Sign in to use this feature.

Years

Between: -

Subjects

remove_circle_outline
remove_circle_outline
remove_circle_outline
remove_circle_outline
remove_circle_outline
remove_circle_outline
remove_circle_outline

Journals

Article Types

Countries / Regions

Search Results (29)

Search Parameters:
Keywords = specific BIVA

Order results
Result details
Results per page
Select all
Export citation of selected articles as:
17 pages, 1110 KB  
Article
Bioelectrical Impedance Parameters as Predictors of Functional Outcomes in Patients Undergoing Rehabilitation After Femoral Fracture Surgery: A Pilot Study
by Stefania Toselli, Stefania Bandini, Federica Moro, Sofia Marini, Alessia Grigoletto, Sabrina Gabrielli, Angela Cappelletti, Orietta Valentini and Mario Mauro
Appl. Sci. 2026, 16(1), 158; https://doi.org/10.3390/app16010158 - 23 Dec 2025
Viewed by 475
Abstract
Elderly patients with femoral fractures need specific rehabilitation after surgery that aims to improve their self-reliance and life quality, reducing their mortality rate. Although worsening patient body composition increased the risk of an unfavourable prognosis, it remains unclear whether evaluating bioelectrical impedance analysis [...] Read more.
Elderly patients with femoral fractures need specific rehabilitation after surgery that aims to improve their self-reliance and life quality, reducing their mortality rate. Although worsening patient body composition increased the risk of an unfavourable prognosis, it remains unclear whether evaluating bioelectrical impedance analysis (BIA) parameters can predict any functional recovery. A longitudinal design was conducted on 45 elders (84.59 ± 7.18 years, 75.6% female) who underwent femoral surgery to examine BIA features as rehabilitation biomarkers. The patient’s body composition, assessed by anthropometry and bioimpedance analysis (BIA), and self-reliance were evaluated three times during follow-up in both healthy and surgical lower limbs. The ANCOVA test, adjusted for gender and side of surgery, found improvements in daily living activities, while only thigh circumferences decreased over time. Regarding the BIA, the surgical leg showed a wider decrement in bioelectrical resistance (R), whereas the bioelectric reactance (Xc) exhibited similar trends. Females who underwent surgery on their dominant leg showed significant changes (p < 0.001) in bioimpedance vectorial analysis (BIVA), with a linear trend from baseline to postoperative time, while males exhibited beneficial variations only between baseline and time 2 (p < 0.01). Geriatric patients exhibit characteristic traits that require additional attention. BIA may be a feasible and non-invasive method for monitoring patient prognosis and reducing national health system costs. Full article
Show Figures

Figure 1

14 pages, 897 KB  
Article
Role of Bioelectrical Impedance Analysis in Detecting Nutritional Disorders in Institutionalized Psychogeriatric Patients
by Beatriz de Mateo Silleras, Sara Barrera Ortega, Laura Carreño Enciso, Gema Gallego Herreros, Sandra de la Cruz Marcos and Paz Redondo del Río
Nutrients 2025, 17(24), 3839; https://doi.org/10.3390/nu17243839 - 8 Dec 2025
Viewed by 736
Abstract
Background: Institutionalized older adults often experience cognitive and functional decline and altered body composition (BC), making nutritional assessment difficult. Bioelectrical impedance analysis (BIA) offers a simple and non-invasive method to evaluate BC; classic and specific bioelectrical impedance vector analysis do not require [...] Read more.
Background: Institutionalized older adults often experience cognitive and functional decline and altered body composition (BC), making nutritional assessment difficult. Bioelectrical impedance analysis (BIA) offers a simple and non-invasive method to evaluate BC; classic and specific bioelectrical impedance vector analysis do not require predictive models or assumptions about hydration status. Objective: This study aimed to evaluate the utility of BIA, classic bioelectrical impedance vector analysis (BIVA), and specific BIVA (BIVA-Sp) in detecting nutritional and other related disorders in institutionalized psychogeriatric patients. Methods: A cross-sectional study was conducted in 95 institutionalized older adults (52 men, 43 women; mean age: 80 years). Clinical and functional data, including frailty, dependency, handgrip strength, and anthropometry, were collected. BC was assessed using BIA. Nutritional diagnoses included malnutrition (GLIM criteria), sarcopenia (EWGSOP2), adiposity, and sarcopenic obesity (SOGLI criteria). Mean impedance vectors and 95% confidence ellipses were generated for BIVA and BIVA-Sp. Individual vectors were compared with reference data from healthy older adults. Statistical analyses compared clinical variables and impedance vector distributions between groups. Results: Classic BIVA differentiated patients with sarcopenia and sarcopenic obesity, while BIVA-Sp identified vector shifts associated with adiposity and sarcopenic obesity. Neither BIVA nor BIVA-Sp discriminated patients based on body mass index or malnutrition status. Conclusions: The application of BIVA in institutionalized psychogeriatric patients allows for easier, faster, and more effective detection of changes in BC and hydration status compared with conventional methods. This enables individualized monitoring and facilitates interventions that may reduce complications, functional decline, and hospitalizations, thereby improving their quality of life. Full article
Show Figures

