Lexicographic Preferences Similarity for Coalition Formation in Complex Markets: Introducing PLPSim, HRECS, ContractLex, PriceLex, F@Lex, and PLPGen †
Abstract
1. Introduction
2. Literature Review
2.1. Background and Related Works
2.2. Preliminaries
3. Methodological Framework
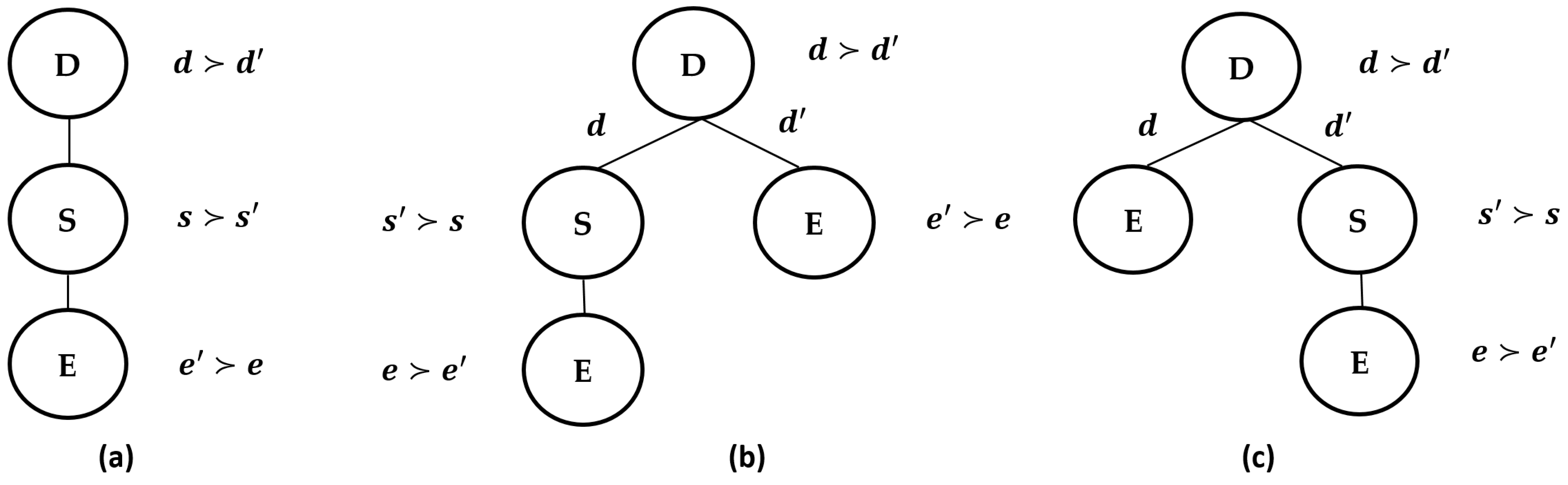
3.1. Lexicographic Preference Tree Solution Rank
3.2. Lexicographic Preference Similarity Measure: PLPSim
3.3. Coalition Formation Algorithms
3.3.1. HRECS 1: Consumer’s PLP-Driven Coalition Formation
| Algorithm 1. HRECS1 |
| 1: Input: 2: Output: 3: Begin 4: for each do 5: 6: // i.e., add to ~ add to 7: end for 8: return 9: End |
3.3.2. HRECS 2: Supplier’s LP-Driven Coalition Formation
- (1)
- By starting from the beginning of the matrix , while a tariff exists where , the most similar consumer in the similarity list with the tariff is allocated to this tariff (line 6).
- (2)
- Then, preference of the consumer is removed from the list of all tariffs in , (i.e., to ) (line 8).
