error_outline You can access the new MDPI.com website here. Explore and share your feedback with us.
 
 
Sign in to use this feature.

Years

Between: -

Subjects

remove_circle_outline
remove_circle_outline
remove_circle_outline
remove_circle_outline
remove_circle_outline
remove_circle_outline
remove_circle_outline
remove_circle_outline
remove_circle_outline

Journals

remove_circle_outline
remove_circle_outline
remove_circle_outline
remove_circle_outline
remove_circle_outline
remove_circle_outline
remove_circle_outline
remove_circle_outline
remove_circle_outline
remove_circle_outline
remove_circle_outline
remove_circle_outline
remove_circle_outline
remove_circle_outline
remove_circle_outline
remove_circle_outline
remove_circle_outline
remove_circle_outline
remove_circle_outline

Article Types

Countries / Regions

remove_circle_outline
remove_circle_outline
remove_circle_outline
remove_circle_outline
remove_circle_outline
remove_circle_outline
remove_circle_outline

Search Results (1,999)

Search Parameters:
Keywords = suitability zoning

Order results
Result details
Results per page
Select all
Export citation of selected articles as:
15 pages, 1689 KB  
Article
Integration of Machine-Learning Weather Forecasts into Photovoltaic Power Plant Modeling: Analysis of Forecast Accuracy and Energy Output Impact
by Hamza Feza Carlak and Kira Karabanova
Energies 2026, 19(2), 318; https://doi.org/10.3390/en19020318 - 8 Jan 2026
Abstract
Accurate forecasting of meteorological parameters is essential for the reliable operation and performance optimization of photovoltaic (PV) power plants. Among these parameters, ambient temperature and global horizontal irradiance (GHI) have the most direct impact on PV output. This study investigates the integration of [...] Read more.
Accurate forecasting of meteorological parameters is essential for the reliable operation and performance optimization of photovoltaic (PV) power plants. Among these parameters, ambient temperature and global horizontal irradiance (GHI) have the most direct impact on PV output. This study investigates the integration of machine-learning-based (ML) weather forecasts into PV energy modeling and quantifies how forecast accuracy propagates into PV generation estimation errors. Three commonly used ML algorithms—Artificial Neural Networks (ANN), Support Vector Regression (SVR), and Random Forest (RF)—were developed and compared. Antalya (Turkey), representing a Mediterranean climate zone, was selected as the case study location. High-resolution meteorological data from 2018–2023 were used to train and evaluate the forecasting models for prediction horizons from 1 to 10 days. Model performance was assessed using root mean square error (RMSE) and the coefficient of determination (R2). The results indicate that RF provides the highest accuracy for temperature prediction, while ANN demonstrates superior performance for GHI forecasting. The generated forecasts were incorporated into a PV power output simulation using the PVLib library. The analysis reveals that inaccuracies in GHI forecasts have the largest impact on PV energy estimation, whereas temperature forecast errors contribute significantly less. Overall, the study demonstrates the practical benefits of integrating ML-based meteorological forecasting with PV performance modeling and provides guidance on selecting suitable forecasting techniques for renewable energy system planning and optimization. Full article
(This article belongs to the Topic Solar and Wind Power and Energy Forecasting, 2nd Edition)
Show Figures

Figure 1

72 pages, 3613 KB  
Article
Natural-Language Mediation Versus Numerical Aggregation in Multi-Stakeholder AI Governance: Capability Boundaries and Architectural Requirements
by Alexandre P. Uchoa, Carlo E. T. Oliveira, Claudia L. R. Motta and Daniel Schneider
Computers 2026, 15(1), 24; https://doi.org/10.3390/computers15010024 - 5 Jan 2026
Viewed by 153
Abstract
This study investigates whether a large language model (LLM) can perform governance-style mediation among multiple stakeholders when preferences are expressed only in categorical natural language. Building on prior conceptual work proposing an advisory governance layer for AI systems, we designed a controlled experiment [...] Read more.
This study investigates whether a large language model (LLM) can perform governance-style mediation among multiple stakeholders when preferences are expressed only in categorical natural language. Building on prior conceptual work proposing an advisory governance layer for AI systems, we designed a controlled experiment comparing a language-based mediator with a numerical baseline (Borda count) across 1024 synthetic stakeholder scenarios, each executed ten times (10,240 paired decisions). Results show only 31% agreement with Borda, revealing distinct decision logic that produces equity-biased outcomes (68% improved fairness, ~25% Gini reduction, 38% higher minimum utility) at the cost of efficiency (14–20% lower mean utility). Stability analysis identified three reliability zones—stable (39%), middle (28%), and knife-edge (33%)—enabling risk-proportionate oversight. Qualitative analysis revealed that equity bias emerges from opaque pattern-matching followed by post hoc rationalization rather than systematic application of governance principles, with frequent semantic-grounding failures even in stable cases. These findings demonstrate that language-based mediation diverges fundamentally from numerical aggregation, suitable for advisory deliberation but requiring human oversight for value verification and factual accuracy. Full article
Show Figures

