Sign in to use this feature.

Years

Between: -

Subjects

remove_circle_outline
remove_circle_outline
remove_circle_outline
remove_circle_outline
remove_circle_outline
remove_circle_outline
remove_circle_outline
remove_circle_outline
remove_circle_outline

Journals

remove_circle_outline
remove_circle_outline
remove_circle_outline
remove_circle_outline
remove_circle_outline
remove_circle_outline
remove_circle_outline
remove_circle_outline
remove_circle_outline
remove_circle_outline
remove_circle_outline
remove_circle_outline
remove_circle_outline
remove_circle_outline
remove_circle_outline

Article Types

Countries / Regions

remove_circle_outline
remove_circle_outline
remove_circle_outline
remove_circle_outline
remove_circle_outline
remove_circle_outline

Search Results (2,590)

Search Parameters:
Keywords = structures in fire

Order results
Result details
Results per page
Select all
Export citation of selected articles as:
36 pages, 12064 KB  
Article
Fire Performance Study of Through Concrete-Filled Steel Tubular Arch Bridges
by Jiatao Yin, Xinyue Wang, Shichao Wang, Gang Zhang, Tong Guo and Feng Xu
Buildings 2026, 16(1), 173; https://doi.org/10.3390/buildings16010173 (registering DOI) - 30 Dec 2025
Abstract
Advancing rapidly in modern bridge engineering technology, through concrete-filled steel tubular (CFST) arch bridges have achieved widespread application in transportation infrastructure development. Nevertheless, vehicle fires occurring in complicated operational settings may rapidly escalate into major disasters. Fires in oil tankers are particularly dangerous [...] Read more.
Advancing rapidly in modern bridge engineering technology, through concrete-filled steel tubular (CFST) arch bridges have achieved widespread application in transportation infrastructure development. Nevertheless, vehicle fires occurring in complicated operational settings may rapidly escalate into major disasters. Fires in oil tankers are particularly dangerous for the safety of bridges. This study examines the fire resistance of through concrete-filled steel tubular (CFST) arch bridges exposed to tanker truck fires. The study formulates a detailed model utilizing Fire Dynamics Simulator (FDS) to simulate fire scenarios, elucidating the spatial temperature distribution characteristics within arch bridge structures. A three-dimensional finite element model established in ABAQUS (Abaqus 2024, Dassault Systèmes Simulia Corp, Providence, RI, USA) is employed to simulate structural responses by analyzing the mechanical behavior of key components under different fire conditions. Practical fire resistance design recommendations for extreme tanker truck fire scenarios are ultimately proposed. Numerical results demonstrate that structural components near the fire source (such as transverse bracings, hangers, and fire-exposed arch surfaces) experience significantly higher temperatures than other regions. Notable temperature gradients developing along hangers and arch ribs in fire-affected zones are observed, while substantial cross-sectional temperature gradients occurring in these components under tanker truck fires reveal their damage evolution mechanisms. The fire exposure scenario at the quarter-point of the midspan is identified as the most critical fire exposure scenario for through CFST arch bridges under tanker truck fires. Under this extreme scenario, the deflection on the fire-exposed side of the global structure exhibits a significant three-stage distribution characteristic: an initial ascending phase around 0–800 s, followed by a sharp descending phase during 800–1100 s, and then a stabilization trend. A fire resistance limit criterion based on component failure (tf3 = 853.43 s) is established, and a global fire resistance limit assessment methodology for through CFST arch bridges under extreme tanker truck scenarios is proposed. Full article
(This article belongs to the Section Building Structures)
21 pages, 2000 KB  
Review
Reassessing Fire Design Provisions for Concrete Structures Under Emerging Electric Vehicle Fire
by Satheeskumar Navaratnam, Thisari Munmulla, Sathya Bandaranayake, Pathmanathan Rajeev and Jay Sanjayan
Fire 2026, 9(1), 21; https://doi.org/10.3390/fire9010021 (registering DOI) - 29 Dec 2025
Abstract
The rapid growth of electric vehicles (EVs) has introduced new fire safety challenges for the built environment, particularly within reinforced concrete structures. Fires involving lithium-ion batteries are substantially different from conventional hydrocarbon-fuelled fires due to their rapid heat escalation, extended burning duration, and [...] Read more.
The rapid growth of electric vehicles (EVs) has introduced new fire safety challenges for the built environment, particularly within reinforced concrete structures. Fires involving lithium-ion batteries are substantially different from conventional hydrocarbon-fuelled fires due to their rapid heat escalation, extended burning duration, and potential for re-ignition caused by thermal runaway. This study assesses the adequacy of existing fire design standards in addressing these emerging hazards, emphasising the spalling behaviour of concrete under EV induced fire exposure. The study found that concrete structures are highly vulnerable to spalling when exposed to EV fires, as the typical temperatures initiating concrete spalling are significantly lower than the extreme temperatures and re-ignition produced during an EV battery fire. Moreover, the evidence suggests that EV fires can sustain peak temperatures exceeding 1000 °C in a short period, which exceeds the assumptions underlying standard fire curves, such as ISO 834. A comparative assessment of the National Construction Code (NCC 2022) and standards (i.e., AS 1530.4, EN 1992-1-2) reveals that current design methodologies and fire-resistance ratings underestimate the severity and duration of EV fire conditions. This study also proposes code-aligned improvements and a performance-based evaluation framework that integrates empirical EV fire curves. The findings highlight a pressing need to re-examine fire design provisions and update thermal exposure assumptions to ensure that reinforced concrete infrastructure remains structurally safe and reliable as EV adoption increases. Full article
(This article belongs to the Special Issue Advances in Structural Fire Engineering)
Show Figures

