW995 exhibits intermediate characteristics, consistent with mixed contributions from multiple flow paths.
Importantly, the stable isotopic signatures (d-excess ~ 16‰, lc-excess ~ 0) across all springs and throughout all flow conditions demonstrate that mixing processes at or near discharge points integrate waters from multiple recharge events. The absence of seasonal isotopic variations, despite episodic turbidity and discharge responses, indicates that rapid conduit flow is continuously diluted by slower-moving matrix water. This mixing transforms the potentially variable isotopic signal of individual precipitation events into the stable groundwater compositions observed at all three springs, while preserving the characteristic high-altitude meteoric signature (d-excess = 16‰) that confirms recharge from elevations > 900 m a.s.l. without evaporative modification.
The detectability of isotopic shifts primarily during water level rises following low-storage periods (Figure 8, e.g., October 2019) reveals the storage-dependent nature of signal transmission in this system. When aquifer storage is high, the large volume of resident groundwater effectively buffers the isotopic signature of individual recharge events, producing the strongly damped signals observed throughout most of the monitoring period (amplitude reduction by factors of ~17 for δ2H and ~6 for δ18O). During depleted storage conditions, newly infiltrated water constitutes a larger proportion of spring discharge, temporarily reducing buffering capacity and allowing recent precipitation signatures to become detectable. This mechanism explains why substantial damping coexists with episodic signal detectability, and suggests that event-based sampling during low-storage periods may be necessary to capture recharge–discharge relationships in highly buffered karst systems.

6. Conclusions

The study integrated isotopic, hydrochemical, and hydrological analyses to characterize precipitation–groundwater dynamics in the Mt. Učka karst system, addressing four primary research objectives.
(1) Precipitation isotopic characterization and moisture sources. Precipitation across Mt. Učka’s altitudinal gradient exhibits pronounced isotopic variability with clear seasonal patterns reflecting temperature-dependent fractionation and varying moisture sources. The LMWL closely resembles the GMWL, indicating minimal evaporative effects during precipitation. D-excess values suggest mixed Atlantic and Mediterranean moisture sources, with higher values during cold-season events reflecting increased Mediterranean contribution. The altitudinal isotopic gradient provides a framework for interpreting groundwater recharge elevations, though uncertainty exists due to analytical precision and the narrow range of groundwater isotopic values.
(2) Groundwater isotopic signatures and recharge dynamics. All three groundwater sources (GW995, GW890, and GW490) exhibit strongly attenuated isotopic signals. GW890 displays significantly more depleted values than GW995 and GW490, suggesting recharge from somewhat higher elevations. However, the extreme buffering capacity of the system, evidenced by near-complete damping of seasonal precipitation signals, precluded quantitative MRT estimation using traditional sine-wave fitting approaches. The lack of direct correlation between precipitation and spring water isotopic composition contrasts sharply with rapid water level responses to rainfall events, revealing that pressure signals transmit quickly through conduit networks while isotopic signatures are progressively modified by extensive mixing with stored water. Alternative approaches using ACF of water levels indicate system memory effects of 20 days for GW890 and 35 days for GW995 and GW490, suggesting qualitatively different storage capacities.
(3) System vulnerability and water resource implications. Groundwater isotopic signal attenuation demonstrates that these systems function as highly effective mixing reservoirs with substantial storage volumes, suggesting resilience to short-term precipitation variability but potentially increased vulnerability to sustained decreases in recharge under projected climate change scenarios. Climate projections indicate declining precipitation in the Mediterranean Basin, particularly during autumn—the season identified as critical for recharge. The combination of reduced total precipitation and the shift toward more intense but less frequent events may compromise the diffuse recharge pathways that currently sustain baseflow.
(4) Methodological insights and integrated characterization. The convergence of evidence from multiple independent methods (rapid hydraulic response, stable hydrochemical parameters, and strongly damped isotopic signals) provides characterization of aquifer storage and mixing processes that would not be achievable through any single approach. While isotopic signal attenuation made quantitative estimation of MRT impossible, it reinforced interpretations of substantial storage volumes and long water–rock interaction times, derived independently from hydrological time series and hydrochemical analyses. The observation that isotopic shifts become detectable primarily during water level rises following low-storage periods highlights the importance of aquifer storage state in controlling tracer signal transmission. It suggests that event-based sampling during such conditions may be necessary to capture recharge–discharge relationships in highly buffered karst systems. This integrated multi-tracer approach demonstrates the need to combine hydraulic, chemical, and isotopic data for comprehensive karst aquifer characterization, as each method reveals distinct aspects of system behavior.
Future work should focus on: extended high-frequency isotopic monitoring during identified low-storage periods to better constrain recharge–discharge relationships; incorporation of additional environmental tracers (e.g., CFCs) to provide independent MRT constraints; detailed investigation of the mechanisms driving GW890’s distinct isotopic and hydrological signature; and continued monitoring to assess system response to projected changes in precipitation patterns, particularly during the critical autumn recharge season.