Figure 1

13 pages, 274 KB  
Article
The Association Between Muscle Strength, Body Cell Mass, and Training Session Hours in Young Female Artistic Gymnasts: A Pilot Study
by Dana Saadeddine, Elisa Berri, Leila Itani, Silvia Raggi, Arianna Padoan, Francesca Paganelli, Carla Palumbo, Francesca Chiarini and Marwan El Ghoch
Appl. Sci. 2025, 15(23), 12412; https://doi.org/10.3390/app152312412 - 23 Nov 2025
Viewed by 849
Abstract
The identification of factors related to performance that can be improved during training is of primary interest for athletes. However, little is known about this issue among artistic gymnasts. The current pilot study aims to assess the association between training factors and anthropometric, [...] Read more.
The identification of factors related to performance that can be improved during training is of primary interest for athletes. However, little is known about this issue among artistic gymnasts. The current pilot study aims to assess the association between training factors and anthropometric, body composition, and muscle strength (MS) variables in adolescent female artistic gymnastics. A total of 22 young female artistic gymnasts taking part in a professional team, who had a median age of 12.21 years and a median body mass index (BMI) of 18.72 kg/m2, were categorized into a competitive-level (8.00–17.00 h [h]/week) group (n = 16) and a pre-team-level (<4 h/week) one (n = 6). The training factors considered were (i) training hours per session, (ii) training hours per week, and (iii) training years. All the participants underwent complete anthropometric measurements, including body composition assessments by means of bioelectrical impedance vector analysis (BIVA), and an objective physical activity evaluation with a portable accelerometer SenseWear Armband (SWA). MS was assessed using a handgrip dynamometer. The correlation and partial correlation were evaluated to test the associations between variables. The competitive-level group had higher fat-free mass (FFM), body cell mass (BCM), and MS compared to the pre-team group. However, after adjusting for confounders, only the number of training hours per session was associated with MS (ρ = 0.445, p < 0.05) and BCM (ρ = 0.475, p < 0.05). In conclusion MS and BCM but not FFM are correlated with the number of training hours per session. Future studies are needed to test the effects of specific programs based on this training parameter on these variables, to determine whether they can impact athletic performance in young female artistic gymnasts. Full article
(This article belongs to the Special Issue Sports Performance: Data Measurement, Analysis and Improvement)
25 pages, 2302 KB  
Review
Reference Tolerance Ellipses in Bioelectrical Impedance Vector Analysis Across General, Pediatric, Pathological, and Athletic Populations: A Scoping Review
by Sofia Serafini, Gabriele Mascherini, Raquel Vaquero-Cristóbal, Francisco Esparza-Ros, Francesco Campa and Pascal Izzicupo
J. Funct. Morphol. Kinesiol. 2025, 10(4), 415; https://doi.org/10.3390/jfmk10040415 - 22 Oct 2025
Cited by 1 | Viewed by 2119
Abstract
Background: Bioelectrical Impedance Vector Analysis (BIVA) is a qualitative method that standardizes resistance and reactance relative to stature (R/H and Xc/H) and plots them as vectors on an R-Xc graph. This equation-free approach assesses body composition, allowing for the evaluation of hydration [...] Read more.
Background: Bioelectrical Impedance Vector Analysis (BIVA) is a qualitative method that standardizes resistance and reactance relative to stature (R/H and Xc/H) and plots them as vectors on an R-Xc graph. This equation-free approach assesses body composition, allowing for the evaluation of hydration status and cellular integrity through tolerance ellipses. This study aimed to systematically map BIVA reference ellipses across general, pediatric, pathological, and athletic populations. Methods: A scoping review was conducted according to PRISMA-ScR guidelines. Five databases were searched. Extracted data included (a) sample characteristics (sample size, age, sex, BMI, country, ethnicity), (b) population type, (c) analyzer specifications, and (d) R/H and Xc/H means, standard deviations, and correlation values. Results: A total of 53 studies published between 1994 and July 2025 were included. From these, 508 tolerance ellipses were identified: 281 for the general population (18–92 years), 133 for children/adolescents (0–18 years), 49 for athletes, and 45 for pathological groups. Studies were primarily conducted in Europe and the Americas, using 11 analyzers with variations in measurement protocols, including body side, posture, and electrode placement. Conclusions: This scoping review categorizes the existing BIVA tolerance ellipses by population type, sex, age, BMI, device used, and measurement protocol. The structured presentation is intended to guide researchers, clinicians, nutritionists, and sports professionals in selecting appropriate reference ellipses tailored to specific populations and contexts. Full article
(This article belongs to the Special Issue Body Composition Assessment: Methods, Validity, and Applications)
Show Figures

