Sign in to use this feature.

Years

Between: -

Subjects

remove_circle_outline
remove_circle_outline
remove_circle_outline
remove_circle_outline
remove_circle_outline
remove_circle_outline
remove_circle_outline
remove_circle_outline
remove_circle_outline

Journals

remove_circle_outline
remove_circle_outline
remove_circle_outline
remove_circle_outline
remove_circle_outline
remove_circle_outline
remove_circle_outline
remove_circle_outline
remove_circle_outline
remove_circle_outline
remove_circle_outline
remove_circle_outline
remove_circle_outline
remove_circle_outline
remove_circle_outline
remove_circle_outline
remove_circle_outline
remove_circle_outline
remove_circle_outline

Article Types

Countries / Regions

remove_circle_outline
remove_circle_outline
remove_circle_outline
remove_circle_outline
remove_circle_outline

Search Results (1,870)

Search Parameters:
Keywords = spray efficiency

Order results
Result details
Results per page
Select all
Export citation of selected articles as:
21 pages, 4109 KB  
Article
Engineering Inhalable Carboxymethyl Chitosan-Swellable Microgels for Pulmonary Delivery of Charged Hydrophilic Molecules
by David Encinas-Basurto, Kiley McCombs, Ernest L. Vallorz, Maria F. Acosta, Rick G. Schnellmann and Heidi M. Mansour
Gels 2025, 11(12), 1015; https://doi.org/10.3390/gels11121015 - 17 Dec 2025
Abstract
Swellable microparticles are a promising strategy for pulmonary drug delivery. They provide good aerosol performance in the dry state and enlarge after deposition in the lungs. In this study, we aimed to develop and characterize spray-dried microparticles composed of carboxymethyl chitosan (CMC), L-leucine, [...] Read more.
Swellable microparticles are a promising strategy for pulmonary drug delivery. They provide good aerosol performance in the dry state and enlarge after deposition in the lungs. In this study, we aimed to develop and characterize spray-dried microparticles composed of carboxymethyl chitosan (CMC), L-leucine, and suramin, a hydrophilic polyanionic drug. Microparticles were obtained by co-spray drying (Co-SD) formulations with increasing leucine content (0–10% w/w) and evaluated for morphology, thermal behavior, crystallinity, swelling, aerodynamic deposition using a Next Generation Impactor (NGI), and cytocompatibility in pulmonary epithelial cells. The 10% leucine formulation produced the highest fine particle fraction (35.2 ± 1.1%) and the lowest mass median aerodynamic diameter (1.0 ± 0.4 µm). These values indicate efficient in vitro deep lung deposition. XRPD and DSC showed that the Co-SD formulations were predominantly amorphous. Hydration studies revealed rapid water uptake and a clear increase in particle size, leading to the formation of swollen microgels. Cell viability assays demonstrated >85% viability up to 100 µM suramin, suggesting that CMC–leucine microgels enable efficient pulmonary delivery of hydrophilic drugs by combining respirable dry-state properties with in situ swelling and reducing immunological clearance. Future in vivo studies will be needed to assess long-term stability, macrophage interaction, and the translational potential of this delivery system. Full article
(This article belongs to the Special Issue Gels: 10th Anniversary)
Show Figures

Graphical abstract

16 pages, 2804 KB  
Article
Experimental Investigation on Spray Characteristics of Polymethoxy Dimethyl Ether as a Sustainable Fuel Applied to Diesel Engine
by Fuquan Nie, Junjie Niu, Huaiyu Wang and Cheng Shi
Sustainability 2025, 17(24), 11323; https://doi.org/10.3390/su172411323 - 17 Dec 2025
Abstract
As global efforts to combat climate change and promote sustainable development intensify, PODEn, as an innovative type of clean, sustainable fuel, has gained growing attention for its potential to support eco-friendly energy transitions, especially concerning the spray characteristics of its blended fuels. Environmental [...] Read more.
As global efforts to combat climate change and promote sustainable development intensify, PODEn, as an innovative type of clean, sustainable fuel, has gained growing attention for its potential to support eco-friendly energy transitions, especially concerning the spray characteristics of its blended fuels. Environmental conditions are crucial in the fuel spraying process, which is essential for optimizing combustion efficiency and reducing emissions—key elements of sustainable energy use and climate action. In this study, the parameters of spray morphology, droplet size distribution, and velocity were accurately measured using a constant-volume combustor and high-speed photography. The results demonstrate that as ambient pressure increases, both the spray cone angle and boundary gas entrainment volume increase, while the spray penetration distance and spray volume decrease. These changes, driven by pressure differences and variations in gas density that influence droplet movement and fragmentation, are critical for optimizing fuel injection strategies to enhance combustion efficiency and reduce environmental impact. This aligns closely with the Sustainable Development Goals focused on clean energy, responsible consumption, and climate mitigation. Conversely, as ambient temperature rises, the penetration distance and spray volume increase, whereas the entrainment volume decreases and the spray cone angle narrows. This phenomenon results from the combined effects of temperature on gas density, viscosity, evaporation rate, and convective flow, underscoring the need for adaptive engine designs that leverage these characteristics to improve fuel efficiency and reduce carbon emissions—an essential step toward sustainable development in the energy and automotive sectors. Full article
(This article belongs to the Special Issue Technology Applications in Sustainable Energy and Power Engineering)
Show Figures