Graphical abstract

23 pages, 2965 KB  
Article
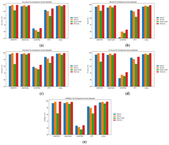
YOLO-LIO: A Real-Time Enhanced Detection and Integrated Traffic Monitoring System for Road Vehicles
by Rachmat Muwardi, Haiyang Zhang, Hongmin Gao, Mirna Yunita, Rizky Rahmatullah, Ahmad Musyafa, Galang Persada Nurani Hakim and Dedik Romahadi
Algorithms 2026, 19(1), 42; https://doi.org/10.3390/a19010042 - 4 Jan 2026
Viewed by 109
Abstract
Traffic violations and road accidents remain significant challenges in developing safe and efficient transportation systems. Despite technological advancements, improving vehicle detection accuracy and enabling real-time traffic management remain critical research priorities. This study proposes YOLO-LIO, an enhanced vehicle detection framework designed to address [...] Read more.
Traffic violations and road accidents remain significant challenges in developing safe and efficient transportation systems. Despite technological advancements, improving vehicle detection accuracy and enabling real-time traffic management remain critical research priorities. This study proposes YOLO-LIO, an enhanced vehicle detection framework designed to address these challenges by improving small-object detection and optimizing real-time deployment. The system introduces multi-scale detection, virtual zone filtering, and efficient preprocessing techniques, including grayscale transformation, Laplacian variance calculation, and median filtering to reduce computational complexity while maintaining high performance. YOLO-LIO was rigorously evaluated on five datasets, GRAM Road-Traffic Monitoring (99.55% accuracy), MAVD-Traffic (99.02%), UA-DETRAC (65.14%), KITTI (94.21%), and an Author Dataset (99.45%), consistently demonstrating superior detection capabilities across diverse traffic scenarios. Additional system features include vehicle counting using a dual-line detection strategy within a virtual zone and speed detection based on frame displacement and camera calibration. These enhancements enable the system to monitor traffic flow and vehicle speeds with high accuracy. YOLO-LIO was successfully deployed on Jetson Nano, a compact, energy-efficient hardware platform, proving its suitability for real-time, low-power embedded applications. The proposed system offers an accurate, scalable, and computationally efficient solution, advancing intelligent transportation systems and improving traffic safety management. Full article
Show Figures

Figure 1

24 pages, 7238 KB  
Article
Structural-Functional Suitability Assessment of Yangtze River Waterfront in the Yichang Section: A Three-Zone Spatial and POI-Based Approach
by Xiaofen Li, Fan Qiu, Kai Li, Yichen Jia, Junnan Xia and Jiawuhaier Aishanjian
Land 2026, 15(1), 91; https://doi.org/10.3390/land15010091 - 1 Jan 2026
Viewed by 184
Abstract
The Yangtze River Economic Belt is a crucial driver of China’s economy, and its shoreline is a strategic, finite resource vital for ecological security, flood control, navigation, and socioeconomic development. However, intensive development has resulted in functional conflicts and ecological degradation, underscoring the [...] Read more.
The Yangtze River Economic Belt is a crucial driver of China’s economy, and its shoreline is a strategic, finite resource vital for ecological security, flood control, navigation, and socioeconomic development. However, intensive development has resulted in functional conflicts and ecological degradation, underscoring the need for accurate identification and suitability assessment of shoreline functions. Conventional methods, which predominantly rely on land use data and remote sensing imagery, are often limited in their ability to capture dynamic changes in large river systems. This study introduces an integrated framework combining macro-level “Three-Zone Space” (urban, agricultural, ecological) theory with micro-level Point of Interest (POI) data to rapidly identify shoreline functions along the Yichang section of the Yangtze River. We further developed a multi-criteria evaluation system incorporating ecological, production, developmental, and risk constraints, utilizing a combined AHP-Entropy weight method to assess suitability. The results reveal a clear upstream-downstream gradient: ecological functions dominate upstream, while agricultural and urban functions increase downstream. POI data enabled refined classification into five functional types, revealing that ecological conservation shorelines are extensively distributed upstream, port and urban development shorelines concentrate in downstream nodal zones, and agricultural production shorelines are widespread yet exhibit a spatial mismatch with suitability scores. The comprehensive evaluation identified high-suitability units, primarily in downstream urban cores with superior development conditions and lower risks, whereas low-suitability units are constrained by high geological hazards and poor infrastructure. These findings provide a scientific basis for differentiated shoreline management strategies. The proposed framework offers a transferable approach for the sustainable planning of major river corridors, offering insights applicable to similar contexts. Full article
Show Figures

