Dynamic Splitting Tensile Behavior of Rubber-Toughened Ceramsite Concrete for Transmission Structure Foundations Under a Wide Range of Strain Rates
Abstract
1. Introduction
2. Experimental Program
2.1. Mix Proportions and Specimen Preparation
2.2. Basic Principle of the Quasi-Static Test
2.3. Basic Principle of the Dynamic Splitting Tensile Test
2.3.1. Drop-Weight Impact Test Setup
2.3.2. Split Hopkinson Pressure Bar (SHPB) Test
3. Quasi-Static Test
3.1. Results of the Quasi-Static Splitting Tensile Test
3.2. Failure Modes
4. Dynamic Test
4.1. Drop-Weight Impact Test and Discussion
4.1.1. Failure Modes
4.1.2. Force–Time Curve and Energy Absorption Capacity
4.1.3. Discussion
4.2. SHPB Test and Discussion
4.2.1. Failure Modes
4.2.2. Energy Absorption Capacity
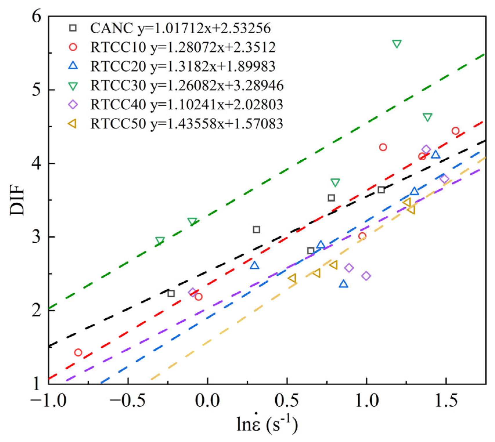
4.2.3. Dynamic Splitting Tensile Behavior
4.2.4. Discussion
5. Conclusions
- (1)
- The static compressive strength of Rubber-Toughened Ceramsite Concrete (RTCC) was lower than that of ordinary concrete, while the static splitting tensile strength first increased and then decreased with increasing rubber replacement ratio. In particular, when the rubber replacement ratio was 20%, the tensile strength reached its maximum value of 2.01 MPa, and the tension–compression ratio increased by 66.7%, significantly enhancing the crack resistance of the material. A moderate amount of rubber effectively improved toughness, whereas excessive rubber content weakened the interfacial bonding performance.
- (2)
- For the dynamic tests (with strain rates ranging from approximately 0.16 s−1 to 4.76 s−1), the dynamic splitting tensile strength of Rubber-Toughened Ceramsite Concrete (RTCC) exhibited a pronounced strain-rate effect, similar to its dynamic compressive strength behavior [46]. In addition, existing studies [47,48] have shown that the strain-rate range associated with blasting-induced vibration acting on structural components typically falls within 10−2–101 s−1, which is close to the strain-rate interval adopted in this study. This further supports the engineering relevance and appropriateness of the selected strain-rate range.
- (3)
- Under medium strain rates (drop-weight tests), the peak impact force generally decreased with increasing rubber content, while the energy absorption capacity first increased and then decreased. The specimen with a 20% rubber replacement ratio showed the best overall performance, with a peak impact force of 42.48 kN and an absorbed energy of 43.23 J.
- (4)
- Under high strain rates (SHPB tests), Rubber-Toughened Ceramsite Concrete (RTCC) exhibited pronounced strain-rate sensitivity, with the DIF increasing significantly as the strain rate rose. As the rubber replacement ratio increased, the slope of the DIF- curve gradually decreased, indicating that the incorporation of rubber reduced the strain-rate sensitivity of the concrete but improved its initial strength under low-velocity impacts. Moreover, at higher strain rates, due to the superior energy absorption capability of rubber, RTCC demonstrated greater energy dissipation capacity than ordinary ceramsite concrete. However, the overall energy dissipation capacity tended to decrease with further increases in rubber content.
