Sign in to use this feature.

Years

Between: -

Subjects

remove_circle_outline
remove_circle_outline
remove_circle_outline
remove_circle_outline
remove_circle_outline
remove_circle_outline
remove_circle_outline
remove_circle_outline
remove_circle_outline

Journals

remove_circle_outline
remove_circle_outline
remove_circle_outline
remove_circle_outline
remove_circle_outline
remove_circle_outline
remove_circle_outline
remove_circle_outline
remove_circle_outline
remove_circle_outline
remove_circle_outline
remove_circle_outline
remove_circle_outline
remove_circle_outline
remove_circle_outline
remove_circle_outline
remove_circle_outline
remove_circle_outline

Article Types

Countries / Regions

remove_circle_outline
remove_circle_outline
remove_circle_outline
remove_circle_outline
remove_circle_outline
remove_circle_outline

Search Results (1,181)

Search Parameters:
Keywords = static balance

Order results
Result details
Results per page
Select all
Export citation of selected articles as:
37 pages, 1031 KB  
Article
A Modified Artificial Protozoa Optimizer for Robust Parameter Identification in Nonlinear Dynamic Systems
by Davut Izci, Serdar Ekinci, Gökhan Yüksek, Mostafa Rashdan, Burcu Bektaş Güneş, Muhammet İsmail Güngör and Mohammad Salman
Biomimetics 2026, 11(1), 65; https://doi.org/10.3390/biomimetics11010065 - 12 Jan 2026
Abstract
Accurate parameter identification in nonlinear and chaotic dynamic systems requires optimization algorithms that can reliably balance global exploration and local refinement in complex, multimodal search landscapes. To address this challenge, a modified artificial protozoa optimizer (mAPO) is developed in this study by embedding [...] Read more.
Accurate parameter identification in nonlinear and chaotic dynamic systems requires optimization algorithms that can reliably balance global exploration and local refinement in complex, multimodal search landscapes. To address this challenge, a modified artificial protozoa optimizer (mAPO) is developed in this study by embedding two complementary mechanisms into the original artificial protozoa optimizer: a probabilistic random learning strategy to enhance population diversity and global search capability, and a Nelder–Mead simplex-based local refinement stage to improve exploitation and fine-scale solution adjustment. The general optimization performance and scalability of the proposed framework are first evaluated using the CEC2017 benchmark suite. Statistical analyses conducted over shifted and rotated, hybrid, and composition functions demonstrate that mAPO achieves improved mean performance and reduced variability compared with the original APO, indicating enhanced robustness in high-dimensional and complex optimization problems. The effectiveness of mAPO is then examined in nonlinear system identification applications involving chaotic dynamics. Offline and online parameter identification experiments are performed on the Rössler chaotic system and a permanent magnet synchronous motor, including scenarios with abrupt parameter variations. Comparative simulations against APO and several state-of-the-art optimizers show that mAPO consistently yields smaller objective function values, more accurate parameter estimates, and superior statistical stability. In the PMSM case, exact parameter reconstruction with zero error is achieved across all independent runs, while rapid and smooth convergence is observed under both static and time-varying conditions. Full article
(This article belongs to the Section Biological Optimisation and Management)
21 pages, 10735 KB  
Article
Effect of Annealing Temperature on the Microstructure, Texture, and Properties of Hot-Rolled Ferritic Stainless Steel with Preferential α-Fiber Orientation
by Rongxun Piao, Jinhui Zhang, Gang Zhao and Junhai Wang
Materials 2026, 19(2), 293; https://doi.org/10.3390/ma19020293 - 11 Jan 2026
Viewed by 60
Abstract
For hot-rolled ferritic stainless steels with preferential α-fiber texture, the strong α-fiber texture is retained after annealing, greatly affecting the texture and plastic formability during the subsequent cold-rolling process. For optimizing the texture of hot-rolled steels toward the favorable γ-fiber type, it is [...] Read more.
For hot-rolled ferritic stainless steels with preferential α-fiber texture, the strong α-fiber texture is retained after annealing, greatly affecting the texture and plastic formability during the subsequent cold-rolling process. For optimizing the texture of hot-rolled steels toward the favorable γ-fiber type, it is essential to control the annealing temperature in the annealing process. To investigate the evolution of the microstructure, texture, and properties of hot-rolled ferritic stainless steel with preferential α-fiber orientation, a series of annealing tests was performed at the lab scale at 800, 840, 880, 910, 930, and 950 °C for 3 min. The microstructure, texture, and grain boundary characteristics of the tested samples were analyzed using optical microscopy (OM) and electron back-scattered diffraction (EBSD). The mechanical properties and plastic strain ratio (r-value) were determined through universal tensile testing. The results show that at temperatures above 840 °C, more than 93% of recrystallization occurs, leading to significant microstructural refinement. The α-fiber texture intensity typically diminishes with rising temperature, whereas the γ-fiber texture initially weakens during the early stages of recrystallization (below 840 °C) and subsequently exhibits a slight increase at higher temperatures. The improved formability of the material is mainly attributed to microstructural refinement and texture refinement, as reflected by the I(γ)/I(α) texture intensity ratio. At an annealing temperature of 930 °C, the I(γ)/I(α) ratio peaks at 0.85, static toughness is maximized, the strain-hardening exponent (n) reaches a high value of 0.28, and the maximum average plastic strain ratio (r¯) is 0.96. This result represents the optimum balance between mechanical properties and formability, making it suitable for subsequent cold-rolling. Full article
(This article belongs to the Special Issue Processing of Metals and Alloys)
Show Figures