Graphical abstract

13 pages, 660 KB  
Article
Is Bioelectrical Impedance Vector Analysis (BIVA) a Useful Exploratory Tool to Assess Exercise-Induced Metabolic and Mechanical Responses in Endurance-Trained Male Trail Runners?
by Fabrizio Gravina-Cognetti, Javier Espasa-Labrador, Álex Cebrián-Ponce, Marta Carrasco-Marginet, Silvia Puigarnau, Diego Chaverri, Xavier Iglesias and Alfredo Irurtia
Appl. Sci. 2025, 15(19), 10768; https://doi.org/10.3390/app151910768 - 7 Oct 2025
Viewed by 1092
Abstract
This study tested whether classic and specific bioelectrical impedance vector analysis (BIVA) parameters could explain metabolic and mechanical performance in endurance-trained trail runners. Fifteen males (V˙O2max 61.04 ± 6.91 mL·kg−1·min−1) completed a 60-min treadmill [...] Read more.
This study tested whether classic and specific bioelectrical impedance vector analysis (BIVA) parameters could explain metabolic and mechanical performance in endurance-trained trail runners. Fifteen males (V˙O2max 61.04 ± 6.91 mL·kg−1·min−1) completed a 60-min treadmill protocol at 70% V˙O2max across randomized slopes (−7% to +7%), with continuous gas-exchange, heart-rate, and running-power recording; whole-body BIVA was obtained immediately pre- and post-exercise. Post-test, impedance and resistance increased (+2.73%, +2.84%), while reactance (Xc) and phase angle decreased (−2.36%, −4.91%); all were significant and mirrored by both classic and specific indices, consistent with acute fluid loss and altered cellular status. After Benjamini–Hochberg adjustment, baseline Xc/height correlated inversely with V˙CO2peak and V˙CO2mean, whereas exercise-induced changes in ΔXc/height and ΔXcspecific correlated positively with both metabolic variables and mean power. Stepwise regression retained ΔXc/h or ΔXcspecific as the only BIVA predictors for V˙CO2peak, V˙CO2mean, and mean power output, explaining ~31–36% and ~22–23% of the variance, respectively; classic and specific approaches performed similarly. No bioelectrical variable predicted V˙O2max. These preliminary findings suggest that acute reactance shifts may provide a modest yet sensitive, non-invasive index of exercise-induced physiological responses, warranting confirmation in larger and more diverse cohorts. Full article
(This article belongs to the Special Issue Advances in Sports Science and Biomechanics)
Show Figures

Figure 1

26 pages, 1400 KB  
Review
Bioelectrical Impedance Analysis in Professional and Semi-Professional Football: A Scoping Review
by Íñigo M. Pérez-Castillo, Alberto Valiño-Marques, José López-Chicharro, Felipe Segura-Ortiz, Ricardo Rueda and Hakim Bouzamondo
Sports 2025, 13(10), 348; https://doi.org/10.3390/sports13100348 - 3 Oct 2025
Cited by 1 | Viewed by 4386
Abstract
Background: Bioelectrical impedance analysis (BIA) is a widely used field technique for assessing body composition in football. However, its reliance on population-specific regression equations limits its accuracy. Objective: This scoping review aimed to map the scientific literature on BIA applications in professional and [...] Read more.
Background: Bioelectrical impedance analysis (BIA) is a widely used field technique for assessing body composition in football. However, its reliance on population-specific regression equations limits its accuracy. Objective: This scoping review aimed to map the scientific literature on BIA applications in professional and semi-professional football, highlighting uses, limitations, and research opportunities. Methods: A comprehensive search was conducted in the scientific databases PubMed, EMBASE, Web of Science, and SPORTDiscus. Identified studies involved the use of BIA in professional and semi-professional football players (≥16 years) in the context of routine training and competition. Results: From 14,624 records, 39 studies met the inclusion criteria and were included. Three main applications were identified: (1) quantitative body composition assessment, (2) qualitative/semi-quantitative analysis (e.g., bioelectrical impedance vector analysis (BIVA)), and (3) muscle health and injury monitoring. Seven specific research areas emerged, including hydration monitoring, cross-method validation of body composition analyses, development of predictive models, sport phenotype identification, tracking training adaptations, performance/load assessment via phase angle, and localized BIA for injury diagnosis and recovery. Conclusions: While quantitative BIA estimates may lack individual-level precision, raw parameter analyses may offer valuable insights into hydration, cellular integrity, and muscle injury status, yet further research is needed to fully realize these applications. Full article
(This article belongs to the Special Issue Body Composition Assessment for Sports Performance and Athlete Health)
Show Figures