- (5)
- RTCC can generally be produced using conventional concrete mixing and casting procedures without special equipment, indicating good construction adaptability. Although rubber incorporation may reduce static compressive strength, its enhanced deformation capacity and energy dissipation are advantageous for structures subjected to vibration or dynamic loading. In addition, the use of waste rubber contributes to resource recycling and environmental sustainability, suggesting acceptable economic potential when RTCC is applied in vibration-sensitive or non-primary load-bearing components.
Author Contributions
Funding
Data Availability Statement
Acknowledgments
Conflicts of Interest
References
- Yu, J.; Yao, Y.; Wang, K.; Zhou, J.; Zhou, W.; Zhang, C.; Gao, Y. Experimental Investigation of Effects of Multi-Fissures on Brittleness of Ordinary Portland Cement Concrete and Rubberized Concrete. Eng. Fract. Mech. 2024, 306, 110254. [Google Scholar] [CrossRef]
- Moghimi, H.; Ronagh, H.R. Impact Factors for a Composite Steel Bridge Using Non-Linear Dynamic Simulation. Int. J. Impact Eng. 2008, 35, 1228–1243. [Google Scholar] [CrossRef]
- Zhang, N.; Chang, R.; Gu, Q. Response Sensitivity Studies of a Cable-Stayed Bridge with Shape Memory Alloy Damping System Considering Temperature Effects. Eng. Struct. 2021, 244, 112772. [Google Scholar] [CrossRef]
- Wu, W.; Lu, J.-X.; Liao, Q.; He, X.; Yang, W.; Alam, M.S.; Poon, C.S. Strategies for Improving the Structural Performance of Sustainable Lightweight Concrete Beams. J. Build. Eng. 2025, 113, 113989. [Google Scholar] [CrossRef]
- Liang, K.; Liu, S.; Lu, H.; Chow, C.L.; Lau, D. Modified Expanded Polystyrene Particles for Alkali-Activated Lightweight Concrete Enhancement: An Experimental and Simulation Study. J. Build. Eng. 2025, 112, 113650. [Google Scholar] [CrossRef]
- Im, C.-R.; Yang, K.-H.; Kim, S.; Mun, J.-H. Flexural Performance of Lightweight Aggregate Concrete Columns. Eng. Struct. 2022, 251, 113545. [Google Scholar] [CrossRef]
- Ray, S.; Haque, M.; Sakib, M.N.; Mita, A.F.; Rahman, M.D.M.; Tanmoy, B.B. Use of Ceramic Wastes as Aggregates in Concrete Production: A Review. J. Build. Eng. 2021, 43, 102567. [Google Scholar] [CrossRef]
- Lu, J.-X. Recent Advances in High Strength Lightweight Concrete: From Development Strategies to Practical Applications. Constr. Build. Mater. 2023, 400, 132905. [Google Scholar] [CrossRef]
- Sun, X.; Qin, X.; Liu, Z.; Yin, Y. Damaging Effect of Fine Grinding Treatment on the Microstructure of Polyurea Elastomer Modifier Used in Asphalt Binder. Measurement 2025, 242, 115984. [Google Scholar] [CrossRef]