- (3)
- In the end, Step (1) continues with a cyclic turn of tariff (or If ).
| Algorithm 2. HRECS2 |
| 1: Input: 2: Output: 3: Begin 4: while do 5: for each do 6: // i.e., add to 7: for each do 8: // i.e., delete from 9: end for 10: end for 11: end while 12: return 13: End |
3.3.3. HRECS 3: Consumer’s PLP-Supplier’s LP-Driven Coalition Formation
- (1)
- For of consumers , the most similar tariff is assigned to each consumer; that is, demand of consumer is recorded in group for the tariff (line 14);
- (2)
- And the demand of this consumer is removed from the list of all tariffs in , (i.e., to ) (line 16);
- (3)
- The pointer at the consumers’ side is increased by one bucket (line 18);
- (4)
- For the count of suppliers , the most similar consumer in the list of similarities to the tariff is placed for this tariff, respectively; that is, demand of consumer is recorded in group for the tariff (line 22);
- (5)
- The preference line of this consumer is removed from (line 23);
- (6)
- Preference of this consumer is removed from the list of all tariffs in , (i.e., to ) (line 25);
- (7)
- The supplier pointer increases by one bucket (line 27);
- (8)
- Step (1) continues.
| Algorithm 3. HRECS3 |
| 1: Input: , 2: Output: 3: Begin 4: 5: if then 6: 7: else if then 8: 9: end if 10: 11: while or do // i.e., or 12: for each 13: 14: 15: for each 16: // i.e., delete from 17: end for 18: 19: end for // and switches to the other matrix 20: for each 21: 22: 23: // i.e., delete from 24: for each 25: // i.e., delete from 26: end for 27: 28: end for // and switches to the other matrix 29: end while 30: return 31: End |
3.4. Tariff Contracts
3.4.1. Lexicographic Contract: Dynamic Hybrid Renewable Energy Tariff
3.4.2. Fixed Hybrid Renewable Energy Tariff Contract
| Algorithm 4. CFP |
| 1: Input: 2: Output: 3: Begin 4: for each in do 5: for each in do 6: 7: ) 8: 9: end for 10: end for 11: return 12: End |
3.5. Metrics
| Algorithm 5. Consumer confusion matrix. |
| 1: Input: 2: Output: 3: Begin 4: // 5: 6: 7: 8: 9: for all do 10: 11: 12: end for 13: return 14: End |
| Algorithm 6. Supplier confusion matrix. |
| 1: Input: 2: Output: 3: Begin 4: // 5: 6: 7: 8: for all do 9: 10: 11: end for 12: return 13: End |
3.6. Formulating Lexicographic Preference Representation
- Row 0 of the array is always assumed to be “dummy”.
- The children of each node in the tree are placed in the rows after this node, according to the number of its attribute values. They also have several states:
- The node can have no children: Therefore, its children are “dummy”. In this case, the node is called a leaf. So, it can be said that if the left child of the node is “dummy”, then the other children must have been “dummy”.
- The node can be considered unconditionally: In this case, only the left child of the node is set, the conditional parent value is also set as ”null”, and the other children are “dummy”. The conditional node only includes the left child.
- In row 0, the array is always “dummy”.
- In other rows, if a node is in the -th row of the array, the left child is in and the right child is in .
- Now, each row of the array itself contains three parts, such that the parent node’s conditional value is located in the first cell. The second and third cells correspond to the priority of the values of each attribute. The second cell is the value that is preferred over the third one. More precisely:
- When there is no node (for example, the root parent or the missing child), it is “dummy”.
- When a node is unconditional, the first cell of the row is “null”.
- When a node is conditional, then the value of the parent condition is placed in the first cell of each row.
4. Illustration, Experiment, and Discussion
4.1. Step-by-Step Example: PLPSim Asymmetry
4.2. Case Study: Hybrid Renewable Energy Tariffs
4.3. Experimental Setup
4.3.1. Experiment I: PLPSim Computational Performance
4.3.2. Experiment II: PLPSim Performance in Group Tariff Selection
4.4. Experimental Results
4.5. Findings and Policy Implications,
- Runtime scalability: PLPSim exhibits linear growth in runtime and scalability with increasing numbers of features (Figure 10a).
- Memory efficiency: PLPSim is more scalable in terms of memory consumption as the number of features increases (Figure 10b).
- Similarity performance: PLPSim achieves more favorable nDCG similarity than PLPDis for preferences with fewer facets (Figure 11).
- Coalition efficiency: PLPSim is more efficient in symmetric coalition methods (HREC3), while PLPDis’s efficiency decreases (Figure 11).