Figure 1

0 pages, 1521 KB  
Proceeding Paper
Comparative Assessment of UAV Nozzle Type and Flight Height for Efficient Rice Canopy Spraying in Northern India
by Shefali Vinod Ramteke, Pritish Kumar Varadwaj and Vineet Tiwari
Biol. Life Sci. Forum 2025, 54(1), 4; https://doi.org/10.3390/blsf2025054004 - 16 Dec 2025
Abstract
Unmanned aerial vehicle (UAV)-based spraying is transforming precision agriculture by enabling targeted, uniform agrochemical application. This study evaluates four nozzle types across three flight heights for rice crop canopy, analyzing spray metrics including canopy coverage (CA%), droplet density (DD), volume median diameter (VMD), [...] Read more.
Unmanned aerial vehicle (UAV)-based spraying is transforming precision agriculture by enabling targeted, uniform agrochemical application. This study evaluates four nozzle types across three flight heights for rice crop canopy, analyzing spray metrics including canopy coverage (CA%), droplet density (DD), volume median diameter (VMD), and swath width (SW). Statistical analysis identified nozzle N-1 at 3 m and N-3 at 2.5 m as optimal configurations, maximizing coverage and droplet uniformity. Results support evidence-based nozzle–height selection to enhance spraying efficiency and reduce environmental impact. The findings promote sustainable UAV spraying strategies, especially for smallholder rice farmers in Northern India. Full article
(This article belongs to the Proceedings of The 3rd International Online Conference on Agriculture)
Show Figures

Figure 1

37 pages, 15016 KB  
Review
Technical Analyses of Particle Impact Simulation Methods for Modern and Prospective Coating Spraying Processes
by Yi Wang and Sergii Markovych
Coatings 2025, 15(12), 1480; https://doi.org/10.3390/coatings15121480 - 15 Dec 2025
Abstract
With the growing requirements for multi-particle process simulation, improving computational accuracy, efficiency, and scalability has become a critical challenge. This study generally focused on comprehensive analyses of existing numerical methods for simulating particle–substrate interactions in gas–thermal spraying (including gas–dynamic spraying processes), covering both [...] Read more.
With the growing requirements for multi-particle process simulation, improving computational accuracy, efficiency, and scalability has become a critical challenge. This study generally focused on comprehensive analyses of existing numerical methods for simulating particle–substrate interactions in gas–thermal spraying (including gas–dynamic spraying processes), covering both single-particle and multi-particle models to develop practical recommendations for the optimization of modern coating spraying processes. First of all, this paper systematically analyzes the key limitations of current approaches, including their inability to handle high deformations effectively or high computational complexity and their insufficient accuracy in dynamic scenarios. A comparative evaluation of four numerical methods (Lagrangian, Arbitrary Lagrangian–Eulerian (ALE), Coupled Eulerian–Lagrangian (CEL), and Smoothed Particle Hydrodynamics (SPH)) revealed their strengths and weaknesses in modeling of real gas–thermal spraying processes. Furthermore, this study identifies the limitations of the widely used Johnson–Cook (JC) constitutive model under extreme conditions. The authors considered the Zerilli–Armstrong (ZA), Mechanical Threshold Stress (MTS), and Preston–Tonks–Wallace (PTW) models as more realistic alternatives to the Jonson–Cook model. Finally, comparative analyses of theoretical and realistic deformation and defect-generation processes in gas–thermal coatings emphasize the critical need for fundamental changes in the simulation strategy for modern gas–thermal spraying processes. Full article
(This article belongs to the Section Surface Characterization, Deposition and Modification)
Show Figures