Figure 1

24 pages, 1677 KB  
Article
Forestry Green Development Efficiency in China’s Yellow River Basin: Evidence from the Super-SBM Model and the Global Malmquist-Luenberger Index
by Yu Li, Longzhen Ni, Wenhui Chen, Yibai Wang and Dongzhuo Xie
Land 2026, 15(1), 147; https://doi.org/10.3390/land15010147 - 10 Jan 2026
Viewed by 93
Abstract
The Yellow River Basin (YRB), a typical river system facing the challenge of balancing ecological conservation and economic development, offers valuable insights for global sustainable watershed governance through its forestry green transformation. Based on panel data from nine provinces in the basin from [...] Read more.
The Yellow River Basin (YRB), a typical river system facing the challenge of balancing ecological conservation and economic development, offers valuable insights for global sustainable watershed governance through its forestry green transformation. Based on panel data from nine provinces in the basin from 2005 to 2022, this study constructs an efficiency evaluation indicator system for forestry green development. This system incorporates four inputs (labor, land, capital, and energy), two desirable outputs (economic and ecological benefits), and three undesirable outputs (wastewater, waste gas, and solid waste). By systematically integrating the undesirable outputs-based super-SBM model and the global Malmquist–Luenberger (GML) index, this study provides an assessment from both static and dynamic perspectives. The findings are as follows. (1) Forestry green development efficiency showed fluctuations over the study period, with the basin-wide average remaining below the production frontier. Spatially, it exhibits a pattern of “downstream > upstream > midstream”. (2) The average GML index is 0.984 during the study period, representing an average annual decline in forestry green total factor productivity of 1.6%. The growth dynamics transitioned from a stage dominated solely by technological progress to a dual-driver model involving both technological progress and technical efficiency. (3) The drivers of forestry green total factor productivity growth in the basin show profound regional heterogeneity. The downstream region demonstrates a synergistic dual-driver model of technical efficiency and technological progress, the midstream region is trapped in “dual stagnation” of both technical efficiency and technological progress, and the upstream region differentiates into four distinct pathways: technology-driven yet foundationally weak, efficiency-improving yet technology-lagged, endowment-advantaged yet transformation-constrained, and condition-constrained with efficiency limitations. The assessment framework and empirical findings established in this study can provide empirical evidence and policy insights for basins worldwide to resolve the ecological-development dilemma and promote forestry green transformation. Full article
Show Figures