Figure 1

21 pages, 6996 KB  
Article
Spatial and Landscape Fragmentation Pattern of Endemic Symplocos Tree Communities Under Climate Change Scenarios in China
by Mohammed A. Dakhil, Lin Zhang, Marwa Waseem A. Halmy, Reham F. El-Barougy, Bikram Pandey, Zhanqing Hao, Zuoqiang Yuan, Lin Liang and Heba Bedair
Forests 2026, 17(1), 58; https://doi.org/10.3390/f17010058 - 31 Dec 2025
Viewed by 177
Abstract
Symplocos is an ecologically important genus that plays vital roles in subtropical evergreen broad-leaved mountain forests, including contributing to nutrient cycling, providing shelter and habitats for various organisms, and supporting overall plant diversity across East and Southeast Asia. Many species exhibit high levels [...] Read more.
Symplocos is an ecologically important genus that plays vital roles in subtropical evergreen broad-leaved mountain forests, including contributing to nutrient cycling, providing shelter and habitats for various organisms, and supporting overall plant diversity across East and Southeast Asia. Many species exhibit high levels of endemism and sensitivity to environmental change. China, with its wide range of ecosystems and climatic zones, is home to 18 endemic Symplocos species. Studies revealed that global warming is driving shifts in species diversity, particularly in mountains. Our study explores the current and projected richness patterns of endemic Symplocos species in China under climate change scenarios, emphasizing the implications for conservation planning. We applied stacked species distribution models (SSDMs), using key bioclimatic and environmental variables to predict current and future habitat suitability for endemic Symplocos species, evaluated model performance through multiple accuracy metrics, and generated ensemble projections to assess richness patterns under climate change scenarios. To assess the spatial configuration and fragmentation patterns of the endemic species richness under current and future climate scenarios, landscape metrics were calculated based on classified richness maps. The produced models demonstrated high accuracy with AUC > 0.9 and TSS > 0.75, highlighting the critical role of bioclimatic variables, particularly precipitation and temperature, in shaping endemic Symplocos distribution. Our analysis identifies the current hotspots of Symplocos endemism along southeastern China, particularly in Zhejiang, Fujian, Jiangxi, Hunan, southern Anhui, and northern Guangdong and Guangxi. These areas are at high risk, with up to 35% of endemic Symplocos species richness predicted to be lost over the next 60 years due to climate change. The study predicts a high decrease in endemic Symplocos species richness, especially in South China (e.g., Fujian, Guangdong, Guizhou, Yunnan, southern Shaanxi), and mid-level decreases in East China (e.g., Heilongjiang, Jilin, eastern Inner Mongolia, Liaoning). Conversely, potential increases in endemic Symplocos species richness are projected in northern and western Xinjiang, western Tibet, and parts of eastern Sichuan, Guangxi, Hunan, Hebei, and Anhui, suggesting these regions may serve as future refugia for endemic Symplocos species. The analysis of the landscape structure and configuration revealed relatively minor but notable variations in the spatial structure of endemic Symplocos richness patterns under current and future climate scenarios. However, under the SSP585 scenario by 2080, the medium richness class showed a more pronounced decrease in aggregation index and increase in number of patches relative to other richness classes, suggesting that higher emissions may drive fragmentation of moderately rich areas, potentially isolating populations of Symplocos. These structural changes suggest a potential reduction in habitat quality and connectivity, posing significant risks to the persistence of endemic Symplocos populations, which underscores the urgent need for targeted smart-climate conservation strategies that prioritize both current hotspots and potential future refugia to enhance the resilience of endemic Symplocos forests and their ecosystems in the face of climate change. Full article
(This article belongs to the Special Issue Forest Dynamics Under Climate and Land Use Change)
Show Figures