Figure 1

25 pages, 1944 KB  
Article
Cachexia Phenotyping Through Morphofunctional Assessment and Mitocondrial Biomarkers (GDF-15 and PGC-1α) in Idiopathic Pulmonary Fibrosis
by Alicia Sanmartín-Sánchez, Rocío Fernández-Jiménez, Josefina Olivares-Alcolea, Eva Cabrera-César, Francisco Espíldora-Hernández, Isabel Vegas-Aguilar, María del Mar Amaya-Campos, Víctor José Simón-Frapolli, María Villaplana-García, Isabel Cornejo-Pareja, Ana Sánchez-García, Mora Murri, Patricia Guirado-Peláez, Álvaro Vidal-Suárez, Lourdes Garrido-Sánchez, Francisco J. Tinahones, Jose Luis Velasco-Garrido and Jose Manuel García-Almeida
Nutrients 2025, 17(17), 2739; https://doi.org/10.3390/nu17172739 - 24 Aug 2025
Cited by 2 | Viewed by 1987
Abstract
Background/Objetives: Idiopathic pulmonary fibrosis (IPF) is a progressive interstitial lung disease with poor prognosis. Nutritional disorders, particularly cachexia, significantly impact morbidity and mortality in IPF but remain under-investigated. This study aimed to characterize cachexia phenotypes in IPF through morphofunctional assessment (MFA) and [...] Read more.
Background/Objetives: Idiopathic pulmonary fibrosis (IPF) is a progressive interstitial lung disease with poor prognosis. Nutritional disorders, particularly cachexia, significantly impact morbidity and mortality in IPF but remain under-investigated. This study aimed to characterize cachexia phenotypes in IPF through morphofunctional assessment (MFA) and to evaluate their prognostic relevance, including the role of mitochondrial biomarkers. Methods: In this prospective bicenter study, 85 IPF patients underwent MFA including bioelectrical impedance vector analysis (BIVA), nutritional ultrasound (NU), and T12-level computed tomography (T12-CT) for body composition. Functional and strength assessments included timed up and go test (TUG) and handgrip strength (HGS), respectively. Cachexia was defined by Evans’ criteria, Martin’s CT-based criteria, and our IPF-specific proposed definition. Serum GDF-15 and PGC-1α levels were also measured. Results: Cachexia prevalence varied by definition: 24.71% (Evans), 29.5% (Martin) and 42.4% (IPF Cachexia Syndrome). Cachectic patients showed significantly lower muscle mass, function, and quality (measured by reduced muscle attenuation at T12-CT), along with higher GDF-15 and lower PGC-1α levels. The presence of IPF Cachexia syndrome (HR 2.56; 95% CI, 1.08–6.07; p = 0.033), GDF-15 > 4412.0 pg/mL (HR 3.21; 95% CI, 1.04–9.90; p = 0.042) and impaired TUG (>8 s) (HR 3.77; 95% CI, 1.63–8.71; 0.002) were all independently associated with increased 24-month mortality. Conclusions: Cachexia is prevalent in IPF and showed strong concordance between the three diagnostic criteria. The IPF Cachexia syndrome, based on comprehensive morphofunctional phenotyping, demonstrated superior discriminatory capacity. The addition of mitochondrial biomarkers may improve early detection and support personalized interventions to improve patient outcomes. Full article
(This article belongs to the Section Clinical Nutrition)
Show Figures