- Consumer similarity index: the HRECS3 coalition formation yields the smallest Davis–Bouldin index of consumer similarity (Figure 11).
- Consumer F-measure: the CFP protocol produces the best F-measure for consumers (Figure 12).
- Supplier F-measure: the CFB protocol yields the best F-measure for suppliers and, on average, for society (Figure 13).
- Alternative supplier F-measure: HRECS3 produces the best F-measure for suppliers and, on average, for society (Figure 14).
- PLPDis comparative performance: the PLPDis similarity method achieves a slightly better F-measure than PLPSim for consumers, suppliers, and society (Figure 14).
- Consumers are more likely to encounter tariffs that match their needs early in the selection process.
- Decision fatigue is reduced, and satisfaction increased, as users spend less time evaluating irrelevant options.
- Trust in the system’s ability to reflect individual priorities is improved, which can boost adoption rates of HRES.
- More successful coalition formations, as consumers are grouped with others who share similar preferences.
- A higher likelihood of meeting supplier quorum thresholds, unlocking group discounts and lowering energy costs.
- Enhanced supplier profitability and consumer retention, due to better alignment of expectations and outcomes.
5. Conclusions and Future Works
Supplementary Materials
Author Contributions
Funding
Institutional Review Board Statement
Informed Consent Statement
Data Availability Statement
Acknowledgments
Conflicts of Interest
Appendix A. PLPGen: Generating Lexicographic Preference Dataset
| Algorithm A1. Get-Param. |
| // Attributes and their values // Please refer to Supplementary Material. |
| Algorithm A2. Make_Node. |
| // Lexicographic preference // Please refer to Supplementary Material. |
| Algorithm A3. Tree-Print. |
| // LP-tree // Please refer to Supplementary Material. |
References
- Booth, R.; Chevaleyre, Y.; Lang, J.; Mengin, J.; Sombattheera, C. Learning conditionally lexicographic preference relations. In Proceedings of the European Conference on Artificial Intelligence (ECAI), Lisbon, Portugal, 16–20 August 2010; pp. 269–274. [Google Scholar]
- Chevaleyre, Y.; Endriss, U.; Lang, J.; Maudet, N. A short introduction to computational social choice. In Proceedings of the International Conference on Current Trends in Theory and Practice of Computer Science, Harrachov, Czech Republic, 20–26 January 2007; Springer: Berlin/Heidelberg, Germany, 2007; pp. 51–69. [Google Scholar]
- Allen, J.; Liu, X.; Umapathy, K.; Reddivari, S. Clustering partial lexicographic preference trees. In Proceedings of the FLAIRS Conference, North Miami Beach, FL, USA, 17–20 May 2020; pp. 172–175. [Google Scholar]
- Fargier, H.; Gimenez, P.-F.; Mengin, J.; Nguyen, B.N.L. The complexity of unsupervised learning of lexicographic preferences. In Proceedings of the MPREF 2022-13th Multidisciplinary Workshop on Advances in Preference Handling, Vienna, Austria, 23–25 July 2022; pp. 1–8. [Google Scholar]
- Li, C.; Chawla, S.; Rajan, U.; Sycara, K. Mechanism design for coalition formation and cost sharing in group-buying markets. Electron. Commer. Res. Appl. 2004, 3, 341–354. [Google Scholar] [CrossRef]