Figure 1

25 pages, 6731 KB  
Article
Visualizing Urban Dynamics: Insights from Electric Scooter Mobility Data
by Robert Bembenik, Alicja Dąbrowska and Jarosław Chudziak
Electronics 2026, 15(1), 187; https://doi.org/10.3390/electronics15010187 - 31 Dec 2025
Viewed by 296
Abstract
This paper showcases how electric scooter data can be used to visually explore and interpret urban dynamics, offering a perspective on city structure and mobility patterns. The goal of the study is to investigate how visual analysis of micromobility data can reveal spatial [...] Read more.
This paper showcases how electric scooter data can be used to visually explore and interpret urban dynamics, offering a perspective on city structure and mobility patterns. The goal of the study is to investigate how visual analysis of micromobility data can reveal spatial and temporal patterns that support urban planning and operational decision-making. Through a series of visual analyses, the article identifies high-demand areas and popular travel routes, with areas of particularly strong traffic—insights valuable for infrastructure planning and operational optimization. Temporal visualizations reveal distinct peaks in e-scooter activity during lunch hours and late evenings, highlighting behavior patterns that may inform service adjustments. Clustering techniques are used to delineate functional zones within the city, which are then visualized to reflect how users interact with urban space. These visuals help uncover mobility-based boundaries and support a deeper understanding of the city’s layout. Additionally, the approach highlights key locations that may be attractive for business development, such as new commercial spots, based on user behavior. By focusing on visual storytelling rather than predictive modeling, this work proposes analyses suitable for urban planners, mobility providers, and other stakeholders with actionable insights into urban movement and structure. Full article
(This article belongs to the Special Issue Artificial Intelligence, Computer Vision and 3D Display)
Show Figures

Figure 1

23 pages, 4976 KB  
Article
Exploring How Soil Moisture Varies with Soil Depth in the Root Zone and Its Rainfall Lag Effect in the Ecotone from the Qinghai–Tibetan Plateau to the Loess Plateau
by Yuanjing Qi, Siyu Wang, Jun Ma, Kexin Lv, Syed Moazzam Nizami, Chunhong Zhao, Qun’ou Jiang and Jiankun Huang
Remote Sens. 2026, 18(1), 120; https://doi.org/10.3390/rs18010120 - 29 Dec 2025
Viewed by 205
Abstract
Focusing on the ecotone from the Qinghai–Tibetan Plateau to the Loess Plateau (QPtoLP), this study firstly constructs a retrieval model of soil moisture in various depth layers based on multi-source remote sensing data by using the two-source energy balance (TSEB) model and soil–vegetation–atmosphere [...] Read more.
Focusing on the ecotone from the Qinghai–Tibetan Plateau to the Loess Plateau (QPtoLP), this study firstly constructs a retrieval model of soil moisture in various depth layers based on multi-source remote sensing data by using the two-source energy balance (TSEB) model and soil–vegetation–atmosphere transfer (SVAT) model. And then, it uncovers how the soil moisture changes across various depths in the root zone and discusses the lagging effect of rainfall. This research indicated that the correlation between the retrieved soil moisture and field-monitored values in various depth layers ranged from 0.720 to 0.8414, demonstrating that it is suitable for the retrieval of soil moisture at various depths in the study area. During the growing season, soil moisture experienced a slight decrease from mid-May to mid-June, followed by a partial recovery in mid-June. After a dry spell in July, the soil moisture reached its lowest point, but surface and deep soil moisture levels rebounded to above 0.2 and 0.1 cm3/cm3, respectively, by mid-August. Spatially, the soil moisture was higher in the southern region, characterized by dense human activities, and lower in the northern region, which is dominated by alpine grasslands. Comparing different depths, the soil moisture at a 0–5 cm depth was generally the highest most of the time, except in July, when the 35–50 cm depth had the highest value. Additionally, the surface soil moisture at a 0–5 cm depth indicated frequent fluctuations at elevations above 4000 m. As the soil depth increases, the rainfall lag effect becomes more pronounced, and the lag effect in the 35–50 cm soil layer is three days. Full article
(This article belongs to the Special Issue Multi-Sensor Remote Sensing for Soil Moisture Monitoring)
Show Figures