- Du, C.; Zou, D.; Liu, T.; Lv, H. An Exploratory Experimental and 3D Numerical Investigation on the Effect of Porosity on Wave Propagation in Cement Paste. Measurement 2018, 122, 611–619. [Google Scholar] [CrossRef]
- Qiu, J.; Xing, M.; Yang, Z.; Zhang, C.; Guan, X. Micro-pore Structure Characteristics and Macro-mechanical Properties of PP Fibre Reinforced Coal Gangue Ceramsite Concrete. J. Eng. 2020, 2020, 1192–1197. [Google Scholar] [CrossRef]
- Youssf, O.; Hassanli, R.; Elchalakani, M.; Mills, J.E.; Tayeh, B.A.; Agwaa, I.S. Punching Shear Behaviour and Repair Efficiency of Reinforced Eco-Friendly Lightweight Concrete Slabs. Eng. Struct. 2023, 281, 115805. [Google Scholar] [CrossRef]
- Zhang, J.; Liu, X.; Ding, K.; Wu, Z. Dynamic Splitting Tensile Behaviors of Ceramic Aggregate Concrete: An Experimental and Mesoscopic Study. Struct. Concr. 2022, 23, 3267–3283. [Google Scholar] [CrossRef]
- Adebayo, I.W.; Long, G.; Tang, Z.; Ghone, M.O.; Zaland, S.; Garba, M.J.; Yang, K.; Akhunzada, K.; Oluwasina, U.A. Effect of Crumb Rubber and Polyethylene Fiber on the Strength and Toughness of Fly Ash/Slag-Based Geopolymer Concrete. Constr. Build. Mater. 2024, 455, 139133. [Google Scholar] [CrossRef]
- Feng, W.; Liu, F.; Yang, F.; Jing, L.; Li, L.; Li, H.; Chen, L. Compressive Behaviour and Fragment Size Distribution Model for Failure Mode Prediction of Rubber Concrete under Impact Loads. Constr. Build. Mater. 2021, 273, 121767. [Google Scholar] [CrossRef]
- Zvonarić, M.; Barišić, I.; Dokšanović, T. Effect of Rubber Granules and Rubber Threads on Mechanical Properties of Cement-Bound Base Course. Constr. Build. Mater. 2024, 437, 137094. [Google Scholar] [CrossRef]
- Helmy, S.H.; Tahwia, A.M.; Mahdy, M.G.; Abd Elrahman, M.; Abed, M.A.; Youssf, O. The Use of Recycled Tire Rubber, Crushed Glass, and Crushed Clay Brick in Lightweight Concrete Production: A Review. Sustainability 2023, 15, 10060. [Google Scholar] [CrossRef]
- Mo, J.; Zeng, L.; Guo, F.; Liu, Y.; Ma, L.; Chen, B.; Liu, X. Experimental Study on Damping Properties of Rubber Powder Modified Styrene-Acrylic Emulsion Concrete Beam. J. Build. Eng. 2020, 32, 101728. [Google Scholar] [CrossRef]
- Kundan, P.; Sharma, S. Rubberized Cemented Concrete Composites: A Review. Mater. Today Proc. 2021, 44, 4838–4842. [Google Scholar] [CrossRef]
- Ghone, M.O.; Long, G.; Yang, K.; Ma, X.; Islam, N. Toughness Improvement of Low Strength Ceramsite Lightweight Concrete by Polypropylene Fiber and Recycled Rubber Particle. Constr. Build. Mater. 2024, 422, 135716. [Google Scholar] [CrossRef]
- Feng, L.; Chen, X.; Zhang, J.; Chen, C. Experimental and Mesoscopic Investigation of Self-Compacting Rubberized Concrete under Dynamic Splitting Tension. J. Build. Eng. 2022, 57, 104942. [Google Scholar] [CrossRef]