Author Contributions

Conceptualization, D.M. (Diana Mance); methodology, D.M. (Diana Mance); software, D.M. (Diana Mance) and M.R.; validation, D.M. (Diana Mance) and J.R.; formal analysis, D.M. (Diana Mance) and M.R.; investigation, D.M. (Davor Mance), D.M. (Diana Mance), A.T.-J., E.T. and J.R.; resources, D.M. (Diana Mance), A.T.-J., M.O. and J.R.; data curation, D.M. (Diana Mance); writing—original draft preparation, D.M. (Diana Mance); writing—review and editing, D.M. (Davor Mance), D.M. (Diana Mance), M.O. and J.R.; visualization, D.M. (Diana Mance) and M.R.; supervision, J.R.; project administration, D.M. (Diana Mance); funding acquisition, D.M. (Diana Mance) All authors have read and agreed to the published version of the manuscript.

Funding

This research was funded by the European Union—NextGenerationEU, grant number uniri-iz-25-300.

Data Availability Statement

The data presented in this study are available on request from the corresponding author, as some of the data will be used for an additional publication that is currently in preparation. Once that manuscript is published, the data will be made fully available through DABAR—Digital Academic Archives and Repositories (https://dabar.srce.hr/en, URL accessed on 11 January 2026).

Conflicts of Interest

Author Alenka Turković-Juričić was employed by Water Supply Company Rijeka, Liburnijske vode branch. Author Maja Oštrić was employed by Croatian Waters. Author Maja Radišić was employed by MaLu. Author Josip Rubinić was employed by GEO-5 Ltd. The remaining authors declare that the research was conducted in the absence of any commercial or financial relationships that could be construed as a potential conflict of interest.