Figure 1

18 pages, 25691 KB  
Article
CFD Investigation of Melt Breakup Dynamics Induced by Delivery Tube End Geometry Configuration in Close-Coupled Gas Atomization
by Yi Wang, Bao Wang, Jianan Zhou and Changyong Chen
Metals 2026, 16(1), 43; https://doi.org/10.3390/met16010043 - 29 Dec 2025
Viewed by 175
Abstract
The breakup process of molten metal is the most critical stage in atomization powder production. Conducting systematic research on the breakup process of molten metal during gas atomization is highly significant for understanding the formation mechanism of droplets. In this study, a mathematical [...] Read more.
The breakup process of molten metal is the most critical stage in atomization powder production. Conducting systematic research on the breakup process of molten metal during gas atomization is highly significant for understanding the formation mechanism of droplets. In this study, a mathematical model suitable for investigating the breakup mechanism of molten aluminum in high-speed gas atomization was developed by coupling large eddy simulation (LES) with the volume of fluid (VOF) model, incorporating adaptive mesh refinement technology and periodic boundary conditions. Furthermore, the breakup behavior of molten aluminum in two close-coupled atomizers with distinct delivery tube end geometric (non-expanded type and expanded type, abbreviated as ET atomizer and NET atomizer) were compared. The development of surface waves, as well as the formation mechanisms of liquid cores, liquid ligaments, and liquid droplets during gas atomization, were systematically analyzed. The results indicated that Kelvin–Helmholtz instability was the predominant factor contributing to the primary breakup of molten metals. For the NET atomizer, the recirculation zone predominantly governed the primary breakup of molten metal, whereas the nitrogen main jet primarily controlled the secondary breakup. In the case of ET atomizer, under the influence of atomizing gas, a “conical” liquid core gradually formed, and numerous primary liquid droplets separated from the liquid core before undergoing secondary breakup. Compared to the ET atomizer, the NET atomizer produced droplets with a smaller average size. Full article
Show Figures

Figure 1

14 pages, 1182 KB  
Article
Impact of Ambient Temperature on the Performance of Liquid Air Energy Storage Installation
by Aleksandra Dzido and Piotr Krawczyk
Energies 2026, 19(1), 171; https://doi.org/10.3390/en19010171 - 28 Dec 2025
Viewed by 233
Abstract
The increasing share of renewable energy sources (RES) in modern power systems necessitates the development of efficient, large-scale energy storage technologies capable of mitigating generation variability. Liquid Air Energy Storage (LAES), particularly in its adiabatic form, has emerged as a promising candidate by [...] Read more.
The increasing share of renewable energy sources (RES) in modern power systems necessitates the development of efficient, large-scale energy storage technologies capable of mitigating generation variability. Liquid Air Energy Storage (LAES), particularly in its adiabatic form, has emerged as a promising candidate by leveraging thermal energy storage and high-pressure air liquefaction and regasification processes. Although LAES has been widely studied, the impact of ambient temperature on its performance remains insufficiently explored. This study addresses that gap by examining the thermodynamic response of an adiabatic LAES system under varying ambient air temperatures, ranging from 0 °C to 35 °C. A detailed mathematical model was developed and implemented in Aspen Hysys to simulate the system, incorporating dual refrigeration loops (methanol and propane), thermal oil intercooling, and multi-stage compression/expansion. Simulations were conducted for a reference charging power of 42.4 MW at 15 °C. The influence of external temperature was evaluated on key parameters including mass flow rate, unit energy consumption during liquefaction, energy recovery during expansion, and round-trip efficiency. Results indicate that ambient temperature has a marginal effect on overall LAES performance. Round-trip efficiency varied by only ±0.1% across the temperature spectrum, remaining around 58.3%. Mass flow rates and power output varied slightly, with changes in discharging power attributed to temperature-driven improvements in expansion process efficiency. These findings suggest that LAES installations can operate reliably across diverse climate zones with negligible performance loss, reinforcing their suitability for global deployment in grid-scale energy storage applications. Full article
(This article belongs to the Special Issue Studies in Renewable Energy Production and Distribution)
Show Figures