Figure 1

34 pages, 4692 KB  
Article
YOLO-SMD: A Symmetrical Multi-Scale Feature Modulation Framework for Pediatric Pneumonia Detection
by Linping Du, Xiaoli Zhu, Zhongbin Luo and Yanping Xu
Symmetry 2026, 18(1), 139; https://doi.org/10.3390/sym18010139 - 10 Jan 2026
Viewed by 84
Abstract
Pediatric pneumonia detection faces the challenge of pathological asymmetry, where immature lung tissues present blurred boundaries and lesions exhibit extreme scale variations (e.g., small viral nodules vs. large bacterial consolidations). Conventional detectors often fail to address these imbalances. In this study, we propose [...] Read more.
Pediatric pneumonia detection faces the challenge of pathological asymmetry, where immature lung tissues present blurred boundaries and lesions exhibit extreme scale variations (e.g., small viral nodules vs. large bacterial consolidations). Conventional detectors often fail to address these imbalances. In this study, we propose YOLO-SMD, a detection framework built upon a symmetrical design philosophy to enforce balanced feature representation. We introduce three architectural innovations: (1) DySample (Content-Aware Upsampling): To address the blurred boundaries of pediatric lesions, this module replaces static interpolation with dynamic point sampling, effectively sharpening edge details that are typically smoothed out by standard upsamplers; (2) SAC2f (Cross-Dimensional Attention): To counteract background interference, this module enforces a symmetrical interaction between spatial and channel dimensions, allowing the model to suppress structural noise (e.g., rib overlaps) in low-contrast X-rays; (3) SDFM (Adaptive Gated Fusion): To resolve the extreme scale disparity, this unit employs a gated mechanism that symmetrically balances deep semantic features (crucial for large bacterial shapes) and shallow textural features (crucial for viral textures). Extensive experiments on a curated subset of 2611 images derived from the Chest X-ray Pneumonia Dataset demonstrate that YOLO-SMD achieves competitive performance with a focus on high sensitivity, attaining a Recall of 86.1% and an mAP@0.5 of 84.3%, thereby outperforming the state-of-the-art YOLOv12n by 2.4% in Recall under identical experimental conditions. The results validate that incorporating symmetry principles into feature modulation significantly enhances detection robustness in primary healthcare settings. Full article
(This article belongs to the Special Issue Symmetry/Asymmetry in Image Processing and Computer Vision)
34 pages, 3376 KB  
Article
Lexicographic Preferences Similarity for Coalition Formation in Complex Markets: Introducing PLPSim, HRECS, ContractLex, PriceLex, F@Lex, and PLPGen
by Faria Nassiri-Mofakham, Shadi Farid and Katsuhide Fujita
Information 2026, 17(1), 62; https://doi.org/10.3390/info17010062 - 9 Jan 2026
Viewed by 76
Abstract
Lexicographic preference trees (LP-Trees) provide a compact and expressive representation for modeling complex decision-making scenarios, yet measuring similarity between complete or partial structures remains a challenge. This study introduces PLPSim, a novel metric for quantifying alignment between partial lexicographic preference trees (PLP-Trees) and [...] Read more.
Lexicographic preference trees (LP-Trees) provide a compact and expressive representation for modeling complex decision-making scenarios, yet measuring similarity between complete or partial structures remains a challenge. This study introduces PLPSim, a novel metric for quantifying alignment between partial lexicographic preference trees (PLP-Trees) and develops three coalition formation algorithms—HRECS1, HRECS2, and HRECS3—that leverage PLPSim to group agents with similar preferences. We further propose ContractLex and PriceLex protocols (comprising CLF, CFB, CFW, CFA, CFP) for coalition-based contract and pricing strategies, along with a new evaluation metric, F@Lex, which is designed to assess satisfaction under lexicographic preferences. To illustrate the framework, we generate a synthetic dataset (PLPGen) contextualized in a hybrid renewable energy market, where consumers’ PLP-Trees are aggregated and matched with suppliers’ tariff contracts. Experiments across 162 market scenarios, evaluated using Normalized Discounted Cumulative Gain (nDCG), Davies–Bouldin dispersion, and F@Lex, demonstrate that PLPSim-based coalitions outperform baseline approaches. The combination HRECS3 + CFP yields the highest consumer satisfaction, while HRECS3 + CFB achieves balanced satisfaction for both consumers and suppliers. While electricity tariffs and renewable energy contracts—static and dynamic—serve as the motivating example, the proposed framework generalizes to diverse multi-agent systems, offering a foundation for preference-driven coalition formation, adaptive policy design, and sustainable market optimization. Full article
Show Figures