Figure 1

25 pages, 8665 KB  
Article
The Bosch Vault: Reinterpretation and Exploration of the Limits of the Traditional Thin-Tile Vault in the Post-War Context
by Iñigo Ugalde-Blázquez, Tomás Masó-Sotomayor and Pilar Morán-García
Buildings 2026, 16(1), 159; https://doi.org/10.3390/buildings16010159 (registering DOI) - 29 Dec 2025
Abstract
After the Spanish Civil War, the shortage of building materials in the country and the restrictions imposed by the Dirección General de Arquitectura limited the use of steel in construction, encouraging solutions that reduced the consumption of this material. In this context, the [...] Read more.
After the Spanish Civil War, the shortage of building materials in the country and the restrictions imposed by the Dirección General de Arquitectura limited the use of steel in construction, encouraging solutions that reduced the consumption of this material. In this context, the thin-tile vault gained new relevance due to its low cost, speed of execution and good structural and fire performance. Among the architects who revisited this system, Ignasi Bosch Reitg (1910–1985) developed an innovative procedure for the construction of continuous ceilings, based on double-curved vaults with a single layer of brick. His cousin, Josep Maria Bosch Aymerich (1917–2015), an industrial engineer and architect trained in the United States, brought a business vision to the table when he discovered the potential of this system. This paper proposes an in-depth study of the patents requested on this system by the two architects, questioning the reasons for their success or failure in different countries, both in terms of dissemination and exploitation, in regard to the historical context in which it was developed. The analysis, based on original documents from the Bosch Aymerich Archive, uncovers the tensions that the reinterpretation and global projection of a traditional technique can generate. Full article
Show Figures

