Part II: The Influence of Crosslinking Agents on the Properties and Colon-Targeted Drug Delivery Efficacy of Dextran-Based Hydrogels
Abstract
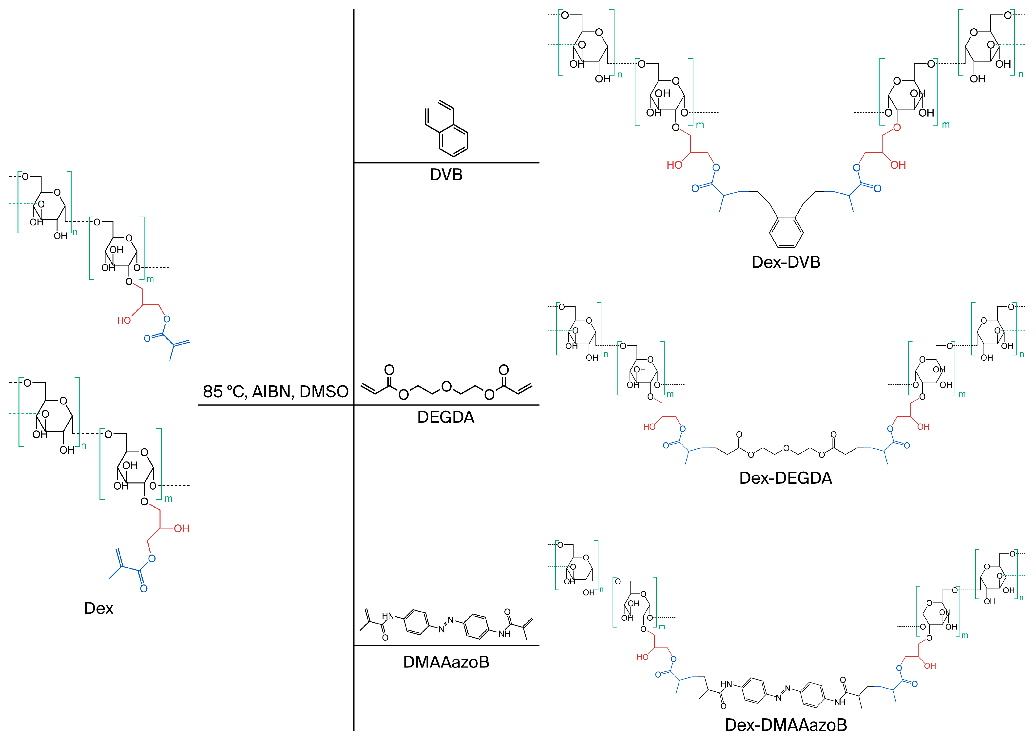
1. Introduction
2. Results and Discussion
2.1. Results of FTIR Analysis
2.2. Results of SEM Analysis
2.3. Results of Swelling Analysis
2.4. Results of Mechanical Property Analysis
2.5. Results of In Vitro Gastrointestinal Digestion (GID)
2.6. Determination of Antimicrobial Activity
3. Conclusions
4. Materials and Methods
4.1. Materials
4.2. Preparation of Hydrogels
4.3. Infrared Spectroscopy with Fourier Transformation (FTIR) Analysis
4.4. Scanning Electron Microscopy (SEM) Analysis
4.5. Analysis of Swelling Properties
4.6. Analysis of Mechanical Properties
4.7. Simulated In Vitro Digestion and Determination of Uracil
- Digestive hydrogels with uracil—treated with the specified protocol.
- Empty hydrogels (control)—immediately mixed with all enzymes and solutions needed for digestion, with the reactions instantly inhibited by the addition of Pefabloc®.
- Digestive cocktail (control)—2.5 g of distilled water instead of the sample, mixed with all enzymes and solutions, with the addition of Pefabloc®.