Graphical abstract

24 pages, 7136 KB  
Article
Extended Kalman Filter-Enhanced LQR for Balance Control of Wheeled Bipedal Robots
by Renyi Zhou, Yisheng Guan, Tie Zhang, Shouyan Chen, Jingfu Zheng and Xingyu Zhou
Machines 2026, 14(1), 77; https://doi.org/10.3390/machines14010077 - 8 Jan 2026
Viewed by 96
Abstract
With the rapid development of mobile robotics, wheeled bipedal robots, which combine the terrain adaptability of legged robots with the high mobility of wheeled systems, have attracted increasing research attention. To address the balance control problem during both standing and locomotion while reducing [...] Read more.
With the rapid development of mobile robotics, wheeled bipedal robots, which combine the terrain adaptability of legged robots with the high mobility of wheeled systems, have attracted increasing research attention. To address the balance control problem during both standing and locomotion while reducing the influence of noise on control performance, this paper proposes a balance control framework based on a Linear Quadratic Regulator integrated with an Extended Kalman Filter (KLQR). Specifically, a baseline LQR controller is designed using the robot’s dynamic model, where the control input is generated in the form of wheel-hub motor torques. To mitigate measurement noise and suppress oscillatory behavior, an Extended Kalman Filter is applied to smooth the LQR torque output, which is then used as the final control command. Filtering experiments demonstrate that, compared with median filtering and other baseline methods, the proposed EKF-based approach significantly reduces high-frequency torque fluctuations. In particular, the peak-to-peak torque variation is reduced by more than 60%, and large-amplitude torque spikes observed in the baseline LQR controller are effectively eliminated, resulting in continuous and smooth torque output. Static balance experiments show that the proposed KLQR algorithm reduces the pitch-angle oscillation amplitude from approximately ±0.03 rad to ±0.01 rad, corresponding to an oscillation reduction of about threefold. The estimated RMS value of the pitch angle is reduced from approximately 0.010 rad to 0.003 rad, indicating improved convergence and steady-state stability. Furthermore, experiments involving constant-speed straight-line locomotion and turning indicate that the KLQR algorithm maintains stable motion with velocity fluctuations limited to within ±0.05 m/s. The lateral displacement deviation during locomotion remains below 0.02 m, and no abrupt acceleration or deceleration is observed throughout the experiments. Overall, the results demonstrate that applying Extended Kalman filtering to smooth the control torque effectively improves the smoothness and stability of LQR-based balance control for wheeled bipedal robots. Full article
(This article belongs to the Section Robotics, Mechatronics and Intelligent Machines)
Show Figures

Figure 1

20 pages, 3010 KB  
Article
Dynamic Splitting Tensile Behavior of Rubber-Toughened Ceramsite Concrete for Transmission Structure Foundations Under a Wide Range of Strain Rates
by Guangtong Sun, Hanwei Qiu, Wanhui Feng, Lin Chen, Hongzhong Li and Fei Yang
Buildings 2026, 16(2), 269; https://doi.org/10.3390/buildings16020269 - 8 Jan 2026
Viewed by 99
Abstract
To address the impact-induced damage to concrete pile foundations of transmission structures caused by nearby blasting vibrations, this study investigates the dynamic splitting tensile behavior of an environmentally friendly lightweight rubberized concrete—Rubber-Toughened Ceramsite Concrete (RTCC)—under impact loading. Quasi-static tests show that the static [...] Read more.
To address the impact-induced damage to concrete pile foundations of transmission structures caused by nearby blasting vibrations, this study investigates the dynamic splitting tensile behavior of an environmentally friendly lightweight rubberized concrete—Rubber-Toughened Ceramsite Concrete (RTCC)—under impact loading. Quasi-static tests show that the static splitting tensile strength increases first and then decreases with increasing rubber content, reaching a maximum value of 2.01 MPa at a 20% replacement ratio. Drop-weight impact tests indicate that RTCC20 exhibits the highest peak impact force (42.48 kN) and maximum absorbed energy (43.23 J) within the medium strain-rate range. Split Hopkinson Pressure Bar (SHPB) tests further demonstrate that RTCC20 shows the highest strain-rate sensitivity. Overall, RTCC with 20% rubber content provides the best comprehensive performance, achieving a favorable balance between strength and toughness across the entire strain-rate range. These findings offer experimental support for applying RTCC to blast-vibration-resistant transmission structure foundations. Full article
(This article belongs to the Section Building Materials, and Repair & Renovation)
Show Figures