Figure 1

32 pages, 1390 KB  
Article
Enhancing Fire Safety in Taiwan’s Elderly Welfare Institutions: An Analysis Based on Disaster Management Theory
by Chung-Hwei Su, Sung-Ming Hung and Shiuan-Cheng Wang
Sustainability 2026, 18(1), 347; https://doi.org/10.3390/su18010347 (registering DOI) - 29 Dec 2025
Abstract
Elderly welfare institutions in Taiwan have experienced multiple severe fire incidents, with smoke inhalation accounting for the majority of fatalities. Hot smoke can rapidly propagate through interconnected ceiling spaces, complicating evacuation for residents with limited mobility who depend heavily on caregiving staff and [...] Read more.
Elderly welfare institutions in Taiwan have experienced multiple severe fire incidents, with smoke inhalation accounting for the majority of fatalities. Hot smoke can rapidly propagate through interconnected ceiling spaces, complicating evacuation for residents with limited mobility who depend heavily on caregiving staff and external responders. Field inspections conducted in this study indicate that 82% of residents require assisted evacuation, underscoring the critical role of early detection, staff-mediated response, and effective smoke control. Drawing on disaster management theory, this study examines key determinants of fire safety performance in elderly welfare institutions, where caregiving staff are primarily trained in medical care rather than fire safety. A total of 64 licensed institutions in Tainan City were investigated through on-site inspections, structured checklist-based surveys, and statistical analyses of fire protection systems. In addition, a comparative review of building and fire safety regulations in Taiwan, the United States, Japan, and China was conducted to contextualize the findings. Using the defense-in-depth framework, this study proposes a three-layer fire safety strategy comprising (1) prevention of fire occurrence, (2) rapid fire detection and early suppression, and (3) containment of fire and smoke spread. From a sustainability perspective, this study conceptualizes fire safety in elderly welfare institutions as a problem of risk governance, illustrating how defense-in-depth can be operationalized as a governance-oriented framework for managing fire and smoke risks, safeguarding vulnerable older adults, and sustaining the resilience and continuity of long-term care systems in an aging society. Full article
18 pages, 2987 KB  
Article
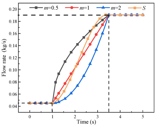
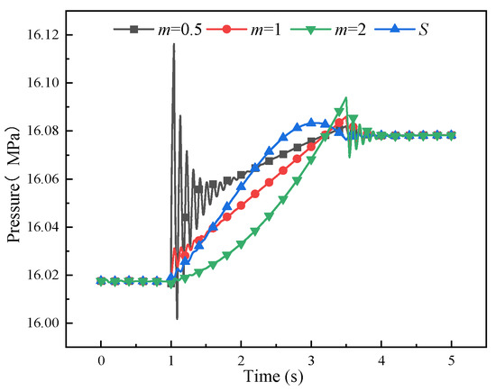
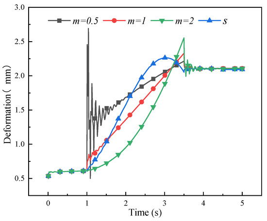
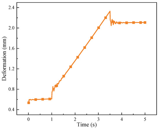
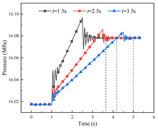
Analysis of the Water Hammer Effect and Structural Response Characteristics in the Fire-Resistant Oil System of Gas Turbine Units
by Guangjie Zhou, Qiang Ma, Sufeng Xue, Gang Wang, Lijun Jia and Kaimin Yang
Energies 2026, 19(1), 147; https://doi.org/10.3390/en19010147 - 26 Dec 2025
Viewed by 98
Abstract
In gas turbine fire-resistant oil systems, valve actuations induce transient pressure fluctuations and the water hammer effect, causing pressure oscillations and structural vibrations. This study uses a coupled CFD and transient structural simulation to analyze the effects of different valve strategies on pressure [...] Read more.
In gas turbine fire-resistant oil systems, valve actuations induce transient pressure fluctuations and the water hammer effect, causing pressure oscillations and structural vibrations. This study uses a coupled CFD and transient structural simulation to analyze the effects of different valve strategies on pressure wave propagation and structural response. Results show that a higher valve opening rate leads to a more significant water hammer effect, increasing structural deformation and stress. The maximum equivalent stress was verified at 201.9 MPa, maintaining a 30% safety margin and meeting American Society of Mechanical Engineers (ASME) B31.3 requirements. Finally, a “slow-fast-slow” (S-shaped) valve strategy is proposed to significantly improve the system’s pressure response characteristics, providing theoretical and engineering guidance for safe operation. Full article
Show Figures

Figure 1

43 pages, 12532 KB  
Systematic Review
A Meta-Synthesis of Review Studies on Wood–Polymer Composites: Mapping the Current Research Landscape
by Marius Nicolae Baba and Mirela Camelia Baba
Polymers 2026, 18(1), 63; https://doi.org/10.3390/polym18010063 - 25 Dec 2025
Viewed by 156
Abstract
Wood–polymer composites (WPCs) consistently garner considerable attention owing to their material versatility and sustainability, resulting in numerous review studies across diverse disciplines. Nonetheless, since a comprehensive synthesis that consolidates these disparate reviews is lacking, this study performs a meta-synthesis of review articles focused [...] Read more.
Wood–polymer composites (WPCs) consistently garner considerable attention owing to their material versatility and sustainability, resulting in numerous review studies across diverse disciplines. Nonetheless, since a comprehensive synthesis that consolidates these disparate reviews is lacking, this study performs a meta-synthesis of review articles focused on WPCs employing a science-mapping approach enhanced by CiteSpace software. A systematic search of the Web of Science Core Collection (last updated in June 2025) was conducted, yielding 51 review-type articles selected using PRISMA screening guidelines. Network-based co-citation, clustering, and keyword analyses reveal that recent WPC research centers on three interconnected areas: (i) reinforcement and interfacial engineering, (ii) processing–structure–property relationships, and (iii) sustainability-focused design involving recycling, fire safety, thermal pretreatment, and PCM-based thermal management. Sixteen author/reference clusters and nine keyword clusters highlight well-defined knowledge communities on durability and fire safety, nano- and bio-based reinforcements, recycled and bioplastic matrices, and advanced manufacturing techniques such as co-extrusion, flat-pressing, 3D printing, and wood–polymer impregnation. Timeline and burst analyses show that mechanical performance remains the primary focus, while emerging areas include recycled/waste-derived polymers, cellulose micro- and nanofibers, moisture-resistant hybrids, and wood-based additive manufacturing for construction applications. Full article
(This article belongs to the Section Polymer Composites and Nanocomposites)
Show Figures