4.8. Determination of Antimicrobial Properties of Neat Hydrogels—Disc Diffusion Method
4.9. Statistical Analysis
Supplementary Materials
Author Contributions
Funding
Institutional Review Board Statement
Informed Consent Statement
Data Availability Statement
Acknowledgments
Conflicts of Interest
Abbreviations
| DVB | Divinyl benzene |
| DEGDA | Diethylene glycol diacrylate |
| DMAAazoB | 4,4′-di(methacryloylamino)azobenzene |
| IARC | International Agency for Research on Cancer |
| CRC | Colorectal cancer |
| Dex–MA | Dextran-methacrylate |
| SEM | Scanning electron microscopy |
| FTIR | Infrared spectroscopy with Fourier transformation |
| DSC | Differential scanning calorimetry |
| DMSO | Dimethyl sulfoxide |
| SGF | Simulated gastric fluid |
References
- Roshandel, G.; Ghasemi-Kebria, F.; Malekzadeh, R. Colorectal Cancer: Epidemiology, Risk Factors, and Prevention. Cancers 2025, 16, 1530. [Google Scholar] [CrossRef]
- Shaham, S.H.; Vij, P.; Tripathi, M.K. Advances in Targeted and Chemotherapeutic Strategies for Colorectal Cancer: Current Insights and Future Directions. Biomedicines 2025, 13, 642. [Google Scholar] [CrossRef]
- Chourasia, M.K.; Jain, S.K. Polysaccharides for Colon-Targeted Drug Delivery. Drug Deliv. 2004, 11, 129–148. [Google Scholar] [CrossRef]
- Philip, A.K.; Philip, B. Colon-Targeted Drug Delivery Systems: A Review on Primary and Novel Approaches. Oman Med. J. 2010, 25, 79–87. [Google Scholar] [CrossRef] [PubMed]
- Tozaki, H.; Komoike, J.; Tada, C.; Maruyama, T.; Terabe, A.; Suzuki, T.; Yamamoto, A.; Muranishi, S. Chitosan capsules for colon-specific drug delivery: Improvement of insulin absorption from the rat colon. J. Pharm. Sci. 1997, 86, 1016–1021. [Google Scholar] [CrossRef]
- Aiedeh, K.; Taha, M.O. Synthesis of chitosan succinate and chitosan phthalate and their evaluation as suggested matrices in an orally administered colon-specific drug delivery system. Arch. Pharm. Res. 1999, 332, 103–107. [Google Scholar] [CrossRef]
- Rubinstein, A.; Radai, R.; Ezra, M.; Pathak, S.; Rokem, J.S. In vitro evaluation of calcium pectinate: A potential colon-specific drug delivery carrier. Pharm. Res. 1993, 10, 258–263. [Google Scholar] [CrossRef]
- Wakerly, Z.; Fell, J.; Attwood, D.; Parkins, D. Studies on amidated pectins as potential carriers in colonic drug delivery. J. Pharm. Pharmacol. 1997, 49, 622–625. [Google Scholar] [CrossRef]
- Ahrabi, S.F.; Madsen, G.; Dyrstad, K.; Sande, S.A.; Graffner, C. Development of Pectin Matrix Tablets for Colonic Delivery of the Model Drug Ropivacaine. Eur. J. Pharm. Sci. 2000, 10, 43–52. [Google Scholar] [CrossRef] [PubMed]
- Amrutkar, J.R.; Gattani, S.G. Chitosan–Chondroitin Sulfate Based Matrix Tablets for Colon Specific Delivery of Indomethacin. AAPS PharmSciTech 2009, 10, 670–677. [Google Scholar] [CrossRef] [PubMed]
- Agarwal, T.; Narayana, S.N.; Pal, K.; Pramanik, K.; Giri, S.; Banerjee, I. Calcium alginate-carboxymethyl cellulose beads for colon-targeted drug delivery. Int. J. Biol. Macromol. 2015, 75, 409–417. [Google Scholar] [CrossRef] [PubMed]
- Gilko-Kabir, I.; Yagen, B.; Penhasi, A.; Rubinstein, A. Low-Swelling Crosslinked Guar and Its Potential Use as a Colon-Specific Drug Carrier. Pharm. Res. 1998, 15, 1019–1025. [Google Scholar] [CrossRef]
- Barros, P.D.; Dias, I.F.T.; Zanin, G.D.; Bunhak, É.J. Development and Evaluation of Dapsone Tablets Coated for Specific Colon Release. Drug Dev. Ind. Pharm. 2020, 46, 246–252. [Google Scholar] [CrossRef] [PubMed]
- Kotagale, N.; Maniyar, M.; Somvanshi, S.; Umekar, M.; Patel, C.J. Eudragit-S, Eudragit-L and Cellulose Acetate Phthalate Coated Polysaccharide Tablets for Colonic Targeted Delivery of Azathioprine. Drug Dev. Ind. Pharm. 2010, 36, 431–437. [Google Scholar] [CrossRef] [PubMed]