- Yang, G.; Chen, X.; Guo, S.; Xuan, W. Dynamic Mechanical Performance of Self-Compacting Concrete Containing Crumb Rubber under High Strain Rates. KSCE J. Civ. Eng. 2019, 23, 3669–3681. [Google Scholar] [CrossRef]
- Gesoğlu, M.; Güneyisi, E. Strength Development and Chloride Penetration in Rubberized Concretes with and without Silica Fume. Mater. Struct. 2007, 40, 953–964. [Google Scholar] [CrossRef]
- Richardson, A.E.; Coventry, K.A.; Ward, G. Freeze/Thaw Protection of Concrete with Optimum Rubber Crumb Content. J. Clean. Prod. 2012, 23, 96–103. [Google Scholar] [CrossRef]
- Guo, Y.; Zhang, J.; Chen, G.; Xie, Z. Compressive Behaviour of Concrete Structures Incorporating Recycled Concrete Aggregates, Rubber Crumb and Reinforced with Steel Fibre, Subjected to Elevated Temperatures. J. Clean. Prod. 2014, 72, 193–203. [Google Scholar] [CrossRef]
- Steyn, Z.C.; Babafemi, A.J.; Fataar, H.; Combrinck, R. Concrete Containing Waste Recycled Glass, Plastic and Rubber as Sand Replacement. Constr. Build. Mater. 2021, 269, 121242. [Google Scholar] [CrossRef]
- Li, G.; Stubblefield, M.A.; Garrick, G.; Eggers, J.; Abadie, C.; Huang, B. Development of Waste Tire Modified Concrete. Cem. Concr. Res. 2004, 34, 2283–2289. [Google Scholar] [CrossRef]
- Chen, L.; Yang, F.; Hong, Y.; Feng, W.; Li, X. Dynamic Mechanical Properties and Failure Mechanism of Sustainable Lightweight Aggregate Rubber Concrete. J. Mater. Res. Technol. 2025, 35, 1982–1995. [Google Scholar] [CrossRef]
- Guo, H.; Tao, J.; Chen, Y.; Li, D.; Jia, B.; Zhai, Y. Effect of Steel and Polypropylene Fibers on the Quasi-Static and Dynamic Splitting Tensile Properties of High-Strength Concrete. Constr. Build. Mater. 2019, 224, 504–514. [Google Scholar] [CrossRef]
- Jin, X.; Hou, C.; Fan, X.; Lu, C.; Yang, H.; Shu, X.; Wang, Z. Quasi-Static and Dynamic Experimental Studies on the Tensile Strength and Failure Pattern of Concrete and Mortar Discs. Sci. Rep. 2017, 7, 15305. [Google Scholar] [CrossRef]
- Li, Q.M.; Meng, H. About the Dynamic Strength Enhancement of Concrete-like Materials in a Split Hopkinson Pressure Bar Test. Int. J. Solids Struct. 2003, 40, 343–360. [Google Scholar] [CrossRef]
- Li, X.; Zhang, Y.; Shi, C.; Chen, X. Experimental and Numerical Study on Tensile Strength and Failure Pattern of High Performance Steel Fiber Reinforced Concrete under Dynamic Splitting Tension. Constr. Build. Mater. 2020, 259, 119796. [Google Scholar] [CrossRef]
- Wang, Q.Z.; Li, W.; Xie, H.P. Dynamic Split Tensile Test of Flattened Brazilian Disc of Rock with SHPB Setup. Mech. Mater. 2009, 41, 252–260. [Google Scholar] [CrossRef]