References

  1. Hartmann, A.; Goldscheider, N.; Wagener, T.; Lange, J.; Weiler, M. Karst water resources in a changing world: Review of hydrological modeling approaches. Rev. Geophys. 2014, 52, 218–242. [Google Scholar] [CrossRef]
  2. Siegel, L.; Goldscheider, N.; Petitta, M.; Xanke, J.; Andreo, B.; Bakalowicz, M.; Barberá, J.A.; Bouhlila, R.; Burg, A.; Doummar, J.; et al. Distribution, threats and protection of selected karst groundwater-dependent ecosystems in the Mediterranean region. Hydrogeol. J. 2023, 31, 2231–2249. [Google Scholar] [CrossRef]
  3. Butscher, C.; Huggenberger, P. Modeling the temporal variability of karst groundwater vulnerability, with implications for climate change. Environ. Sci. Technol. 2009, 43, 1665–1669. [Google Scholar] [CrossRef]
  4. Clark, I.D.; Fritz, P. Environmental Isotopes in Hydrogeology; Lewis Publishers: Boca Raton, FL, USA, 1997. [Google Scholar]
  5. Kendall, C.; McDonnell, J.J. (Eds.) Isotope Tracers in Catchment Hydrology; Elsevier: Amsterdam, The Netherlands, 1998. [Google Scholar]
  6. Cook, P.G.; Herczeg, A.L. (Eds.) Environmental Tracers in Subsurface Hydrology; Springer: Berlin/Heidelberg, Germany, 2000. [Google Scholar]
  7. Goldscheider, N.; Drew, D. (Eds.) Methods in Karst Hydrogeology; CRC Press: Boca Raton, FL, USA, 2007. [Google Scholar]
  8. Bakalowicz, M. Karst groundwater: A challenge for new resources. Hydrogeol. J. 2005, 13, 148–160. [Google Scholar] [CrossRef]
  9. Chen, Z.; Auler, A.S.; Bakalowicz, M.; Drew, D.; Griger, F.; Hartmann, J.; Jiang, G.; Moosdorf, N.; Richts, A.; Stevanovic, Z.; et al. The World Karst Aquifer Mapping project: Concept, mapping procedure and map of Europe. Hydrogeol. J. 2017, 25, 771–785. [Google Scholar] [CrossRef]
  10. Stevanović, Z. (Ed.) Karst Aquifers: Characterization and Engineering; Springer: Berlin/Heidelberg, Germany, 2015. [Google Scholar]
  11. Roller-Lutz, Z.; Mance, D.; Hunjak, T.; Lutz, H.O. On the isotopic altitude effect of precipitation in the Northern Adriatic (Croatia). In Isotopes in Hydrology, Marine Ecosystems and Climate Change Studies; IAEA: Vienna, Austria, 2013; pp. 99–105. [Google Scholar]
  12. Mance, D.; Hunjak, T.; Lenac, D.; Rubinić, J.; Roller-Lutz, Z. Stable isotope analysis of the karst hydrological systems in the Bay of Kvarner (Croatia). Appl. Radiat. Isot. 2014, 90, 23–34. [Google Scholar] [CrossRef]
  13. Mance, D.; Radišić, M.; Lenac, D.; Rubinić, J. Hydrological Behavior of Karst Systems Identified by Statistical Analyses of Stable Isotope Monitoring Results. Hydrology 2022, 9, 82. [Google Scholar] [CrossRef]
  14. Giorgi, F. Climate change hot-spots. Geophys. Res. Lett. 2006, 33, L08707. [Google Scholar] [CrossRef]
  15. Diffenbaugh, N.S.; Giorgi, F. Climate change hotspots in the CMIP5 global climate model ensemble. Clim. Change 2012, 114, 813–822. [Google Scholar] [CrossRef]
  16. Bonacci, O.; Ljubenkov, I.; Roje-Bonacci, T. Karst flash floods: An example from the Dinaric karst (Croatia). Nat. Hazards Earth Syst. Sci. 2006, 6, 195–203. [Google Scholar] [CrossRef]
  17. Vučetić, V.; Anić, M. Agroklimatski Atlas Hrvatske u Razdobljima 1981.–2010. i 1991.–2020; DHMZ: Zagreb, Croatia, 2021; p. 167. (In Croatian) [Google Scholar]
  18. Zaninović, K.; Gajić-Čapka, M.; Perčec Tadić, M.; Vučetić, M.; Milković, J.; Bajić, A.; Cindrić, K.; Cvitan, L.; Katušin, Z.; Kaučić, D.; et al. Climate Atlas of Croatia: 1961.-1990.: 1971.-2000; DHMZ: Zagreb, Croatia, 2008; p. 59. [Google Scholar]
  19. Vlahović, I.; Matoš, B. On the Very Edge of the Dinarides—The Geology of Učka Nature Park; Perk Prirode Učka: Ičići, Croatia, 2021. [Google Scholar]
  20. Grozić, D.; Kukuljan, L. Explore, understand and protect—On speleological and hydrological research in the Učka cave system, Croatia. Hrvat. Vode 2024, 32, 235–241. (In Croatian) [Google Scholar]
  21. Radan, R.; Rubinić, J. The development of the water supply system in Opatija caused by the development of tourism triggered by the construction of a railway. In The Identity of Rijeka: Economic, Historical, Linguistic and Cultural Echoes on the 150th Anniversary of the Construction of the Rijeka—Pivka and Rijeka—Karlovac Railways; Gerbaz, G.C., Jelićić, I., Lozzi Barković, J., Roknić Bežanić, A., Eds.; Faculty of Humanities and Social Sciences in Rijeka: Rijeka, Croatia, 2025; pp. 135–150. [Google Scholar]
  22. Mrak, E.; Kostelac, M.; Doričić, D.; Balgavi, I.; Turković-Juričić, A.; Terčić, E.; Dorčić, V.; Čulić, S.; Jugo, M.; Marmilić, M. Sačuvajmo Zdravu i Pitku Vodu za Generacije Koje Dolaze; Liburnijske Vode: Opatija, Croatia, 2024. [Google Scholar]
  23. Kukuljan, L.; Grozić, D. Sustav Zračak nade 2-Kaverna u tunelu Učka. Subterranea Croat. 2021, 19, 14–28. [Google Scholar]
  24. Craig, H. Isotopic Variations in Meteoric Waters. Science 1961, 133, 1702–1703. [Google Scholar] [CrossRef]