Figure 1

11 pages, 2047 KB  
Article
A Numerical Study for Optimizing a New Experimental Method on Inhalation Toxicology
by So Yeong Jeong, Sungryong Bae, Hyojong Im and Yoonkook Son
Fire 2026, 9(1), 13; https://doi.org/10.3390/fire9010013 - 25 Dec 2025
Viewed by 143
Abstract
In this study, a new experimental method is proposed to evaluate the interaction between psychological state and behavioral changes under fire conditions. The ISO 5660-1 and the OFM (Open Field Maze) were employed to measure combustion characteristics and behavioral responses, respectively. Additional structure [...] Read more.
In this study, a new experimental method is proposed to evaluate the interaction between psychological state and behavioral changes under fire conditions. The ISO 5660-1 and the OFM (Open Field Maze) were employed to measure combustion characteristics and behavioral responses, respectively. Additional structure components were designed to establish appropriate inhalation environments with controlled temperature and uniform gas concentration within the OFM. A numerical simulation was then conducted to optimize these structural components for each inhalation method. The results confirmed that the proposed structures effectively provided proper thermal conditions and consistent gas concentrations inside the OFM. Therefore, the proposed experimental method improves the practicality and reliability of inhalation toxicology experiments. However, further research is required to enhance gas dispersion and to reduce excessive thermal effects under different inhalation conditions. Full article
(This article belongs to the Section Fire Social Science)
Show Figures

Figure 1

23 pages, 5626 KB  
Article
Research on Buckling Failure Test and Prevention Strategy of Boom Structure of Elevating Jet Fire Truck
by Wuhe Sun, Kai Cheng, Yan Zhao, Bowen Guan, Bin Wu and Erfei Zhao
Symmetry 2026, 18(1), 39; https://doi.org/10.3390/sym18010039 - 24 Dec 2025
Viewed by 211
Abstract
The purpose of this study is to investigate the buckling behavior and failure mechanism of the boom of large-scale elevating jet fire trucks, so as to provide support for its safety design and service life improvement. In terms of research methods, a combination [...] Read more.
The purpose of this study is to investigate the buckling behavior and failure mechanism of the boom of large-scale elevating jet fire trucks, so as to provide support for its safety design and service life improvement. In terms of research methods, a combination of double-version control tests and refined finite element simulations was adopted to carry out a systematic study. The research results show that the boom base plate exhibits typical sinusoidal wave buckling deformation when the load coefficient is between 0.45 and 0.5, and the wavelength is highly consistent with the theoretical prediction; under the critical load, the strain amplitude shows a significant nonlinear jump, which confirms the buckling mechanism of the coupling between geometric nonlinearity and material plasticity; under the ultimate load, the structure undergoes local buckling failure, the failure location is in good agreement with the simulation prediction, and the test results are highly consistent with the simulation results within the engineering allowable range, which verifies the reliability and applicability of the model. The research conclusion is the establishment of evaluation criteria for buckling failure of box-type knuckle arms: visible buckling waves appear, and the strain exceeds 40%. Based on this conclusion, optimizing the width-thickness ratio of the plate, strengthening the web constraint and improving the manufacturing process can effectively enhance the anti-buckling performance of the thin-walled box structure. Full article
(This article belongs to the Section Engineering and Materials)
Show Figures