- Salunkhe, K.S.; Kulkarni, M.V. Formulation and in-vitro evaluation of dextrin matrix tablet of Ibuprofen for colon-specific drug delivery. Pak. J. Pharm. Sci. 2008, 21, 17–20. [Google Scholar] [PubMed]
- Ibrahim, I.M. Advances in Polysaccharide-Based Oral Colon-Targeted Delivery Systems: The Journey So Far and the Road Ahead. Cureus 2023, 15, e33636. [Google Scholar] [CrossRef]
- Musa, N.; Layas, N.A.M.; Mohamad Zin, N.Z. Polysaccharides Carrier as Oral Colon-Specific Drug Delivery for Colon Cancer Treatment. New Nano 2025, 10, 100102. [Google Scholar] [CrossRef]
- Pinto, J.F. Site-Specific Drug Delivery Systems within the Gastro-Intestinal Tract: From the Mouth to the Colon. Int. J. Pharm. 2010, 395, 44–52. [Google Scholar] [CrossRef]
- Tang, Z.; Yang, Y.; Pan, Y.; Yu, M.; Lin, X.; Mondal, A.K. Biocompatible, Injectable, and Self-Healing Poly(N-vinylpyrrolidone)/Carboxymethyl Cellulose Hydrogel for Drug Release. ACS Omega 2024, 9, 5854–5861. [Google Scholar] [CrossRef]
- Hovgaard, L.; Brøndsted, H. Dextran Hydrogels for Colon-Specific Drug Delivery. J. Control. Release 1995, 36, 159–166. [Google Scholar] [CrossRef]
- Basan, H.; Gümüşderelioğlu, M.; Orbey, M.T. Release Characteristics of Salmon Calcitonin from Dextran Hydrogels for Colon-Specific Delivery. Eur. J. Pharm. Biopharm. 2006, 64, 174–182. [Google Scholar] [CrossRef]
- De Smedt, S.C.; Lauwers, A.; Demeester, J.; Van Steenbergen, M.J.; Hennink, W.E.; Roefs, S.P.F.M. Characterization of the Network Structure of Dextran Glycidyl Methacrylate Hydrogels by Studying the Rheological and Swelling Behavior. Macromolecules 1995, 28, 5082–5088. [Google Scholar] [CrossRef]
- Kim, I.S.; Oh, I.J. Drug Release from the Enzyme-Degradable and pH-Sensitive Hydrogel Composed of Glycidyl Methacrylate Dextran and Poly(acrylic Acid). Arch. Pharm. Res. 2005, 28, 983–987. [Google Scholar] [CrossRef]
- Erceg, T.; Radosavljević, M.; Miljić, M.; Cvetanović Kljakić, A.; Baloš, S.; Mišković Špoljarić, K.; Ćorić, I.; Glavaš-Obrovac, L.; Torbica, A. The Influence of Synthesis Parameters on the Properties of Dextran-Based Hydrogels for Colon-Targeted Antitumor Drug Delivery. Part I: Room Temperature Synthesis of Dextran/Inulin Hydrogels for Colon-Targeted Antitumor Drug Delivery. Gels 2025, 11, 1011. [Google Scholar] [CrossRef] [PubMed]
- Erceg, T.D.; Vukić, N.R. Architecture of Hydrogels. In Hydrogels: Fundamentals to Advanced Energy Applications; CRC Press: Boca Raton, FL, USA, 2023. [Google Scholar] [CrossRef]
- Erceg, T.; Brakus, G.; Stupar, A.; Cvetinov, M.; Hadnađev, M.; Ristić, I. Synthesis and characterization of chitosan–acrylic acid based hydrogels and investigation of the properties of bilayered design with incorporated alginate beads. J. Polym. Environ. 2022, 30, 3737–3760. [Google Scholar] [CrossRef]
- Aragaw, T.A. Potential and prospects of reductases in azo dye degradation: A review. Microbe 2024, 4, 100162. [Google Scholar] [CrossRef]
- Ghegoiu, L.; Predoi, D.; Iconaru, S.L.; Ciobanu, S.C.; Trusca, R.; Motelica-Heino, M.; Badea, M.L.; Stefanescu, T.F. Development of dextran-coated zinc oxide nanoparticles with antimicrobial properties. J. Compos. Biodegrad. Polym. 2024, 12, 1–6. [Google Scholar] [CrossRef]
- Cano, A.; Ettcheto, M.; Espina, M.; López-Machado, A.; Cajal, Y.; Rabanal, F.; Sánchez-López, E.; Camins, A.; García, M.L.; Souto, E.B. State-of-the-art polymeric nanoparticles as promising therapeutic tools against human bacterial infections. J. Nanobiotechnol. 2020, 18, 156. [Google Scholar] [CrossRef]