  25. Dansgaard, W. Stable isotopes in precipitation. Tellus 1964, 16, 436–468. [Google Scholar] [CrossRef]
  26. Gat, J.R.; Carmi, I. Effect of climate changes on the precipitation patterns and isotopic composition of water in a climate transition zone: Case of the Eastern Mediterranean Sea area. In Proceedings of the XIXth General Assembly of the International Union of Geodesy and Geophysics, Vancouver, BC, Canada, 9–22 August 1987. [Google Scholar]
  27. Landwehr, J.M.; Coplen, T.B. Line-conditioned excess: A new method for characterizing stable hydrogen and oxygen isotope ratios in hydrologic systems. In International Conference on Isotopes in Environmental Studies; IAEA: Vienna, Austria, 2006; Volume 118, pp. 132–135. [Google Scholar]
  28. Yapiyev, V.; Rossi, P.M.; Ala-Aho, P.; Marttila, H. Stable water isotopes as an indicator of surface water intrusion in shallow aquifer wells: A cold climate perspective. Water Resour. Res. 2023, 59, e2022WR033056. [Google Scholar] [CrossRef]
  29. Ren, X.; Li, P.; He, X.; Zhang, Q. Tracing the sources and evaporation fate of surface water and groundwater using stable isotopes of hydrogen and oxygen. Sci. Total Environ. 2024, 931, 172708. [Google Scholar] [CrossRef]
  30. Lyu, S.; Wang, J.; Song, X.; Wen, X. The relationship of δD and δ18O in surface soil water and its implications for soil evaporation along grass transects of Tibet, Loess, and Inner Mongolia Plateau. J. Hydrol. 2021, 600, 126533. [Google Scholar] [CrossRef]
  31. Padilla, A.; Pulido-Bosch, A. Study of hydrographs of karstic aquifers by means of correlation and cross-spectral analysis. J. Hydrol. 1995, 168, 73–89. [Google Scholar] [CrossRef]
  32. Mangin, A. Pour une meilleure connaissance des systèmes hydrologiques à partir des analyses corrélatoire et spectrale. J. Hydrol. 1984, 67, 25–43. [Google Scholar] [CrossRef]
  33. The Jamovi Project. Jamovi (Version 2.6) [Computer Software]. 2025. Available online: https://www.jamovi.org (accessed on 1 July 2025).
  34. Rozanski, K.; Araguas-Araguas, L.; Gonfiantini, R. Relation between long-term trends of oxygen-18 isotope composition of precipitation and climate. Science 1992, 258, 981–985. [Google Scholar] [CrossRef]
  35. Vystavna, Y.; Matiatos, I.; Wassenaar, L.I. Temperature and precipitation effects on the isotopic composition of global precipitation reveal long-term climate dynamics. Sci. Rep. 2021, 11, 18503. [Google Scholar] [CrossRef]
  36. Gonfiantini, R.; Roche, M.A.; Olivry, J.C.; Fontes, J.C.; Zuppi, G.M. The altitude effect on the isotopic composition of tropical rains. Chem. Geol. 2001, 181, 147–167. [Google Scholar] [CrossRef]
  37. Kern, Z.; Hatvani, I.G.; Czuppon, G.; Fórizs, I.; Erdélyi, D.; Kanduč, T.; Palcsu, L.; Vreča, P. Isotopic ‘altitude’and ‘continental’effects in modern precipitation across the Adriatic–Pannonian Region. Water 2020, 12, 1797. [Google Scholar] [CrossRef]
  38. Natali, S.; Doveri, M.; Giannecchini, R.; Baneschi, I.; Zanchetta, G. Is the deuterium excess in precipitation a reliable tracer of moisture sources and water resources fate in the western Mediterranean? New insights from Apuan Alps (Italy). J. Hydrol. 2022, 614, 128497. [Google Scholar] [CrossRef]
  39. Gat, J.R.; Carmi, I. Evolution of the isotopic composition of atmospheric waters in the Mediterranean Sea area. J. Geophys. Res. 1970, 75, 3039–3048. [Google Scholar] [CrossRef]
  40. Pfahl, S.; Sodemann, H. What controls deuterium excess in global precipitation? Clim. Past 2014, 10, 771–781. [Google Scholar] [CrossRef]
  41. Julian, J.C.S.; Araguas, L.; Rozanski, K.; Benavente, J.; Cardenal, J.; Hidalgo, M.C.; Garcia-Lopez, S.; Martinez-Garrido, J.C.; Moral, F.; Olias, M. Sources of precipitation over South-Eastern Spain and groundwater recharge. An isotopic study. Tellus B 1992, 44, 226–236. [Google Scholar] [CrossRef]
  42. Froehlich, K.; Kralik, M.; Papesch, W.; Rank, D.; Scheifinger, H.; Stichler, W. Deuterium excess in precipitation of Alpine regions–moisture recycling. Isot. Environ. Health Stud. 2008, 44, 61–70. [Google Scholar] [CrossRef]
  43. Vreča, P.; Bronić, I.K.; Horvatinčić, N.; Barešić, J. Isotopic characteristics of precipitation in Slovenia and Croatia: Comparison of continental and maritime stations. J. Hydrol. 2006, 330, 457–469. [Google Scholar] [CrossRef]
  44. Pandžić, K.; Likso, T. Eastern Adriatic typical wind field patterns and large-scale atmospheric conditions. Int. J. Climatol. A J. R. Meteorol. Soc. 2005, 25, 81–98. [Google Scholar] [CrossRef]
  45. Jurčec, V.; Ivančan-Picek, B.; Tutiš, V.; Vukičević, V. Severe Adriatic jugo wind. Meteorol. Z. 1996, 5, 67–75. [Google Scholar] [CrossRef]
  46. Celle-Jeanton, H.; Travi, Y.; Blavoux, B. Isotopic typology of the precipitation in the Western Mediterranean region at three different time scales. Geophys. Res. Lett. 2001, 28, 1215–1218. [Google Scholar] [CrossRef]