Graphical abstract

21 pages, 2076 KB  
Article
The Nutritional Phenotyping of Idiopathic Pulmonary Fibrosis Through Morphofunctional Assessment: A Bicentric Cross-Sectional Case–Control Study
by Alicia Sanmartín-Sánchez, Rocío Fernández-Jiménez, Eva Cabrera-César, Francisco Espíldora-Hernández, Isabel Vegas-Aguilar, María del Mar Amaya-Campos, Fiorella Ximena Palmas-Candia, Josefina Olivares-Alcolea, Víctor José Simón-Frapolli, Isabel Cornejo-Pareja, Ana Sánchez-García, Mora Murri, Patricia Guirado-Peláez, Álvaro Vidal-Suárez, Lourdes Garrido-Sánchez, Francisco J. Tinahones, Jose Luis Velasco-Garrido and Jose Manuel García-Almeida
Life 2025, 15(4), 516; https://doi.org/10.3390/life15040516 - 21 Mar 2025
Cited by 3 | Viewed by 1810
Abstract
There is increasing evidence supporting the use of morphofunctional assessment (MFA) as a tool for clinical characterization and decision-making in malnourished patients. MFA enables the diagnosis of malnutrition, sarcopenia, obesity, and cachexia, leading to a novel phenotype-based classification of nutritional disorders. Bioelectrical impedance [...] Read more.
There is increasing evidence supporting the use of morphofunctional assessment (MFA) as a tool for clinical characterization and decision-making in malnourished patients. MFA enables the diagnosis of malnutrition, sarcopenia, obesity, and cachexia, leading to a novel phenotype-based classification of nutritional disorders. Bioelectrical impedance analysis (BIVA), nutritional ultrasound® (NU) and computed tomography (CT) are included, along with functional tests like the Timed Up and Go test (TUG). Myoesteatosis, detectable via CT, can occur independently from nutritional phenotypes and has been identified as a significant mortality predictor in idiophatic pulmonary fibrosis (IPF). Our aim is to analyze the prevalence and overlap of nutritional phenotypes in IPF and evaluate the prognostic value of myoesteatosis. Our bicenter cross-sectional study included 82 IPF patients (84.1% male and with a medium age of 71.1 ± 7.35 years). MFA was performed using BIVA, NU, CT at the T12 level (CT-T12), the handgrip strength (HGS) test, and the TUG. CT-T12 BC parameters were analyzed using FocusedON® software, while statistical analyses were conducted with JAMOVI version 2.3.22. All four major nutritional phenotypes were represented in our cohort, with significant overlap. A total of 80.5% met the GLIM criteria for malnutrition, 14.6% had cachexia, 17% were sarcopenic, and 28% were obese. Of the obese patients, 70% were also malnourished, while 100% of sarcopenic obese patients (5.9% of total) had malnutrition. A total of 55% of sarcopenic patients with available CT also had myosteatosis, suggesting muscle quality deterioration as a potential driver of functional impairment. The presence of myosteatosis > 15% in T12-CT was an independent predictor of 12-month mortality (HR = 3.13; 95% CI: 1.01–9.70; p = 0.049), with survival rates of 78.1% vs. 96.6% in patients with vs. without myosteatosis, respectively. To conclude, this study underscores the relevance of MFA in the nutritional characterization of patients with IPF, demonstrating its potential to identify specific phenotypes associated with malnutrition, functional impairment, and the presence of myoesteatosis, thereby providing a valuable tool for clinical decision-making. Full article
(This article belongs to the Special Issue Advances in Pulmonary Fibrosis)
Show Figures

Graphical abstract

33 pages, 1969 KB  
Article
Bioelectrical Impedance Vector Analysis (BIVA) for Assessment of Hydration Status: A Comparison between Endurance and Strength University Athletes
by Maria Abdelnour, Rédina Berkachy, Lara Nasreddine and Elie-Jacques Fares
Sensors 2024, 24(18), 6024; https://doi.org/10.3390/s24186024 - 18 Sep 2024
Cited by 8 | Viewed by 10472
Abstract
Introduction: Athletic performance is greatly impacted by hydration status. The combination of several techniques is recommended to accurately measure water losses and gains. Aim: The aim of this study is to assess the validity of bioelectrical impedance vector analysis (BIVA) as a tool [...] Read more.
Introduction: Athletic performance is greatly impacted by hydration status. The combination of several techniques is recommended to accurately measure water losses and gains. Aim: The aim of this study is to assess the validity of bioelectrical impedance vector analysis (BIVA) as a tool for measuring hydration status in endurance and strength athletes. Methods: A total of 148 athletes were evaluated on one experimental day, pre- and post-training. Urine samples were collected and analyzed for color and specific gravity. Body weight changes were measured, sweat rate was calculated, and BIVA was performed. Reference ellipses were plotted using data of 200 healthy non-athletic individuals. Results: A moderate significant agreement was noted between raw bioelectrical values and urine specific gravity (USG) (p > 0.05). The sensitivity of classic BIVA in detecting minor changes in hydration status is confirmed both graphically and statistically. R/h and Z statistically significantly decreased post-training. Male athletes exhibited a specific BIA vector distribution compared to the reference population and were slightly more hydrated than female athletes. Conclusions: BIVA validation may be an essential step to allow its use among university students to assess dehydration in a non-invasive, practical, and inexpensive way. Full article
(This article belongs to the Special Issue Bioimpedance Measurements and Microelectrodes)
Show Figures