Figure 1

16 pages, 3130 KB  
Article
Mechanical, Structural, and Electrochemical Performance of Polyurethane Coatings for Corrosion Protection in Wind Energy Systems
by Oscar Xosocotla, María del Pilar Rodríguez-Rojas, Rafael Campos-Amezcua, Horacio Martínez, Victoria Bustos-Terrones and Oscar Guadarrama Pérez
Coatings 2025, 15(12), 1476; https://doi.org/10.3390/coatings15121476 - 15 Dec 2025
Abstract
Erosion of the leading edge is one of the most severe forms of damage in wind turbine blades, particularly in offshore wind farms. This degradation, mainly caused by rain, sand, and airborne particles through droplet impingement wear, significantly decreases blade aerodynamic efficiency and [...] Read more.
Erosion of the leading edge is one of the most severe forms of damage in wind turbine blades, particularly in offshore wind farms. This degradation, mainly caused by rain, sand, and airborne particles through droplet impingement wear, significantly decreases blade aerodynamic efficiency and power output. Since blades, typically made of fiber-reinforced polymer composites, are the most expensive components of a turbine, developing protective coatings is essential. In this study, polyurethane (PU) composite coatings reinforced with titanium dioxide (TiO2) particles were added on glass fiber substrates by spray coating. The incorporation of TiO2 improved the mechanical and electrochemical performance of the PU coatings. FTIR and XRD confirmed that low TiO2 loadings (1 and 3 wt%) were well dispersed within the PU matrix due to hydrogen bonding between TiO2 –OH groups and PU –NH groups. The PU/TiO2 3% coating exhibited ~61% lower corrosion current density (I_corr) compared to neat PU, indicating superior corrosion resistance. Furthermore, uniform TiO2 dispersion resulted in statistically significant improvements (p < 0.05) in hardness, yield strength, elastic modulus, and adhesion strength. Overall, the PU/TiO2 coatings, particularly at 3 wt% loading, show strong potential as protective materials for wind turbine blades, given their enhanced mechanical integrity and corrosion resistance. Full article
Show Figures

Figure 1

31 pages, 51329 KB  
Article
Numerical Simulation and Optimization of Spray Cooling on High-Temperature Surfaces in Industrial Rotary Coolers
by Fangshuo Fan, Zuobing Chen, Yanhui Lai, Jiawei Liu and Ya Mao
Technologies 2025, 13(12), 589; https://doi.org/10.3390/technologies13120589 - 15 Dec 2025
Viewed by 70
Abstract
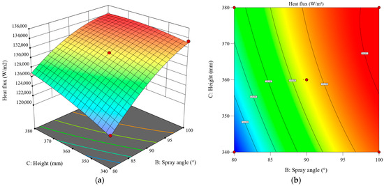
Spray cooling efficiency plays a critical role in the heat dissipation process from the external surface of industrial low-carbon cement rotary coolers. This study numerically investigated the thermal performance of high-temperature zones by examining four spray parameters: spray angle, nozzle distance, spray height, [...] Read more.
Spray cooling efficiency plays a critical role in the heat dissipation process from the external surface of industrial low-carbon cement rotary coolers. This study numerically investigated the thermal performance of high-temperature zones by examining four spray parameters: spray angle, nozzle distance, spray height, and mass flow rate. Multi-objective optimization design (MOD) was subsequently performed using response surface methodology (RSM). RSM reveals spray angle as the most significant parameter affecting heat transfer. With temperature uniformity as a constraint, MOD yields the following optimal parameters: 89° spray angle, 380 mm nozzle distance, and 663.5 mm spray height. This configuration achieves an average surface temperature of 814.33 K and a heat flux of 131,588.3 W/m2. The optimized spray parameters ensure high heat flux and uniform surface temperature while enlarging the heat transfer area and strengthening the synergistic heat transfer between dual nozzles. This approach provides a reliable technical pathway for efficient thermal management in industrial rotary cooler exteriors. Full article
(This article belongs to the Special Issue Technological Advances in Science, Medicine, and Engineering 2025)
Show Figures