Figure 1

17 pages, 2210 KB  
Article
The Use of a Device to Improve the Evacuation Performance of Hospitalized Non-Self-Sufficient Patients in Healthcare Facilities
by Simone Accorsi, Francesco Ottaviani, Aurora Fabiano and Dimitri Sossai
Safety 2026, 12(1), 3; https://doi.org/10.3390/safety12010003 - 24 Dec 2025
Viewed by 174
Abstract
Background: Fire emergency management in healthcare facilities represents a complex challenge, particularly in historic buildings subject to architectural preservation constraints, where progressive horizontal evacuation is objectively difficult. This study analyzes the effectiveness of an evacuation sheet employed by Hospital Policlinico San Martino to [...] Read more.
Background: Fire emergency management in healthcare facilities represents a complex challenge, particularly in historic buildings subject to architectural preservation constraints, where progressive horizontal evacuation is objectively difficult. This study analyzes the effectiveness of an evacuation sheet employed by Hospital Policlinico San Martino to improve the speed of evacuating non-self-sufficient patients in these buildings. Methods: This study involved evacuation simulations in wards previously selected based on structural characteristics. Healthcare personnel (male and female, aged between 30 and 55 years) conducted both horizontal and vertical patient evacuation drills, comparing the performance of the S-CAPEPOD® Evacuation Sheet (Standard Model) with the conventional method (hospital bed plus and rescue sheet). This study focused on the night shift to evaluate the most critical scenario in terms of human resources. Results: The use of the evacuation sheet proved more efficient than the conventional method throughout the entire evacuation route, especially during the first 15 min of the emergency (the most critical period). Indeed, with an equal number of available personnel, the evacuation sheet enabled an average improvement of 50% in the number of patients evacuated. Conclusions: The data support the effectiveness of the device, confirming the theoretical premise that the introduction of the evacuation sheet—also due to its ease of use—can be an improvement measure for the evacuation performance of non-self-sufficient patients, despite limitations related to structural variability and the simulated nature of the trials. Full article
Show Figures

Figure 1

17 pages, 6737 KB  
Article
Precast Industrial Buildings with Vault or Shed Roof Subject to Simulated Cellulosic Fire
by Bruno Dal Lago, Francesco Rizzo and Paride Tucci
Fire 2026, 9(1), 11; https://doi.org/10.3390/fire9010011 - 24 Dec 2025
Viewed by 203
Abstract
Precast concrete industrial buildings are typically characterised by high fire risk due to the production or storage of materials/products having high combustion potential and the specific activities carried out in the facility. Due to the large dimensions of these buildings, common simplified and [...] Read more.
Precast concrete industrial buildings are typically characterised by high fire risk due to the production or storage of materials/products having high combustion potential and the specific activities carried out in the facility. Due to the large dimensions of these buildings, common simplified and ordinary advanced methods for the determination of the fire-induced demand, both in terms of structural performance and the safety of occupants and firefighters, may be far from accurate. Most large industrial buildings rely on translucid surfaces installed on the roof to let zenithal natural light enter the building. These are typically made with polycarbonate, and lateral windows may eventually be installed. Due to the low glass transition temperature of polycarbonate, these openings can efficiently act as evacuators of smoke and heat, although they are currently neglected by most practitioners, leading to the installation of mechanical evacuators. Moreover, the shape of the roof system of such buildings, especially if wing-shaped elements coupled with either vault or shed elements are used, can naturally ease the smoke and heat evacuation process. This paper aims to provide a contribution to the characterisation of fire development in such buildings, presenting the results of both zone and computational-fluid-dynamic analyses carried out on archetypal precast industrial buildings with a typical arrangement of either vault or shed roof subjected to cellulosic fire. For this purpose, several parameters were investigated, including roof shape (vault and shed) and the effect of short or tall columns. Concerning zone models, other relevant parameters, such as the type of glazing, the installation of smoke and heat evacuators on the roof, and larger window areas, were analysed. Full article
Show Figures