  47. Lionello, P.; Scarascia, L. The relation between climate change in the Mediterranean region and global warming. Reg. Environ. Change 2018, 18, 1481–1493. [Google Scholar] [CrossRef]
  48. IPCC. Climate Change 2021: The Physical Science Basis. Contribution of Working Group I to the Sixth Assessment Report of the Intergovernmental Panel on Climate Change; Masson-Delmotte, V., Zhai, P., Pirani, A., Connors, S.L., Péan, C., Chen, Y., Goldfarb, L., Gomis, M.I., Matthews, R.J.B., Berger, S., et al., Eds.; Cambridge University Press: Cambridge, UK, 2021. [Google Scholar]
  49. Tarín-Carrasco, P.; Petrova, D.; Chica-Castells, L.; Lukovic, J.; Rodó, X.; Cvijanovic, I. Assessment of future precipitation changes in Mediterranean climate regions from CMIP6 ensemble. Int. J. Climatol. 2025, 45, e70039. [Google Scholar] [CrossRef]
  50. Larocque, M.; Mangin, A.; Razack, M.; Banton, O. Contribution of correlation and spectral analyses to the regional study of a large karst aquifer (Charente, France). J. Hydrol. 1998, 205, 217–231. [Google Scholar] [CrossRef]
Figure 1. Study area. (upper left) Map of Croatia, red circle indicates position of the study area; (lower left) aerial view of Mt. Učka showing its position relative to the Kvarner Bay and the Adriatic Sea, with the highest peak Vojak (PR1396) and Ičići sampling station (PR002); (upper right) satellite imagery map of the study area; (lower right) hydrogeological map: 1—low permeable flysch deposits, 2—well permeable carbonate rocks, 3—medium permeable carbonate rocks, 4—low permeable carbonate rocks, 5—scree. Blue dots represent groundwater sampling locations: the groundwater flow captured within the Učka Tunnel groundwater flow (GW490), Vela Učka Spring (GW890), and Mala Učka Spring (GW995). Red triangles represent precipitation sampling stations: Ičići (PR002), Vela Učka (PR890), Poklon (PR911), and Vojak (PR1396).
Figure 1. Study area. (upper left) Map of Croatia, red circle indicates position of the study area; (lower left) aerial view of Mt. Učka showing its position relative to the Kvarner Bay and the Adriatic Sea, with the highest peak Vojak (PR1396) and Ičići sampling station (PR002); (upper right) satellite imagery map of the study area; (lower right) hydrogeological map: 1—low permeable flysch deposits, 2—well permeable carbonate rocks, 3—medium permeable carbonate rocks, 4—low permeable carbonate rocks, 5—scree. Blue dots represent groundwater sampling locations: the groundwater flow captured within the Učka Tunnel groundwater flow (GW490), Vela Učka Spring (GW890), and Mala Učka Spring (GW995). Red triangles represent precipitation sampling stations: Ičići (PR002), Vela Učka (PR890), Poklon (PR911), and Vojak (PR1396).
Water 18 00308 g001
Figure 2. Time series of average monthly air temperature in the city of Rijeka (RI) with (bottom) δ18O content of precipitation samples; and (top) δ2H content of precipitation samples collected at the stations Ičići (PR002) and Poklon (PR911). Note: Since there is no official meteorological station on Mount Učka to record air temperature, the station in Rijeka serves as the closest source of official data.
Figure 2. Time series of average monthly air temperature in the city of Rijeka (RI) with (bottom) δ18O content of precipitation samples; and (top) δ2H content of precipitation samples collected at the stations Ičići (PR002) and Poklon (PR911). Note: Since there is no official meteorological station on Mount Učka to record air temperature, the station in Rijeka serves as the closest source of official data.
Water 18 00308 g002
Figure 3. Time series of deuterium excess (d-excess) in precipitation samples collected at the stations Ičići (PR002), Poklon (PR911), and average monthly air temperature in the city of Rijeka (RI).
Figure 3. Time series of deuterium excess (d-excess) in precipitation samples collected at the stations Ičići (PR002), Poklon (PR911), and average monthly air temperature in the city of Rijeka (RI).
Water 18 00308 g003
Figure 4. Correlation diagram of δ2H and δ18O values in precipitation samples together with corresponding regression lines for the entire sampling period (Local Meteoric Water Line, LMWL, green); for samples collected during the cold part of the hydrological year (Oct—Mar, LMWL—cold, blue); and for samples collected during the warm part of the hydrological year (Apr—Sep, LMWL—warm, red). Global Meteoric Water Line (GMWL, black) is shown for comparison.
Figure 4. Correlation diagram of δ2H and δ18O values in precipitation samples together with corresponding regression lines for the entire sampling period (Local Meteoric Water Line, LMWL, green); for samples collected during the cold part of the hydrological year (Oct—Mar, LMWL—cold, blue); and for samples collected during the warm part of the hydrological year (Apr—Sep, LMWL—warm, red). Global Meteoric Water Line (GMWL, black) is shown for comparison.