Figure 1

12 pages, 2331 KB  
Review
Nanomaterial-Mediated Alleviation of Abiotic Stress in Plants: Mechanisms and Applications
by Jiao Yang, Lijun Lian and Yuxi Yan
Agronomy 2025, 15(12), 2866; https://doi.org/10.3390/agronomy15122866 - 13 Dec 2025
Viewed by 114
Abstract
Drought, salinity, heavy metal contamination and temperature fluctuations are increasingly constraining crop production. Conventional agronomic and chemical approaches alone often fail to ensure stable yields under these abiotic stresses. Nanomaterials are emerging as complementary tools for improving stress tolerance and helping to stabilize [...] Read more.
Drought, salinity, heavy metal contamination and temperature fluctuations are increasingly constraining crop production. Conventional agronomic and chemical approaches alone often fail to ensure stable yields under these abiotic stresses. Nanomaterials are emerging as complementary tools for improving stress tolerance and helping to stabilize yield because they can interact efficiently with key processes at the rhizosphere, at the leaf surface and within cells. Their high surface area, tunable surface chemistry and functionalization, and controlled-release properties make them suitable for root application, foliar spraying, and seed treatment. These features enable low-dose, efficient, and targeted delivery. This review delineates five mechanistic dimensions: restoring redox homeostasis; enhancing nutrient uptake and maintaining ion balance; modulating signaling factors and hormone levels; influencing gene expression; and improving structural and physiological traits at the root and chloroplast levels. Based on case studies under salinity, drought, and heavy metal conditions, we summarize material- and route-dependent differences in efficacy and define dose boundaries. Moreover, the current limitations arising from limited field evidence and nonuniform evaluation standards are also highlighted. Accordingly, we outline key considerations for material design and application assessment, underscoring the value of this review in integrating mechanisms and guiding the practical translation of nanomaterials for stress alleviation in plants. Full article
Show Figures

Figure 1

8 pages, 2170 KB  
Proceeding Paper
Characterization of Nanocapsules of Sodium Alginate and Moringa oleifera Extract by AFM as a Therapeutic Alternative
by Erick Barrita Marroquín, Antonio Canseco Urbieta, Francisco Emanuel Velásquez Hernández, Fernando Mejía Zarate, Arturo Zapién Martínez and Ivonne Arisbeth Diaz Santiago
Mater. Proc. 2025, 28(1), 2; https://doi.org/10.3390/materproc2025028002 - 11 Dec 2025
Abstract
Alginate nanocapsules loaded with Moringa oleifera extract, a plant traditionally used for its hypoglycemic properties, were developed as a therapeutic alternative for type II diabetes mellitus. The nanocapsules were obtained by manually spraying a WO emulsion with an airbrush and were stabilized in [...] Read more.
Alginate nanocapsules loaded with Moringa oleifera extract, a plant traditionally used for its hypoglycemic properties, were developed as a therapeutic alternative for type II diabetes mellitus. The nanocapsules were obtained by manually spraying a WO emulsion with an airbrush and were stabilized in 2% calcium chloride. Characterization by atomic force microscopy revealed spherical particles with an average diameter of 10.087 nm, an area of 298.441 nm2, and a density of 0.207556/nm2, confirming efficient encapsulation and uniform morphology. This low-cost method is promising for the creation of controlled release systems in resource-limited settings. Full article
Show Figures

Figure 1

11 pages, 3561 KB  
Article
Effect of Graphene on Interfacial Microstructure and Thermal Conductivity in Copper/Aluminum Composite Plate
by Yifan Liu, Zhaoyang Yang, Yusha Shen, Rui Wang and Lianbo Wang
Coatings 2025, 15(12), 1468; https://doi.org/10.3390/coatings15121468 - 11 Dec 2025
Viewed by 232
Abstract
This study prepared Copper(Cu)/Aluminum(Al) composite materials using hot-rolling technology. The influence of annealing treatment on the interfacial microstructure was systematically investigated, thereby elucidating the correlation between microstructural characteristics and thermal conductivity. The results demonstrated that annealing treatment induced the formation of a continuous [...] Read more.
This study prepared Copper(Cu)/Aluminum(Al) composite materials using hot-rolling technology. The influence of annealing treatment on the interfacial microstructure was systematically investigated, thereby elucidating the correlation between microstructural characteristics and thermal conductivity. The results demonstrated that annealing treatment induced the formation of a continuous intermetallic compound layer at the Cu/Al interface, with its thickness increasing proportionally to elevated temperature and prolonged duration. After spraying graphene onto the aluminum surface via ultrasonic spraying technology, followed by rolling and an annealing treatment, the intermetallic compounds at the Cu/Al interface exhibited a discontinuous distribution pattern. When annealed at 300 °C, the thermal conductivity of the Cu/Al composite plate increased progressively with prolonged duration. For instance, in the absence of graphene, the value increased from 39.288 to 61.827; when graphene was applied via ultrasonic spraying with a spraying distance of 1 mm, the value increased from 49.884 to 73.203, whereas at 400 °C annealing, it exhibited a notable decline as annealing time extended. Graphene at the interface inhibits the diffusion of Cu/Al atoms, reduces the formation of intermetallic compounds, establishes efficient thermal conduction paths, and ultimately enhances the thermal conductivity of the composite material. Full article
Show Figures