Figure 1

21 pages, 3102 KB  
Article
An Enhanced Hybrid Astar Path Planning Algorithm Using Guided Search and Corridor Constraints
by Na Che, Xianwei Zeng, Jian Zhao, Haiyan Wang and Qinsheng Du
Sensors 2026, 26(2), 379; https://doi.org/10.3390/s26020379 - 7 Jan 2026
Viewed by 122
Abstract
Aiming at the problems of large search space, unstable computational efficiency, and lack of safety of generated paths in complex environments of traditional HybridA* algorithms, this paper proposes an improved HybridA* algorithm based on Voronoi diagrams and safe corridors (GCHybridA*) to overcome these [...] Read more.
Aiming at the problems of large search space, unstable computational efficiency, and lack of safety of generated paths in complex environments of traditional HybridA* algorithms, this paper proposes an improved HybridA* algorithm based on Voronoi diagrams and safe corridors (GCHybridA*) to overcome these challenges. The method first reduces ineffective node expansion by constructing a Voronoi path away from obstacles and smoothing it, followed by selecting key guidance points to provide stage-like goals for path search. Then, an innovative safe corridor is generated and the path search is restricted to the safe corridor area to guarantee the safety of the path, and an adaptive step-size mechanism is designed to balance the search efficiency and path quality. The experimental results show that the GCHybridA* algorithm significantly outperforms the conventional HybridA* algorithm, with an average reduction of 83.7% in node expansions while maintaining zero potential collision points across all four typical maps. This study provides an innovative and robust solution for efficient and safe path planning in autonomous driving systems. This study provides an innovative and robust solution for global path planning in autonomous driving systems, focusing on static environment navigation with safety guarantees. Full article
(This article belongs to the Section Sensors and Robotics)
Show Figures

Figure 1

19 pages, 525 KB  
Systematic Review
Electromyography After Total Hip Arthroplasty: A Systematic Review of Neuromuscular Alterations and Functional Movement Patterns
by Maria Cesarina May, Andrea Zanirato, Luca Puce, Eugenio Giannarelli, Carlo Trompetto, Lucio Marinelli and Matteo Formica
J. Clin. Med. 2026, 15(1), 400; https://doi.org/10.3390/jcm15010400 - 5 Jan 2026
Viewed by 168
Abstract
Background: Electromyography (EMG) is increasingly used to characterize neuromuscular alterations after total hip arthroplasty (THA), yet available evidence remains fragmented and inconsistent. This systematic review synthesizes postoperative EMG findings during gait, functional tasks, and static assessments, highlighting clinical implications and future research [...] Read more.
Background: Electromyography (EMG) is increasingly used to characterize neuromuscular alterations after total hip arthroplasty (THA), yet available evidence remains fragmented and inconsistent. This systematic review synthesizes postoperative EMG findings during gait, functional tasks, and static assessments, highlighting clinical implications and future research needs. Methods: Peer-reviewed studies employing surface, needle, or high-density EMG after THA were systematically examined. Extracted variables included activation amplitude, timing (onset, offset, burst duration), co-activation patterns, and the influence of surgical approach. Methodological rigor, normalization procedures, and the extractability of quantitative EMG metrics were also assessed. Results: Across studies, postoperative EMG consistently revealed non-physiological activation patterns, including delayed or prolonged gluteus medius activity and excessive recruitment of posterior chain muscles. These abnormalities persisted for up to 12 months and, in isolated cases, beyond a decade. Comparisons of surgical approaches demonstrated early denervation signs and impaired recruitment following lateral-based incisions, whereas later adaptations differed between lateral and posterior approaches but remained abnormal in both. Needle EMG studies confirmed transient involvement of muscles innervated by the superior gluteal nerve, while high-density EMG identified persistent deficits in spatial and temporal organization despite clinical improvement. Load-bearing and assisted-task studies showed that cane use and balance challenges modulate abductor demand yet continue to expose asymmetries and elevated stabilization requirements. Nonetheless, comparability across investigations remains limited because few studies adopted standardized normalization procedures or reproducible locomotor tasks. Conclusions: Neuromuscular recovery after THA appears incomplete and asymmetric, characterized by compensatory strategies not detectable through clinical or kinematic assessments alone. Improved diagnostic sensitivity and clinical applicability will require protocol standardization and the broader adoption of advanced EMG approaches. Full article
Show Figures