- Guan, X.; Hou, X.; Sun, J.; Liu, Y. Investigating the Dynamic Behavior and Tensile Properties of Coal Gangue Shotcrete under Impact Loading Conditions SHPB Device. J. Build. Eng. 2024, 98, 111060. [Google Scholar] [CrossRef]
- Chen, L.; Zhang, X.; Liu, G. Analysis of Dynamic Mechanical Properties of Sprayed Fiber-Reinforced Concrete Based on the Energy Conversion Principle. Constr. Build. Mater. 2020, 254, 119167. [Google Scholar] [CrossRef]
- Lan, S.; Liu, F.; Yang, F.; Li, H.; Chen, D.; Xu, K.; Zhang, H.; Kuang, J.; Fang, Z.; Feng, W. Dynamic Compressive and Splitting Tensile Characteristics of Rubber-Modified Non-Autoclaved Concrete Pipe Piles. J. Build. Eng. 2023, 69, 106292. [Google Scholar] [CrossRef]
- Abdelmonem, A.; El-Feky, M.S.; Nasr, E.-S.A.R.; Kohail, M. Performance of High Strength Concrete Containing Recycled Rubber. Constr. Build. Mater. 2019, 227, 116660. [Google Scholar] [CrossRef]
- Elzeadani, M.; Bompa, D.V.; Elghazouli, A.Y. Compressive and Splitting Tensile Impact Properties of Rubberised One-Part Alkali-Activated Concrete. J. Build. Eng. 2023, 71, 106596. [Google Scholar]
- Thomas, B.S.; Gupta, R.C.; Mehra, P.; Kumar, S. Performance of High Strength Rubberized Concrete in Aggressive Environment. Constr. Build. Mater. 2015, 83, 320–326. [Google Scholar] [CrossRef]
- Zhai, S.; Liu, C.; Liu, G.; Pang, B.; Zhang, L.; Liu, Z.; Liu, L.; Zhang, Y. Effect of Modified Rubber Powder on the Mechanical Properties of Cement-Based Materials. J. Mater. Res. Technol. 2022, 19, 4141–4153. [Google Scholar] [CrossRef]
- Feng, W.; Chen, Z.; Tang, Y.; Liu, F.; Yang, F.; Yang, Y.; Tayeh, B.A.; Namdar, A. Fracture Characteristics of Sustainable Crumb Rubber Concrete under a Wide Range of Loading Rates. Constr. Build. Mater. 2022, 359, 129474. [Google Scholar] [CrossRef]
- Gurusideswar, S.; Shukla, A.; Jonnalagadda, K.N.; Nanthagopalan, P. Tensile Strength and Failure of Ultra-High Performance Concrete (UHPC) Composition over a Wide Range of Strain Rates. Constr. Build. Mater. 2020, 258, 119642. [Google Scholar] [CrossRef]
- Cui, X.; Chen, M.; Feng, J.; Zhang, T.; Zhang, M. Effect of Cryogenic Temperature on Compressive and Splitting Tensile Behaviour of Industrial-Recycled Hybrid Steel Fiber Reinforced Ultra-High Performance Shotcrete. Constr. Build. Mater. 2025, 479, 141445. [Google Scholar] [CrossRef]
- Yang, F.; Li, J.; Wu, J.; Feng, W.; Chen, Y. Mode I Fracture Behavior of Rubber-Modified Unsaturated Polyester Resin Concrete under Impact Loads: The Effects of Loading Rate, Rubber Content and Curing Age. Theor. Appl. Fract. Mech. 2024, 132, 104496. [Google Scholar] [CrossRef]