Figure 1

17 pages, 1360 KB  
Article
IA-Body Composition CT at T12 in Idiopathic Pulmonary Fibrosis: Diagnosing Sarcopenia and Correlating with Other Morphofunctional Assessment Techniques
by Rocío Fernández-Jiménez, Alicia Sanmartín-Sánchez, Eva Cabrera-César, Francisco Espíldora-Hernández, Isabel Vegas-Aguilar, María del Mar Amaya-Campos, Fiorella Ximena Palmas-Candia, María Claro-Brandner, Josefina Olivares-Alcolea, Víctor José Simón-Frapolli, Isabel Cornejo-Pareja, Patricia Guirado-Peláez, Álvaro Vidal-Suárez, Ana Sánchez-García, Mora Murri, Lourdes Garrido-Sánchez, Francisco J. Tinahones, Jose Luis Velasco-Garrido and Jose Manuel García-Almeida
Nutrients 2024, 16(17), 2885; https://doi.org/10.3390/nu16172885 - 28 Aug 2024
Cited by 7 | Viewed by 2730
Abstract
Background: Body composition (BC) techniques, including bioelectrical impedance analysis (BIVA), nutritional ultrasound® (NU), and computed tomography (CT), can detect nutritional diagnoses such as sarcopenia (Sc). Sc in idiopathic pulmonary fibrosis (IPF) is associated with greater severity and lower survival. Our aim was [...] Read more.
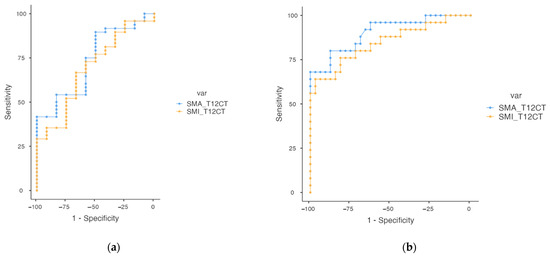
Background: Body composition (BC) techniques, including bioelectrical impedance analysis (BIVA), nutritional ultrasound® (NU), and computed tomography (CT), can detect nutritional diagnoses such as sarcopenia (Sc). Sc in idiopathic pulmonary fibrosis (IPF) is associated with greater severity and lower survival. Our aim was to explore the correlation of BIVA, NU and functional parameters with BC at T12 level CT scans in patients with IPF but also its relationship with degree of Sc, malnutrition and mortality. Methods: This bicentric cross-sectional study included 60 IPF patients (85.2% male, 70.9 ± 7.8 years). Morphofunctional assessment (MFA) techniques included BIVA, NU, CT at T12 level (T12-CT), handgrip strength, and timed up and go. CT data were obtained using FocusedON®. Statistical analysis was conducted using JAMOVI version 2.3.22 to determine the cutoff points for Sc in T12-CT and to analyze correlations with other MFA techniques. Results: the cutoff for muscle area in T12-CT was ≤77.44 cm2 (area under the curve (AUC) = 0.734, sensitivity = 41.7%, specificity = 100%). The skeletal muscle index (SMI_T12CT) cutoff was ≤24.5 cm2/m2 (AUC = 0.689, sensitivity = 66.7%, specificity = 66.7%). Low SMI_T12CT exhibited significantly reduced median survival and higher risk of mortality compared to those with normal muscle mass (SMI cut off ≥ 28.8 cm/m2). SMI_T12CT was highly correlated with body cell mass from BIVA (r = 0.681) and rectus femoris cross-sectional area (RF-CSA) from NU (r = 0.599). Cronbach’s α for muscle parameters across different MFA techniques and CT was 0.735, confirming their validity for evaluating muscle composition. Conclusions: T12-CT scan is a reliable technique for measuring low muscle mass in patients with IPF, specifically when the L3 vertebrae are not captured. An SMI value of <28.8 is a good predictor of low lean mass and 12-month mortality in IPF patients. Full article
(This article belongs to the Section Clinical Nutrition)
Show Figures

Figure 1

13 pages, 2065 KB  
Article
Workplace Health Promotion in Italian University Employees: Effects on Body Composition and Mediterranean Diet Adherence
by Alessia Moroni, Margherita Micheletti Cremasco, Giorgio Gilli and Raffaella Degan
Int. J. Environ. Res. Public Health 2024, 21(8), 1003; https://doi.org/10.3390/ijerph21081003 - 30 Jul 2024
Cited by 1 | Viewed by 1752
Abstract
As Workplace Health Promotion is spreading among several working environments, the university context seems to be one of the best to apply primary prevention activities. Working in this direction, the University of Torino led the Wellness@Work for UniTo Project (W@W), with the aim [...] Read more.
As Workplace Health Promotion is spreading among several working environments, the university context seems to be one of the best to apply primary prevention activities. Working in this direction, the University of Torino led the Wellness@Work for UniTo Project (W@W), with the aim of promoting employees’ health. Internal university professionals assessed body composition and adherence to the Mediterranean diet (MD), giving on-target advice for improving lifestyle. The aim of this paper is to evaluate the effectiveness of the W@W Project after a 4-month intervention period. This project was addressed to university employees, who could participate on a voluntary basis. Researchers assessed (T1) socio-demographic information and collected anthropometric variables. Body composition was evaluated through Classic and Specific Bioelectrical impedance Vector Analysis (BIVA). Adherence to the MD was assessed through the Medi-Lite questionnaire. After the assessments, participants were given 5-min counselling from internal professionals. After about 4 months, participants were supposed to undergo same assessments (T2). Overall, 479 workers joined the project, and of those, 246 came back for the T2 assessment. Globally, either anthropometric, body composition, or MD variables improved significantly after 4 months, both for male and female samples, suggesting how an easy-to-apply WHP intervention could help to improve workers’ health. Full article
Show Figures