Figure 1

22 pages, 2074 KB  
Article
Traffic Flow Prediction Model Based on Attention Mechanism Spatio-Temporal Graph Convolutional Network on U.S. Highways
by Ruiying Zhang and Yin Han
Appl. Sci. 2026, 16(1), 559; https://doi.org/10.3390/app16010559 - 5 Jan 2026
Viewed by 187
Abstract
Traffic flow prediction is a fundamental component of intelligent transportation systems and plays a critical role in traffic management and autonomous driving. However, accurately modeling highway traffic remains challenging due to dynamic congestion propagation, lane-level heterogeneity, and non-recurrent traffic events. To address these [...] Read more.
Traffic flow prediction is a fundamental component of intelligent transportation systems and plays a critical role in traffic management and autonomous driving. However, accurately modeling highway traffic remains challenging due to dynamic congestion propagation, lane-level heterogeneity, and non-recurrent traffic events. To address these challenges, this paper proposes an improved attention-mechanism spatio-temporal graph convolutional network, termed AMSGCN, for highway traffic flow prediction. AMSGCN introduces an adaptive adjacency matrix learning mechanism to overcome the limitations of static graphs and capture time-varying spatial correlations and congestion propagation paths. A hierarchical multi-scale spatial attention mechanism is further designed to jointly model local congestion diffusion and long-range bottleneck effects, enabling an adaptive spatial receptive field under congested conditions. To enhance temporal modeling, a gating-based fusion strategy dynamically balances periodic patterns and recent observations, allowing effective prediction under both regular and abnormal traffic scenarios. In addition, direction-aware encoding is incorporated to suppress interference from opposite-direction lanes, which is essential for directional highway traffic systems. Extensive experiments on multiple benchmark datasets, including PeMS and PEMSF, demonstrate the effectiveness and robustness of AMSGCN. In particular, on the I-24 MOTION dataset, AMSGCN achieves an RMSE reduction of 11.0% compared to ASTGCN and 17.4% relative to the strongest STGCN baseline. Ablation studies further confirm that dynamic and multi-scale spatial attention provides the primary performance gains, while temporal gating and direction-aware modeling offer complementary improvements. These results indicate that AMSGCN is a robust and effective solution for highway traffic flow prediction. Full article
Show Figures

Figure 1

24 pages, 6701 KB  
Article
Conservation Planning of Historic and Cultural Towns in China Using Game Equilibrium, Conflicts, and Mechanisms
by Qiuyu Chen, Bin Long, Xinfei Sun, Junxi Yang, Shixian Luo and Mian Yang
Land 2026, 15(1), 96; https://doi.org/10.3390/land15010096 - 4 Jan 2026
Viewed by 182
Abstract
Planning serves as a vital tool for achieving orderly land management and utilization. The success of conservation planning hinges on its ability to translate cultural heritage preservation needs into rational allocation and guidance of land resources, ultimately realizing a win–win outcome that fosters [...] Read more.
Planning serves as a vital tool for achieving orderly land management and utilization. The success of conservation planning hinges on its ability to translate cultural heritage preservation needs into rational allocation and guidance of land resources, ultimately realizing a win–win outcome that fosters cultural continuity, social harmony, and economic development. Historic and cultural towns are highly representative urban and rural historic and cultural heritage sites. However, the participation components in the conservation planning of historic towns are complex, and the misalignment of the functions, rights and responsibilities, and interest demands of the participants often leads to a loss of actual benefits. To help achieve a reasonable transformation of the protection needs of historic towns and guide the cultural inheritance and socially harmonious development of urban and rural construction, based on game theory and the logic of planning rights games, this paper begins with an understanding of the relevant laws and regulations, conducts an empirical analysis of the game processes and situations of conservation planning in two provinces and four towns, and incorporates publicly available data from the internet for argumentation to explore the game states and operation mechanisms of conservation planning in historic and cultural towns. The findings reveal the following regarding historic town conservation planning: (1) it proceeds lawfully and rationally, reflecting collective rationality; (2) it exhibits two equilibrium modes: relatively static and dynamic; (3) game conflicts mainly manifest as multi-planning conflicts and the resulting conflicts among systems and inter-systems. The game dynamics are influenced by the value of the historic town, resource allocation, and the relationship between rights, responsibilities, and interests. To overcome the game dilemma, it is essential to establish effective cooperative mechanisms at the legal and regulatory levels based on the value of the historic town, allocate resources reasonably, and achieve a balance between rights, responsibilities, and interests. Full article
Show Figures