- Zhu, H.; Xiong, Z.; Song, Y.; Zhou, K.; Su, Y. Effect of Expansion Agent and Glass Fiber on the Dynamic Splitting Tensile Properties of Seawater–Sea-Sand Concrete. Buildings 2024, 14, 217. [Google Scholar] [CrossRef]
- Liu, F.; Chen, G.; Li, L.; Guo, Y. Study of Impact Performance of Rubber Reinforced Concrete. Constr. Build. Mater. 2012, 36, 604–616. [Google Scholar] [CrossRef]
- Yao, Y.; Zhu, B.; Jiang, N.; Yang, Y. Experimental Study on the Dynamic Response of Double-Column Viaduct Pier under the Action of Blasting Vibration. Structures 2025, 76, 108939. [Google Scholar] [CrossRef]
- Liu, Y.; Hao, H.; Hao, Y. Prediction of Blast Response of RC Columns Considering Dynamic Bond-Slip between Reinforcement and Concrete. Eng. Struct. 2023, 283, 115921. [Google Scholar] [CrossRef]
















| References | Concrete Types | Test Method | Loading Focus |
|---|---|---|---|
| Ghone et al. [20] | Ceramsite lightweight concrete | Static tests | Toughness |
| Feng et al. [21] | Self-compacting rubberized concrete | SHPB | Dynamic splitting |
| Yang et al. [22] | Rubberized concrete | SHPB | Dynamic compression |
| Li et al. [27] | Rubberized concrete | Static tests | Strength, toughness |
| Mix Proportions | |||||
|---|---|---|---|---|---|
| Cement | Water | Sand | Rubber Particles | Ceramsite | |
| CANC | 398 | 210 | 609 | 0 | 756 |
| RTCC-10 | 398 | 210 | 548 | 17 | 756 |
| RTCC-20 | 398 | 210 | 487 | 34 | 756 |
| RTCC-30 | 398 | 210 | 426 | 51 | 756 |
| RTCC-40 | 398 | 210 | 365 | 68 | 756 |
| RTCC-50 | 398 | 210 | 305 | 85 | 756 |
| Compressive Strength [28] (MPa) | Splitting Tensile Strength (MPa) | Splitting Tensile Strength/Compressive Strength | |
|---|---|---|---|
| CANC | 32.40 | 1.79 | 0.06 |
| RTCC10 | 23.20 | 1.83 | 0.08 |
| RTCC20 | 20.40 | 2.01 | 0.10 |
| RTCC30 | 19.40 | 1.45 | 0.07 |
| RTCC40 | 12.40 | 2.12 | 0.17 |
| RTCC50 | 12.50 | 1.81 | 0.14 |
| Peak Force (kN) | ftd (MPa) | Strain Rate (s−1) | |
|---|---|---|---|
| CANC-1 | 24.71 | 2.99 | ~0.17 |
| CANC-2 | 30.78 | 3.72 | ~0.23 |
| CANC-3 | 33.49 | 4.05 | ~0.48 |
| RTCC10-1 | 19.36 | 2.34 | ~0.25 |
| RTCC10-2 | 29.69 | 3.59 | ~0.41 |
| RTCC10-3 | 31.44 | 3.80 | ~0.66 |
| RTCC20-1 | 34.16 | 4.13 | ~0.47 |
| RTCC20-2 | 42.48 | 5.14 | ~0.56 |
| RTCC20-3 | 29.83 | 3.61 | ~0.62 |
| RTCC30-1 | 27.13 | 3.28 | ~0.33 |
| RTCC30-2 | 34.16 | 4.13 | ~0.53 |
| RTCC30-3 | 30.52 | 4.69 | ~0.81 |
| RTCC40-1 | 36.20 | 4.38 | ~0.45 |
| RTCC40-2 | 44.85 | 5.42 | ~0.83 |
| RTCC40-3 | 42.89 | 5.19 | ~0.97 |
| RTCC50-1 | 23.00 | 2.78 | ~0.28 |
| RTCC50-2 | 19.76 | 2.39 | ~0.30 |
| RTCC50-3 | 33.59 | 4.06 | ~0.46 |