Figure 1

17 pages, 2593 KB  
Article
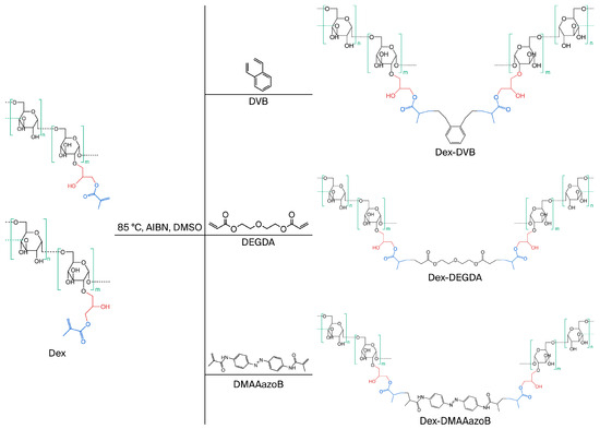
Part II: The Influence of Crosslinking Agents on the Properties and Colon-Targeted Drug Delivery Efficacy of Dextran-Based Hydrogels
by Tamara Erceg, Miloš Radosavljević, Milorad Miljić, Aleksandra Cvetanović Kljakić, Sebastian Baloš, Katarina Mišković Špoljarić, Ivan Ćorić, Ljubica Glavaš-Obrovac and Aleksandra Torbica
Gels 2026, 12(1), 25; https://doi.org/10.3390/gels12010025 - 28 Dec 2025
Viewed by 167
Abstract
In this study, dextran-based hydrogels were synthesized in dimethyl sulfoxide via free-radical polymerization with three structurally different crosslinking agents: divinyl benzene (DVB), diethylene glycol diacrylate (DEGDA), and 4,4′-di(methacryloylamino)azobenzene (DMAAazoB). Their morphology, swelling ability, mechanical properties, and potential for controlled release of the model [...] Read more.
In this study, dextran-based hydrogels were synthesized in dimethyl sulfoxide via free-radical polymerization with three structurally different crosslinking agents: divinyl benzene (DVB), diethylene glycol diacrylate (DEGDA), and 4,4′-di(methacryloylamino)azobenzene (DMAAazoB). Their morphology, swelling ability, mechanical properties, and potential for controlled release of the model substance (uracil) were examined, with the results showing that the chemical structure and chain length of the crosslinking agents significantly influence the structural and functional properties of hydrogels. Hydrogels crosslinked with DMAAazoB showed the highest swelling ability at pH 3 and pH 6 (2552 and 1696%, respectively), associated with protonation effects and sponge-like morphology, while simultaneously showing the lowest mechanical strength (20 and 47 MPa). In vitro simulations of gastrointestinal digestion showed that uracil was not released in the gastric phase, while in the intestinal environment, the release was significant, especially in Dex-DMAAzoB hydrogels (88.52%). The absence of azoreductases in the simulated system indicates that the release of the drug in real conditions would likely be even more pronounced. The Dex-DAAazoB hydrogel exhibited a slight antibacterial effect, producing inhibition zones of 8 and 7 mm against Escherichia coli ATCC 8739 and Staphylococcus epidermidis ATCC 12228, respectively. In contrast, the remaining hydrogel formulations showed no detectable antibacterial activity toward either bacterial strain, indicating their microbiological inertness and supporting their suitability as carrier matrices for antitumor drug delivery in colorectal cancer therapy. The obtained results confirm that azo-crosslinked dextran hydrogels, with an optimized amount of crosslinking agent, are promising carriers for the targeted and controlled delivery of antitumor drugs to the colorectal region. Full article
(This article belongs to the Special Issue Biopolymer Hydrogels: Synthesis, Properties and Applications)
Show Figures

Graphical abstract

25 pages, 12082 KB  
Article
Impacts of Open Spaces in Traditional Blocks on Human Thermal Comfort: Taking an Old Street in a Hot-Summer Cold-Winter Climate Region as an Example
by Yi-Pu Chen, Ran Hu, Komi Bernard Bedra and Qi-Meng Ning
Buildings 2026, 16(1), 136; https://doi.org/10.3390/buildings16010136 - 26 Dec 2025
Viewed by 193
Abstract
The microclimate of traditional blocks, a key component of urban fabric, directly affects the overall urban thermal environment. Creating a suitable microclimate is crucial for improving urban living quality. Field measurements, ENVI-met simulations, and the PET index were used to analyze the spatiotemporal [...] Read more.
The microclimate of traditional blocks, a key component of urban fabric, directly affects the overall urban thermal environment. Creating a suitable microclimate is crucial for improving urban living quality. Field measurements, ENVI-met simulations, and the PET index were used to analyze the spatiotemporal variations and core drivers of thermal comfort. Temporally, five open space types showed a unimodal “rise–stabilization–fall” PET curve, with peak heat stress occurring at 11:00–14:00. Courtyards heated fastest, but green spaces had the most stable thermal environment because trees provided shading and transpiration for gentle cooling. Spatially, thermal comfort varied significantly. For example, green spaces rich in trees performed best (PET 5–8 °C lower than pure grassland), while squares and courtyards faced severe midday heat stress (PET mostly moderate or above). Alley comfort depended on aspect ratio and orientation—north–south alleys with an aspect ratio > 2 were 2–3 °C cooler than open spaces, but east–west or narrower alleys (aspect ratio < 1.5) and low-enclosed courtyard control apply to southern Hunan’s hot-humid zone. However, the synergistic principles can be extended to similar southern regions, providing technical reference for traditional block livability and climate-resilient cities. Full article
(This article belongs to the Special Issue Advances in Urban Heat Island and Outdoor Thermal Comfort)
Show Figures