Figure 1

25 pages, 2622 KB  
Article
Advances in Potassium Silicate-Induced Drought Tolerance in Tropical Tree Seedlings: Effects on Morphological Traits, Physiological Responses, and Biochemical Regulation
by Sylvia Henintsoa Nomenaharinaivo, Dario Donno, Lorenzo Rosso, Giovanni Gamba, Harilala Andriamaniraka and Gabriele Beccaro
Plants 2025, 14(24), 3760; https://doi.org/10.3390/plants14243760 - 10 Dec 2025
Viewed by 153
Abstract
Water stress is among the most important abiotic constraints affecting forest ecosystem functioning and regeneration, a phenomenon expected to intensify with climate change. It impacts photosynthesis, growth, and seedling survival, therefore threatening biodiversity and accelerating forest degradation. The use of silicon-based biostimulants has [...] Read more.
Water stress is among the most important abiotic constraints affecting forest ecosystem functioning and regeneration, a phenomenon expected to intensify with climate change. It impacts photosynthesis, growth, and seedling survival, therefore threatening biodiversity and accelerating forest degradation. The use of silicon-based biostimulants has emerged as a way of mitigating the effects of water stress by improving water status and stimulating mechanical and biochemical defense. However, its effectiveness on forest tree species remains poorly explored. This study examines how potassium silicate (PS) alleviates the effects of drought on Canarium madagascariense, with the aim of improving our understanding of the resilience mechanisms of tropical forest species. To do this, an experiment with 135 two-year-old C. madagascariense saplings has been conducted, testing three irrigation levels in combination with the addition of potassium silicate (PS) at concentrations of 5 and 10 mM, via foliar spraying and soil application. Morphometric and physiological parameters were monitored, followed by the biochemical profiling of the induced responses. Linear mixed models were computed to assess the effects of the different factors on the different growth performance, physiological functioning parameters over time, and ANOVA was used for evaluating the punctual data on the biochemical compounds. Drought had a significant impact on the morphological and physiological behaviour of the seedlings. However, the application of PS modified the drought-induced changes, even at a low concentration of 5 mM. Biochemical defenses were also improved further with PS application. Hormone profiling revealed a predominance of auxins, while abscisic acid was lower in the water stress treatments under drought. Therefore, using PS could support the production of robust seedlings that are more tolerant of, and adaptive to, the challenges of climate change, making restoration more efficient. Full article
(This article belongs to the Special Issue Plants 2025—from Seeds to Food Security)
Show Figures

Figure 1

20 pages, 5824 KB  
Article
Simulation of Low-Pressure Cold-Sprayed SiC Particles Penetration on the 3D-Printed Polymeric Part
by Xiongfei Zhan, Mohsen Barmouz and Bahman Azarhoushang
Appl. Sci. 2025, 15(24), 12907; https://doi.org/10.3390/app152412907 - 7 Dec 2025
Viewed by 188
Abstract
This work investigates the penetration behavior of SiC particles into Digital Light Processing (DLP)-printed thermoset substrates under low-pressure cold-spray conditions, aiming to enhance surface hardness and wear resistance. A coupled simulation framework was established in which particle acceleration was obtained from CFD using [...] Read more.
This work investigates the penetration behavior of SiC particles into Digital Light Processing (DLP)-printed thermoset substrates under low-pressure cold-spray conditions, aiming to enhance surface hardness and wear resistance. A coupled simulation framework was established in which particle acceleration was obtained from CFD using ANSYS Fluent, and high-speed impact and embedding were modeled through ANSYS Explicit Dynamics. Two particle diameters (25 μm and 60 μm) were examined across inlet pressures from 2 to 5 bar to evaluate both the continuous influence of pressure and the two-level effect of particle size. Mesh convergence was achieved at a resolution of dp/20, ensuring numerical stability and computational efficiency. The results showed a strong dependence of penetration depth on pressure and particle size: for 25 μm particles, penetration increased from 0.76 dp at 2 bar to 1.53 dp at 5 bar, while 60 μm particles exhibited deeper absolute embedding due to their significantly higher kinetic energy. Response-surface analysis further revealed nonlinear pressure effects and a predominantly linear size-dependent shift. Experimental validation at 3 bar confirmed a penetration depth of approximately 1 dp, demonstrating good agreement between simulation and physical observation. Overall, the validated workflow provides quantitative insight into particle–substrate interaction in thermoset polymers and offers a practical basis for controlled particle embedding as a surface-strengthening strategy in additive manufacturing. Full article
Show Figures