Figure 1

17 pages, 7804 KB  
Article
Development of Passive Fire Protection Materials Based on Calcium Magnesium Phosphate Cements and Perlite
by Georgiana-Florina Badea, Alina-Ioana Badanoiu, Georgeta Voicu, Roxana Trusca and Adrian-Ionut Nicoara
Materials 2026, 19(1), 69; https://doi.org/10.3390/ma19010069 - 24 Dec 2025
Viewed by 227
Abstract
Calcium magnesium phosphate cements (CMPCs) were obtained starting from dolomite (alone or mixed with fly ash) thermally treated at two different temperatures. Dolomite calcination at 750 °C for 3 h determined the formation of a mixture of MgO and CaCO3. The [...] Read more.
Calcium magnesium phosphate cements (CMPCs) were obtained starting from dolomite (alone or mixed with fly ash) thermally treated at two different temperatures. Dolomite calcination at 750 °C for 3 h determined the formation of a mixture of MgO and CaCO3. The mixing of dolomite with fly ash and the increase in the calcination temperature at 1200 °C determined the formation of new compounds (calcium aluminum silicate and calcium magnesium silicates), which are present along with MgO and small amounts of CaO in the thermally treated material. These two precursors were mixed with KH2PO4 solution and borax (as a retardant admixture) to obtain the CMPCs. The setting time and compressive strengths of these CMPCs were assessed and the XRD analyses provided insights into their mineralogical composition after hardening and thermal treatment. The cements, as so or mixed with perlite, were applied on steel plates, to assess their behavior when put in direct contact with a flame. The compatibility of these materials with the steel substrate was evaluated by scanning electron microscopy (SEM). The direct contact with the flame up to 60 min provided information regarding the CMPCs’ ability to prevent the rapid increase in the substrate (steel plate) temperature. The findings indicate that CMPC pastes and composites containing perlite can offer a degree of protection for steel structures in the event of a fire. Full article
(This article belongs to the Section Construction and Building Materials)
Show Figures

Figure 1

22 pages, 7556 KB  
Article
Integrating VIIRS Fire Detections and ERA5-Land Reanalysis for Modeling Wildfire Probability in Arid Mountain Systems of the Arabian Peninsula
by Rahmah Al-Qthanin and Zubairul Islam
Information 2026, 17(1), 13; https://doi.org/10.3390/info17010013 - 23 Dec 2025
Viewed by 210
Abstract
Wildfire occurrence in arid and semiarid landscapes is increasingly driven by shifts in climatic and biophysical conditions, yet its dynamics remain poorly understood in the mountainous environments of western Saudi Arabia. This study modeled wildfire probabilities across the Aseer, Al Baha, Makkah Al-Mukarramah, [...] Read more.
Wildfire occurrence in arid and semiarid landscapes is increasingly driven by shifts in climatic and biophysical conditions, yet its dynamics remain poorly understood in the mountainous environments of western Saudi Arabia. This study modeled wildfire probabilities across the Aseer, Al Baha, Makkah Al-Mukarramah, and Jazan regions via multisource Earth observation datasets from 2012–2025. Active fire detections from VIIRS were integrated with ERA5-Land reanalysis variables, vegetation indices, and Copernicus DEM GLO30 topography. A random forest classifier was trained and validated via stratified sampling and cross-validation to predict monthly burn probabilities. Calibration, reliability assessment, and independent temporal validation confirmed strong model performance (AUC-ROC = 0.96; Brier = 0.03). Climatic dryness (dew-point deficit), vegetation structure (LAI_lv), and surface soil moisture emerged as dominant predictors, underscoring the coupling between energy balance and fuel desiccation. Temporal trend analyses (Kendall’s τ and Sen’s slope) revealed the gradual intensification of fire probability during the dry-to-transition seasons (February–April and September–November), with Aseer showing the most persistent risk. These findings establish a scalable framework for wildfire early warning and landscape management in arid ecosystems under accelerating climatic stress. Full article
(This article belongs to the Special Issue Predictive Analytics and Data Science, 3rd Edition)
Show Figures

Graphical abstract

14 pages, 898 KB  
Article
Changes in Chemical and Mechanical Wood Properties in Silver Fir, Norway Spruce and Scots Pine Trees as a Result of High Temperatures Due to Fire
by Tomáš Holeček, Lukáš Sahula, Kateřina Hájková, Aleš Zeidler, Monika Barbara Gach, Paweł Tylek, Krzysztof Słowiński, Radosław Wąsik, Krzysztof Michalec and Tomasz Marcinik
Fire 2026, 9(1), 6; https://doi.org/10.3390/fire9010006 - 23 Dec 2025
Viewed by 315
Abstract
Wildfires are becoming more frequent in Central Europe, raising questions about the mechanical and chemical integrity of fire-affected conifer wood. Because commercial species such as silver fir (Abies alba), Norway spruce (Picea abies), and Scots pine (Pinus sylvestris [...] Read more.
Wildfires are becoming more frequent in Central Europe, raising questions about the mechanical and chemical integrity of fire-affected conifer wood. Because commercial species such as silver fir (Abies alba), Norway spruce (Picea abies), and Scots pine (Pinus sylvestris) are not evolutionarily adapted to fire, their thermo-mechanical response remains poorly quantified. This study investigates oven-dry density, static bending strength, compressive strength parallel to the grain, Brinell hardness, chemical composition, elemental composition, and heat of combustion of wood collected from a recent post-fire stand in Poland. Fire exposure resulted in a slight reduction in oven-dry density, while compressive and bending strengths increased relative to reported reference values, likely due to moisture depletion and partial thermal modification of cell-wall polymers. Chemical analyses showed moderate thermally induced shifts, including higher lignin and carbon content with depth, consistent with progressive carbonization of the affected tissues. Although surface-affected wood retained measurable mechanical capacity and energy value, its structural applicability remains constrained by potential brittleness and the limited sampling depth. These findings provide essential baseline data for evaluating post-fire conifer wood and its potential use in low-grade material and bioenergy applications. Full article
Show Figures