Figure 1

23 pages, 5615 KB  
Article
Experimental Study on Shear Behavior of 30 m Pre-Tensioned T-Beam with Polygonal Tendons Under Shear-Span Ratio of 2.5
by Jinglin Tao, Xingze Li, Dinghao Yu and Mingguang Wei
Buildings 2026, 16(1), 129; https://doi.org/10.3390/buildings16010129 - 26 Dec 2025
Viewed by 185
Abstract
Pre-tensioned T-beams with polygonal tendons offer high load-bearing capacity and suitability for large spans, demonstrating broad application potential in bridge engineering. The cracking state of a prestressed beam is a crucial indicator for assessing its service state, while the ultimate bearing capacity is [...] Read more.
Pre-tensioned T-beams with polygonal tendons offer high load-bearing capacity and suitability for large spans, demonstrating broad application potential in bridge engineering. The cracking state of a prestressed beam is a crucial indicator for assessing its service state, while the ultimate bearing capacity is a key metric for structural safety. In this study, we designed a novel 30 m pre-tensioned T-beam with polygonal tendons and investigated its shear cracking performance and ultimate bearing capacity under a shear-span ratio of 2.5 through a full-scale test. A graded loading protocol was employed. The results indicate that during the initial loading stage, the shear cracking load of the inclined section was 1766 kN. A distinct inflection point appeared on the load–displacement curve, accompanied by a significant reduction in stiffness. Cracks initially developed at the junctions between the web and the top flange, as well as the diaphragm, and subsequently propagated towards the shear–flexural region, exhibiting typical shear–compression failure characteristics. During the secondary loading to the ultimate state, the beam demonstrated good ductility and stress redistribution capability. The ultimate shear capacity reached 3868 kN. Failure occurred by crushing of the concrete in the compression zone after the critical inclined crack penetrated the web, with the member ultimately reaching its ultimate capacity through a plastic hinge mechanism. Strain analysis revealed that the polygonal tendons effectively restrained the premature development of inclined cracks, thereby enhancing the overall shear performance and deformation capacity. This study verifies the mechanical performance of the new T-beam under a shear span-to-depth ratio of 2.5 through calculations based on different codes and finite element numerical analysis, providing experimental evidence and theoretical references for its engineering application. Full article
(This article belongs to the Section Building Structures)
Show Figures

Figure 1

25 pages, 15799 KB  
Article
Coastal Zone Imager Sargassum Index Model Reveals the Change Details of Sargassum in Coastal Waters of China
by Beibei Zhang, Lina Cai, Xiaomin Ye and Jiahua Li
Remote Sens. 2026, 18(1), 78; https://doi.org/10.3390/rs18010078 - 25 Dec 2025
Viewed by 209
Abstract
This study reveals the distribution of floating macroalgae Sargassum in the East China Sea and Yellow Sea using HY-1C/D Coastal Zone Imager (CZI) data. A new inversion model, utilizing green and near-infrared bands, was developed for the 50 m resolution CZI data. This [...] Read more.
This study reveals the distribution of floating macroalgae Sargassum in the East China Sea and Yellow Sea using HY-1C/D Coastal Zone Imager (CZI) data. A new inversion model, utilizing green and near-infrared bands, was developed for the 50 m resolution CZI data. This model effectively distinguishes Sargassum from Ulva prolifera and is effective in turbid coastal waters. Sargassum spatiotemporal distribution and drift patterns over five years were analyzed. Key findings demonstrate that (1) floating Sargassum exhibits distinct spatiotemporal distribution patterns. Sargassum initially emerges along Zhejiang’s eastern coast in February. During March and April, it concentrates east of Hangzhou Bay. While in May, Sargassum appears in the Yellow Sea, and is distributed near the Shandong Peninsula by June. Small patches of Sargassum are also found in the Yellow Sea from November to January. (2) Its distribution is influenced by various factors like nutrients, temperature, salinity, currents, and winds. Suitable nutrients, temperature, and salinity promote growth, while currents and winds, particularly in April–May, drive its northward drift from the East China Sea into the Yellow Sea. The Yellow Sea population originates from both drifting populations and local growth. (3) This research highlights the utility of HY-1C/D satellite data in coastal zone research, facilitating ecological monitoring and protection. Full article
Show Figures