Figure 1

18 pages, 4834 KB  
Article
Synergistic Dust Removal Mechanisms in a Wet String Grid: Insights from Eulerian–Lagrangian Simulations of Turbulent Gas–Droplet–Particle Flow
by Hua Guo, Jinchen Yang, Wushen Qi and Nan He
Coatings 2025, 15(12), 1440; https://doi.org/10.3390/coatings15121440 - 7 Dec 2025
Viewed by 222
Abstract
This study proposes a model for a wet string grid dust removal system based on gas–droplet–particle turbulent Eulerian–Lagrangian simulation, providing in-depth insights into the dust removal mechanism of droplet groups and its impact on dust collection efficiency. Through numerical simulations and theoretical derivation, [...] Read more.
This study proposes a model for a wet string grid dust removal system based on gas–droplet–particle turbulent Eulerian–Lagrangian simulation, providing in-depth insights into the dust removal mechanism of droplet groups and its impact on dust collection efficiency. Through numerical simulations and theoretical derivation, we systematically introduce the mathematical expression of the droplet group dust removal efficiency and validate its applicability in wet string grid dust removal processes. The study reveals that the dust removal efficiency of the wet string grid system is influenced by multiple factors, including airflow velocity, droplet distribution, and the interaction between droplets and dust particles. By adjusting spray volume, wind speed, and the geometric parameters of the water mist zone, the dust removal process was optimized. The results show that increasing the wind speed enhances dust removal efficiency, but excessive wind speed reduces the dust capture efficiency of droplets. Additionally, based on simulation results of the flow field, the study identifies key factors influencing the dust removal efficiency of droplet groups and provides valuable insights for optimizing wet string grid dust removal systems in practical engineering. Full article
(This article belongs to the Special Issue Surface Chemistry in Science and Industry)
Show Figures

Figure 1

19 pages, 7475 KB  
Article
Research into the Properties of Wear-Resistant Coatings Produced Using HVOF Technology on the Functional Surfaces of Injection Molds
by Janette Brezinová, Milan Fiľo, Viktor Puchý, Ján Viňáš, Jakub Brezina and Ema Nováková-Marcinčínová
Metals 2025, 15(12), 1341; https://doi.org/10.3390/met15121341 - 7 Dec 2025
Viewed by 223
Abstract
The paper presents the results of research aimed at verifying the possibility of creating renovation layers using HVOF (High Velocity Oxygen Fuel) technology. HVOF ceramic coatings represent a promising way to increase the efficiency, reliability, and sustainability of manufacturing processes. Molds for high-pressure [...] Read more.
The paper presents the results of research aimed at verifying the possibility of creating renovation layers using HVOF (High Velocity Oxygen Fuel) technology. HVOF ceramic coatings represent a promising way to increase the efficiency, reliability, and sustainability of manufacturing processes. Molds for high-pressure injection of aluminum alloys were analyzed. The degradation mechanism of the functional surfaces of the molds was determined. The paper analyzes two types of HVOF coatings—Cr2O3-TiO2 and Al2O3-TiO2. For both coatings, a Ni-Al interlayer was used for mechanical stability, durability, and reliable functionality in demanding operating conditions. The interlayer is used in thermal spraying as a so-called bond coat—a layer that mediates adhesion between the metal substrate and the ceramic coating. EDX maps of chemical elements from the coating surface and cross-sections were determined. The tribological properties of the coatings were evaluated by a ball-on-disk test at 20 °C and 250 °C. SEM analysis of the surface after the tribological test was performed. The resistance of the coatings was evaluated by COF and friction resistance. Full article
Show Figures