- Doumpos, M.; Grigoroudis, E.; Matsatsinis, N.F.; Zopounidis, C. Preference disaggregation analysis: An overview of methodological advances and applications. In Intelligent Decision Support Systems: Combining Operations Research and Artificial Intelligence-Essays in Honor of Roman Słowiński; Springer: Berlin/Heidelberg, Germany, 2022; pp. 73–100. [Google Scholar]
- Sandomirskiy, F.; Ushchev, P. The geometry of consumer preference aggregation. arXiv 2024, arXiv:2405.06108. [Google Scholar] [CrossRef]
- Kurbatova, T.; Sotnyk, I.; Prokopenko, O.; Bashynska, I.; Pysmenna, U. Improving the feed-in tariff policy for renewable energy promotion in Ukraine’s households. Energies 2023, 16, 6773. [Google Scholar]
- Cheng, L.; Wei, X.; Li, M.; Tan, C.; Yin, M.; Shen, T.; Zou, T. Integrating evolutionary game-theoretical methods and deep reinforcement learning for adaptive strategy optimization in user-side electricity markets: A comprehensive review. Mathematics 2024, 12, 3241. [Google Scholar] [CrossRef]
- Algarvio, H. The economic sustainability of variable renewable energy considering the negotiation of different support schemes. Sustainability 2023, 15, 4471. [Google Scholar] [CrossRef]
- Giedraityte, A.; Rimkevicius, S.; Marciukaitis, M.; Radziukynas, V.; Bakas, R. Hybrid renewable energy systems—A review of optimization approaches and future challenges. Appl. Sci. 2025, 15, 1744. [Google Scholar] [CrossRef]
- Pawar, R.; Dalsania, K.P.; Sircar, A.; Yadav, K.; Bist, N. Renewable energy hybridization: A comprehensive review of integration strategies for efficient and sustainable power generation. Clean Technol. Environ. Policy 2024, 26, 4041–4058. [Google Scholar] [CrossRef]
- Cheng, L.; Huang, P.; Zhang, M.; Yang, R.; Wang, Y. Optimizing electricity markets through game-theoretical methods: Strategic and policy implications for power purchasing and generation enterprises. Mathematics 2025, 13, 373. [Google Scholar] [CrossRef]
- Cheng, L.; Sun, R.; Wang, K.; Yu, F.; Huang, P.; Zhang, M. Advancing sustainable electricity markets: Evolutionary game theory as a framework for complex systems optimization and adaptive policy design. Complex Intell. Syst. 2025, 11, 320. [Google Scholar] [CrossRef]
- Chevaleyre, Y.; Endriss, U.; Lang, J.; Maudet, N. Preference handling in combinatorial domains: From AI to social choice. AI Mag. 2008, 29, 37. [Google Scholar] [CrossRef]
- El Fidha, S.; Amor, N.B. Multi-agent conditional preference networks with incomplete and different structure. In Proceedings of the 2014 6th International Conference of Soft Computing and Pattern Recognition (SoCPaR), Tunis, Tunisia, 11–14 August 2014; IEEE: New York, NY, USA, 2014; pp. 197–202. [Google Scholar]
- Robu, V.; Vinyals, M.; Rogers, A.; Jennings, N.R. Efficient buyer groups with prediction-of-use electricity tariffs. IEEE Trans. Smart Grid 2018, 9, 4468–4479. [Google Scholar] [CrossRef]
- Lilliu, F.; Recupero, D.R.; Vinyals, M.; Denysiuk, R. Incentive mechanisms for the secure integration of renewable energy in local communities: A game-theoretic approach. Sustain. Energy Grids Netw. 2023, 36, 101166. [Google Scholar]
- Ghotbi, M.; Nassiri-Mofakham, F. Aggregating wcp-nets using borda choice. In Proceedings of the 11st International Conference on e-Commerce with the focus on e-Tourism, e-Health, and Health Tourism, Isfahan, Iran, 5–8 November 2017; pp. 1–10. [Google Scholar]