Figure 1

16 pages, 894 KB  
Article
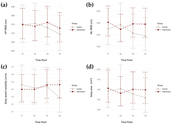
Effect of a Physio-Feedback Exercise Intervention Program on the Static Balance of Community-Dwelling Older Adults: A Clustered Randomized Controlled Trial
by Jethro Raphael M. Suarez, Kworweinski Lafontant, Chitra Banarjee, Rui Xie, Joon-Hyuk Park and Ladda Thiamwong
Geriatrics 2026, 11(1), 6; https://doi.org/10.3390/geriatrics11010006 - 3 Jan 2026
Viewed by 217
Abstract
Background/Objectives: This study aimed to assess the impact of a physio-feedback exercise program (PEER) on the static balance of community-dwelling older adults. Methods: A clustered randomized controlled trial involving community-dwelling older adults (≥60 years of age) in the Central Florida area [...] Read more.
Background/Objectives: This study aimed to assess the impact of a physio-feedback exercise program (PEER) on the static balance of community-dwelling older adults. Methods: A clustered randomized controlled trial involving community-dwelling older adults (≥60 years of age) in the Central Florida area was conducted. Participants were randomized by research site into either (1) an 8-week exercise intervention program consisting of group-based and at-home exercises, along with a discussion with a researcher regarding their physiological health before and after the intervention period, or (2) a control group. Static balance outcomes included anterior–posterior root mean square (AP RMS), medial-lateral RMS (ML RMS), sway speed variability, and sway area measured using the Balance Tracking System (BTrackS) at baseline (T1), post-intervention (T2), one-month post-intervention (T3), and three months post-intervention (T4). Results: Among 373 community-dwelling older adults (mean age = 74.3 ± 7.1 years), a trend towards short-term improvement of sway area was observed for the intervention group, as seen through a small, marginally significant reduction in sway area at T2 (standardized β = −0.07; p = 0.050). However, the trend dissipated during post-intervention follow-up periods (T3 and T4). Sway speed variability significantly increased for the intervention group at T4 (standardized β = 0.10; p = 0.014). Conclusions: The PEER intervention may need to increase the total duration of the intervention, the frequency of the weekly exercise sessions, and the amount of standing stance exercises during the group-based and at-home exercise sessions to elicit improvements in static balance among older community-dwelling adults. Full article
Show Figures

Figure 1

41 pages, 2277 KB  
Article
Navigating Technological Frontiers: Explainable Patent Recommendation with Temporal Dynamics and Uncertainty Modeling
by Kuan-Wei Huang
Symmetry 2026, 18(1), 78; https://doi.org/10.3390/sym18010078 - 2 Jan 2026
Viewed by 243
Abstract
Rapid technological innovation has made navigating millions of new patent filings a critical challenge for corporations and research institutions. Existing patent recommendation systems, largely constrained by their static designs, struggle to capture the dynamic pulse of an ever-evolving technological ecosystem. At the same [...] Read more.
Rapid technological innovation has made navigating millions of new patent filings a critical challenge for corporations and research institutions. Existing patent recommendation systems, largely constrained by their static designs, struggle to capture the dynamic pulse of an ever-evolving technological ecosystem. At the same time, their “black-box” decision-making processes severely limit their trustworthiness and practical value in high-stakes, real-world scenarios. To address this impasse, we introduce TEAHG-EPR, a novel, end-to-end framework for explainable patent recommendation. The core of our approach is to reframe the recommendation task as a dynamic learning and reasoning process on a temporal-aware attributed heterogeneous graph. Specifically, we first construct a sequence of patent knowledge graphs that evolve on a yearly basis. A dual-encoder architecture, comprising a Relational Graph Convolutional Network (R-GCN) and a Bidirectional Long Short-Term Memory network (Bi-LSTM), is then employed to simultaneously capture the spatial structural information within each time snapshot and the evolutionary patterns across time. Building on this foundation, we innovatively introduce uncertainty modeling, learning a dual “deterministic core + probabilistic potential” representation for each entity and balancing recommendation precision with exploration through a hybrid similarity metric. Finally, to achieve true explainability, we design a feature-guided controllable text generation module that can attach a well-reasoned, faithful textual explanation to every single recommendation. We conducted comprehensive experiments on two large-scale datasets: a real-world industrial patent dataset (USPTO) and a classic academic dataset (AMiner). The results are compelling: TEAHG-EPR not only significantly outperforms all state-of-the-art baselines in recommendation accuracy but also demonstrates a decisive advantage across multiple “beyond-accuracy” dimensions, including explanation quality, diversity, and novelty. Full article
Show Figures