Water 18 00308 g004
Figure 5. Auto-correlation functions of mean daily groundwater levels. Horizontal dashed line represents the statistical significance threshold. Mala Učka Spring (GW995), Vela Učka Spring (GW890), and Groundwater flow within the Tunnel Učka (GW490).
Figure 5. Auto-correlation functions of mean daily groundwater levels. Horizontal dashed line represents the statistical significance threshold. Mala Učka Spring (GW995), Vela Učka Spring (GW890), and Groundwater flow within the Tunnel Učka (GW490).
Water 18 00308 g005
Figure 6. Correlation diagram of δ2H and δ18O values in groundwater with corresponding Local Groundwater Lines (LGWLs) and Local Meteoric Water Line (LMWL). Tunnel Učka groundwater course—GW490; Vela Učka Spring—GW890; Mala Učka Spring—GW995.
Figure 6. Correlation diagram of δ2H and δ18O values in groundwater with corresponding Local Groundwater Lines (LGWLs) and Local Meteoric Water Line (LMWL). Tunnel Učka groundwater course—GW490; Vela Učka Spring—GW890; Mala Učka Spring—GW995.
Water 18 00308 g006
Figure 7. Time series of: (top) δ2H content; (bottom) and δ18O content of groundwater samples and precipitation at Poklon station (PR911). The dashed line represents a sinusoidal model of seasonal variation in precipitation isotopic composition (PR911fit). Groundwater: Mala Učka Spring (GW995), Vela Učka Spring (GW890), and Tunnel Učka groundwater flow (GW490).
Figure 7. Time series of: (top) δ2H content; (bottom) and δ18O content of groundwater samples and precipitation at Poklon station (PR911). The dashed line represents a sinusoidal model of seasonal variation in precipitation isotopic composition (PR911fit). Groundwater: Mala Učka Spring (GW995), Vela Učka Spring (GW890), and Tunnel Učka groundwater flow (GW490).
Water 18 00308 g007
Figure 8. Time series of δ2H composition in (A) precipitation; and (BD) spring waters with water level fluctuations. Panel (A) shows precipitation δ2H (red circles, right axis) and cumulative precipitation (black bars, left axis). Panels (BD) display δ2H values (black symbols, right axis) and water levels (colored lines, left axis) for Tunnel Učka groundwater flow (GW490), Vela Učka Spring (GW890), and Mala Učka Spring (GW995).
Figure 8. Time series of δ2H composition in (A) precipitation; and (BD) spring waters with water level fluctuations. Panel (A) shows precipitation δ2H (red circles, right axis) and cumulative precipitation (black bars, left axis). Panels (BD) display δ2H values (black symbols, right axis) and water levels (colored lines, left axis) for Tunnel Učka groundwater flow (GW490), Vela Učka Spring (GW890), and Mala Učka Spring (GW995).
Water 18 00308 g008
Figure 9. Time series of δ18O values (filled symbols) and water temperature (open symbols) for the three groundwater sources (GW995, GW890, GW490) from July 2019 to April 2022.
Figure 9. Time series of δ18O values (filled symbols) and water temperature (open symbols) for the three groundwater sources (GW995, GW890, GW490) from July 2019 to April 2022.
Water 18 00308 g009
Figure 10. Temporal variation in (upper panel) line-conditioned excess (lc-excess); and (lower panel) deuterium excess (d-excess) in groundwater samples (GW490, GW890, GW995) compared with air temperature (black dashed line). The green horizontal line represents the approximate mean d-excess value of groundwater (16‰), while the dashed green line at lc-excess = 0 indicates meteoric conditions. Note the absence of significant seasonal trends in both d-excess and lc-excess despite pronounced seasonal temperature variability.
Figure 10. Temporal variation in (upper panel) line-conditioned excess (lc-excess); and (lower panel) deuterium excess (d-excess) in groundwater samples (GW490, GW890, GW995) compared with air temperature (black dashed line). The green horizontal line represents the approximate mean d-excess value of groundwater (16‰), while the dashed green line at lc-excess = 0 indicates meteoric conditions. Note the absence of significant seasonal trends in both d-excess and lc-excess despite pronounced seasonal temperature variability.
Water 18 00308 g010
Figure 11. Temporal variation in hydrochemical and hydrological parameters in three karst water sources from July 2019 to April 2022. From top to bottom: electrical conductivity, pH, temperature, turbidity, discharge, and cumulative precipitation between successive sampling events.
Figure 11. Temporal variation in hydrochemical and hydrological parameters in three karst water sources from July 2019 to April 2022. From top to bottom: electrical conductivity, pH, temperature, turbidity, discharge, and cumulative precipitation between successive sampling events.
Water 18 00308 g011