- Farid, S.; Nassiri-Mofakham, F. Hybrid renewable energy tariff selection using providers and consumers lexicographic preferences similarity. In Proceedings of the International Conference on Applied Energy 2021, Bangkok, Thailand, 29 November–5 December 2021; p. 4. [Google Scholar]
- Burges, C.; Shaked, T.; Renshaw, E.; Lazier, A.; Deeds, M.; Hamilton, N.; Hullender, G. Learning to rank using gradient descent. In Proceedings of the 22nd International Conference on Machine Learning, Bonn, Germany, 7–11 August 2005; pp. 89–96. [Google Scholar]
- Davies, D.L.; Bouldin, D. A cluster separation measure. IEEE Trans. Pattern Anal. Mach. Intell. 1979, 1, 224–227. [Google Scholar] [CrossRef] [PubMed]
- Wang, Y.; Wang, L.; Li, Y.; He, D.; Liu, T.-Y. A theoretical analysis of NDCG type ranking measures. In Proceedings of the Conference on Learning Theory, Princeton, NJ, USA, 12–14 June 2013; PMLR: Mc Kees Rocks, PA, USA, 2013; pp. 25–54. [Google Scholar]
- Abushnaf, J.; Rassau, A. Impact of energy management system on the sizing of a grid-connected PV/Battery system. Electr. J. 2018, 31, 58–66. [Google Scholar] [CrossRef]
- Deshmukh, M.; Deshmukh, S. Modeling of hybrid renewable energy systems. Renew. Sustain. Energy Rev. 2008, 12, 235–249. [Google Scholar] [CrossRef]
- Kakran, S.; Chanana, S. Smart operations of smart grids integrated with distributed generation: A review. Renew. Sustain. Energy Rev. 2018, 81, 524–535. [Google Scholar] [CrossRef]
- Schleifer, A.H.; Harrison-Atlas, D.; Cole, W.J.; Murphy, C.A. Hybrid renewable energy systems: The value of storage as a function of PV-wind variability. Front. Energy Res. 2023, 11, 1036183. [Google Scholar] [CrossRef]
- Pal, H. Modeling the dynamic effects of tariffs on economic variables and trade policies. Future Bus. J. 2025, 11, 83. [Google Scholar] [CrossRef]
- Stute, J.; Klobasa, M. How do dynamic electricity tariffs and different grid charge designs interact?-Implications for residential consumers and grid reinforcement requirements. Energy Policy 2024, 189, 114062. [Google Scholar] [CrossRef]
- Vardakas, J.S.; Zorba, N.; Verikoukis, C.V. A survey on demand response programs in smart grids: Pricing methods and optimization algorithms. IEEE Commun. Surv. Tutor. 2015, 17, 152–178. [Google Scholar]
- Belmar, F.; Baptista, P.; Neves, D. Modelling renewable energy communities: Assessing the impact of different configurations, technologies and types of participants. Energy Sustain. Soc. 2023, 13, 18. [Google Scholar] [CrossRef]
- Ferreira, E.C.C. Renewable Energy Communities: Concepts, Approaches and the Case Study of Telheiras Neighborhood in Lisbon. Master’s Thesis, Universidade NOVA de Lisboa, Lisbon, Portugal, 2023. [Google Scholar]
- Romero-Lankao, P.; Rosner, N.; Efroymson, R.A.; Parisch, E.S.; Blanco, L.; Smolinski, S.; Kline, K. Community Engagement and Equity in Renewable Energy Projects: A Literature Review; National Renewable Energy Laboratory: Golden, CO, USA, 2023.
- Chen, X.; Chen, C.; Tian, G.; Yang, Y.; Zhao, Y. Comprehensive evaluation research of hybrid energy systems driven by renewable energy based on fuzzy multi-criteria decision-making. Front. Energy Res. 2023, 11, 1294391. [Google Scholar] [CrossRef]