Figure 1

25 pages, 19561 KB  
Article
Emergency Plugging and Killing of Blowout Preventer Failure
by Xuliang Zhang, Zhi Zhang, Qingfeng Li, Haitao Wang, Hangbo Cui, Hua Wang and Fumin Gao
Processes 2025, 13(12), 3959; https://doi.org/10.3390/pr13123959 - 7 Dec 2025
Viewed by 213
Abstract
The blowout preventer (BOP) is the most important and the last line of safety defense in drilling engineering. Once a blowout occurs and the BOP fails, engineers will lose control of the entire wellbore pressure, and combustible fluids in the formation will continuously [...] Read more.
The blowout preventer (BOP) is the most important and the last line of safety defense in drilling engineering. Once a blowout occurs and the BOP fails, engineers will lose control of the entire wellbore pressure, and combustible fluids in the formation will continuously sprayed out, which can easily cause huge losses of life and property. At present, reliable and highly recognized emergency measures for BOP failure are lacking. Therefore, we propose a plugging method after the failure of the BOP that can maintain good control within the secondary well control. Numerical and experimental results indicate that using a small-to-medium displacement (1–2 m3/min) during the early stage of plugging and applying multiple plugging and killing cycles significantly improves plugging stability and killing efficiency. PEEK (polyether ether ketone) was selected as the bridging material for field plugging tests on full-scale blowout preventers, verifying its sealing effectiveness at pressures up to 80 MPa. Subsequently, the CFD–DEM was used to simulate the well killing process after plugging. This study mainly focused on the transportation of particles in a pipeline and the analysis of the process of well killing after plugging. The research results indicate that PEEK demonstrates sufficient pressure-bearing capacity under real blowout conditions. Also reveal that PEEK’s exceptional wear resistance and impact strength help maintain sealing stability during repeated particle–wall collisions, effectively reducing secondary erosion and prolonging the operational lifespan of temporary plugging structures. After undergoing six high-pressure tests of 70 MPa and two high-pressure tests of 80 MPa within 25 min, it remained intact. Both cylindrical and spherical particles can smoothly pass through the storage tank and double-bend pipeline at different displacements. Considering the retention effect of the plugging material, it is recommended to use 1–2 m3/min of pumping the plugging material at medium and small displacements in the early stage of plugging. During the process of plugging and killing, it is recommended to use alternating plugging and killing across multiple operations to prevent further blowouts to achieve the best plugging and killing effect. Full article
(This article belongs to the Special Issue Multiphase Flow Process and Separation Technology)
Show Figures

Figure 1

13 pages, 5300 KB  
Article
Corrosion Protective Coating Based on Chemically Cross-Linked Particles of Few-Layer Graphene
by Aleksei Vozniakovskii, Alexander Voznyakovskii, Anna Neverovskaya, Nikita Podlozhnyuk, Sergey Kidalov and Evgeny Auchynnikau
Nanomaterials 2025, 15(24), 1841; https://doi.org/10.3390/nano15241841 - 5 Dec 2025
Viewed by 265
Abstract
Coatings based on graphene nanostructures represent one of the most promising solutions for protecting metals from corrosion. However, their application remains unprofitable due to the high production costs, which are caused by the imperfections in graphene nanostructures synthesis methods. Therefore, this work utilized [...] Read more.
Coatings based on graphene nanostructures represent one of the most promising solutions for protecting metals from corrosion. However, their application remains unprofitable due to the high production costs, which are caused by the imperfections in graphene nanostructures synthesis methods. Therefore, this work utilized few-layer graphene particles synthesized via self-propagating high-temperature synthesis for coating fabrication. The effectiveness of these coatings in protecting metals against corrosion was tested in a salt spray chamber. It was found that the synthesized coatings provide excellent protection for the steel substrate against corrosion, and their effectiveness is significantly higher than that of polymer coatings based on epoxy resin. A hypothesis was proposed to explain the high efficiency of the coatings based on few-layer graphene particles. This is attributed to their low defect density (absence of Stone-Wales defects in their structure) and the presence of multiple layers, which enhances the barrier effect. Full article
Show Figures

Figure 1

Back to TopTop