Table 1. Overview of sampling locations with elevations, sample types, and number of samples.
Table 1. Overview of sampling locations with elevations, sample types, and number of samples.
LocationSampleAltitude (m a.s.l.)n
Ičići (PR002)precipitation238
Vela Učka (PR890)precipitation89038
Poklon (PR911)precipitation91140
Vojak (PR1396)precipitation139635
Groundwater flow within the Učka Tunnel (GW490)groundwater49038
Spring Vela Učka (GW890)groundwater89039
Spring Mala Učka (GW995)groundwater99539
Table 2. Descriptive statistics of stable isotope composition in precipitation samples. Weighted mean values are calculated using precipitation amount as the weighting factor. PR002—Ičići, PR911—Poklon, PR890—Vela Učka, PR1396—Vojak.
Table 2. Descriptive statistics of stable isotope composition in precipitation samples. Weighted mean values are calculated using precipitation amount as the weighting factor. PR002—Ičići, PR911—Poklon, PR890—Vela Učka, PR1396—Vojak.
PR002PR890PR911PR1396
δ2Hδ18Oδ2Hδ18Oδ2Hδ18Oδ2Hδ18O
min−61.13−9.32−84.10−11.74−79.15−11.11−65.42−10.87
mean−33.47−5.54−43.03−7.21−40.96−7.12−42.75−7.41
st.dev.13.971.9815.651.8914.941.9412.851.70
max−7.23−2.36−13.56−3.86−12.12−3.24−17.26−3.84
weighted mean−36.49−6.05−46.58−7.65−45.06−7.75−47.54−8.02
Table 3. Descriptive statistics of d-excess in precipitation samples. Weighted mean values are calculated using precipitation amount as the weighting factor. Stations at similar altitudes (PR911 and PR890) show comparable d-excess values within the analytical uncertainty (±2.17‰). PR002—Ičići, PR911—Poklon, PR890—Vela Učka, PR1396—Vojak.
Table 3. Descriptive statistics of d-excess in precipitation samples. Weighted mean values are calculated using precipitation amount as the weighting factor. Stations at similar altitudes (PR911 and PR890) show comparable d-excess values within the analytical uncertainty (±2.17‰). PR002—Ičići, PR911—Poklon, PR890—Vela Učka, PR1396—Vojak.
d-excess (‰)PR002PR890PR911PR1396
min2.96.68.58.0
mean11.214.616.016.5
st.dev.4.43.84.54.0
max18.825.524.528.3
weighted mean11.914.616.922.5
Table 4. Local meteoric water lines. LMWL: calculated using all precipitation samples collected during the study period (July 2019–March 2022). LMWL—cold: calculated using only precipitation samples collected during the cold part (Oct—Mar) of the hydrological years within the study period. LMWL—warm: calculated using only precipitation samples collected during the warm part (April–September) of the hydrological years within the study period.
Table 4. Local meteoric water lines. LMWL: calculated using all precipitation samples collected during the study period (July 2019–March 2022). LMWL—cold: calculated using only precipitation samples collected during the cold part (Oct—Mar) of the hydrological years within the study period. LMWL—warm: calculated using only precipitation samples collected during the warm part (April–September) of the hydrological years within the study period.
δ2H–δ18O Correlation EquationR2
LMWLδ2H = (7.0 ± 0.2) × δ18O + (7.9 ± 1.3)0.9
LMWL—coldδ2H = (8.0 ± 0.2) × δ18O + (15.5 ± 1.8)0.94
LMWL—warmδ2H = (6.4 + 0.3) × δ18O + (3.4 + 1.8)0.87
Table 5. Descriptive statistics of the stable isotope content in the groundwater samples. GW995—Mala Učka Spring, GW890—Vela Učka Spring, GW490—Tunnel Učka groundwater course.
Table 5. Descriptive statistics of the stable isotope content in the groundwater samples. GW995—Mala Učka Spring, GW890—Vela Učka Spring, GW490—Tunnel Učka groundwater course.
GW490GW890GW995
δ2Hδ18Oδ2Hδ18Oδ2Hδ18O
min−48.78−8.55−49.6−8.82−47.2−8.91
mean−45.20−7.71−46.4−7.77−45.1−7.67
st.dev.1.970.431.20.401.40.47
max−38.57−6.55−43.6−6.88−42.1−6.65
Table 6. Local groundwater lines (LGWLs).
Table 6. Local groundwater lines (LGWLs).
δ2H–δ18O Correlation EquationR2
LGWL 490δ2H = (3.4 ± 0.5) × δ18O + (−18.9 ± 4.0)0.54
LGWL 890δ2H = (2.5 ± 0.3) × δ18O + (−27.3 ± 2.4)0.64
LGWL 995δ2H = (2.2 ± 0.3) × δ18O + (−28.6 ± 2.5)0.55
Table 7. Descriptive statistics of the d-excess and lc-excess in the groundwater samples. GW995—Mala Učka Spring, GW890—Vela Učka Spring, GW490—Tunnel Učka groundwater course.
Table 7. Descriptive statistics of the d-excess and lc-excess in the groundwater samples. GW995—Mala Učka Spring, GW890—Vela Učka Spring, GW490—Tunnel Učka groundwater course.
GW490GW890GW995
d-excess (‰)lc-excessd-excess (‰)lc-excessd-excess (‰)lc-excess
min12.0−1.511.5−1.311.2−1.2
mean16.90.216.30.0316.40.3
st.dev.2.30.82.50.72.90.8
max22.21.625.31.524.82.8
Disclaimer/Publisher’s Note: The statements, opinions and data contained in all publications are solely those of the individual author(s) and contributor(s) and not of MDPI and/or the editor(s). MDPI and/or the editor(s) disclaim responsibility for any injury to people or property resulting from any ideas, methods, instructions or products referred to in the content.