- Kostić, A.Ž.; Milinčić, D.D.; Stanisavljević, N.S.; Gašić, U.M.; Lević, S.; Kojić, M.O.; Tešić, Ž.L.j.; Nedović, V.; Barać, M.B.; Pešić, M.B. Polyphenol Bioaccessibility and Antioxidant Properties of In Vitro Digested Spray-Dried Thermally-Treated Skimmed Goat Milk Enriched with Pollen. Food Chem. 2021, 351, 129310. [Google Scholar] [CrossRef]
- Khajehsharifi, H.; Soleimanzadegan, S. Partial Least Squares Method for Simultaneous Spectrophotometric Determination of Uracil and 5-Fluorouracil in Spiked Biological Samples. Appl. Chem. Today 2013, 7, 31–38. [Google Scholar] [CrossRef]
- Šuput, D.; Pezo, L.; Rakita, S.; Spasevski, N.; Tomičić, R.; Hormiš, N.; Popović, S. Camelina sativa Oilseed Cake as a Potential Source of Biopolymer Films: A Chemometric Approach to Synthesis, Characterization, and Optimization. Coatings 2024, 14, 95. [Google Scholar] [CrossRef]








| Uracil-Loaded Hydrogels | Gastric Phase Release, µg/mL | Intestinal Phase Release, µg/mL | Gastric Phase Release, % | Intestinal Phase Release, % | Total Released Amount of Drug, % |
|---|---|---|---|---|---|
| Dex-DVB | 0 | 67.81 ± 1.9 a* | 0 | 54.24 ± 1.00 a | 54.24 ± 1.00 a |
| Dex-DEGDA | 0 | 58.69 ± 1.84 b | 0 | 46.95 ± 0.87 b | 46.95 ± 0.87 b |
| Dex-DAAazoB | 0 | 110.66 ± 1.97 c | 0 | 88.52 ± 2.11 c | 88.52 ± 2.11 c |
| Inhibition Zone (mm) | ||
|---|---|---|
| Sample Number: | Escherichia coli ATCC 8739 | Staphylococcus epidermidis ATCC 12228 |
| Ampicillin 10 mcg | 10 | 15 |
| Dex-DVB | - | - |
| Dex-DEGDA | - | - |
| Dex-DAAazoB | 8 | 7 |
| Samples | Dex-MA, g | DVB, g | DEGDA, g | DMAAazoN, g | AIBN,g | Uracil, g |
|---|---|---|---|---|---|---|
| Dex-DVB | 1 | 0.1 | / | / | 0.07 | / |
| Dex-DEGDA | 1 | / | 0.1 | / | 0.07 | / |
| Dex-DMAAazoB | 1 | / | / | 0.1 | 0.07 | / |
| Dex-DVB, uracil | 1 | 0.1 | 0.07 | 0.02 | ||
| Dex-DEGDA, uracil | 1 | 0.1 | 0.07 | 0.02 | ||
| Dex-DMAAazoB, uracil | 1 | 0.1 | 0.07 | 0.02 |
Disclaimer/Publisher’s Note: The statements, opinions and data contained in all publications are solely those of the individual author(s) and contributor(s) and not of MDPI and/or the editor(s). MDPI and/or the editor(s) disclaim responsibility for any injury to people or property resulting from any ideas, methods, instructions or products referred to in the content. |
© 2025 by the authors. Licensee MDPI, Basel, Switzerland. This article is an open access article distributed under the terms and conditions of the Creative Commons Attribution (CC BY) license.
Share and Cite
Erceg, T.; Radosavljević, M.; Miljić, M.; Cvetanović Kljakić, A.; Baloš, S.; Špoljarić, K.M.; Ćorić, I.; Glavaš-Obrovac, L.; Torbica, A. Part II: The Influence of Crosslinking Agents on the Properties and Colon-Targeted Drug Delivery Efficacy of Dextran-Based Hydrogels. Gels 2026, 12, 25. https://doi.org/10.3390/gels12010025
Erceg T, Radosavljević M, Miljić M, Cvetanović Kljakić A, Baloš S, Špoljarić KM, Ćorić I, Glavaš-Obrovac L, Torbica A. Part II: The Influence of Crosslinking Agents on the Properties and Colon-Targeted Drug Delivery Efficacy of Dextran-Based Hydrogels. Gels. 2026; 12(1):25. https://doi.org/10.3390/gels12010025
Chicago/Turabian StyleErceg, Tamara, Miloš Radosavljević, Milorad Miljić, Aleksandra Cvetanović Kljakić, Sebastian Baloš, Katarina Mišković Špoljarić, Ivan Ćorić, Ljubica Glavaš-Obrovac, and Aleksandra Torbica. 2026. "Part II: The Influence of Crosslinking Agents on the Properties and Colon-Targeted Drug Delivery Efficacy of Dextran-Based Hydrogels" Gels 12, no. 1: 25. https://doi.org/10.3390/gels12010025
APA StyleErceg, T., Radosavljević, M., Miljić, M., Cvetanović Kljakić, A., Baloš, S., Špoljarić, K. M., Ćorić, I., Glavaš-Obrovac, L., & Torbica, A. (2026). Part II: The Influence of Crosslinking Agents on the Properties and Colon-Targeted Drug Delivery Efficacy of Dextran-Based Hydrogels. Gels, 12(1), 25. https://doi.org/10.3390/gels12010025