- Li, M.; Kazimipour, B. An efficient algorithm to compute distance between lexicographic preference trees. In Proceedings of the International Joint Conference on Artificial Intelligence (IJCAI), Stockholm, Sweden, 13–19 July 2018; pp. 1898–1904. [Google Scholar]
- Järvelin, K.; Kekäläinen, J. Cumulated gain-based evaluation of IR techniques. ACM Trans. Inf. Syst. 2002, 20, 422–446. [Google Scholar] [CrossRef]















| Lexicographic Preferences | PLPSim Similarity | CPSim Similarity | LPDis Distance | PLPDis Distance |
|---|---|---|---|---|
| Figure 2a,b | 0.906 | 0.833 | 7 | 10 |
| Figure 2a,c | 0.698 | 0.833 | 5 | 8 |
| Consumer | Bid | Partial/Complete Binary Lexicographic Preference (PLP) |
| dummy*null,a0,a1*a0,c1,c0*a1,b1,b0*null,b0,b1#1500 | ||
| dummy*null,c0,c1*null,a1,a0#1700 | ||
| dummy*null,a1,a0*a1,c1,c0*a0,b1,b0*null,b1,b0*dummy*b1,c1,c0*b0,c0,c1#2000 | ||
| dummy*null,b0,b1*b0,a0,a1*b1,a1,a0*dummy*dummy*null,c1,c0#1400 | ||
| dummy*null,a1,a0*null,b0,b1*dummy*null,c1,c0#1600 | ||
| dummy*null,a0,a1*null,b1,b0*dummy*null,c0,c1#1500 | ||
| dummy*null,c1,c0*null,b1,b0*dummy*null,a1,a0#1800 | ||
| dummy*null,a0,a1*null,b1,b0*dummy*b1,c1,c0*b0,c0,c1#1700 | ||
| dummy*null,c0,c1*null,b0,b1#1600 | ||
| dummy*null,a0,a1*null,c1,c0*dummy*null,b0,b1#2000 | ||
| Supplier | Ask | (Complete) Binary Lexicographic Preference (LP) |
|---|---|---|
| dummy*null,b0,b1*null,c1,c0*dummy*c1,a0,a1*c0,a1,a0#1500#2#1 | ||
| dummy*null,c1,c0*c1,b1,b0*c0,a1,a0*null,a1,a0*dummy*a1,b0,b1*a0,b1,b0#1700#3#1 | ||
| dummy*null,b1,b0*b1,a1,a0*b0,a0,a1*null,c1,c0*dummy*a0,c0,c1*a1,c1,c0#1600#2#2 |
| Method | Demand | CLF | CFB | CFW | CFA | CFP | |||||||||
|---|---|---|---|---|---|---|---|---|---|---|---|---|---|---|---|
| Tariff | Price | Contract | Price | Contract | Price | Contract | Price | Contract | Price | ||||||
| HRECS1 | 1350 | 1620 | 1620 | 1620 | 1350 | ||||||||||
| 1350 | 1620 | 1620 | 1620 | 1440 | |||||||||||
| 1800 | 2000 | 2000 | 2000 | 1850 | |||||||||||
| - | - | - | - | - | - | - | - | - | - | ||||||
| 1350 | 1620 | 1620 | 1620 | 1395 | |||||||||||
| 1350 | 1620 | 1620 | 1620 | 130 | |||||||||||
| 1800 | 2000 | 2000 | 2000 | 1750 | |||||||||||
| 1350 | 1620 | 1620 | 1620 | 1440 | |||||||||||
| 1350 | 1620 | 1620 | 1620 | 1395 | |||||||||||
| 2000 | 2000 | 2000 | 2000 | 1800 | |||||||||||
| HRECS2 | 1350 | 1800 | 1800 | 1800 | 1350 | ||||||||||
| 1800 | 1700 | 1700 | 1700 | 1700 | |||||||||||
| 1350 | 1800 | 1800 | 1800 | 1575 | |||||||||||
| - | - | - | - | - | - | - | - | - | - | ||||||
| 1350 | 1800 | 1800 | 1800 | 1395 | |||||||||||
| 1350 | 1800 | 1800 | 1800 | 1350 | |||||||||||
| 2000 | 1800 | 1800 | 1800 | 1530 | |||||||||||
| 1800 | 1700 | 1700 | 1700 | 1700 | |||||||||||
| 2000 | 1800 | 1800 | 1800 | 1440 | |||||||||||
| 2000 | 1800 | 1800 | 1800 | 1620 | |||||||||||
| HRECS3 | 1350 | 1530 | 1530 | 1530 | 1350 | ||||||||||
| 1350 | 1530 | 1530 | 1530 | 1440 | |||||||||||
| 1800 | 2000 | 2000 | 2000 | 1850 | |||||||||||
| - | - | - | - | - | - | - | - | - | - | ||||||
| 1350 | 1530 | 1530 | 1530 | 1395 | |||||||||||
| 1350 | 1530 | 1530 | 1530 | 1350 | |||||||||||
| 1350 | 1530 | 1530 | 1530 | 1485 | |||||||||||