Figure 1

22 pages, 4227 KB  
Review
Current Status and Future Prospects of Photocatalytic Technology for Water Sterilization
by Nobuhiro Hanada, Manabu Kiguchi and Akira Fujishima
Catalysts 2026, 16(1), 40; https://doi.org/10.3390/catal16010040 - 1 Jan 2026
Viewed by 344
Abstract
Photocatalytic water sterilization has emerged as a promising sustainable technology for addressing microbial contamination across diverse sectors including healthcare, food production, and environmental management. This review examines the fundamental mechanisms and recent advances in photocatalytic water sterilization, with a particular emphasis on the [...] Read more.
Photocatalytic water sterilization has emerged as a promising sustainable technology for addressing microbial contamination across diverse sectors including healthcare, food production, and environmental management. This review examines the fundamental mechanisms and recent advances in photocatalytic water sterilization, with a particular emphasis on the differential bactericidal pathways against Gram-negative and Gram-positive bacteria. Gram-negative bacteria undergo a two-step inactivation process involving initial outer membrane lipopolysaccharide (LPS) degradation followed by inner membrane disruption, whereas Gram-positive bacteria exhibit simpler kinetics due to direct oxidative attacks on their thick peptidoglycan layer. Escherichia coli has long been used as the gold standard in photocatalytic sterilization studies owing to its aerobic nature and suitability for the colony-counting method. In contrast, Lactobacillus casei, a facultative anaerobe, can be cultured statically and evaluated rapidly using turbidity-based optical density measurements. Therefore, both organisms serve complementary roles depending on the experimental objectives—E. coli for precise quantification and L. casei for rapid, practical assessments of Gram-positive bacterial inactivation under laboratory conditions. We also describe sterilization using light alone while comparing it to photocatalytic sterilization and then discuss two innovative suspension-based photocatalyst systems: polystyrene bead-supported TiO2/SiO2 composites offering balanced reactivity and separability and magnetic TiO2-SiO2/Fe3O4 nanoparticles enabling rapid magnetic recovery. Future research directions should prioritize enhancing visible-light efficiency using metal-doped TiO2 such as Cu-doped systems; improving catalyst durability; developing new applications of photocatalysts, such as protecting RO membranes; and validating scalability across diverse industrial and medical water treatment applications. Full article
Show Figures

Graphical abstract

19 pages, 554 KB  
Article
Enhancing Industry 4.0 Energy Efficiency: A Data-Driven Dynamic Control for Pull-Flow Lines
by Paolo Renna
Appl. Sci. 2026, 16(1), 467; https://doi.org/10.3390/app16010467 - 1 Jan 2026
Viewed by 274
Abstract
This paper investigates the effectiveness of dynamic switch-off policies in flow line production systems, aiming to balance energy efficiency and operational performance. A three-machine simulation model is developed and tested under steady-state and fluctuating processing conditions. The proposed policy, based on adaptive thresholds [...] Read more.
This paper investigates the effectiveness of dynamic switch-off policies in flow line production systems, aiming to balance energy efficiency and operational performance. A three-machine simulation model is developed and tested under steady-state and fluctuating processing conditions. The proposed policy, based on adaptive thresholds and Statistical Process Control (SPC) logic, is compared against two benchmarks: the traditional always-on model and a fixed switch-off policy. Simulation results demonstrate that the dynamic policy reduces customer-related performance measures—specifically queue lengths and waiting times—by approximately 50–56% compared to fixed policies. Crucially, this improvement is achieved while maintaining energy savings (~11%) and work-in-process reduction (~38%) comparable to the static approach. These benefits remain consistent even under high-variability scenarios, confirming the robustness of the proposed control architecture for Industry 4.0 sustainable manufacturing. Full article
(This article belongs to the Special Issue Advanced Technologies for Industry 4.0 and Industry 5.0, 2nd Edition)
Show Figures

Figure 1

Back to TopTop