| Specimen Thickness (mm) | Stress Rate (GPa/s) | Strain Rate (s−1) | ftd (MPa) | DIF | |
|---|---|---|---|---|---|
| CANC-1 | 45.45 | 27.20 | 1.92 | 5.03 | 2.81 |
| CANC-2 | 46.85 | 19.34 | 1.36 | 5.51 | 3.10 |
| CANC-3 | 45.46 | 30.95 | 2.18 | 6.28 | 3.53 |
| CANC-4 | 47.24 | 42.36 | 2.98 | 6.48 | 3.64 |
| CANC-5 | 44.38 | 11.30 | 0.80 | 3.98 | 2.23 |
| RTCC10-1 | 44.12 | 11.05 | 0.94 | 4.00 | 2.19 |
| RTCC10-2 | 46.50 | 30.99 | 2.65 | 5.52 | 3.01 |
| RTCC10-3 | 47.93 | 35.28 | 3.01 | 7.73 | 4.22 |
| RTCC10-4 | 45.63 | 55.67 | 4.76 | 8.13 | 4.44 |
| RTCC10-5-1 | 47.00 | 5.19 | 0.44 | 2.61 | 1.43 |
| RTCC10-5-2 | 44.95 | 45.12 | 3.86 | 7.49 | 4.09 |
| RTCC20-2 | 48.49 | 49.12 | 4.20 | 8.25 | 4.11 |
| RTCC20-3 | 50.21 | 42.97 | 3.67 | 7.26 | 3.61 |
| RTCC20-4 | 45.63 | 23.87 | 2.04 | 5.80 | 2.89 |
| RTCC20-5 | 44.95 | 15.72 | 1.34 | 5.23 | 2.60 |
| RTCC20-6 | 42.97 | 27.51 | 2.35 | 6.16 | 3.07 |
| RTCC30-1 | 51.79 | 11.17 | 0.91 | 4.67 | 3.22 |
| RTCC30-2 | 49.53 | 9.12 | 0.74 | 4.29 | 2.96 |
| RTCC30-3 | 47.73 | 27.47 | 2.23 | 5.44 | 3.75 |
| RTCC30-4 | 45.76 | 40.46 | 3.29 | 8.17 | 5.64 |
| RTCC30-5 | 45.72 | 49.06 | 3.99 | 6.72 | 4.64 |
| RTCC40-1 | 49.76 | 10.39 | 0.91 | 4.76 | 2.25 |
| RTCC40-2 | 48.54 | 30.93 | 2.71 | 5.23 | 2.47 |
| RTCC40-3 | 49.14 | 27.75 | 2.43 | 5.47 | 2.58 |
| RTCC40-4 | 48.42 | 45.10 | 3.96 | 8.89 | 4.19 |
| RTCC40-5 | 49.18 | 50.56 | 4.44 | 8.04 | 3.80 |
| RTCC50-1 | 47.48 | 18.47 | 1.71 | 4.41 | 2.44 |
| RTCC50-2 | 50.97 | 21.51 | 1.99 | 4.54 | 2.51 |
| RTCC50-3 | 48.30 | 23.97 | 2.22 | 4.75 | 2.62 |
| RTCC50-4 | 48.20 | 39.05 | 3.62 | 6.09 | 3.62 |
| RTCC50-5 | 47.76 | 38.01 | 3.52 | 6.27 | 3.47 |
| Specimen | |||||
|---|---|---|---|---|---|
| CANC-1 | 94.43 | 73.22 | 1.17 | 20.03 | 0.21 |
| CANC-2 | 122.17 | 95.71 | 1.61 | 24.86 | 0.20 |
| CANC-3 | 152.37 | 125.32 | 1.16 | 25.89 | 0.17 |
| CANC-4 | 221.54 | 191.13 | 1.18 | 29.24 | 0.13 |
| CANC-5 | 18.53 | 12.04 | 0.83 | 5.66 | 0.31 |
| RTCC-10-1 | 18.53 | 12.04 | 0.83 | 5.66 | 0.31 |
| RTCC-10-2 | 109.74 | 88.34 | 1.03 | 20.37 | 0.19 |
| RTCC-10-3 | 126.14 | 96.51 | 2.04 | 27.58 | 0.22 |
| RTCC-10-4 | 454.42 | 417.43 | 1.21 | 35.78 | 0.08 |
| RTCC-10-5-1 | 4.22 | 2.22 | 0.54 | 1.46 | 0.35 |
| RTCC-10-5-2 | 217.28 | 181.16 | 1.73 | 34.38 | 0.16 |
| RTCC-20-2 | 435.30 | 397.26 | 1.42 | 36.62 | 0.08 |
| RTCC-20-3 | 321.04 | 278.67 | 1.62 | 40.76 | 0.13 |
| RTCC-20-4 | 85.72 | 63.16 | 1.52 | 21.05 | 0.25 |
| RTCC-20-5 | 90.94 | 70.14 | 1.30 | 19.51 | 0.21 |
| RTCC-20-6 | 110.52 | 86.78 | 0.00 | 22.47 | 0.20 |
| RTCC-30-1 | 51.80 | 36.24 | 1.32 | 14.23 | 0.27 |
| RTCC-30-2 | 90.53 | 71.05 | 0.99 | 18.49 | 0.20 |
| RTCC-30-3 | 146.11 | 121.39 | 0.97 | 23.75 | 0.16 |