| 1350 | 1530 | 1530 | 1530 | 1440 | |||||||||||
| 1350 | 1530 | 1530 | 1530 | 1395 | |||||||||||
| 1800 | 2000 | 2000 | 2000 | 1850 | |||||||||||
| CPU | Intel(R) Xenon(R) CPU @ 2.20 GHz |
| GPU | Tesla P100-PCIE-16 GB 3584 CUDA cores, 16 GB vRAM |
| RAM | 12.6 GB |
| Lexicographic Preference Data | Number of Attributes | |||
|---|---|---|---|---|
| 2 | 3 | 4 | 5 | |
| Count of all complete LP-trees | 16 | 1248 | 4000 | 4000 |
| All complete LP-tree data capacity (KB) | 1 | 93 | 492 | 806 |
| Count of complete/partial LP-trees | - | 1920 | 4000 | 4000 |
| Complete/partial LP-tree data capacity (KB) | - | 103 | 367 | 553 |
| Consumers Count | Tariffs Count | Attributes Count | Market |
|---|---|---|---|
| 10 | 2 | 2 | 1 |
| 16 | 2 | 2 | 2 |
| 10 | 5 | 2 | 3 |
| 16 | 5 | 2 | 4 |
| 10 | 2 | 3 | 5 |
| 100 | 2 | 3 | 6 |
| 1000 | 2 | 3 | 7 |
| 10 | 5 | 3 | 8 |
| 100 | 5 | 3 | 9 |
| 1000 | 5 | 3 | 10 |
| 10 | 10 | 3 | 11 |
| 100 | 10 | 3 | 12 |
| 1000 | 10 | 3 | 13 |
| 10 | 2 | 4 | 14 |
| 100 | 2 | 4 | 15 |
| 1000 | 2 | 4 | 16 |
| 10 | 5 | 4 | 17 |
| 100 | 5 | 4 | 18 |
| 1000 | 5 | 4 | 19 |
| 10 | 10 | 4 | 20 |
| 100 | 10 | 4 | 21 |
| 1000 | 10 | 4 | 22 |
| 10 | 20 | 4 | 23 |
| 100 | 20 | 4 | 24 |
| 1000 | 20 | 4 | 25 |
| 1000 | 50 | 3 | 26 |
| 1000 | 50 | 4 | 27 |
| Suppliers Tariff Price (Currency/kWh) | Quorum for Group Discount | Consumers Bid Price (Currency/kWh) |
|---|---|---|
| 10004000 | 520 | 15003000 |
| Similarity Method | PLPDis | PLPSim | ||
| Coalition method | HRECS1 | HRECS2 | HRECS3 | |
| Tariff contract | CFB | CFA | CFW | CFP |
Disclaimer/Publisher’s Note: The statements, opinions and data contained in all publications are solely those of the individual author(s) and contributor(s) and not of MDPI and/or the editor(s). MDPI and/or the editor(s) disclaim responsibility for any injury to people or property resulting from any ideas, methods, instructions or products referred to in the content. |
© 2026 by the authors. Licensee MDPI, Basel, Switzerland. This article is an open access article distributed under the terms and conditions of the Creative Commons Attribution (CC BY) license.
Share and Cite
Nassiri-Mofakham, F.; Farid, S.; Fujita, K. Lexicographic Preferences Similarity for Coalition Formation in Complex Markets: Introducing PLPSim, HRECS, ContractLex, PriceLex, F@Lex, and PLPGen. Information 2026, 17, 62. https://doi.org/10.3390/info17010062
Nassiri-Mofakham F, Farid S, Fujita K. Lexicographic Preferences Similarity for Coalition Formation in Complex Markets: Introducing PLPSim, HRECS, ContractLex, PriceLex, F@Lex, and PLPGen. Information. 2026; 17(1):62. https://doi.org/10.3390/info17010062
Chicago/Turabian StyleNassiri-Mofakham, Faria, Shadi Farid, and Katsuhide Fujita. 2026. "Lexicographic Preferences Similarity for Coalition Formation in Complex Markets: Introducing PLPSim, HRECS, ContractLex, PriceLex, F@Lex, and PLPGen" Information 17, no. 1: 62. https://doi.org/10.3390/info17010062
APA StyleNassiri-Mofakham, F., Farid, S., & Fujita, K. (2026). Lexicographic Preferences Similarity for Coalition Formation in Complex Markets: Introducing PLPSim, HRECS, ContractLex, PriceLex, F@Lex, and PLPGen. Information, 17(1), 62. https://doi.org/10.3390/info17010062