Figure 1

27 pages, 12133 KB  
Article
Methodology for Assessing Ports as Testbeds for Emerging Sustainable Wave Energy Technologies: Application to Sines Port with the REEFS WEC
by José P. P. G. Lopes de Almeida, Vinícius G. Machado, Aldina Santiago, Job Santos and João P. Araújo
Sustainability 2026, 18(1), 244; https://doi.org/10.3390/su18010244 - 25 Dec 2025
Viewed by 266
Abstract
This article proposes a methodology to assess the feasibility of using seaports as testbeds for emerging WEC models, supporting innovation to accelerate sustainable energy transition. The development of wave energy converters (WECs) requires experimental tests at increasing scales, with wave tanks eventually becoming [...] Read more.
This article proposes a methodology to assess the feasibility of using seaports as testbeds for emerging WEC models, supporting innovation to accelerate sustainable energy transition. The development of wave energy converters (WECs) requires experimental tests at increasing scales, with wave tanks eventually becoming inadequate due to size limitations. The method includes evaluating model requirements, ocean wave conditions at the port entrance, local wind-generated waves, tides, bathymetry, seabed composition, wave propagation within the port, and operational constraints to identify viable test zones. The methodology was applied to the Port of Sines, Portugal, considering a 1:10 REEFS WEC model. Three potential sites were identified. Shelter is adequate but wave conditions matching the model’s requirements (periods from 1.9 to 3.8 s) only occur approximately 100 h per summer. Local wind-generated waves contribute marginally, limited by the short fetch. Upscaling the model (larger than 1:10) may allow testing under longer-period waves, which occur more frequently. A key limitation of port-based testing is the lack of environmental control. Despite statistical planning, suitable conditions during test campaigns cannot be guaranteed. This trade-off offsets the benefits of unrestricted space and no need for a wave-maker. The methodology proved effective, simplifying site assessment and saving resources. Full article
(This article belongs to the Section Energy Sustainability)
Show Figures

Figure 1

27 pages, 12778 KB  
Article
Oil Spill Trajectories and Beaching Risk in Brazil’s New Offshore Frontier
by Daniel Constantino Zacharias, Guilherme Landim Santos, Carine Malagolini Gama, Elienara Fagundes Doca Vasconcelos, Beatriz Figueiredo Sacramento and Angelo Teixeira Lemos
J. Mar. Sci. Eng. 2026, 14(1), 40; https://doi.org/10.3390/jmse14010040 - 25 Dec 2025
Viewed by 347
Abstract
The present study has applied a probabilistic oil spill modeling framework to assess the potential risks associated with offshore oil spills in the Foz do Amazonas sedimentary basin, a region of exceptional ecological importance and increasing geopolitical and socio-environmental relevance. By integrating a [...] Read more.
The present study has applied a probabilistic oil spill modeling framework to assess the potential risks associated with offshore oil spills in the Foz do Amazonas sedimentary basin, a region of exceptional ecological importance and increasing geopolitical and socio-environmental relevance. By integrating a large ensemble of simulations with validated hydrodynamic, atmospheric and wave-driven forcings, the analysis of said simulations has provided a robust and seasonally resolved assessment of oil drift and beaching patterns along the Guianas and the Brazilian Equatorial Margin. The model has presented a total of 47,500 simulations performed on 95 drilling sites located across the basin, using the Lagrangian Spill, Transport and Fate Model (STFM) and incorporating a six-year oceanographic and meteorological variability. The simulations have included ocean current fields provided by HYCOM, wind forcing provided by GFS and Stokes drift provided by ERA5. Model performance has been evaluated by comparisons with satellite-tracked surface drifters using normalized cumulative Lagrangian separation metrics and skill scores. Mean skill scores have reached 0.98 after 5 days and 0.95 after 10 days, remaining above 0.85 up to 20 days, indicating high reliability for short to intermediate forecasting horizons and suitability for probabilistic applications. Probabilistic simulations have revealed a pronounced seasonal effect, governed by the annual migration of the Intertropical Convergence Zone (ITCZ). During the JFMA period, shoreline impact probabilities have exceeded 40–50% along extensive portions of the French Guiana and Amapá state (Brazil) coastlines, with oil reaching the coast typically within 10–20 days. In contrast, during the JASO period, beaching probabilities have decreased to below 15%, accompanied by a substantial reduction in impact along the coastline and higher variability in arrival times. Although coastal exposure has been markedly reduced during JASO, a residual probability of approximately 2% of oil intrusion into the Amazonas river mouth has persisted. Full article
(This article belongs to the Special Issue Oil Transport Models and Marine Pollution Impacts)
Show Figures

Figure 1

Back to TopTop