Share and Cite

MDPI and ACS Style

Mance, D.; Radišić, M.; Oštrić, M.; Mance, D.; Turković-Juričić, A.; Toplonjak, E.; Rubinić, J. Stable Isotope Analysis of Precipitation—Karst Groundwater System (Mt. Učka, Croatia). Water 2026, 18, 308. https://doi.org/10.3390/w18030308

AMA Style

Mance D, Radišić M, Oštrić M, Mance D, Turković-Juričić A, Toplonjak E, Rubinić J. Stable Isotope Analysis of Precipitation—Karst Groundwater System (Mt. Učka, Croatia). Water. 2026; 18(3):308. https://doi.org/10.3390/w18030308

Chicago/Turabian Style

Mance, Diana, Maja Radišić, Maja Oštrić, Davor Mance, Alenka Turković-Juričić, Ema Toplonjak, and Josip Rubinić. 2026. "Stable Isotope Analysis of Precipitation—Karst Groundwater System (Mt. Učka, Croatia)" Water 18, no. 3: 308. https://doi.org/10.3390/w18030308

APA Style

Mance, D., Radišić, M., Oštrić, M., Mance, D., Turković-Juričić, A., Toplonjak, E., & Rubinić, J. (2026). Stable Isotope Analysis of Precipitation—Karst Groundwater System (Mt. Učka, Croatia). Water, 18(3), 308. https://doi.org/10.3390/w18030308

Note that from the first issue of 2016, this journal uses article numbers instead of page numbers. See further details here.

Article Metrics

Back to TopTop