| RTCC-30-4 | 311.82 | 273.63 | 1.47 | 36.34 | 0.12 |
| RTCC-30-5 | 541.01 | 516.87 | 0.80 | 23.33 | 0.04 |
| RTCC-40-1 | 15.74 | 9.01 | 1.42 | 5.31 | 0.34 |
| RTCC-40-2 | 116.15 | 94.00 | 1.02 | 21.13 | 0.18 |
| RTCC-40-4 | 413.67 | 373.90 | 1.47 | 38.30 | 0.09 |
| RTCC-40-5 | 607.05 | 576.26 | 1.17 | 29.62 | 0.05 |
| RTCC-50-1 | 91.94 | 74.26 | 0.79 | 16.89 | 0.18 |
| RTCC-50-2 | 96.76 | 77.65 | 0.87 | 18.25 | 0.19 |
| RTCC-50-3 | 137.82 | 115.03 | 0.67 | 22.12 | 0.16 |
| RTCC-50-4 | 455.26 | 429.11 | 0.68 | 25.47 | 0.06 |
| RTCC-50-5 | 539.86 | 515.81 | 0.80 | 23.13 | 0.04 |
| a | b | c | R2 | |
|---|---|---|---|---|
| CANC | 0.18898 | 0.81189 | 2.55607 | 0.93 |
| RTCC10 | 0.23063 | 1.00359 | 2.32953 | 0.94 |
| RTCC20 | 0.61331 | 0.36208 | 2.14161 | 0.82 |
| RTCC30 | 0.28672 | 1.03703 | 3.14107 | 0.85 |
| RTCC40 | 0.42514 | 0.2861 | 2.28215 | 0.85 |
| RTCC50 | 0.20008 | 0.67249 | 2.12061 | 0.89 |
Disclaimer/Publisher’s Note: The statements, opinions and data contained in all publications are solely those of the individual author(s) and contributor(s) and not of MDPI and/or the editor(s). MDPI and/or the editor(s) disclaim responsibility for any injury to people or property resulting from any ideas, methods, instructions or products referred to in the content. |
© 2026 by the authors. Licensee MDPI, Basel, Switzerland. This article is an open access article distributed under the terms and conditions of the Creative Commons Attribution (CC BY) license.
Share and Cite
Sun, G.; Qiu, H.; Feng, W.; Chen, L.; Li, H.; Yang, F. Dynamic Splitting Tensile Behavior of Rubber-Toughened Ceramsite Concrete for Transmission Structure Foundations Under a Wide Range of Strain Rates. Buildings 2026, 16, 269. https://doi.org/10.3390/buildings16020269
Sun G, Qiu H, Feng W, Chen L, Li H, Yang F. Dynamic Splitting Tensile Behavior of Rubber-Toughened Ceramsite Concrete for Transmission Structure Foundations Under a Wide Range of Strain Rates. Buildings. 2026; 16(2):269. https://doi.org/10.3390/buildings16020269
Chicago/Turabian StyleSun, Guangtong, Hanwei Qiu, Wanhui Feng, Lin Chen, Hongzhong Li, and Fei Yang. 2026. "Dynamic Splitting Tensile Behavior of Rubber-Toughened Ceramsite Concrete for Transmission Structure Foundations Under a Wide Range of Strain Rates" Buildings 16, no. 2: 269. https://doi.org/10.3390/buildings16020269
APA StyleSun, G., Qiu, H., Feng, W., Chen, L., Li, H., & Yang, F. (2026). Dynamic Splitting Tensile Behavior of Rubber-Toughened Ceramsite Concrete for Transmission Structure Foundations Under a Wide Range of Strain Rates. Buildings, 16(2), 269. https://doi.org/10.3390/buildings16020269