Figure 1

17 pages, 718 KB  
Review
Modern Fire-Resistant Fabrics—Requirements for Durability of Materials After Washing After a Fire
by Anna Rabajczyk, Maria Zielecka and Michał Chmiel
Materials 2026, 19(1), 44; https://doi.org/10.3390/ma19010044 - 22 Dec 2025
Viewed by 346
Abstract
Developments in the textile industry occur both as a consequence of increased awareness among users and various requirements in terms of human and environmental safety. Modifications are aimed at improving performance parameters, using natural substances, moving away from synthetic materials, and improving ergonomics. [...] Read more.
Developments in the textile industry occur both as a consequence of increased awareness among users and various requirements in terms of human and environmental safety. Modifications are aimed at improving performance parameters, using natural substances, moving away from synthetic materials, and improving ergonomics. In order to achieve this, various fibre-production techniques are used, as is the addition of substances, including nanosubstances, into the structure or onto the surface of a given material. In the case of fire-resistant fabrics, which primarily must meet thermal protection requirements, efforts are also being made to reduce weight and eliminate harmful chemicals (e.g., polycyclic aromatic hydrocarbons PAHs), and to create smart materials with sensors. However, it is necessary to further develop not only the materials themselves but also cleaning and decontamination techniques that will allow the fire resistance parameters that have been developed to be maintained. Full article
(This article belongs to the Section Smart Materials)
Show Figures

Graphical abstract

22 pages, 2558 KB  
Article
Post-Fire Restauration in Mediterranean Watersheds: Coupling WiMMed Modeling with LiDAR–Landsat Vegetation Recovery
by Edward A. Velasco Pereira and Rafael Mª Navarro Cerrillo
Remote Sens. 2026, 18(1), 26; https://doi.org/10.3390/rs18010026 - 22 Dec 2025
Viewed by 300
Abstract
Wildfires are among the most severe disturbances in Mediterranean ecosystems, altering vegetation structure, soil properties, and hydrological functioning. Understanding post-fire hydrological dynamics is crucial for predicting flood and erosion risks and vegetation restoration in fire-prone regions. This study investigates the hydrological responses of [...] Read more.
Wildfires are among the most severe disturbances in Mediterranean ecosystems, altering vegetation structure, soil properties, and hydrological functioning. Understanding post-fire hydrological dynamics is crucial for predicting flood and erosion risks and vegetation restoration in fire-prone regions. This study investigates the hydrological responses of Mediterranean watersheds following a wildfire event by integrating WiMMed (Watershed Integrated Management in Mediterranean Environments), a distributed, physically based hydrological model, with high-resolution vegetation data derived from LiDAR and Landsat imagery. A Priority Post-Fire Restoration Index (PPRI) was calculated as the weighted sum of the six parameters runoff (mm), flow accumulation (mm), distance to drainage network (m), slope (%), erodibility (K), lithology, and LiDAR index under a sediment reduction and runoff peak reduction scenario. The post-fire hydrological processes modeled with WiMMed described the dynamics of surface runoff and soil moisture redistribution across the upper soil layers after fire, and their gradual attenuation with vegetation regrowth. The spatial distribution of the PPRI identified specific zones within the burned watershed that require urgent restoration measures (10% and 4.55% under sediment reduction and peak reduction scenarios, respectively). The combined use of process-based modeling and remote sensing offers valuable insights into watershed-scale hydrological resilience and supports the design of post-fire restoration strategies in Mediterranean landscapes. Full article
Show Figures

Figure 1

Back to TopTop