Figure 1

11 pages, 1130 KB  
Article
Evaluation of the Comparability of Wantai Wan200+ Instrument with Routine Laboratory Assays for 21 Different Analytes
by Ilaria Talli, Andrea Padoan, Chiara Cosma, Giulia Furlan, Martina Zaninotto, Lucio Marchioro, Paola Galozzi, Daniela Basso and Mario Plebani
J. Clin. Med. 2024, 13(8), 2246; https://doi.org/10.3390/jcm13082246 - 12 Apr 2024
Viewed by 1992
Abstract
Background: We compared the performance of 21 different assays performed by the Wantai Wan200+ (Wantai BioPharm, Beijing, China) with respect to other methods in use at the University Hospital of Padova (AOPD), Italy. Methods: The plasma (P) or serum (S) of [...] Read more.
Background: We compared the performance of 21 different assays performed by the Wantai Wan200+ (Wantai BioPharm, Beijing, China) with respect to other methods in use at the University Hospital of Padova (AOPD), Italy. Methods: The plasma (P) or serum (S) of 5027 leftover samples, collected from May to Sept 2023, was either analyzed or frozen at −20 °C. Beckman DXI800 (DXI), Roche Cobas 8000 e801 (RC), Snibe Maglumi 4000 plus (SM), DiaSorin Liaison XL (DL) and Binding Site Optilite (BS) equipment were used at the AOPD. P-procalcitonin (PCT), DXI; P-Troponin I (TnI), DXI; S-CA125, DXI; S-free PSA (f-PSA), DXI; S-total PSA (t-PSA), DXI; S-IL6, SM; P-Troponin T (TnT), RC; P-NT-proBNP, RC; P-Neuron-Specific Enolase (NSE), RC; S-CA15-3, DL; S-CA19-9, DL; S-AFP, DL; and S-CEA, DL were tested in fresh samples. P-Myoglobin (Myo), DXI; P-Cyfra21-1, RC; S-β2 microglobulin (B2MIC), BS; S-HE4, SM; S-PGI, SM; S-PGII, SM; S-CA72-4, SM; and S-CA50, SM were analyzed in frozen and thawed samples. Bland–Altman (BA), Passing–Bablok (PB) and Cohen’s Kappa (CKa) metrics were used as statistics. Results: An excellent comparability profile was found for 11 analytes. For example, the t-PSA CKa was 0.94 (95%CI: 0.90 to 0.98), and the PB slope and intercept were 1.02 (95%CI: 0.99 to 1.03) and 0.02 (95%CI: 0.01 to 0.03), respectively; the BA bias was 2.25 (95%CI: −0.43 to 4.93). Ten tested measurands demonstrated a suboptimal comparability profile. Biological variation in EFLM (EuBIVAS) performance specifications was evaluated to assess the clinical relevance of measured biases. Conclusions: Evaluation of the Wantai Wan200+’s performance suggests that between-method differences did not exceed the calculated bias. Metrological traceability may influence the comparisons obtained for some measurands. Full article
(This article belongs to the Section Clinical Laboratory Medicine)
Show Figures

Graphical abstract

9 pages, 972 KB  
Article
In-Season Longitudinal Hydration/Body Cell Mass Ratio Changes in Elite Rugby Players
by Álex Cebrián-Ponce, Cristian Petri, Pascal Izzicupo, Matteo Levi Micheli, Cristina Cortis, Andrea Fusco, Marta Carrasco-Marginet and Gabriele Mascherini
Sports 2023, 11(8), 142; https://doi.org/10.3390/sports11080142 - 28 Jul 2023
Cited by 4 | Viewed by 2756
Abstract
Background: Hydration status has a direct role in sports performance. Bioelectrical Impedance Vector Analysis (BIVA) and Urine Specific Gravity (USG) are commonly used to assess hydration. The study aims to identify the sensitivity and relationship between BIVA and USG in a field sports [...] Read more.
Background: Hydration status has a direct role in sports performance. Bioelectrical Impedance Vector Analysis (BIVA) and Urine Specific Gravity (USG) are commonly used to assess hydration. The study aims to identify the sensitivity and relationship between BIVA and USG in a field sports setting. Methods: BIVA and USG measurements were conducted five times throughout one rugby season. 34 elite male rugby players (25.1 ± 4.4 years; 184.0 ± 7.8 cm; 99.9 ± 13.4 kg) were enrolled. Differences over time were tested using one-way repeated measures ANOVA, and Bonferroni’s post-hoc test was applied in pairwise comparisons. Resistance-reactance graphs and Hotelling’s T2 test were used to characterize the sample and to identify bioelectrical changes. A repeated measures correlation test was conducted for BIVA-USG associations. Results: Two clear trends were seen: (1) from July to September, there was a vector shortening and an increase of the phase angle (p < 0.001); and (2) from December to April, there was a vector lengthening and a decrease of the phase angle (p < 0.001). USG reported neither changes nor correlation with BIVA longitudinally (p > 0.05). Vector variations indicated a body fluid gain (especially in the intracellular compartment) and a body cell mass increase during the preseason, suggesting a physical condition and performance improvement. During the last months of the season, the kinetic was the opposite (fluid loss and decreased body cell mass). Conclusions: Results suggested that BIVA is sensitive to physiological changes and a better option than USG for assessing hydration changes during a rugby sports season. Full article
(This article belongs to the Special Issue Sport Physiology and Physical Performance)
Show Figures

Figure 1

12 pages, 1243 KB  
Article
Bioelectrical Impedance Vector Analysis (BIVA) and Somatotype in Female Rugby Players
by Beatriz de Mateo Silleras, Guillermo Casas Ares, Sandra de la Cruz Marcos, Laura Carreño Enciso, Emiliano Quinto Fernández and Paz Redondo del Río
Appl. Sci. 2023, 13(9), 5242; https://doi.org/10.3390/app13095242 - 22 Apr 2023
Cited by 6 | Viewed by 3964
Abstract
Body composition (BC) determines strength, power, and agility in sports such as rugby. Not only is the study of morphology and BC essential to establish player positions, but it also allows the optimisation of competitive performance. The aim of this study was to [...] Read more.
Body composition (BC) determines strength, power, and agility in sports such as rugby. Not only is the study of morphology and BC essential to establish player positions, but it also allows the optimisation of competitive performance. The aim of this study was to analyse different BC models (anthropometry and bioelectrical impedance analysis (BIA)) in a female rugby team. Their somatotype was also compared with a bioelectrical impedance vector analysis (BIVA) graph. A cross-sectional study was carried out on 19 women (8 forwards and 11 backs). Anthropometric and BIA (50 kHz, tetrapolar electrode configuration) measurements were taken using standard protocols and BC was estimated. Somatotype was calculated using the Heath–Carter method. Classic and specific BIVA were applied. Student’s t, Mann–Whitney, or Chi-squared tests were used for variable comparisons. Agreement was determined via intraclass coefficient correlations. Forwards showed a higher BMI and fat mass, but there were no differences in skeletal muscle masses. Most of the players were of an endomorphic mesomorph somatotype. Specific BIVA, but not classic BIVA, detected BC differences according to player position. Moreover, an individual’s interpretation of BIVA was consistent with their somatotype. In a female rugby team, BC and morphology are different according to position. This was detected in both the somatotype and specific BIVA. The application of BIVA (classic and specific) may yet prove to be a very useful strategy for the study of BC in sports. Full article
Show Figures

Figure 1

11 pages, 810 KB  
Article
Body Composition and Strength Symmetry of Kettlebell Sport Athletes
by Silvia Stagi, Gabriele Mulliri, Azzurra Doneddu, Giovanna Ghiani and Elisabetta Marini
Biology 2023, 12(3), 440; https://doi.org/10.3390/biology12030440 - 12 Mar 2023
Cited by 5 | Viewed by 5771
Abstract
Kettlebell sport (KBs) is increasingly popular, but very few studies have been focused on this discipline. This research aims to investigate the effects of KBs on body composition, strength symmetry, and segmental body composition symmetry in a sample of Italian elite athletes. Data [...] Read more.
Kettlebell sport (KBs) is increasingly popular, but very few studies have been focused on this discipline. This research aims to investigate the effects of KBs on body composition, strength symmetry, and segmental body composition symmetry in a sample of Italian elite athletes. Data were collected from a sample of 16 athletes of both sexes (11 men and 5 women; 34.5 ± 9.0 years of age). Anthropometric (height, weight, arm, thigh, calf, and waist circumferences), hand grip strength, and total and segmental bioelectrical variables were taken. Body composition was analysed by using specific bioelectrical impedance vector analysis (BIVA). Paired t-tests and confidence ellipses were applied to analyse bilateral differences. Elite athletes of both sexes showed high values of phase angle, indicative of high body cell mass and quality and proxy of muscle mass. Hand grip strength and body composition were symmetrical, with the only exception of a higher %FM in the right leg (Zsp: t = 3.556; p = 0.003). In conclusion, this study suggests that KBs contributes to muscle mass improvement, body composition, and strength symmetry, especially in the upper body. Full article
Show Figures

Figure 1

Back to TopTop